Influencing Factors and Nutrient Release from Sediments in the Water Level Fluctuation Zone of Biliuhe Reservoir, a Drinking Water Reservoir
Abstract
1. Introduction
2. Materials and Methods
2.1. Site Description
2.2. Field Sampling
2.3. Incubation of Sediment Cores
2.4. Sample Analysis
2.5. Data Analysis
3. Results
3.1. Nutrients in the Surface Sediments
3.2. N and P at the Sediment–Water Interface
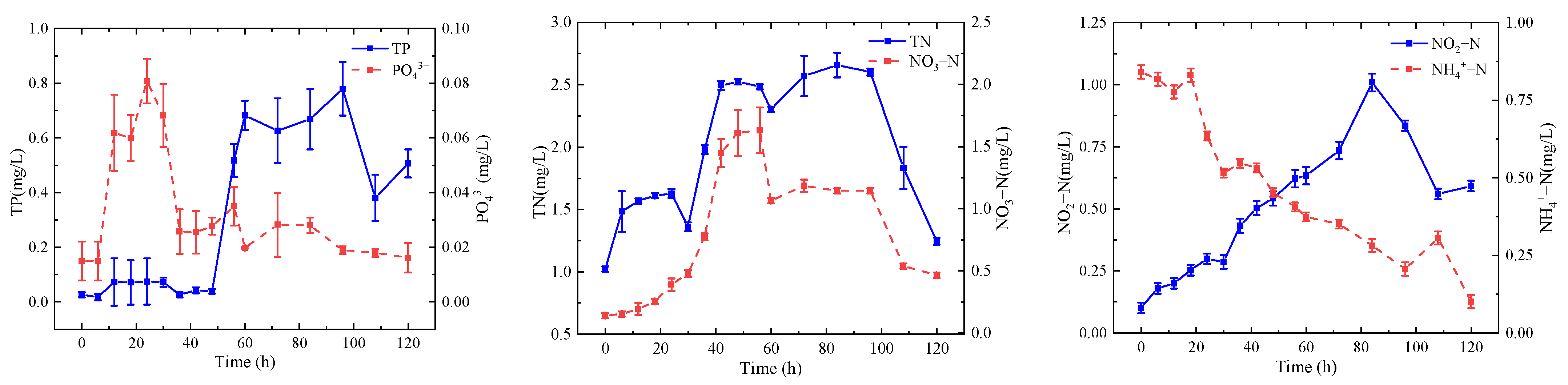
3.3. The Variability of Environmental Parameters and Nutrient Concentrations in the Overlying Water
3.4. Deposition Release Regularity of N and P in the WLFZ
4. Discussion
4.1. The Migration Behavior and Mechanisms of N and P in Sediments
4.2. Influencing Factors of Nitrogen and Phosphorus Migrating in Deposition Release Process
4.3. Countermeasures and Suggestions for Sediment Eutrophication in the WLFZ of the Reservoir
5. Conclusions
- (1)
- The sediment in NH4+-N acts as the primary source of nutrients for the overlying water, with the concentration of NH4+-N in sediments playing a crucial role in determining the water quality of Biliuhe Reservoir. The average concentration of NO2-N in the overlying water was significantly higher than that in the interstitial water, indicating predominant adsorption of NO2-N in the sediments of the WLFZ. Conversely, TP and PO43− demonstrate limited migration and diffusion potential, indicating that elevated concentrations of N pollution are the primary driver of eutrophication in Biliuhe Reservoir during summer.
- (2)
- The sedimentary flux of nitrogen and phosphorus released by the main stream is lower than that of the tributary. The findings demonstrate that the water diversion project situated in the main stream has a scouring effect on the sediments of the WLFZ at this specific location, resulting in lower nutrient content within the sediments of the main stream compared to its tributaries. We hypothesize that the implementation of the water diversion project may impact the release of sediment nutrients in the WLFZ, leading to a need for reassessment of N and P release fluxes from drinking water reservoirs worldwide in order to fully comprehend endogenous pollutant releases.
- (3)
- DO, turbidity and chlorophyll-a are the primary factors driving N and P release in sediments within the WLFZ. The submergence of exposed sediments, particularly within the WLFZ, will lead to an increase in N and P loading within the sediment due to microbial respiration and organic matter decomposition. Maintaining a specific dissolved oxygen concentration in the overlying water of the WLFZ suppresses the diffusion of sediment nutrients.
- (4)
- Ecological restoration can be implemented in areas with low fluxes. The high release fluxes from the three tributaries can be managed through sediment dredging and algae harvesting in affected areas. This study highlights the influence of environmental factors on the transformation and diffusion of source N and P in the WLFZ of a drinking water reservoir, providing a robust theoretical foundation for effectively managing N and P pollution in aquatic systems within this region.
Supplementary Materials
Author Contributions
Funding
Data Availability Statement
Conflicts of Interest
References
- Duhamel, S.; Nogaro, G.; Steinman, A. Effects of water level fluctuation and sediment-water nutrient exchange on phosphorus biogeochemistry in two coastal wetlands. Aquat. Sci. 2017, 79, 57–72. [Google Scholar] [CrossRef]
- Middleton, M.A.; Whitfield, P.H.; Allen, D.M. Independent component analysis of local–scale temporal variability in sediment–water interface temperature. Water Resour. Res. 2015, 51, 9679–9695. [Google Scholar] [CrossRef]
- Mueller, S.; Mitrovic, S.M. Phytoplankton co-limitation by nitrogen and phosphorus in a shallow reservoir: Progressing from the phosphorus limitation paradigm. Hydrobiologia 2015, 744, 255–269. [Google Scholar] [CrossRef]
- Chen, T.L.; Chen, L.H.; Lin, Y.J. Advanced ammonia nitrogen removal and recovery technology using electrokinetic and stripping process towards a sustainable nitrogen cycle: A review. J. Clean. Prod. 2021, 309, 127369. [Google Scholar] [CrossRef]
- Garcia-Robledo, E.; Corzo, A. Effect of macroalgal blooms on carbon and nitrogen biogeochemical cycling in photoautotrophic sediments: An experimental mesocosm. Mar. Pollut. Bull. 2011, 62, 1550–1556. [Google Scholar] [CrossRef]
- Yalcin, T.; Claude, E. Sediment quality in Arkansas Bait Minnow Ponds. J. World Aquacult. Soc. 2007, 33, 221–232. [Google Scholar] [CrossRef]
- Denis, L.; Grenz, C. Spatial variability in oxygen and nutrient fluxes at the sediment-water interface on the continental shelf in the Gulf of Lions (NW Mediterranean). Oceanol. Acta 2003, 26, 373–389. [Google Scholar] [CrossRef]
- Petranich, E.; Covelli, S.; Acquavita, A.; De Vittor, C.; Faganeli, J.; Contin, M. Benthic nutrient cycling at the sediment-water interface in a lagoon fish farming system (Northern Adriatic Sea, Italy). Sci. Total Environ. 2018, 644, 137–149. [Google Scholar] [CrossRef] [PubMed]
- Sondergaard, M.; Bjerring, R.; Jeppesen, E. Persistent internal phosphorus loading during summer in shallow eutrophic lakes. Hydrobiologia 2013, 710, 95–107. [Google Scholar] [CrossRef]
- Nizzoli, D.; Bartoli, M.; Cooper, M.; Welsh, D.T.; Underwood, G.J.C.; Viaroli, P. Implications for oxygen, nutrient fluxes and denitrification rates during the early stage of sediment colonisation by the polychaete Nereis spp. in four estuaries. Estuar. Coast. Shelf Sci. 2007, 75, 125–134. [Google Scholar] [CrossRef]
- Nowlin, W.H.; Evarts, J.L.; Vanni, M.J. Release rates and potential fates of nitrogen and phosphorus from sediments in a eutrophic reservoir. Freshw. Biol. 2005, 50, 301–322. [Google Scholar] [CrossRef]
- Ozkundakci, D.; Hamilton, D.P.; Scholes, P. Effect of intensive catchment and in-lake restoration procedures on phosphorus concentrations in a eutrophic lake. Ecol. Eng. 2010, 36, 396–405. [Google Scholar] [CrossRef]
- Tendaupenyu, P.; Magadza, C.H.D. Nutrient concentrations in the surface sediments of Lake Chivero, Zimbabwe: A shallow, hypereutrophic, subtropical artificial lake. Lakes Reserv. Res. Manag. 2017, 22, 297–309. [Google Scholar] [CrossRef]
- Brödlin, D.; Kaiser, K.; Kessler, A.; Frank, H. Drying and rewetting foster phosphorus depletion of forest soils. Soil Biol. Biochem. 2019, 128, 22–34. [Google Scholar] [CrossRef]
- Strauss, E.A.; Mitchell, N.L.; Lamberti, G.A. Factors regulating nitrification in aquatic sediments: Effects of organic carbon, nitrogen availability, and pH. Can. J. Fish. Aquat. Sci. 2002, 59, 554–563. [Google Scholar] [CrossRef]
- House, W.A.; Denison, F.H. Factors influencing the measurement of equilibrium phosphate concentrations in river sediments. Water Res. 2000, 34, 1187–1200. [Google Scholar] [CrossRef]
- Jiang, X.; Jin, X.; Yang, Y.; Li, L.; Wu, F. Effects of biological activity, light, temperature and oxygen on phosphorus release processes at the ediment and water interface of Taihu Lake, China. Water Res. 2008, 42, 2251–2259. [Google Scholar] [CrossRef]
- Andrieux-Loyer, F.; Philippon, X.; Bally, G.; Kérouel, R.; Youenou, A.; Le, G.J. Phosphorus dynamics and bioavailability in sediments of the Penzé Estuary (NW France): In relation to annual P-fluxes and occurrences of Alexandrium minutum. Biogeochemistry 2008, 88, 213–231. [Google Scholar] [CrossRef]
- Boros, G.; Martin, S.; Péter, T.; Ágnes, V.; István, T. Influence of submerged macrophytes, temperature, and nutrient loading on the development of redox potential around the sediment–water interface in lakes. Hydrobiologia 2011, 665, 117–127. [Google Scholar] [CrossRef]
- Yin, H.; Han, M.; Kong, M. Influence of sediment resuspension on the efficacy of geoengineering materials in the control of internal phosphorous loading from shallow eutrophic lakes. Environ. Pollut. 2016, 219, 568–579. [Google Scholar] [CrossRef]
- Lewis, W.M.; Wurtsbaugh, W.A.; Paerl, H.W. Rationale for control of anthropogenic nitrogen and phosphorus to reduce eutrophication of inland waters. Environ. Sci. Technol. 2011, 45, 10300–10305. [Google Scholar] [CrossRef]
- De, V.I.; Lopez, R.; Pozo, I.; Green, A.J. Nutrient and sediment dynamics in a Mediterranean shallow lake in southwest Spain. Limnetica 2012, 31, 231–249. [Google Scholar] [CrossRef]
- Padedda, B.M.; Sechi, N.; Lai, G.G.; Mariani, M.A.; Pulina, S.; Sarria, M. Consequences of eutrophication in the management of water resources in Mediterranean reservoirs: A case study of Lake Cedrino (Sardinia, Italy). Glob. Ecol. Conserv. 2017, 12, 21–35. [Google Scholar] [CrossRef]
- Peng, C.; Shen, Y.; Wu, X.F. Heavy Metals, Nitrogen, and Phosphorus in Sediments from the First Drinking Water Reservoir Supplied by Yangtze River in Shanghai, China: Spatial Distribution Characteristics and Pollution Risk Assessment. Water Air Soil Pollut. 2020, 231, 298. [Google Scholar] [CrossRef]
- Yu, H.; Xu, S.; Tian, W.; Zhu, L.; Sun, Y. Impact of long-term water level fluctuation on the distribution, transport, and fate of phosphorus in reservoir sediment. Environ. Sci. Pollut. Res. 2019, 26, 33146–33156. [Google Scholar] [CrossRef]
- Ruban, V.; López-Sánchez, J.F.; Pardo, P.; Rauret, G.; Muntau, H.; Quevauviller, P. Harmonized protocol and certified reference material for the determination of extractable contents of phosphorus in freshwater sediments–a synthesis of recent works. Fresenius J. Anal. Chem. 2001, 370, 224–228. [Google Scholar] [CrossRef] [PubMed]
- HJ 717–2014; Soil Quality–Determination of Total Nitrogen–Modified Kjeldahl Method. Ministry of Ecology and Environment of the People’s Republic of China, China National Standardization Management Committee: Beijing, China, 2015.
- Garg, P.; Gupta, A.; Satya, S. Vermicomposting of different types of waste using Eisenia foetida: A comparative study. Bioresour. Technol. 2006, 97, 391–395. [Google Scholar] [CrossRef]
- Zhang, C.; Zhang, W.; Huang, Y.; Gao, X. Analysing the correlations of long-term seasonal water quality parameters, suspended solids and total dissolved solids in a shallow reservoir with meteorological factors. Environ. Sci. Pollut. Res. 2017, 24, 6746–6756. [Google Scholar] [CrossRef]
- Kojima, S.; Saito, T.; Takada, J. Neutron activation analysis of trace elements at sediment-water interface in the Biwa Lake, Japan. J. Radioanal. Nucl. Chem. 2003, 255, 119–123. [Google Scholar] [CrossRef]
- Fan, C.X.; Zhang, L.; Yang, L.Y. Simulation of internal loadings of nitrogen and phosphorus in a lake. Oceanol. Limnol. Sin. 2002, 33, 370–378. [Google Scholar]
- Cui, H.F.; Chen, S.Y.; Yang, C.H.; Tang, W.Y.; Yin, H.B. Endogenous pollution and release characteristics of bottom sediments of Hengshan reservoir in Yixing city. Environ. Sci. 2020, 41, 5400–5409. [Google Scholar] [CrossRef]
- Wang, J.J.; Shen, J.; Zhang, L. Sediment water nutrient fluxes and the effects of oxygen in Lake Dianchi and Lake Fuxian, Yunnan Province. J. Lake Sci. 2010, 22, 640–648. [Google Scholar]
- Wang, Z.Q.; Li, B.; Liang, R.J. Comparative study on endogenous release of nitrogen and phosphorus in Nansi Lake, China. Acta Sci. Circumstantiae 2013, 33, 487–493. [Google Scholar] [CrossRef]
- Wen, W.; Yang, J. Spatio-temporal variation in nutrient profiles and exchange fluxes at the sediment-water interface in Yuqiao reservoir, China. Int. J. Environ. Res. Public Health 2019, 16, 3071. [Google Scholar] [CrossRef] [PubMed]
- Beutel, M.W.; Leonard, T.M.; Dent, S.R.; Moore, B.C. Effects of aerobic and anaerobic conditions on P, N, Fe, Mn, and Hg accumulation in waters overlaying profundal sediments of an oligo-mesotrophic lake. Water Res. 2008, 42, 1953–1962. [Google Scholar] [CrossRef]
- Mu, D.; Yuan, D.; Feng, H.; Xing, F.; Teo, F.Y.; Li, S. Nutrient fluxes across sediment–water interface in Bohai bay coastal zone, China. Mar. Pollut. Bull. 2016, 114, 705–714. [Google Scholar] [CrossRef]
- Cornwell, J.C.; Owens, M.S. Quantifying sediment nitrogen releases associated with estuarine dredging. Aquat. Geochem. 2011, 17, 499–517. [Google Scholar] [CrossRef]
- Ding, S.; Chen, M.; Cui, J.; Wang, D.; Lin, J.; Zhang, C. Reactivation of phosphorus in sediments after calcium-rich mineral capping: Implication for revising the laboratory testing scheme for immobilization efficiency. Chem. Eng. J. 2018, 504, 43–58. [Google Scholar] [CrossRef]
- Cheng, X.; Hou, L.; Liu, M. Inorganic nitrogen exchange across the sediment–water interface in the eastern Chongming tidal flat of the Yangtze Estuary. Environ. Earth Sci. 2015, 74, 2173–2184. [Google Scholar] [CrossRef]
- Li, H.; Song, C.L.; Cao, X.Y. The phosphorus release pathways and their mechanisms driven by organic carbon and nitrogen in sediments of eutrophic shallow lakes. Sci. Total Environ. 2016, 572, 280–288. [Google Scholar] [CrossRef]
- Yin, S.X.; Chen, D.; Chen, L.M.; Edis, R. Dissimilatory nitrate reduction to ammonium and responsible microorganisms in two chinese and australian paddy soils. Soil Biol. Biochem. 2002, 34, 1131–1137. [Google Scholar] [CrossRef]
- Daniel, C.O.T.; Liang, F.D.; Graham, J.C.U.; David, B.N. Sediment–water inorganic nutrient exchange and nitrogen budgets in the Colne Estuary, UK. Mar. Ecol. Prog. 2007, 337, 63–77. [Google Scholar] [CrossRef][Green Version]
- Duhamel, S.; Bjoerkman, K.; Repeta, D.J.; Karl, D.M. Phosphorus dynamics in biogeochemically distinct regions of the southeast subtropical pacific ocean. Prog. Oceanogr. 2016, 151, 261–274. [Google Scholar] [CrossRef]
- Nedwell, D.B.; Trimmer, M. Nitrogen fluxes through the upper estuary of the Great Ouse, England: The role of the bottom sediments. Mar. Ecol. Prog. Ser. 1996, 142, 273–286. [Google Scholar] [CrossRef]
- Yang, Z.; Liang, T.; Li, K.; Zhang, Q.; Wang, L. The diffusion fluxes and sediment activity of phosphorus in the sediment–water interface of poyang lake. J. Freshw. Ecol. 2016, 31, 521–531. [Google Scholar] [CrossRef][Green Version]
- Gibbons, K.J.; Bridgeman, T.B. Effect of temperature on phosphorus flux from anoxic western Lake Erie sediments. Water Res. 2020, 182, 116022. [Google Scholar] [CrossRef]
- Zhang, W.; Zhu, X.; Jin, X.; Meng, X.; Tang, W.; Shan, B. Evidence for organic phosphorus activation and transformation at the sedimentwater interface during plant debris decomposition. Sci. Total Environ. 2017, 583, 458–465. [Google Scholar] [CrossRef]
- Larsen, S.J.; Kilminster, K.L.; Mantovanelli, A.; Goss, Z.J.; Evans, G.C.; Bryant, L. Artificially oxygenating the swan river estuary increases dissolved oxygen concentrations in the water and at the sediment interface. Ecol. Eng. 2019, 128, 112–121. [Google Scholar] [CrossRef]
- Zhou, F.X.; Gao, X.L.; Zhang, Y.; Yuan, H.M.; Song, J.M.; Liu, K.; Yang, B.; Zhuang, W. Potential mobility of inorganic nutrients and its controls at the sediment-water interface in the main path of Kuroshio current off eastern Taiwan. Mar. Pollut. Bull. 2017, 119, 270–276. [Google Scholar] [CrossRef]
- Zhong, J.; Yu, J.; Wang, J.; Liu, D.; Chen, C.; Fan, C. The co-regulation of nitrate and temperature on denitrification at the sediment-water interface in the algae-dominated ecosystem of lake Taihu, China. J. Soils Sediments 2020, 20, 2277–2288. [Google Scholar] [CrossRef]
- Liu, Z.W.; Hu, J.R.; Zhong, P. Successful restoration of a tropical shallow eutrophic lake: Strong bottom-up but weak top-down effects recorded. Water Res. 2018, 146, 88–97. [Google Scholar] [CrossRef]
- Kristensen, E. Organic matter diagenesis at the oxic/anoxic interface in coastal marine sediments, with emphasis on the role of burrowing animals. Hydrobiologia 2000, 426, 1–24. [Google Scholar] [CrossRef]
- Rippey, B.; Campbell, J.; McElarney, Y.; Thompson, J.; Gallagher, M. Timescale of reduction of long-term phosphorus release from sediment in lakes. Water Res. 2021, 200, 117283. [Google Scholar] [CrossRef]
- Rabalais, N.N.; Turner, R.E.; Wiseman, J.W.J. Gulf of Mexico hypoxia, AKA “the dead zone”. Annu. Rev. Ecol. Syst. 2002, 33, 235–263. [Google Scholar] [CrossRef]
- Cheng, L.; Shi, G.S.; Qiu, S.S.; Cheng, X.F.; Lei, Z.; Qi, L.Z. Effects of riverine suspended particulate matter on the post-dredging increase in internal phosphorus loading across the sediment-water interface. Environ. Pollut. 2016, 211, 165–172. [Google Scholar] [CrossRef]
- Wang, H.; Gao, Y.; Han, Y.; Tsakiris, G. Determining the main controlling factors of nitrogen diffusion fluxes at sediment-water interface by grey correlation analysis. Water Resour. Manag. 2022, 36, 4951–4964. [Google Scholar] [CrossRef]
- Jin, X.; Jiang, X.; Yao, Y.; Li, L.; Wu, F.C. Effects of light and oxygen on the uptake and distribution of phosphorus at the sediment–water interface. Sci. Total Environ. 2006, 357, 231–236. [Google Scholar] [CrossRef]
- Hardison, A.K.; Algar, C.K.; Giblin, A.E.; Rich, J.J. Influence of organic carbon and nitrate loading on partitioning between dissimilatory nitrate reduction to ammonium (Dnra) and N2 production. Geochim. Cosmochim. Acta 2015, 164, 146–160. [Google Scholar] [CrossRef]
- Hou, Y.; Liu, X.; Chen, S.; Ren, J.; Bai, L.; Li, J.; Gu, Y.; Wei, L. Effects of Seasonal Thermal Stratification on Nitrogen Transformation and Diffusion at the Sediment-Water Interface in a Deep Canyon Artificial Reservoir of Wujiang River Basin. Water 2021, 13, 3194. [Google Scholar] [CrossRef]
- Ding, Y.; Song, X.; Wang, Y.; Yan, D. Effects of dissolved oxygen and influent COD/N ratios on nitrogen removal in horizontal subsurface flow constructed wetland. Ecol. Eng. 2012, 46, 107–111. [Google Scholar] [CrossRef]
- Harris, L.A.; Hodgkins, C.L.S.; Day, M.C.; Austin, D.; Testa, J.M.; Boynton, W. Optimizing recovery of eutrophic estuaries: Impact of destratification and re-aeration on nutrient and dissolved oxygen dynamics. Ecol. Eng. 2015, 75, 470–483. [Google Scholar] [CrossRef]
- Yao, Q.Z.; Du, J.T.; Chen, H.T.; Yu, Z.G. Particle-size distribution and phosphorus forms as a function of hydrological forcing in the yellow river. Environ. Sci. Pollut. Res. 2016, 23, 3385–3398. [Google Scholar] [CrossRef] [PubMed]
- Gao, Y.; Zhu, B.; Yu, G.R.; Chen, W.L.; He, N.P.; Wang, T.; Miao, C.Y. Coupled effects of biogeochemical and hydrological processes on C, N, and P export during extreme rainfall events in a purple soil watershed in southwestern China. J. Hydrol. 2014, 511, 692–702. [Google Scholar] [CrossRef]
- Bengtsson, L.; Hellstr, M.T.; Rakoczi, L. Redistribution of sediments in three Swedish lakes. Hydrobiologia 1990, 192, 167–181. [Google Scholar] [CrossRef]
- Hanjaniamin, A.E.; Tabrizi, M.S.; Babazadeh, H. Dissolved oxygen concentration and eutrophication evaluation in Yamchi dam reservoir, Ardabil, Iran. Appl. Water Sci. 2023, 13, 9. [Google Scholar] [CrossRef]
- Yuan, L.L.; Jones, J.R. Rethinking phosphorus–chlorophyll relationships in lakes. Limnol. Oceanogr. 2020, 65, 1847–1857. [Google Scholar] [CrossRef] [PubMed]
- Qian, J.; Chu, Q.; Zhang, R.; Liu, Y.; Wan, W. Influence of recurrent rainfall and oxalic acid on phosphorus releasing from rocks phosphate in the Chaohu watershed, China. Chemosphere 2018, 215, 815–826. [Google Scholar] [CrossRef]
- World Health Organization. Guidelines for Drinking-Water Quality: Fourth Edition Incorporating the First and Second Addenda. 2022. Available online: https://www.who.int/publications/i/item/9789240045064 (accessed on 23 August 2023).
- GB 5749-2022; Sanitary Standard for Drinking Water. Ministry of Health of the People’s Republic of China, China National Standardization Management Committee: Beijing, China, 2022.











| Sampling Sites | TP (mg/kg) | TN (mg/kg) | IP (mg/kg) | OP (mg/kg) | HCI-P (mg/kg) | NaOH-P (mg/kg) |
|---|---|---|---|---|---|---|
| BLH 1 | 735.59 ± 47.92 | 1052.52 ± 49.39 | 561.89 ± 29.18 | 173.11 ± 13.29 | 98.77 ± 8.21 | 55.66 ± 6.35 |
| BLH 2 | 1071.25 ± 23.39 | 2012.51 ± 21.43 | 193.40 ± 12.91 | 877.85 ± 42.36 | 128.75 ± 11.27 | 749.10 ± 35.21 |
| BLH 3 | 1225.39 ± 31.47 | 1817.58 ± 29.35 | 241.25 ± 18.34 | 983.75 ± 53.14 | 133.82 ± 16.31 | 849.93 ± 42.64 |
| BLH 4 | 2490.64 ± 28.29 | 3520.84 ± 30.31 | 585.82 ± 20.18 | 1904.18 ± 72.16 | 812.45 ± 40.24 | 235.43 ± 26.37 |
| WT | DO | pH | Turbidity | Chlorophyll-a | Ec | |
|---|---|---|---|---|---|---|
| TN | −0.537 | −0.838 ** | −0.715 | −0.883 ** | −0.863 ** | 0.555 * |
| TP | −0.693 | −0.777 ** | −0.704 | −0.870 ** | −0.791 ** | 0.605 * |
| Indicators | WHO [69] | Standards for Drinking Water Quality in China [70] | Biliuhe Reservoir |
|---|---|---|---|
| pH | 6.5–8.5 | 6.5–8.5 | 8.3 |
| NO3− (measured by N) | 10 mg/L | -- | 2.14 mg/L |
| NH4+ (measured by N) | 1.5 mg/L | 0.5 mg/L | 0.08 mg/L |
| Cu | 1.0 mg/L | 1.0 mg/L | 0.01 mg/L |
| Zn | 5.0 mg/L | 1.0 mg/L | 0.02 mg/L |
| F | 1.5 mg/L | 1 mg/L | 0.03 mg/L |
| Cd | 0.005 mg/L | 0.005 mg/L | 0.0005 mg/L |
| Cr | 0.05 mg/L | 0.05 mg/L | 0.004 mg/L |
| Pb | 0.05 mg/L | 0.01 mg/L | 0.0025 mg/L |
| (CN)2 | 0.1 mg/L | 0.05 mg/L | 0.004 mg/L |
| SO42− | 400 mg/L | 250 mg/L | 26.38 mg/L |
| Fe | 0.3 mg/L | 0.3 mg/L | 0.003 mg/L |
| Mn | 0.1 mg/L | 0.1 mg/L | 0.001 mg/L |
| Turbidity | 5 NTU | 1 NTU | 1.13 NTU |
| Coliform bacteria | It cannot be detected in any 100 mL water sample. | It cannot be detected in any 100 mL water sample. | 23 MPN/100 mL |
| Total hardness (measured by CaCO3) | 500 mg/L | 450 mg/L | 89.6 mg/L |
| Chromaticity | 15 TCU | 15 TCU | 5 TCU |
Disclaimer/Publisher’s Note: The statements, opinions and data contained in all publications are solely those of the individual author(s) and contributor(s) and not of MDPI and/or the editor(s). MDPI and/or the editor(s) disclaim responsibility for any injury to people or property resulting from any ideas, methods, instructions or products referred to in the content. |
© 2023 by the authors. Licensee MDPI, Basel, Switzerland. This article is an open access article distributed under the terms and conditions of the Creative Commons Attribution (CC BY) license (https://creativecommons.org/licenses/by/4.0/).
Share and Cite
Li, W.; Xu, S.; Chen, X.; Han, D.; Mu, B. Influencing Factors and Nutrient Release from Sediments in the Water Level Fluctuation Zone of Biliuhe Reservoir, a Drinking Water Reservoir. Water 2023, 15, 3659. https://doi.org/10.3390/w15203659
Li W, Xu S, Chen X, Han D, Mu B. Influencing Factors and Nutrient Release from Sediments in the Water Level Fluctuation Zone of Biliuhe Reservoir, a Drinking Water Reservoir. Water. 2023; 15(20):3659. https://doi.org/10.3390/w15203659
Chicago/Turabian StyleLi, Weijia, Shiguo Xu, Xiaoqiang Chen, Dongning Han, and Baoquan Mu. 2023. "Influencing Factors and Nutrient Release from Sediments in the Water Level Fluctuation Zone of Biliuhe Reservoir, a Drinking Water Reservoir" Water 15, no. 20: 3659. https://doi.org/10.3390/w15203659
APA StyleLi, W., Xu, S., Chen, X., Han, D., & Mu, B. (2023). Influencing Factors and Nutrient Release from Sediments in the Water Level Fluctuation Zone of Biliuhe Reservoir, a Drinking Water Reservoir. Water, 15(20), 3659. https://doi.org/10.3390/w15203659
