Next Article in Journal
A Study on the Characteristics of Beach Profile Evolution According to the Particle Size Variation of Beach Nourishment
Next Article in Special Issue
Scrutinization of Waste Discharge Concentrations in Eyring-Powell Nanofluid Past a Deformable Horizontal Plane Surface
Previous Article in Journal
Seepage and Heat Transfer of Dominant Flow in Fractured Geothermal Reservoirs: A Review and Outlook
Previous Article in Special Issue
Sequestration of Toxic Metal Ions from Industrial Effluent Using the Novel Chelating Resin Tamarind Triazine Amino Propanoic Acid (TTAPA)
 
 
Font Type:
Arial Georgia Verdana
Font Size:
Aa Aa Aa
Line Spacing:
Column Width:
Background:
Article

Computational Examination of Heat and Mass Transfer Induced by Ternary Nanofluid Flow across Convergent/Divergent Channels with Pollutant Concentration

1
Department of Studies in Mathematics, Davangere University, Davangere 577002, India
2
Department of Mathematics and Statistics, University College for Women, Koti, Hyderabad 500095, India
3
Department of Mathematics, Amrita School of Engineering, Amrita Vishwa Vidyapeetham, Bengaluru 560035, India
4
Department of Mathematical Sciences, Faculty of Science and Technology, Universiti Kebangsaan Malaysia UKM, Bangi 43600, Selangor, Malaysia
5
Department of Computer Science and Mathematics, Lebanese American University, Byblos 1401, Lebanon
6
Department of Mathematics and Social Sciences, Sukkur IBA University, Sukkur 65200, Sindh, Pakistan
7
Department of Mathematical Sciences, Federal Urdu University of Arts, Science & Technology, Gulshan-e-Iqbal, Karachi 75300, Pakistan
8
Mechanical Engineering Department, College of Engineering, King Saud University, P.O. Box 800, Al-Riyadh 11421, Saudi Arabia
9
Mechanical Engineering, Future University in Egypt, New Cairo 11835, Egypt
10
Department of Mathematics, Babeş-Bolyai University, 400084 Cluj-Napoca, Romania
*
Author to whom correspondence should be addressed.
Water 2023, 15(16), 2955; https://doi.org/10.3390/w15162955
Submission received: 7 July 2023 / Revised: 5 August 2023 / Accepted: 7 August 2023 / Published: 16 August 2023

Abstract

:
Studying waste discharge concentration across a convergent/divergent channel is essential in environmental-related applications. Successful environmental administration must understand the behavior and concentration of waste contaminants released into these channels. Analyzing waste discharge concentrations aids in determining the efficacy of treatment techniques and regulatory controls in lowering pollutant scales. Because of this, the current analysis examines the ternary-based nanofluid flow across convergent/divergent channels, including non-uniform heat source/sink and concentration pollutants. The study also concentrates on understanding the movement and heat transmission characteristics in ternary-based nano-liquid systems with divergent and convergent channels and maximizing the ternary nanofluid flow’s effectiveness. The equations representing the flow, temperature, and concentrations are transformed into a system of ODEs (ordinary differential equations) and are obtained by proper similarity variables. Further, solutions of ODEs are gathered by using the Runge Kutta Fehlberg 4-5 (RKF-45) method and shooting procedure. The significant dimensionless constraints and their impacts are discussed using plots. The results mainly focus on improving local and external pollutant source variation will enhance the concentration for the divergent channel while declining for the convergent channel. Adding a solid fraction of nanoparticles will escalate the surface drag force. These findings may enhance heat management, lessen pollutant dispersion, and enhance the circulation of nanofluid systems.

1. Introduction

A form of fluid known as a “nanofluid” has small particles scattered throughout a base fluid. Nanoscale particles typically have sizes of less than 100 nm. The base fluid becomes more thermally efficient when nanoparticles are added. In 1995, Choi and Eastman [1] first proposed the concept of nanofluids, and the results of their experiments show that introducing nanoparticles into base fluids enhances the fluid’s capacity to offer heat conductivity. Medical areas, engineering detergent production, automotive cooling, nuclear reactor cooling fluid, and military applications are just a few of the different fields where nanofluids are used. Hybrid nanofluids are base fluids with two distinct nanoparticles that have been combined. The thermal efficiency of a hybrid nanofluid is higher than that of an ordinary nanofluid due to the combines two distinct nanoparticles with base fluid. Engineering, medical areas, nuclear reactor cooling, detergent production, automotive cooling, braking fluid, and military applications are just a few of the different fields where nanofluids are used. Three distinct nanoparticles together with a base fluid combine to form a ternary nanofluid. Ternary hybrid nanofluid has superior thermal efficiency and fluid flow motion than simple and hybrid nanofluid. Ternary nanofluids are used in industries, medical, and mechanical fields. Additionally, they are utilized as a coolant in automobiles, heat exchangers, and other automotive fields. Madhukesh et al. [2] studied the movement of a hybrid nanofluid using Newtonian heating through a curved stretching sheet. Animasaun et al. [3] explored the dynamics of a ternary-hybrid nanofluid on convectively heated surfaces by taking the impact of magnetic flux density and the presence of a heat source or sink into consideration. The findings reveal that convective heating and inclined magnetic fields have a significant positive influence on temperature distribution, and these outcomes have potential applications in enhancing heat transfer and managing thermal processes. Yaseen et al. [4], investigated the bioconvection of a ternary nanofluid flow containing gyrotactic microbes, and the various factors considered, such as natural convection, heat source/sink, and radiation, while examining different shapes. Khan et al. [5] studied the water-based ternary hybrid nanoparticles moving in a dependent-on-time mode over a rotating, porous stretching sphere. Ramesh et al. [6] studied the thermal behavior of ternary nanofluids flow on the porous medium surface with a heat source/sink. Das et al. [7] examined the theoretical modeling of a completely realized mixed convective flow of an ionic ternary hybrid nanofluid generated by electroosmosis and magnetohydrodynamics in an extended, vertical, non-conducting channel with linearly rising channel walls.
Pollutant concentration measures how much a hazardous chemical is present in a given volume of soil, water, air, or another medium. Nanoparticles have the potential to boost heat transfer and have many kinds of features in the removal of pollutants. A major problem that has influenced how individuals move about their everyday lives is pollution. Impurities seriously affect the health of animals, humans, plants, and living things. The heart, liver, kidneys, and respiratory systems are all negatively affected by pollution. In most cases, the main causes of air pollution in cities are heating systems in homes and automobile emissions. Pollution is only one of the industrial operations’ negative environmental consequences on the ecosystem. Even in tiny quantities, certain pollutants could have positive benefits. Sulfur dioxide, in small amounts, may promote plant development. Copper and zinc are vital elements in animal bodies. Some researchers have studied the contribution of external pollutant source factors on the concentration of pollutants. Makinde et al. [8] investigated the system of equations regulating river pollution transfer using classical Lie points. Numerically examined the pollutant concentration dispersion in a 2D consolidated river model by Pengpop et al. [9]. Chinyoka and Makinde [10] explore the dynamics of polymeric pollutant dispersion in a rectangular channel, caused by an external source in a flowing Newtonian liquid, the numerical model provides insights into pollution scenarios resulting from an improper discharge of hydrocarbon products offering measurements for detecting contamination levels. The study initiated by Cintolesi et al. [11] focuses on the interaction between inertial and thermal forces in urban canyons and their impact on turbulent characteristics and pollutant removal. Large-eddy simulations model the square canyons with different facade temperatures, while a street-level scalar source represents traffic emissions. Heated facades induce convective flows to create an energetic, turbulent region at the canyon-ambient interface, enhancing pollutant removal and reducing urban drag; heating the upwind facade strengthens the internal vortex and decreases overall pollutant concentration. Chinyoka and Makinde [12] investigated the transient dispersion of a pollutant in a laminar channel flow using numerical methods, and the model considers density variation with pollutant concentration and provides insights into pollutant behavior aiding in understanding and addressing improper discharge incidents and evaluating decontamination measures for water bodies. Southerland et al. [13] studied a neighborhood-scale analysis for determining the spread of air pollution health risks in cities with high-resolution data sets utilization in the bay area.
When introducing a heat source/sink parameter, the amount of heat distributed throughout the area may fluctuate. The heat source/sink parameter increases the thermal dispersion rate while decreasing the mass transfer rate. Nuclear reactors, semiconductors, and electronic materials are examples of real-world uses for the heat source/sink phenomenon. Gireesha et al. [14] studied the effect of Biot number with an irregular heat source/sink and non-linear thermal radiation of nanofluids in the stretched surface. Khan et al. [15] examined the water-based alumina nanofluid implanted in a porous media with buoyancy force that caused a two-dimensional stretched wall jet to transfer heat in fluid flow. Khan et al. [16] studied the stability analysis and the movement of two distinct types of nanoparticles present in fluid across an extendable/shrinkable vertical surface produced by a micropolar fluid with an inconsistent heat source/sink. Kumar et al. [17] studied the hybrid ferrofluid layer flow and heat transmission in the presence of radiation and erratic heat sources and sinks. Utilizing various nanofluids in three-dimensional motion across a Riga plate, a numerical analysis of the irregular heat source/sink qualities was conducted by Raghupati et al. [18]. Khan et al. [19] studied how a wall jet nanofluid moving under the influence of Lorentz forces was affected by activation energy, an irregular heat source/sink, thermophoretic particle deposition, and chemical reaction. Vijayalakshmi et al. [20] studied the effect of the chemical reaction and nonuniform heat source/sink with a porous medium on Casson fluid in a vertical cone and flat plate.
The ability to transform fluid energy into motion energy is a characteristic of convergent channels. Pressure may be enhanced in divergent channels while velocity is raised in converging channels. Chemical, mechanical, biomechanical, civil, and environmental engineering are just a few practical applications in which fluid flow in a non-parallel channel is utilized. Convergent/divergent channels are used to produce wires, dynamics, heat exchangers, aeronautical, civil, biomechanical, pharmaceutical, biomedical devices, fiberglass, rocket engines, plastic sheets, and metal casting when a magnetic field is present. Blood movement through arteries and capillaries in the human body is an example of fluid flow in converging/diverging channels. The study of fluids over divergent/convergent channels has attracted the attention of many researchers. Rashid et al. [21] examined the joule dissipation in the motion of water transporting zinc oxide across convergent and divergent channels with the impact of nanoparticles. Ramesh et al. [22] studied the impact of the permeable medium and heat source/sink in convergent/divergent channels of ternary hybrid nanofluids. Khan et al. [23] studied the MHD flow of a viscous fluid in a channel having irregular walls and the effect of mass and heat transport in a concentration and temperature profile. Mishra et al. [24] examined the combined impact of joule heating, heat generation/absorption, and magnetohydrodynamic flow of nanofluids in stretching/shrinking, porous, divergent/convergent channels with a viscous dissipation and volume fraction. Based on ternary-nanoparticle efficiency for base fluid mixture along a convergent-divergent channel studied by Zahan et al. [25]. Adnan et al. [26] examined the influence of TR (thermal radiation) on the Jeffery-Hamel circulation as well as the motion of a viscous, incompressible liquid between two nonparallel plane walls. Saifi et al. [27] developed an innovative mathematical method for assessing heat distributions in convergent-divergent channels between non-parallel planar walls in a Jeffery Hamel flow.
Based on the literature, no study examined the non-uniform heat source/sink and pollutant concentration impacts on the ternary-based nanofluid circulation across convergent/divergent channels. The current work has been studied by taking the above effects. Using suitable transformations, the governing equations are simplified to ODEs and solved numerically using the RKF-45 method. The significant dimensionless constraints are analyzed with the help of graphs.

2. Mathematical Formulation

Consider a steady, incompressible, 2-dimensional flow and ternary nanofluid circulating between convergent/divergent channels with an angle 2 γ (see Figure 1). Here u r represents the uniform velocity in channels, and it depends on both θ and γ . The velocity profile is taken in the form of u r ,   0 ,   0 . Temperature and concentration equations contain irregular heat source/sink and pollutant concentration discharge, and both depend on θ and γ .
The following are the equations that indicate the flow that was previously discussed (See [22]):
u r r r r 1 = 0
u r r u r = υ t h n f 1 r 2 2 u r θ 2 + u r r 1 r + 2 u r r 2 u r r 2 1 ρ t h n f P r ,
r 1 ρ t h n f P θ + υ t h n f u r θ 2 r 2 = 0
u r T 1 r = k t h n f ρ C p t h n f 2 T 1 r 2 + 1 r T 1 r + 1 r 2 2 T 1 θ 2 + μ t h n f ρ C p t h n f 1 r 2 u r θ 2 + 4 u r r 2 + q ρ C p t h n f ,
u r C 1 r = D f 2 C 1 r 2 + 1 r C 1 r + 1 r 2 2 C 1 θ 2 + S 1 C 1
with corresponding boundary conditions are,
u r = U * , u r θ = 0 , T 1 θ = 0 , C 1 θ = 0   at   θ = 0 , u r = 0 , T 1 = T w 1 , C 1 = C w 1   at   θ = γ
In the temperature Equation (4), q represents the non-uniform heat source/sink, and modeled as, (see [18])
q = k f U * r υ f G * T w 1 h η + L * T 1
The values of L * & G * consequently v e and + v e denotes the internal heat sink and internal heat source factors.
From the above-stated Equations (1)–(7), the expressions are listed below:
υ t h n f :Kinematic viscosity υ t h n f = μ t h n f / ρ t h n f
D f :Coefficient of mass diffusivity
m 3 :External pollutant source variation parameter
L * :Temperature dependent heat source/sink
P :Pressure
G * :The space dependent heat source/sink
C p t h n f :Specific heat
k t h n f :Thermal conductivity
ρ C p t h n f :Specific heat capacitance
μ t h n f :Absolute viscosity
ρ t h n f :Density
Furthermore, the rest of the mathematical symbols or notations used in the governing equations represent the thermophysical properties of the ternary nanofluids. Each symbol is namely defined as above, while the correlations of these thermophysical properties for ternary nanofluids are given below, (see [7]):
μ t h n f = μ f 1 ϕ 3 2.5 1 ϕ 2 2.5 1 ϕ 1 2.5 , ρ t h n f ρ f = 1 ϕ 3 ρ 2 ρ f ϕ 2 + ϕ 1 ρ 1 ρ f + 1 ϕ 1 1 ϕ 2 + ϕ 3 ρ 3 ρ f , ρ C p t h n f = ϕ 1 ρ C p 1 + ρ C p 2 ϕ 2 + ρ C p 3 ϕ 3 + 1 ϕ 1 ϕ 2 ϕ 3 ρ C p f , k t h n f = k 3 + 2 k h n f + 2 k h n f + 2 k 3 ϕ 3 k 3 + 2 k h n f + ϕ 3 k h n f k 3 k h n f , k h n f = k 2 + 2 k n f 2 k n f 2 k 2 ϕ 2 k 2 + k n f 2 + ϕ 2 k n f k 2 k n f , k n f = k 1 + 2 k f + 2 k 1 2 k f ϕ 1 k 1 + 2 k f + ϕ 1 k f k 1 k f .
Here, k —thermal conductivity, C p —heat capacity, μ —dynamic viscosity, ρ —density, and ϕ —solid volume fraction of the nanoparticles. In the above expression, particularly the case ϕ 3 = 0 , it will reduce for hybrid nanofluid and ϕ 3 = ϕ 2 = 0 reduces to nanofluid expression, ϕ 3 = ϕ 2 = ϕ 1 = 0 denotes the expression to working base liquid. Moreover, the thermophysical experimental data of base/carrier liquid and the chosen nanoparticles are presented in Table 1.
The term S 1 C 1 that represents the external pollutant concentration in Equation (5), (see [12])
S 1 C 1 = H * e m 3 C 1 , H * = H 1 l 2 r .
To convert Equations (1)–(5) into non-dimensional form, introduced the following similarity variables, (see [23])
h η = f θ f mx , η = θ γ , β * η = T 1 T w 1 , φ * η = C 1 C w 1
For radial flow velocity profile can be represented in the form,
f θ = r u r r , θ
From the Equations (2) and (3) we can eliminate the pressure term by utilizing (10) and (11), we obtain,
B 1 1 B 2 1 h + 2 γ Re h h + 4 γ 2 B 1 1 B 2 1 h = 0 ,
and now Equations (4) and (5) are reduced to
B 4 B 3 1 β * + B 1 1 B 2 1 Pr E c 1 4 γ 2 h 2 + h 2 + B 3 1 γ Re G * h + L * β * = 0 ,
φ * + 1 2 γ δ 2 Re S c 1 exp λ 1 φ * = 0 .
Here,
B 1 = 1 ϕ 3 2.5 1 ϕ 2 2.5 1 ϕ 1 2.5 , B 2 = ϕ 3 ρ 3 ρ f + 1 ϕ 3 1 ϕ 2 1 ϕ 1 + ϕ 1 ρ 1 ρ f + ϕ 2 ρ 2 ρ f , B 3 = ϕ 3 ρ C p 3 ρ C p f + 1 ϕ 3 1 ϕ 2 1 ϕ 1 + ϕ 1 ρ C p 1 ρ C p f + ϕ 2 ρ C p 2 ρ C p f , B 4 = k t h n f k f .
The reduced boundary conditions are,
h 0 = 1 ,   h 0 = 0 ,   β * 0 = 0 ,   φ * 0 = 0   at   η = 0 , h 1 = 0 ,   β * 1 = 1 ,   φ * 1 = 1   as   η γ
From the resultant equations, the important dimensionless constraints and its expressions are provided in Table 2.
The important engineering coefficients are provided as follows:
C f = μ t h n f ρ f U * 2 1 r u r θ θ = γ ,   N u = r k t h n f k f T w 1 1 r T 1 θ θ = γ ,   S h = r D f D f C w 1 1 r C 1 θ θ = γ .
Equation (16) reduces to the following form as follows:
Re C f = h 1 B 1 ,   N u = B 4 β * 1 γ ,   S h = φ * 1 γ

3. Numerical Procedure

As a result of the Runge-Kutta-Fehlberg 4th and 5th order tactic being utilized to solve the obtained Equations (12)–(14) and boundary conditions (15). But the results of these equations are two-point, higher-order equations. By adding additional variables, it is required to make them first order, which helps to solve the system of equations and gives stability and exactness.
h = d 1 , h = d 2 , h = d 3 , β * = d 4 , β * = d 5 , φ * = d 6 , φ * = d 7 .
By using Equation (18), the Equations (11)–(13) can be written as follows,
h = B 1 B 2 2 Re γ d 1 d 2 + 1 B 1 B 2 4 γ 2 d 2 ,
β * = B 3 B 4 1 B 1 B 2 Pr E c 1 4 γ 2 d 1 2 + d 2 2 + 1 B 3 γ Re G * d 2 + L * d 4 ,
φ * = 1 2 γ δ 2 Re S c 1 exp λ 1 d 6 .
And the boundary conditions become:
d 1 0 = 1 ,   d 2 0 = 0 ,   d 5 0 = 0 ,   d 7 0 = 0 : η = 0 d 1 1 = 0 ,   d 4 1 = 1 ,   d 6 1 = 1 : η γ
The properties of the nanofluid described in Equation (8) and the thermophysical characteristics listed in Table 1 are used to successfully solve the resulting equations. Table 2 lists the default settings used throughout the process. The current results are supported by previous studies by (see [22]) using restricted scenarios, as seen in Table 3.

4. Result and Discussion

The complete review of the outcomes of the numerical analysis is given in the present part. Graphs are used to illustrate the most important parameters E c 1 ,   G * ,   L * ,   λ 1 ,   δ 2 ,   γ ,   Re   and   ϕ 3 and their effects on the corresponding profiles. This section also covers additional important components including skin friction, the Nusselt number, and the Sherwood number. This research also provides clarity on how ternary nanofluids in convergent and divergent channels, have a significant impact along with practical implications.
The impact of ϕ 3 on h and β * profiles can be observed in Figure 2a,b. Figure 2a explains that increasing ϕ 3 will increase velocity h in convergent channels while decreasing in divergent channels. The behavior of the flow will be impacted by the presence of solid nanoparticles. The nanofluid will have a higher concentration as a result of the addition of nanoparticles, which will also strengthen the contact between the liquid and solid particles and improve velocity.
When there are solid particles present, the expanding process becomes difficult in a diverging channel, which reduces flow velocity. The enhancement in the values of ϕ 3 will decrease the concentration for both channel situations, as seen in Figure 2b. This is because the solid particles act as conductive channels that carry heat throughout the fluid. As ϕ 3 increases, a narrower temperature distribution is produced because more solid particles contribute to overall thermal conductivity. The fact that the thermal distribution of the convergent channel is different from that of the divergent channel provides additional confirmation that the convergent form facilitates higher heat transfer. Fluid particles are brought in closer by the converging walls of the channel, which improves the transfer of heat energy. Thermal dispersion and an increased range of temperatures occur because of divergent channel shapes.
Figure 3 illustrates the impact of E c 1 on β * for both convergent and divergent channel scenarios. Increasing in E c 1 will increases the β * in both convergent and divergent channels. However, in this case of E c 1 the divergent channel exhibits a higher thermal dispersion than the converging channel. This is because the improved thermal distribution seen with higher E c 1 is caused by the fluid’s enhanced thermal conduction movement. Convective transfer of heat seems to be contributing more than other types of heat transmission when E c 1 values are higher. A more efficient exchange of thermal energy between the liquid and its surroundings is made possible by this increased convective heat transfer, leading to better thermal dispersion.
The impact of the space-dependent heat source/sink parameter on β * is shown in Figure 4a. Figure 4a shows that, in the case of a convergent channel, an increase in the G * ( G * > 0 ) values improves the thermal distribution, whereas contrary behavior is shown in the situation of a divergent channel. G * values represent the local heat production and absorption inside the liquid. Positive G * values indicate that the fluid is producing heat, which raises the temperature, like how a negative value for G * indicates the presence of heat causes a liquid to cool. Since the heat generated is partly confined in the convergent channel where the liquid is compressed, heat distribution is greatly improved. A decrease in temperature with rising values in the convergent channel can be attributed to heat being absorbed from the fluid. The temperature drops as a result of the fluid losing thermal energy due to the heat sink effect. The thermal energy within the fluid rises due to the generation of local heat, but as the fluid spreads in the diverging channel, the extra heat is diffused across a larger area. As a result, the rise in temperature becomes less substantial, which causes a fall in temperature. The distribution of temperature is evened as a result of the liquid’s thermal energy being drained by the heat sink effect. A more consistent temperature profile is produced as a result of heat absorption, which takes the place of temperature variations.
Figure 4b represents the impact of temperature-dependent heat source/sink ( L * ) on β * for both divergent/convergent channel. Negative values of L * represents the temperature-dependent heat sink, and positive values of L * represents the temperature-dependent heat source. The thermal distribution will drop in the convergent channel with increased values of the temperature-dependent heat source restriction, but increase in the divergent channel. The thermal distribution diminishes in the divergent channel but rises in the convergent channel due to the better temperature-dependent heat sink constraints. L * > 0 indicates temperature is generated within the fluid as the temperature increases, and leads to the rise in temperature, while L * < 0 indicates that temperature is transported by fluid as temperature improves, subsequently decreasing in thermal profile.
When L * > 0 , the fluid’s internal heat generation develops as the liquid’s temperature does. This additional heat increases the channel’s overall temperature distribution, resulting in a more stable temperature profile. As the fluid temperature increases, the amount of heat produced inside the fluid increases. However, the fluid gets squeezed in the convergent channel, which causes the additional heat to be more constrained and less distributed, leading to a decrease in temperature. As the temperature of the liquid improves when, the influence of the heat sink increases, increasing the heat absorption from the fluid. L * > 0 , the heat sink impact increases more efficient at storing thermal energy from heated locations as the temperature of the liquid increases. A more consistent temperature profile is produced as a result of this heat removal, which takes into account temperature variations in the convergent channel.
Figure 5a,b demonstrate the distribution of concentration profile for δ 2 and λ 1 . The concentration will drop as δ 2 and λ 1 values rise in a convergent channel, whereas the converse is true in a divergent channel. Both the external pollutant origin variation constraint and the local pollutant external source constraint pertain to fluctuations or external sources of contaminants injected into the liquid stream. An upsurge in these variables denotes a rise in pollutant intake or volatility, which raises concentration. When more pollutants are provided, or the diversity of pollutant sources develops, the overall concentration of pollutants in the liquid stream rises. The increase in concentration can be observed throughout as a result of the greater concentration being spread out across a larger volume in the diverging channel. When more pollutants are given, the fluid’s concentration of pollutants decreases. In the convergent channel, where the fluid gets squeezed, the concentration of the pollutant is less distributed and more constrained.
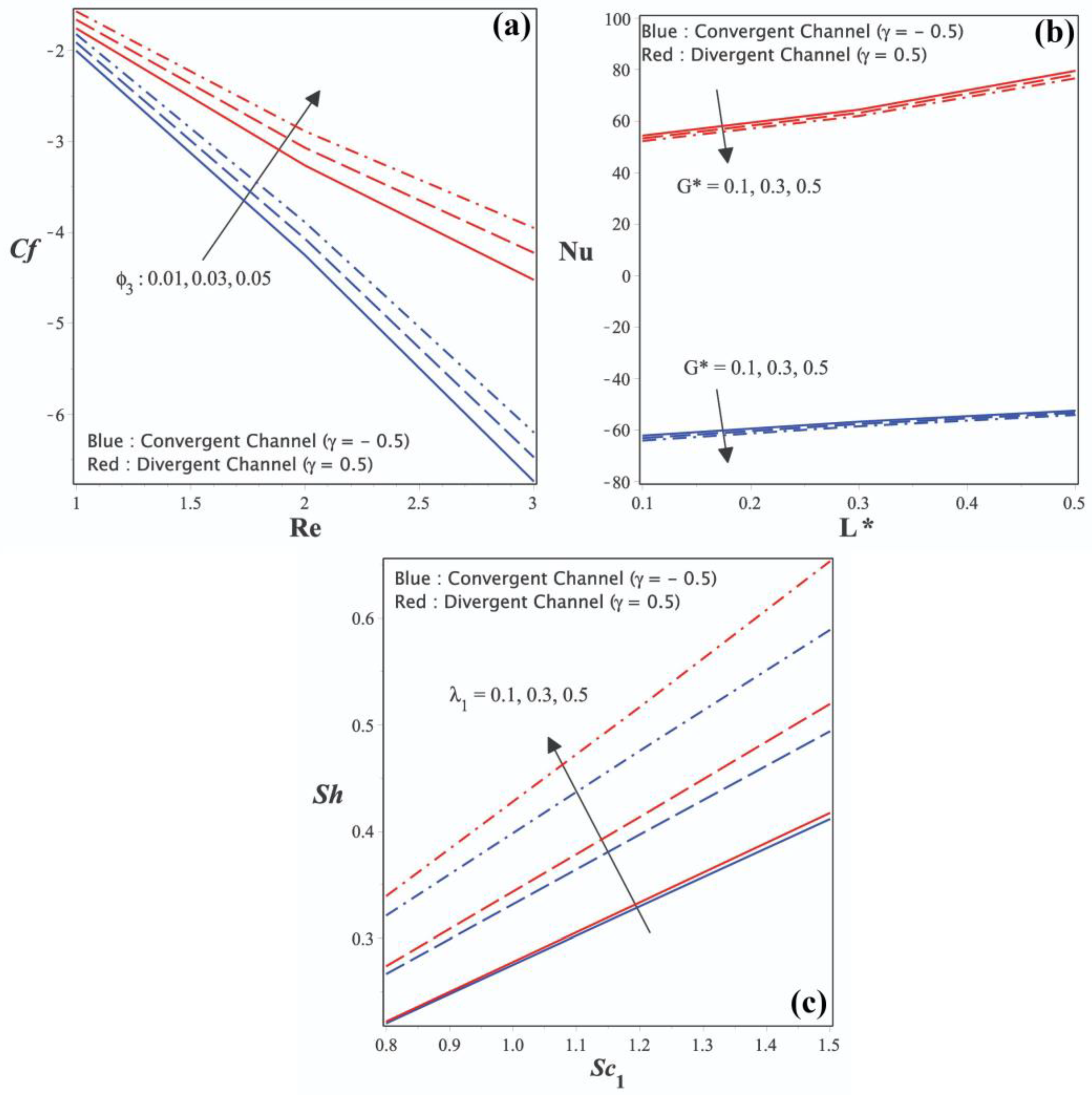
Figure 6a–c shows the engineering coefficients C f , N u , and S h , on various non-dimensional parameters, respectively. The influence of skin friction over Re for growth in the magnitude of ϕ 3 is shown in Figure 6a. The addition of ϕ 3 and improved values of Re will result in a surge at the surface drag force for the convergent and divergent channels. Additionally, divergent channels will have a greater surface drag force compared to convergent channels. Higher Re values and an increase in the solid volume percentage will enhance the contact between liquid and solid nano-sized particles. The flow encounters a larger surface area in a divergent channel scenario than in a convergent channel situation. Therefore, there is more surface drag force in the case of a diverging channel.
Figure 6b represents the change in the thermal distribution rate on L * for different values of G * . The rate of heat transmission will decrease as these two parameters get higher. The graph also makes it very evident that N u is more of a divergent channel case than a convergent channel scenario. When heat generation is more localized within the fluid and the parameters of heat transport change with temperature, thermal energy is diffused more slowly. The rate of heat dispersion decreases as a result. The fluid is compressed in the convergent channel, where the thermal energy is more concentrated, leading to a decreased rate of heat distribution. In the diverging channel, where the fluid expands, the thermal energy is distributed more uniformly, leading to a higher rate of heat dispersion.
The mass transfer rate on S c 1 for a rise in the value of the external pollution source variation parameter is shown in Figure 6c. Increases in these two variables will speed up mass transport in the fluid flow. In addition, it has been discovered that divergent channels have a higher mass transfer rate than convergent channels. When the Schmidt number rises and the pollution input or variation from outside the fluid increases, the mass transfer inside the fluid becomes more effective. The rate of mass transfer consequently rises, indicating that contaminants move between locations faster. The fluid increases in the diverging channel, where there is more mixing and contact with the sources of pollution. As a result, mass transfer happens more quickly. The convergent channel, on the other hand, is subjected to greater compression, which minimizes the dissolution and contact between the liquid and the sources of pollution, resulting in a slower mass transmission rate.

5. Conclusions

The current work concentrates on the irregular heat source/sink impact and pollutant concentration in ternary nanofluid flow between convergent/divergent channels. The study’s principal findings are listed below.
  • For the convergent channel situation, the inclusion of ϕ 3 values will improve the velocity profile, but the divergent channel exhibits the opposite characteristic.
  • The concentration profile in both channels will be improved by both λ 1 and δ 2 .
  • In the presence of the Eckert number, the heat spreading is more concentrated in divergent channels than convergent channels.
  • Convergent channels display a lower surface drag than divergent channels due to an increase in the solid volume percentage and Reynolds number.
  • When an external pollutant source parameter is present, the rate of mass transfer increases.
The domains of energy systems, environmental engineering, and thermal management systems can all benefit from the study’s conclusions. Information from pollutant concentration studies can assist environmental organizations, businesses, and governments in controlling and lowering pollution levels, which promotes sustainable development. In addition, the realistic behavior of these materials may differ owing to temperature-dependent changes, particle aggregation, and other phenomena not completely included in the model. The analysis may assume laminar flow conditions, ignoring turbulence, which is important in certain applications. Nonetheless, the results might improve heat management, minimize pollutant dispersion, and increase nanofluid circulation. The external pollutant source variation parameter affects the system’s behavior and pollution control performance. Increasing this parameter raises pollutant concentrations, influencing fluid flow patterns as well as heat and mass transfer rates. Reduced it leads to smoother flow and lower pollutant concentrations, making pollution management more achievable for lower pollutant loads.

Author Contributions

Conceptualization, A.Z., V.K. and J.K.M.; methodology, A.Z., V.K. and J.K.M.; software, A.Z., V.K. and J.K.M.; validation, M.S., A.Z., V.K. and J.K.M.; formal analysis, M.S., A.Z., V.K., A.M.H. and J.K.M.; investigation, A.M.H., U.K. and I.P.; resources, I.P.; data curation, U.K. and I.P.; writing—original draft preparation, M.S., A.M.H., U.K., I.P. and E.-S.M.S.; writing—review and editing, M.S., A.M.H., U.K., I.P. and E.-S.M.S.; visualization, E.-S.M.S.; supervision, E.-S.M.S.; project administration, E.-S.M.S.; funding acquisition, E.-S.M.S. All authors have read and agreed to the published version of the manuscript.

Funding

This work was funded by the Researchers Supporting Project number (RSP2023R33), King Saud University, Riyadh, Saudi Arabia.

Data Availability Statement

Not applicable.

Acknowledgments

The authors are thankful for the support of Researchers Supporting Project number (RSP2023R33), King Saud University, Riyadh, Saudi Arabia.

Conflicts of Interest

The authors declare no conflict of interest.

Nomenclature

Symbols
P Pressure
T 1 Temperature
k Thermal conductivity
S 1 The external pollutant concentration
D f Coefficient of mass diffusivity
C 1 Concentration
q Non-uniform heat source/sink
G * Space dependent heat source/sink
L * Temperature dependent heat source/sink
C P Specific heat
Pr Prandtl number
Re Reynolds number
S c 1 Schmidt number
m 3 External pollutant source variation parameter
E c 1 Eckert number
u r Uniform velocity
C f Skin friction
S h Sherwood number
N u Nusselt number
Greek symbols
υ Kinematic viscosity
μ Dynamic viscosity
ρ Density
δ 2 Local pollutant external source parameter
λ 1 External pollutant source variation parameter
ϕ Solid volume fraction
β * η Temperature profile
φ * η Concentration profile
Subscripts
f Fluid
n f Nanofluid
h n f Hybrid nanofluid
t h n f Ternary hybrid nanofluid

References

  1. Choi, S.U.S.; Eastman, J.A. Enhancing thermal conductivity of fluids with nanoparticles. In Proceedings of the 1995 International Mechanical Engineering Congress and Exhibition, San Francisco, CA, USA, 12–17 November 1995. [Google Scholar]
  2. Madhukesh, K.; Kumar, R.N.; Gowda, R.J.P.; Prasannakumara, B.C.; Ramesh, G.K.; Khan, M.I.; Khan, S.U.; Chu, Y.-M. Numerical simulation of AA7072-AA7075/water-based hybrid nanofluid flow over a curved stretching sheet with Newtonian heating: A non-Fourier heat flux model approach. J. Mol. Liq. 2021, 335, 116103. [Google Scholar] [CrossRef]
  3. Animasaun, I.; Yook, S.-J.; Muhammad, T.; Mathew, A. Dynamics of ternary-hybrid nanofluid subject to magnetic flux density and heat source or sink on a convectively heated surface. Surf. Interfaces 2022, 28, 101654. [Google Scholar] [CrossRef]
  4. Yaseen, M.; Rawat, S.K.; Shah, N.A.; Kumar, M.; Eldin, S.M. Ternary Hybrid Nanofluid Flow Containing Gyrotactic Microorganisms over Three Different Geometries with Cattaneo–Christov Model. Mathematics 2023, 11, 1237. [Google Scholar] [CrossRef]
  5. Khan, U.; Kumar, R.N.; Zaib, A.; Prasannakumara, B.; Ishak, A.; Galal, A.M.; Gowda, R.P. Time-dependent flow of water-based ternary hybrid nanoparticles over a radially contracting/expanding and rotating permeable stretching sphere. Therm. Sci. Eng. Prog. 2022, 36, 101521. [Google Scholar] [CrossRef]
  6. Ramesh, G.; Madhukesh, J.; Das, R.; Shah, N.A.; Yook, S.-J. Thermodynamic activity of a ternary nanofluid flow passing through a permeable slipped surface with heat source and sink. Waves Random Complex Media 2022, 1–21. [Google Scholar] [CrossRef]
  7. Das, S.; Ali, A.; Jana, R.N.; Makinde, O. EDL impact on mixed magneto-convection in a vertical channel using ternary hybrid nanofluid. Chem. Eng. J. Adv. 2022, 12, 100412. [Google Scholar] [CrossRef]
  8. Makinde, O.; Moitsheki, R.; Tau, B. Similarity reductions of equations for river pollution. Appl. Math. Comput. 2007, 188, 1267–1273. [Google Scholar] [CrossRef]
  9. Pengpom, N.; Vongpradubchai, S.; Rattanadecho, P. Numerical Analysis of Pollutant Concentration Dispersion and Convective Flow in a Two-dimensional Confluent River Model. Math. Model. Eng. Probl. 2019, 6, 271–279. [Google Scholar] [CrossRef]
  10. Chinyoka, T.; Makinde, O.D. Modelling and Analysis of the Dispersal of a Polymeric Pollutant Injected into a Channel Flow of a Newtonian Liquid. Diffus. Found. Mater. Appl. 2023, 33, 23–56. [Google Scholar] [CrossRef]
  11. Cintolesi, C.; Barbano, F.; Di Sabatino, S. Large-Eddy Simulation Analyses of Heated Urban Canyon Facades. Energies 2021, 14, 3078. [Google Scholar] [CrossRef]
  12. Chinyoka, T.; Makinde, O.D. Analysis of Nonlinear Dispersion of a Pollutant Ejected by an External Source into a Channel Flow. Math. Probl. Eng. 2010, 2010, e827363. [Google Scholar] [CrossRef]
  13. Southerland, V.A.; Anenberg, S.C.; Harris, M.; Apte, J.; Hystad, P.; van Donkelaar, A.; Martin, R.V.; Beyers, M.; Roy, A. Assessing the Distribution of Air Pollution Health Risks within Cities: A Neighborhood-Scale Analysis Leveraging High-Resolution Data Sets in the Bay Area, California. Environ. Health Perspect. 2021, 129, 37006. [Google Scholar] [CrossRef]
  14. Gireesha, B.J.; Gorla, R.S.R.; Krishnamurthy, M.R.; Prasannakumara, B.C. Biot number effect on MHD flow and heat transfer of nanofluid with suspended dust particles in the presence of nonlinear thermal radiation and non-uniform heat source/sink. Acta Comment. Univ. Tartu. Math. 2018, 22, 91–114. [Google Scholar] [CrossRef]
  15. Khan, U.; Zaib, A.; Ishak, A.; Elattar, S.; Eldin, S.M.; Raizah, Z.; Waini, I.; Waqas, M. Impact of Irregular Heat Sink/Source on the Wall Jet Flow and Heat Transfer in a Porous Medium Induced by a Nanofluid with Slip and Buoyancy Effects. Symmetry 2022, 14, 2212. [Google Scholar] [CrossRef]
  16. Khan, U.; Zaib, A.; Ishak, A.; Alotaibi, A.M.; Eldin, S.M.; Akkurt, N.; Waini, I.; Madhukesh, J.K. Stability Analysis of Buoyancy Magneto Flow of Hybrid Nanofluid through a Stretchable/Shrinkable Vertical Sheet Induced by a Micropolar Fluid Subject to Nonlinear Heat Sink/Source. Magnetochemistry 2022, 8, 188. [Google Scholar] [CrossRef]
  17. Kumar, K.A.; Sandeep, N.; Sugunamma, V.; Animasaun, I.L. Effect of irregular heat source/sink on the radiative thin film flow of MHD hybrid ferrofluid. J. Therm. Anal. Calorim. 2020, 139, 2145–2153. [Google Scholar] [CrossRef]
  18. Ragupathi, P.; Hakeem, A.K.A.; Al-Mdallal, Q.M.; Ganga, B.; Saranya, S. Non-uniform heat source/sink effects on the three-dimensional flow of Fe3O4 /Al2O3 nanoparticles with different base fluids past a Riga plate. Case Stud. Therm. Eng. 2019, 15, 100521. [Google Scholar] [CrossRef]
  19. Khan, U.; Zaib, A.; Ishak, A.; Waini, I.; Raizah, Z.; Boonsatit, N.; Jirawattanapanit, A.; Galal, A.M. Significance of Thermophoretic Particle Deposition, Arrhenius Activation Energy and Chemical Reaction on the Dynamics of Wall Jet Nanofluid Flow Subject to Lorentz Forces. Lubricants 2022, 10, 228. [Google Scholar] [CrossRef]
  20. Vijayalakshmi, P.; Gunakala, S.R.; Animasaun, I.L.; Sivaraj, R. Chemical Reaction and Nonuniform Heat Source/Sink Effects on Casson Fluid Flow over a Vertical Cone and Flat Plate Saturated with Porous Medium. In Applied Mathematics and Scientific Computing; Kumar, B.R., Sivaraj, R., Prasad, B.S.R.V., Nalliah, M., Reddy, A.S., Eds.; Springer International Publishing: Cham, Switzerland, 2019; pp. 117–127. [Google Scholar]
  21. Rashid, U.; Iqbal, A.; Liang, H.; Khan, W.; Ashraf, M.W. Dynamics of water conveying zinc oxide through divergent-convergent channels with the effect of nanoparticles shape when Joule dissipation are significant. PLoS ONE 2021, 16, e0245208. [Google Scholar] [CrossRef]
  22. Ramesh, G.; Madhukesh, J.; Shehzad, S.; Rauf, A. Ternary nanofluid with heat source/sink and porous medium effects in stretchable convergent/divergent channel. Proc. Inst. Mech. Eng. Part E J. Process. Mech. Eng. 2022, 09544089221081344. [Google Scholar] [CrossRef]
  23. Khan, U.; Ahmed, N.; Mohyud-Din, S.T. Thermo-diffusion, diffusion-thermo and chemical reaction effects on MHD flow of viscous fluid in divergent and convergent channels. Chem. Eng. Sci. 2016, 141, 17–27. [Google Scholar] [CrossRef]
  24. Mishra, A.; Pandey, A.K.; Chamkha, A.J.; Kumar, M. Roles of nanoparticles and heat generation/absorption on MHD flow of Ag–H2O nanofluid via porous stretching/shrinking convergent/divergent channel. J. Egypt Math. Soc. 2020, 28, 17. [Google Scholar] [CrossRef]
  25. Zahan, I.; Nasrin, R.; Khatun, S. Thermal performance of ternary-hybrid nanofluids through a convergent-divergent nozzle using distilled water—Ethylene glycol mixtures. Int. Commun. Heat Mass Transf. 2022, 137, 106254. [Google Scholar] [CrossRef]
  26. Adnan; Asadullah, M.; Khan, U.; Ahmed, N.; Mohyud-Din, S.T. Analytical and numerical investigation of thermal radiation effects on flow of viscous incompressible fluid with stretchable convergent/divergent channels. J. Mol. Liq. 2016, 224, 768–775. [Google Scholar] [CrossRef]
  27. Saifi, H.; Sari, M.R.; Kezzar, M.; Ghazvini, M.; Sharifpur, M.; Sadeghzadeh, M. Heat transfer through converging-diverging channels using Adomian decomposition method. Eng. Appl. Comput. Fluid Mech. 2020, 14, 1373–1384. [Google Scholar] [CrossRef]
Figure 1. Geometry of flow problem.
Figure 1. Geometry of flow problem.
Water 15 02955 g001
Figure 2. Impact of ϕ 3 on (a) h and (b) β * .
Figure 2. Impact of ϕ 3 on (a) h and (b) β * .
Water 15 02955 g002
Figure 3. Impact of E c 1 on β * .
Figure 3. Impact of E c 1 on β * .
Water 15 02955 g003
Figure 4. Impact (a) G * on β * , (b) L * on β * .
Figure 4. Impact (a) G * on β * , (b) L * on β * .
Water 15 02955 g004
Figure 5. Impact (a) δ 2 on φ * , (b) λ 1 on φ * .
Figure 5. Impact (a) δ 2 on φ * , (b) λ 1 on φ * .
Water 15 02955 g005
Figure 6. (a) Variation of C f on Re for variation in ϕ 3 (b) variation of N u on L * for variation in G * (c) variation of S h on S c 1 for variation in λ 1 .
Figure 6. (a) Variation of C f on Re for variation in ϕ 3 (b) variation of N u on L * for variation in G * (c) variation of S h on S c 1 for variation in λ 1 .
Water 15 02955 g006
Table 1. The effective thermophysical characteristics of chosen nanoparticles and carrier fluid, are given by, (see [22]).
Table 1. The effective thermophysical characteristics of chosen nanoparticles and carrier fluid, are given by, (see [22]).
Properties Unit H 2 O A l 2 O 3 A g C u
ρ kg / m 3 997.1397010,5008933
C p m 2 s 2 K 1 4179765.0235385.0
k kgms 3 K 1 0.61340429401
Table 2. List of dimensionless constraints with its fixed values.
Table 2. List of dimensionless constraints with its fixed values.
Sl. NoName and Expression for the ConstraintFixed Value
1Prandtl number Pr = μ f C p f k f 6.3
2Reynolds number Re = f m   x γ υ f 5
3Schmidt number S c 1 = υ f D f 0.8
4Eckert number E c 1 = U * 2 C p f T w 1 3
5Local pollutant external source parameter δ 2 = H 1 l C w 1 U * 0.1
6External pollutant source variation parameter λ 1 = C w 1 m 3 0.1
7Internal heat absorption G *   &   L * < 0 G * = L * = 0.1
8Internal heat generation G *   &   L * > 0 G * = L * = 0.1
Special cases:
1Divergent channel scenario if γ > 0
2Convergent channel scenario if γ < 0
Table 3. The verification of the study’s solutions using work by (see [22]) without the presence of nanoparticles.
Table 3. The verification of the study’s solutions using work by (see [22]) without the presence of nanoparticles.
Convergent Channel Case
[22]Current Work
h η h η
η ADMRK-4HAMRKF-45
1 0 0 0 0
0.8 0.423183 0.423183 0.423183 0.423187
0.6 0.705698 0.705698 0.705698 0.705701
0.4 0.879028 0.879028 0.879028 0.879031
0.2 0.971234 0.971234 0.971234 0.971235
0 1.0 1.0 1.0 1.000000
Divergent Channel Case
η ADMRK-4HAMRKF-45
1 0 0 0 0
0.8 0.288378 0.288378 0.288378 0.288381
0.6 0.559036 0.559036 0.559036 0.559039
0.4 0.788205 0.788205 0.788205 0.788207
0.2 0.944324 0.944324 0.944324 0.944326
0 1.0 1.0 1.0 1.000000
Disclaimer/Publisher’s Note: The statements, opinions and data contained in all publications are solely those of the individual author(s) and contributor(s) and not of MDPI and/or the editor(s). MDPI and/or the editor(s) disclaim responsibility for any injury to people or property resulting from any ideas, methods, instructions or products referred to in the content.

Share and Cite

MDPI and ACS Style

K, V.; Sunitha, M.; Madhukesh, J.K.; Khan, U.; Zaib, A.; Sherif, E.-S.M.; Hassan, A.M.; Pop, I. Computational Examination of Heat and Mass Transfer Induced by Ternary Nanofluid Flow across Convergent/Divergent Channels with Pollutant Concentration. Water 2023, 15, 2955. https://doi.org/10.3390/w15162955

AMA Style

K V, Sunitha M, Madhukesh JK, Khan U, Zaib A, Sherif E-SM, Hassan AM, Pop I. Computational Examination of Heat and Mass Transfer Induced by Ternary Nanofluid Flow across Convergent/Divergent Channels with Pollutant Concentration. Water. 2023; 15(16):2955. https://doi.org/10.3390/w15162955

Chicago/Turabian Style

K, Vinutha, M Sunitha, J. K. Madhukesh, Umair Khan, Aurang Zaib, El-Sayed M. Sherif, Ahmed M. Hassan, and Ioan Pop. 2023. "Computational Examination of Heat and Mass Transfer Induced by Ternary Nanofluid Flow across Convergent/Divergent Channels with Pollutant Concentration" Water 15, no. 16: 2955. https://doi.org/10.3390/w15162955

APA Style

K, V., Sunitha, M., Madhukesh, J. K., Khan, U., Zaib, A., Sherif, E.-S. M., Hassan, A. M., & Pop, I. (2023). Computational Examination of Heat and Mass Transfer Induced by Ternary Nanofluid Flow across Convergent/Divergent Channels with Pollutant Concentration. Water, 15(16), 2955. https://doi.org/10.3390/w15162955

Note that from the first issue of 2016, this journal uses article numbers instead of page numbers. See further details here.

Article Metrics

Back to TopTop