Scrutinization of Waste Discharge Concentrations in Eyring-Powell Nanofluid Past a Deformable Horizontal Plane Surface
Abstract
1. Introduction
- What effect does the heat sink/source have on the temperature disparity within the fluid layers near the boundary and the temperature distribution on the behavior of nanofluid?
- What are the effects of skin friction, Nusselt number, and Sherwood number on the behavior of Eyring–Powell fluid in the presence of silver nanoparticles?
- How do the silver nanoparticles affect the reduction in the pollutant dispersal?
2. Problem Formulation

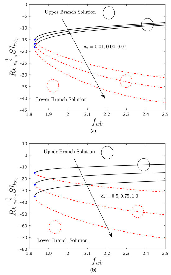
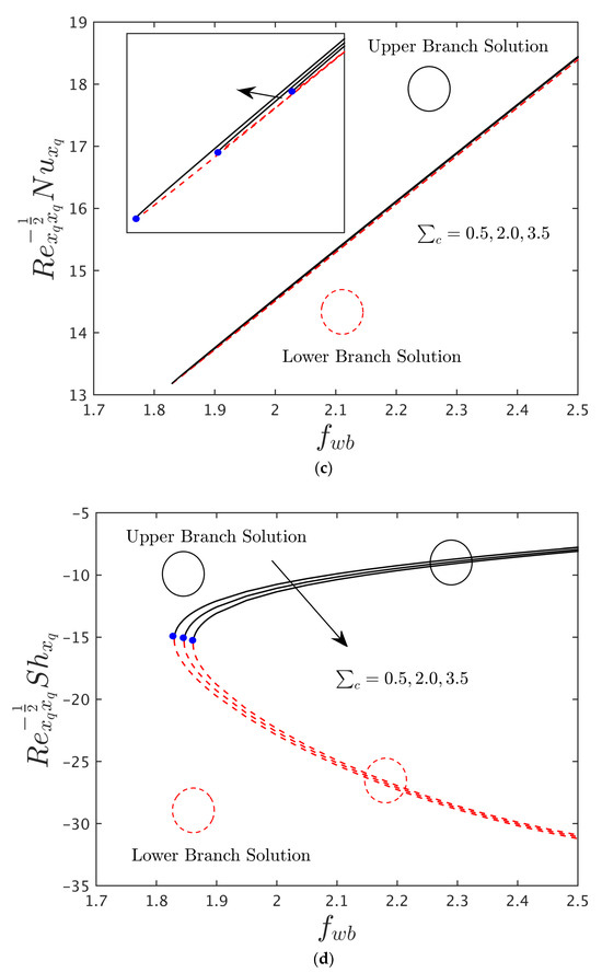
3. Graphical Results and Discussion
4. Conclusions
- The dual (SB and UB) outcomes occur only for the limiting cases like shrinking surface and mass suction parameters, with variation of the other influential parameters.
- The boundary layer separations lessened with the higher influence of and but were augmented with superior impacts of .
- The inclusion of the silver nanoparticles improves the heat transfer rate for both (SB and UB) consequences, whereas the rate of mass transfer declines for the SBS and rises for the UBS.
- The mass transfer rate declined for both (SB and UB) solutions with the superior impact of the local external pollutant concentration parameters.
- The shear stress coefficients in both (SMW and SNW) directions initially incline and then decline for the SBS owing to the higher impacts of , while the contrary behaviors are found for the UBS.
- The mass transfer rate values increases with the significant impact of pollutant concentration parameters , and .
Author Contributions
Funding
Data Availability Statement
Acknowledgments
Conflicts of Interest
Nomenclature
| : | Constant stretching rates |
| Exponentially decaying space coefficient | |
| Time-dependent heat absorption/generation | |
| Specific heat (J/Kg. K) | |
| Stretching-rate ratio parameter | |
| , | Arbitrary constants |
| Velocity of the deformable surface (m/s) | |
| Wall Concentration | |
| Temperature of wall (K) | |
| Ambient temperature (K) | |
| Dimensionless velocities in streamwise and spanwise direction | |
| Dimensionless temperature | |
| Dimensionless concentration | |
| Prandtl number | |
| Mass transfer factor | |
| Heat transfer rate | |
| Mass transfer rate | |
| Skin friction coefficients in streamwise and spanwise direction | |
| Local Reynolds numbers | |
| Concentration molecular diffusivity (m2/s) | |
| Power-law index | |
| Thermal conductivity (W/m K) | |
| , | External pollutant strengths |
| Mass transpiration(m/s) velocity | |
| Velocity components along and axes (m/s) | |
| Coordinates (m) | |
| Greek symbols | |
| Eyring–Powell fluid characteristics | |
| Pollutant parameter of external source | |
| Pollutant parameter external source variation | |
| Shear stress (kg/m2 s) | |
| Solid fraction volume of nanoparticles | |
| Kinematic viscosity (m2/s) | |
| Deformable horizontal plane surface | |
| Viscosity (N. s/m2) | |
| Pseudo-similarity variable | |
| Specific heat capacity (J kg−1 K−1) | |
| Density (kg m−3) | |
| Stream function | |
| , | Eyring–Powell fluid parameters |
| Acronyms | |
| Ag | Silver |
| EPF | Eyring–Powell fluid |
| SMW | Streamwise |
| SNW | Spanwise |
| HTR | Heat transfer rate |
| MTR | Mass transfer rate |
| H2O | Water |
| SBS | Stable branch solution |
| UBS | Unstable branch solution |
| SB | Stable branch |
| UB | Unstable branch |
| BP | Bifurcation point |
| CP | Critical point |
| SSCs | Shear stress coefficients |
| TCN | Thermal conductivity |
| HPS | Horizontal plane surface |
| 3D | Three-dimensional flows |
| BC | Boundary condition |
| Subscripts | |
| Solid nanoparticles | |
| Nanoliquid | |
| Base fluid | |
| Boundary condition at wall | |
| Far-field condition | |
| Superscript | |
| Derivative with respect to | |
References
- Gitis, V.; Hankins, N. Water treatment chemicals: Trends and challenges. J. Water Process Eng. 2018, 25, 34–38. [Google Scholar] [CrossRef]
- Hodges, B.C.; Cates, E.L.; Kim, J. Challenges and prospects of advanced oxidation water treatment processes using catalytic nanomaterial. Nat. Nanotechnol. 2018, 13, 642–650. [Google Scholar] [CrossRef] [PubMed]
- Umar, K.; Haque, M.M.; Mir, N.A.; Muneer, M. Titanium dioxide-Mediated photocatalyzed mineralization of Two Selected organic pollutants in aqueous suspensions. J. Adv. Oxid. Technol. 2013, 16, 252–260. [Google Scholar]
- Umar, K.; Ibrahim, M.N.M.; Ahmad, A.; Rafatullah, M. Synthesis of Mn-Doped TiO2 by novel route and photocatalytic mineralization/intermediate studies of organic pollutants. Res. Chem. Intermediat. 2019, 45, 2927–2945. [Google Scholar] [CrossRef]
- Baruah, S.; Khan, M.N.; Dutta, J. Perspectives and applications of nanotechnology in water treatment. Environ. Chem. Lett. 2016, 14, 1–14. [Google Scholar] [CrossRef]
- Cintolesi, C.; Barbano, F.; Di Sabatino, S. Large-Eddy Simulation Analyses of Heated Urban Canyon Facades. Energies 2021, 14, 3078. [Google Scholar] [CrossRef]
- Chinyoka, T.; Makinde, O.D. Modelling and Analysis of the Dispersal of a Polymeric Pollutant Injected into a Channel Flow of aNewtonian Liquid. Diffus. Found. Mater. Appl. 2023, 33, 23–56. [Google Scholar]
- Vinutha, K.; Sunitha, M.; Madhukesh, J.K.; Khan, U.; Zaib, A.; Sherif, E.-S.M.; Hassan, A.M.; Pop, I. Computational examination of heat and mass transfer inducedby ternary nanofluid flow across convergent/divergent channels with pollutant concentration. Water 2023, 15, 2955. [Google Scholar]
- Buzea, C.; Pacheco, I.I.; Robbie, K. Nanomaterials and nanoparticles: Sources and toxicity. Biointerphases 2007, 2, MR17–MR71. [Google Scholar] [CrossRef]
- Liang, X.J.; Kumar, A.; Shi, D.; Cui, D. Nanostructures for medicine and pharmaceuticals. J. Nanomater. 2012, 2012, 921897. [Google Scholar] [CrossRef]
- Parmon, V. Nanomaterials in catalysis. Mater. Res. Innov. 2008, 12, 60–61. [Google Scholar] [CrossRef]
- Bujoli, B.; Roussiere, H.; Montavon, G.; Laïb, S.; Janvier, P.; Alonso, B.; Fayon, F.; Petit, M.; Massiot, D.; Bouler, J.-M.; et al. Novel phosphate–phosphonate hybrid nanomaterials applied to biology. Prog. Solid State Chem. 2006, 34, 257–266. [Google Scholar] [CrossRef][Green Version]
- Kusior, A.; Klich-Kafel, J.; Trenczek-Zajac, A.; Swierczek, K.; Radecka, M.; Zakrzewska, K. TiO2–SnO2 nanomaterials for gas sensing and photocatalysis. J. Europ. Ceram. Soc. 2013, 33, 2285–2290. [Google Scholar] [CrossRef]
- Khin, M.M.; Nair, A.S.; Babu, V.J.; Murugan, R.; Ramakrishna, S. A review on nanomaterials for environmental remediation. Energy Environ. Sci. 2012, 5, 8075–8109. [Google Scholar] [CrossRef]
- Yan, J.; Han, L.; Gao, W.; Xue, S.; Chen, M. Biochar supported nanoscale zerovalent iron composite used as persulfate activator for removing trichloroethylene. Bioresour. Technol. 2015, 175, 269–274. [Google Scholar] [CrossRef] [PubMed]
- Tang, W.-W.; Zeng, G.-M.; Gong, J.-L.; Liang, J.; Xu, P.; Zhang, C.; Huang, B.B. Impact of humic/fulvic acid on the removal of heavy metals from aqueous solutions using nanomaterials: A review. Sci. Total Environ. 2014, 468–469, 1014–1027. [Google Scholar] [CrossRef] [PubMed]
- Liu, F.; Yang, J.H.; Zuo, J.; Ma, D.; Gan, L.; Xie, B.; Wang, P.; Yang, B. Graphene-supported nanoscale zero-valent iron: Removal of phosphorus from aqueous solution and mechanistic study. J. Environ. Sci. 2014, 26, 1751–1762. [Google Scholar] [CrossRef] [PubMed]
- Kalhapure, R.S.; Sonawane, S.J.; Sikwal, D.R.; Jadhav, M.; Rambharose, S.; Mocktar, C.; Govender, T. Solid lipid nanoparticles of clotrimazole silver complex: An efficient nano antibacterial against Staphylococcus aureus and MRSA. Colloids Surf. B Biointerfaces 2015, 136, 651–658. [Google Scholar] [CrossRef]
- Lu, H.; Wang, J.; Stoller, M.; Wang, T.; Bao, Y.; Hao, H. An overview of nanomaterials for water and wastewater treatment. Adv. Mater. Sci. Eng. 2016, 2016, 4964828. [Google Scholar] [CrossRef]
- Yaqoob, A.A.; Parveen, T.; Umar, K.; Ibrahim, M.N.M. Role of nanomaterials in the treatment of wastewater: A review. Water 2020, 12, 495. [Google Scholar] [CrossRef]
- Zahmatkesh, S.; Hajiaghaei-Keshteli, M.; Bokhari, A.; Sundaramurthy, S.; Panneerselvam, B.; Rezakhani, Y. Wastewater treatment with nanomaterials for the future: A state-of-the-art review. Enviorn. Res. 2023, 216, 114652. [Google Scholar] [CrossRef] [PubMed]
- Ariel, P.D. A hybrid method for computing the flow ofviscoelastic fluids. Int. J. Numer. Methods Fluid 1992, 14, 757–774. [Google Scholar] [CrossRef]
- Hayat, T.; Maqbool, K.; Asghar, S. Hall and heat transfer effects on the steady flow of a Sisko fluid. Z. Naturforschung 2009, 64, 769–782. [Google Scholar] [CrossRef]
- Acharya, N.; Das, K.; Kundu, P.K. Cattaneo–Christov intensity of magnetised upper-convected Maxwell nanofluid flow over an inclined stretching sheet: A generalised Fourier and Fick’s perspective. Int. J. Mech. Sci. 2017, 130, 167–173. [Google Scholar] [CrossRef]
- Khan, U.; Zaib, A.; Ishak, A.; Waini, I.; Sherif, E.-S.M.; Boonsatit, N.; Pop, I.; Jirawattanapanit, A. Ramification of hall and mixed convective radiative flow towards a stagnation point into the motion of water conveying alumina nanoparticles past a flat vertical plate with a convective boundary condition: The case of non-Newtonian Williamson fluid. Lubricants 2022, 10, 192. [Google Scholar] [CrossRef]
- Jalil, M.; Asghar, S.; Imran, S.M. Self similar solutions for the flow and heattransfer of Powell–Eyring fluid over a moving surface in a parallel free stream. Int. J. Heat Mass Transf. 2013, 65, 73–79. [Google Scholar] [CrossRef]
- Roşca, A.V.; Pop, I. Flow and heat transfer of Powell–Eyring fluid over a shrinking surface in a parallel free stream. Int. J. Heat Mass Transf. 2014, 71, 321–327. [Google Scholar] [CrossRef]
- Rahimi, J.; Ganji, D.D.; Khaki, M.; Hosseinzadeh, K. Solution of the boundary layer flow of an Eyring-Powell non-Newtonian fluid over a linear stretching sheet by collocation method. Alexandria Eng. J. 2017, 56, 621–627. [Google Scholar] [CrossRef]
- Reddy, S.R.R.; Reddy, P.B.A.; Bhattacharyya, K. Effect of nonlinear thermal radiation on 3D magneto slip flow of Eyring-Powell nanofluid flow over a slendering sheet with binary chemical reaction and Arrhenius activation energy. Adv. Powder Technol. 2019, 30, 3203–3213. [Google Scholar] [CrossRef]
- Khan, Z.; Rasheed, H.U.; Abbas, T.; Khan, W.; Khan, I.; Baleanu, D.; Nisar, K.S. Analysis of Eyring–Powell fluid flow used as a coating material for wire with variable viscosity effect along with thermal radiation andJoule heating. Crystals 2020, 10, 168. [Google Scholar] [CrossRef]
- Hassan, M.; Ahsan, M.; Usman; Alghamdi, M.; Muhammad, T. Entropy generation and flow characteristics of Powell Eyring fluid under effects of time sale and viscosities parameters. Sci. Rep. 2023, 13, 8376. [Google Scholar] [CrossRef]
- Tawade, J.; Abel, M.S.; Metri, P.G.; Koti, A. Thin film flow and heat transfer over an unsteady stretching sheet with thermal radiation, internal heating in the presence of external magnetic field. Int. J. Adv. Appl. Math. Mech. 2016, 3, 29–40. [Google Scholar]
- Das, K.; Acharya, N.; Kundu, P.K. The onset of nanofluid flow past a convectively heated shrinking sheet in presence of heat source/sink: A Lie group approach. Appl. Therm. Eng. 2016, 103, 38–46. [Google Scholar] [CrossRef]
- Thumma, T.; Beg, O.A.; Kadir, A. Numerical study of heat source/sink effects on dissipative magnetic nanofluid from a non-linear inclined stretching/shrinking sheet. J. Mol. Liq. 2017, 232, 159–173. [Google Scholar] [CrossRef]
- Acharya, N.; Das, K.; Kundu, P.K. Framing the features of MHD boundary layer flow past an unsteady stretching cylinder in presence of non-uniform heat source. J. Mol. Liq. 2017, 225, 418–425. [Google Scholar] [CrossRef]
- Ramadevi, B.; Anantha Kumar, K.; Sugunamma, V.; Reddy, J.V.R.; Sandeep, N. Magnetohydrodynamic mixed convective flow of micropolar fluid past a stretching surface using modified Fourier’s heat flux model. J. Therm. Anal. Calorim. 2020, 139, 1379–1393. [Google Scholar] [CrossRef]
- Khan, U.; Zaib, A.; Ishak, A.; Elatter, S.; Eldin, S.M.; Raizah, Z.; Waini, I.; Waqas, M. Impact of irregular heat sink/source on the wall Jet flow and heat transfer in a porous medium induced by a nanofluid with slip and buoyancy effects. Symmetry 2022, 14, 2212. [Google Scholar] [CrossRef]
- Weidman, P. Flows induced by power-law stretching surface motion modulated by transverse or orthogonal surface shear. Comptes Rendus Mècanique 2017, 345, 169–176. [Google Scholar] [CrossRef]
- Narsimhan, G. Rheological methods in food process engineering. J. Food Eng. 1994, 23, 249–250. [Google Scholar] [CrossRef]
- Ara, A.; Khan, N.A.; Khan, H.; Sultan, F. Radiation effect on boundary layer flow of an Eyring—Powell fluid over an exponentially shrinking sheet. Ain Shams Eng. J. 2014, 5, 1337–1342. [Google Scholar] [CrossRef]
- Nabwey, H.A.; Rashad, A.M.; Khan, W.A. Slip microrotation flow of silver-sodium alginate nanofluid via mixed convection in a porous medium. Mathematics 2021, 9, 3232. [Google Scholar] [CrossRef]
- Miklavčič, M.; Wang, C. Viscous flow due to a shrinking sheet. Q. Appl. Math. 2006, 64, 283–290. [Google Scholar] [CrossRef]
- Fang, T. Boundary layer flow over a shrinking sheet with power-law velocity. Int. J. Heat Mass Transf. 2008, 51, 5838–5843. [Google Scholar] [CrossRef]
- Shampine, L.F.; Gladwell, I.; Thompson, S. Solving ODEs with MATLAB; Cambridge University Press: Cambridge, UK, 2003. [Google Scholar]
- Devi, S.S.U.; Devi, S.P.A. Heat transfer enhancement of Cu-Al2O3/water hybrid nanofluid flow over a stretching sheet. J. Niger. Math. Soc. 2017, 36, 419–433. [Google Scholar]
- Wang, C.Y. Free convection on a vertical stretching surface. J. Appl. Math. Mech. (ZAMM) 1989, 69, 418–420. [Google Scholar] [CrossRef]
- Khan, W.; Pop, I. Boundary-layer flow of a nanofluid past a stretching sheet. Int. J. Heat Mass Transf. 2010, 53, 2477–2483. [Google Scholar] [CrossRef]









| Properties | Correlations |
|---|---|
| Dynamic viscosity | |
| Density | |
| Heat capacity | |
| Thermal conductivity |
| Properties | Pr | |||
|---|---|---|---|---|
| H2O | 997.1 | 4179 | 0.613 | 6.2 |
| Silver | 10,500 | 235 | 429 | - |
Disclaimer/Publisher’s Note: The statements, opinions and data contained in all publications are solely those of the individual author(s) and contributor(s) and not of MDPI and/or the editor(s). MDPI and/or the editor(s) disclaim responsibility for any injury to people or property resulting from any ideas, methods, instructions or products referred to in the content. |
© 2023 by the authors. Licensee MDPI, Basel, Switzerland. This article is an open access article distributed under the terms and conditions of the Creative Commons Attribution (CC BY) license (https://creativecommons.org/licenses/by/4.0/).
Share and Cite
Elattar, S.; Khan, U.; Zaib, A.; Ishak, A.; Saleh, W.; Abed, A.M. Scrutinization of Waste Discharge Concentrations in Eyring-Powell Nanofluid Past a Deformable Horizontal Plane Surface. Water 2023, 15, 3419. https://doi.org/10.3390/w15193419
Elattar S, Khan U, Zaib A, Ishak A, Saleh W, Abed AM. Scrutinization of Waste Discharge Concentrations in Eyring-Powell Nanofluid Past a Deformable Horizontal Plane Surface. Water. 2023; 15(19):3419. https://doi.org/10.3390/w15193419
Chicago/Turabian StyleElattar, Samia, Umair Khan, Aurang Zaib, Anuar Ishak, Wafaa Saleh, and Ahmed M. Abed. 2023. "Scrutinization of Waste Discharge Concentrations in Eyring-Powell Nanofluid Past a Deformable Horizontal Plane Surface" Water 15, no. 19: 3419. https://doi.org/10.3390/w15193419
APA StyleElattar, S., Khan, U., Zaib, A., Ishak, A., Saleh, W., & Abed, A. M. (2023). Scrutinization of Waste Discharge Concentrations in Eyring-Powell Nanofluid Past a Deformable Horizontal Plane Surface. Water, 15(19), 3419. https://doi.org/10.3390/w15193419

