Spatiotemporal Analysis of Future Precipitation Changes in the Huaihe River Basin Based on the NEX-GDDP-CMIP6 Dataset and Monitoring Data
Abstract
:1. Introduction
2. Materials and Methods
2.1. Study Area
2.2. Data Source
2.2.1. Historically Measured Climate Data
2.2.2. NEX-GDDP-CMIP6 Dataset
2.3. Methods
2.3.1. Extreme Precipitation Index
2.3.2. RclimDex Model
2.3.3. Taylor Diagram
2.3.4. Sen+Mann–Kendall Trend Analysis
3. Results
3.1. Taylor Diagram Climate Model Evaluation
3.2. Spatiotemporal Distribution Characteristics of Extreme Precipitation Indices in the Huaihe River Basin in the Historical Period
3.2.1. Temporal Variability of the Extreme Precipitation Index in the Huaihe River Basin in the Historical Period
3.2.2. Spatial Distribution of the Extreme Precipitation Index in the Huaihe River Basin in the Historical Period
3.3. Spatiotemporal Distribution Characteristics of Extreme Precipitation Index in the Huaihe River Basin in the Future
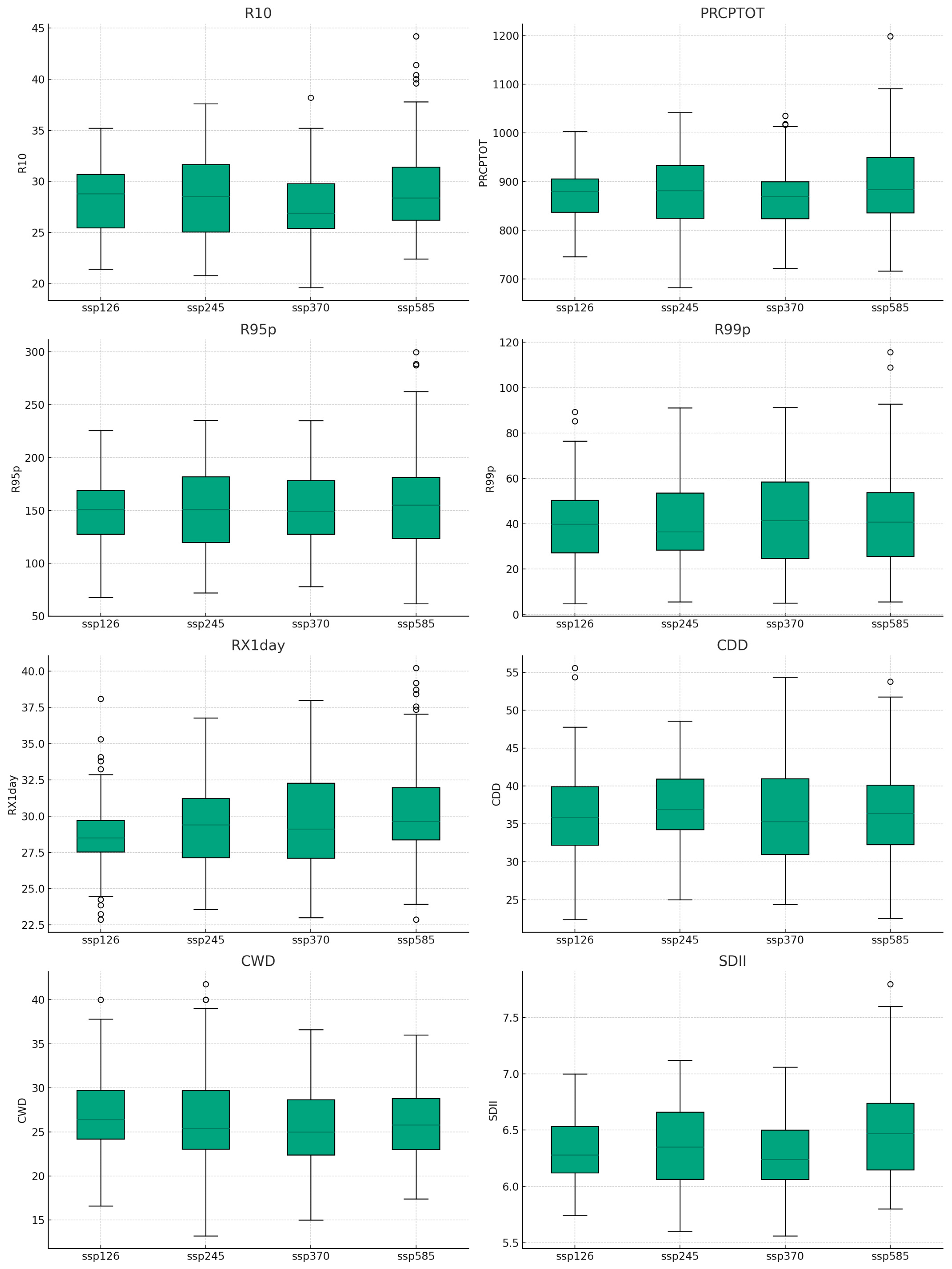
3.3.1. Distributions of Temporal Variability of Extreme Precipitation Indices in the Huaihe River Basin in the Future Period
3.3.2. Spatial Distribution of Extreme Precipitation Indices in the Huaihe River Basin in the Future Period
4. Discussion
4.1. Model Evaluation and Historical Analysis
4.2. Spatial Variation and Regional Disparities
4.3. Future Projections and Implications
4.4. Agricultural Production and Flood Safety
5. Conclusions
Author Contributions
Funding
Data Availability Statement
Acknowledgments
Conflicts of Interest
References
- Adopted, I.P.C.C. Climate Change 2014 Synthesis Report; IPCC: Geneva, Switzerland, 2014; pp. 1059–1072. [Google Scholar]
- Xu, D.; Liu, D.; Yan, Z.; Ren, S.; Xu, Q. Spatiotemporal variation characteristics of precipitation in the Huaihe River Basin, China, as a result of climate change. Water 2023, 15, 181. [Google Scholar] [CrossRef]
- Lin, H.; Wang, J.; Li, F.; Xie, Y.; Jiang, C.; Sun, L. Drought trends and the extreme drought frequency and characteristics under climate change based on SPI and HI in the upper and middle reaches of the Huai River Basin, China. Water 2020, 12, 1100. [Google Scholar] [CrossRef]
- Khaing, Z.M.; Zhang, K.; Sawano, H.; Shrestha, B.B.; Sayama, T.; Nakamura, K. Flood hazard mapping and assessment in data-scarce Nyaungdon area, Myanmar. PLoS ONE 2019, 14, e0224558. [Google Scholar] [CrossRef] [PubMed]
- Wang, G.; Zhang, Q.; Yu, H.; Shen, Z.; Sun, P. Double increase in precipitation extremes across China in a 1.5 °C/2.0 °C warmer climate. Sci. Total Environ. 2020, 746, 140807. [Google Scholar] [CrossRef] [PubMed]
- Allan, R.P.; Soden, B.J. Atmospheric warming and the amplification of precipitation extremes. Science 2008, 321, 1481–1484. [Google Scholar] [CrossRef]
- Yazdandoost, F.; Moradian, S.; Izadi, A.; Aghakouchak, A. Evaluation of CMIP6 precipitation simulations across different climatic zones: Uncertainty and model intercomparison. Atmos. Res. 2021, 250, 105369. [Google Scholar] [CrossRef]
- Masson-Delmotte, V.; Zhai, P.; Pirani, A.; Connors, S.L.; Péan, C.; Berger, S.; Caud, N.; Chen, Y.; Goldfarb, L.; Gomis, M.I.; et al. Climate Change 2021: The Physical Science Basis. Contribution of Working Group I to the Sixth Assessment Report of the Intergovernmental Panel on Climate Change; Cambridge University Press: Cambridge, UK; New York, NY, USA, 2021; Volume 2. [Google Scholar]
- Shahi, N.K.; Das, S.; Ghosh, S.; Maharana, P.; Rai, S. Projected changes in the mean and intra-seasonal variability of the Indian summer monsoon in the RegCM CORDEX-CORE simulations under higher warming conditions. Clim. Dyn. 2021, 57, 1489–1506. [Google Scholar] [CrossRef]
- Shahi, N.K.; Rai, S.; Verma, S.; Bhatla, R. Assessment of future changes in high-impact precipitation events for India using CMIP6 models. Theor. Appl. Climatol. 2023, 151, 843–857. [Google Scholar] [CrossRef]
- Yao, Y.; Qu, W.; Lu, J.; Cheng, H.; Pang, Z.; Lei, T.; Tan, Y. Responses of hydrological processes under different shared socioeconomic pathway scenarios in the Huaihe River Basin, China. Water 2021, 13, 1053. [Google Scholar] [CrossRef]
- Xu, F.; Niu, J. Flood disasters and countermeasures in the Huaihe River Basin. J. Xuchang Univ. 2004, 23, 105–109. [Google Scholar]
- Bi, B.; Jiao, M.; Li, Z. Meteorological and hydrological characteristics of floods and rainstorms in the Huaihe River Basin in 2003. J. Nanjing Meteorol. Inst. 2004, 27, 577–586. [Google Scholar]
- Jiao, M.; Jin, R.; Qi, D. Meteorological and hydrological characteristics of Huaihe River rainstorm and flood in 2007. J. Appl. Meteorol. 2008, 19, 257–264. [Google Scholar]
- Nashwan, M.S.; Shahid, S. A novel framework for selecting general circulation models based on the spatial patterns of climate. Int. J. Climatol. 2020, 40, 4422–4443. [Google Scholar] [CrossRef]
- Huang, X.; Li, X. Future prediction of rainstorm and flood disaster risk in southwest China based on CMIP6. J. Appl. Meteorol. 2022, 33, 231–243. [Google Scholar]
- Feng, Y.; He, Z.; Jiao, S.; Liu, W. Prediction of extreme precipitation scenarios in Guizhou Province based on CMIP6 climate model. Soil Water Conserv. Res. 2023, 30, 282–290. [Google Scholar]
- Jin, N.; Guo, L. The Impact of Extreme Temperatures on Grain Production in the Huaihe River Basin. Acad. J. Manag. Soc. Sci. 2023, 3, 64–69. [Google Scholar] [CrossRef]
- Guo, R.; Chen, X.; Cai, A. The quantitative effects of climate change and human activity on the vegetation growth in the Yangtze River Basin. Front. Earth Sci. 2023, 11, 1168384. [Google Scholar] [CrossRef]
- Dewan, A.M.; Corner, R.; Hashizume, M.; Ongee, E.T. Typhoid fever and its association with environmental factors in the Dhaka metropolitan area of Bangladesh: A spatial and time-series approach. PLoS Neglected Trop. Dis. 2013, 7, e1998. [Google Scholar] [CrossRef]
- Minh, P.T.; Tuyet, B.T.; Thao, T.T.T. Application of ensemble Kalman filter in WRF model to forecast rainfall on monsoon onset period in South Vietnam. Vietnam J. Earth Sci. 2018, 40, 367–394. [Google Scholar] [CrossRef]
- Zhang, Q.; Li, J.; Singh, V.P.; Xu, C.Y. Copula-based spatio-temporal patterns of precipitation extremes in China. Int. J. Climatol. 2013, 33, 1140–1152. [Google Scholar] [CrossRef]
- Field, C.B. (Ed.) Managing the Risks of Extreme Events and Disasters to Advance Climate Change Adaptation: Special Report of the Intergovernmental Panel on Climate Change; Cambridge University Press: Cambridge, UK, 2012. [Google Scholar]
- Ma, J.; Gao, Y. Analysis of annual average and extreme precipitation changes in the upper reaches of the Yellow River in the past 50 years. Plateau Meteorol. 2019, 124–135. [Google Scholar]
- Jin, R.; Yang, Y. Evaluation of the CMIP5 global climate model for the simulation of the northward extension of rain belts in eastern China. Meteorol. Hydro-Ocean. Instrum. 2022, 39, 19–23. [Google Scholar]
- Wang, Q.; Zhang, M.; Wang, S.; Luo, S.; Wang, B.; Zhu, X. Analysis of extreme temperature events in the Yangtze River Basin from 1962 to 2011. Acta Geogr. Sin. 2013, 68, 611–625. [Google Scholar]
- Taylor, K.E. Summarizing multiple aspects of model performance in a single diagram. J. Geophys. Res. Atmos. 2001, 106, 7183–7192. [Google Scholar] [CrossRef]
- Liu, X.; Hu, B.; Ren, Z. Temporal and spatial changes and driving factors of water use efficiency of vegetation ecosystems on the Loess Plateau. Chin. Agric. Sci. 2018, 51, 302–314. [Google Scholar] [CrossRef]
- Li, S.; Yang, S.; Liu, X. Spatiotemporal variation characteristics and influencing factors of extreme precipitation in the north and south of Qinling-Huaihe River from 1960 to 2013. Adv. Geogr. Sci. 2015, 354–363. [Google Scholar]
- Wang, D.; Liu, J.; Wang, H.; Shao, W.; Mei, C.; Ding, X. Performance evaluations of CMIP6 and CMIP5 models for precipitation simulation over the Hanjiang River Basin, China. J. Water Clim. Chang. 2022, 13, 2089–2106. [Google Scholar] [CrossRef]
- Ngoma, H.; Wen, W.; Ayugi, B.; Babaousmail, H.; Karim, R.; Ongoma, V. Evaluation of precipitation simulations in CMIP6 models over Uganda. Int. J. Climatol. 2021, 41, 4743–4768. [Google Scholar] [CrossRef]
- Pan, H.; Jin, Y.; Zhu, X. Comparison of projections of precipitation over Yangtze River Basin of China by different climate models. Water 2022, 14, 1888. [Google Scholar] [CrossRef]
- Pomee, M.S.; Hertig, E. Precipitation projections over the Indus River Basin of Pakistan for the 21st century using a statistical downscaling framework. Int. J. Climatol. 2022, 42, 289–314. [Google Scholar] [CrossRef]








| Number | Model | Institution | Country | Resolution |
|---|---|---|---|---|
| 1 | ACCESS-CM2 | ACCESS | Australia | 0.25° × 0.25° |
| 2 | ACCESS-ESM1-5 | ACCESS | Australia | 0.25° × 0.25° |
| 3 | BCC-CSM2-MR | BBC | China | 0.25° × 0.25° |
| 4 | CMCC-CM2-SR5 | CMCC | Italy | 0.25° × 0.25° |
| 5 | CMCC-ESM2 | CMCC | Italy | 0.25° × 0.25° |
| 6 | CanESM5 | CCCMA | Canada | 0.25° × 0.25° |
| 7 | MIROC6 | MIROC | Japan | 0.25° × 0.25° |
| 8 | MPI-ESM1-2-HR | MPI | Germany | 0.25° × 0.25° |
| 9 | MPI-ESM1-2-LR | MPI | Germany | 0.25° × 0.25° |
| 10 | MRI-ESM2-0 | MRI | Japan | 0.25° × 0.25° |
| 11 | NorESM2-LM | NCC | Norway | 0.25° × 0.25° |
| 12 | NorESM2-MM | NCC | Norway | 0.25° × 0.25° |
| 13 | TaiESM1 | RCEC | China | 0.25° × 0.25° |
| Index | Abbreviation | Definition | Unit |
|---|---|---|---|
| Moderate rainy days | R10 | Number of days with daily precipitation ≥ 10 mm | d |
| Total annual precipitation | PRCPTOT | Cumulative precipitation with daily precipitation ≥ 1 mm | mm |
| Heavy precipitation | R95p | Annual cumulative precipitation with daily precipitation > 95% quantile | mm |
| Very heavy precipitation | R99p | Annual cumulative precipitation with daily precipitation > 99% quantile | mm |
| Maximum 1-day precipitation | RX1day | Maximum 1-day precipitation per month | mm |
| Consecutive dry days | CDD | The maximum continuous number of days with daily precipitation < 1 mm | d |
| Consecutive wet days | CWD | The maximum continuous number of days with daily precipitation > 1 mm | d |
| Precipitation intensity | SDII | The ratio of total annual precipitation to the number of wet days |
Disclaimer/Publisher’s Note: The statements, opinions and data contained in all publications are solely those of the individual author(s) and contributor(s) and not of MDPI and/or the editor(s). MDPI and/or the editor(s) disclaim responsibility for any injury to people or property resulting from any ideas, methods, instructions or products referred to in the content. |
© 2023 by the authors. Licensee MDPI, Basel, Switzerland. This article is an open access article distributed under the terms and conditions of the Creative Commons Attribution (CC BY) license (https://creativecommons.org/licenses/by/4.0/).
Share and Cite
Tong, M.; Li, L.; Li, Z.; Tian, Z. Spatiotemporal Analysis of Future Precipitation Changes in the Huaihe River Basin Based on the NEX-GDDP-CMIP6 Dataset and Monitoring Data. Water 2023, 15, 3805. https://doi.org/10.3390/w15213805
Tong M, Li L, Li Z, Tian Z. Spatiotemporal Analysis of Future Precipitation Changes in the Huaihe River Basin Based on the NEX-GDDP-CMIP6 Dataset and Monitoring Data. Water. 2023; 15(21):3805. https://doi.org/10.3390/w15213805
Chicago/Turabian StyleTong, Min, Leilei Li, Zhi Li, and Zhihui Tian. 2023. "Spatiotemporal Analysis of Future Precipitation Changes in the Huaihe River Basin Based on the NEX-GDDP-CMIP6 Dataset and Monitoring Data" Water 15, no. 21: 3805. https://doi.org/10.3390/w15213805
APA StyleTong, M., Li, L., Li, Z., & Tian, Z. (2023). Spatiotemporal Analysis of Future Precipitation Changes in the Huaihe River Basin Based on the NEX-GDDP-CMIP6 Dataset and Monitoring Data. Water, 15(21), 3805. https://doi.org/10.3390/w15213805

