Some Well-Known Alginate and Chitosan Modifications Used in Adsorption: A Review
Abstract
:1. Introduction
2. Well-Known Materials Used in Sorption Processes
3. Metal Ion Removal by Alginate, Chitosan, and Related Adsorbent Materials
4. Alginate and Chitosan Modifications
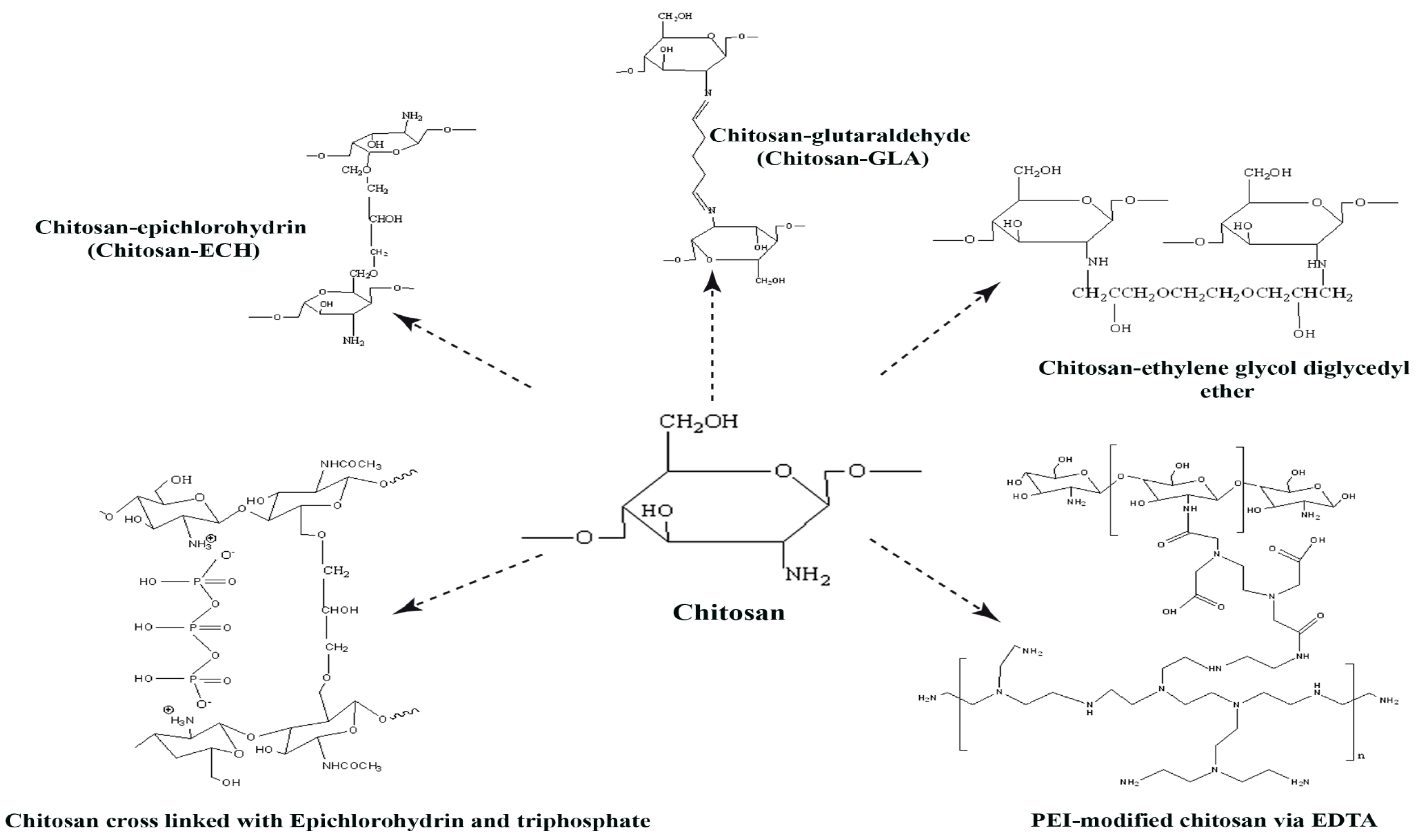
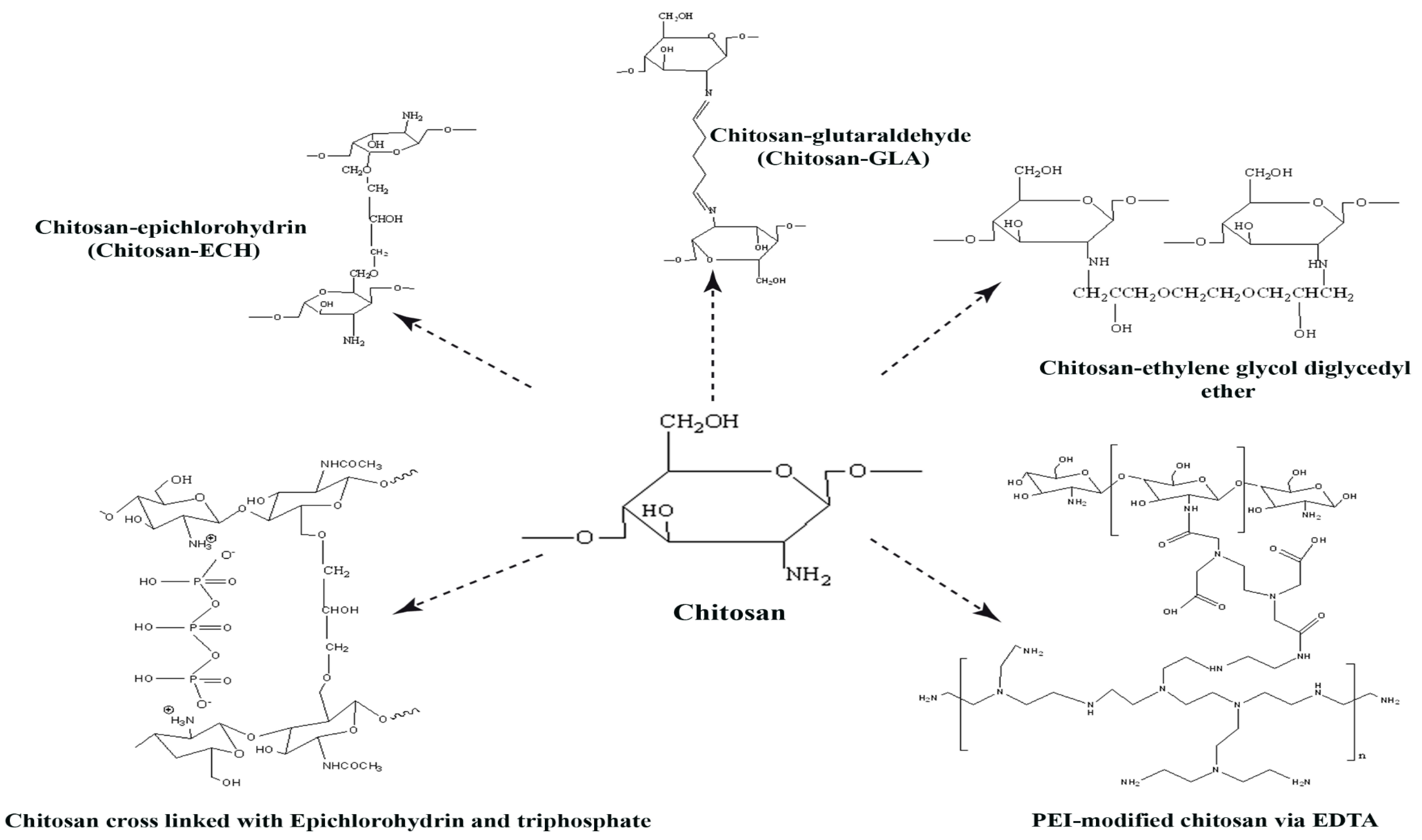
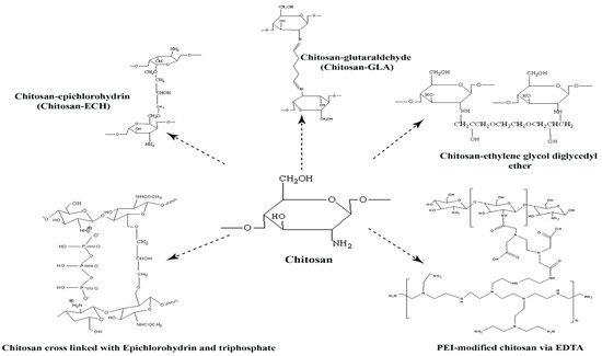
4.1. Well-Known Modifications for Alginate and Chitosan
4.2. Physical State of Chitosan and Alginate and Related Effects on Adsorption Properties
4.3. Grafting or Functionalization
4.4. Difference between Functionalization, Copolymerization and Grafting
4.5. Cross-Linking
5. Criteria for Choosing the Best Adsorbent/Biosorbent
6. Mechanisms of Sorption/Biosorption, Relationship between the Mechanisms and pH
7. Proposed Mechanism for Sorption by Chitosan-Acids Amine-Based Materials
| Adsorbent | Functions (Natural and Added Functions) | Features Acquired with the Addition of a New Function in the Mechanism | Source |
|---|---|---|---|
| Ca(II)–alginate–grafted–amino–carbamate | –O Adding –N function | Adding the –N function causes ion-exchange complex formation between U(VI) ions. | [126] |
| Chitosan functionalization with amino acids | –O Increasing percent of –N | Interaction with Cu(II) occurs with –OH and –NH2 groups belonging to both chitosan and amino acids incorporated into the matrix, uptake of copper occurs via chelation, ion exchange or complexation. | [128] |
| Glutaraldehyde–crosslinked–chitosan | –O –N | Increasing the percentage of glutaraldehyde in the chitosan matrix increases the efficacy of Au(III) due to various mechanisms which occr together, like electrostatic attraction, chelation, and reduction of Au(III). | [129] |
| Tripolyphosphate (TPP)- chitosan-ethylene glycol diglycidyl ether (EGDE) | –O –N | The increase in the amount of Cr(VI) adsorption compared to natural chitosan due to ion exchange. | [130] |
| Chitosan-cross-linked- ethylene glycol diglycidyl ether and modified through the reaction with ethylenediamine and 3-amino-1,2,4-triazole-5-thiol | –O –N Adding of –S function | The complex mechanism between Ag(I) and the donor atoms (N and/or S) on modified chitosan. Also, the presence of free lone pairs of electrons on –N or –S atoms that are suitable for coordination with Ag(I) resulting in the corresponding chitosan modified–metal complex. | [131,132] |
| Xanthation-alginate CS2 | –O Presence of C=S group | Complexation through carboxylate groups and ion exchange between metals and Ca(II) are the dominant mechanism in the case of alginate, but in the case of alginate modifier, the most remarkable result deals with the increasing the possibility of the ion-exchange mechanism during interaction of Xan-Alg2 with Cd(II). | [133] |
| Alginate-polyethyleneimine composite hydrogel | –O Adding –N | Chelation mechanism between the Cd(II), Pb(II) and the amine groups of the alginate/PEI hydrogel. | [118] |
| Biobased amphoteric aerogel derived from amine -modified clay-enriched chitosan/alginate | –O –N | The adsorption mechanism was the result of electrostatic interactions. | [134] |
8. Amino Acid-Grafted-Chitosan and -Alginate
8.1. Functionalization of Chitosan by Amine Functions
8.2. Functionalization of Alginate by Adding Amine Functions
9. Conclusions
Author Contributions
Funding
Institutional Review Board Statement
Informed Consent Statement
Data Availability Statement
Acknowledgments
Conflicts of Interest
Appendix A
| Sorbent | Metals | Contributions Acquired during Modification | Active Site Responsible for Fixing Metal | Reason for Increase or Decrease in qmax | |||||||
|---|---|---|---|---|---|---|---|---|---|---|---|
| Before Modification | After Modification | ||||||||||
| Chitosan beads Chitosan-GLA beads Chitosan-alginate beads | Pb(II) | 1. New active site for Pb(II) adsorption 2. Same fixed situation pH profile up to 5 | –NH2 –OH | –OH –NH2 –COOH | –COOH and –NH2 are invloved in the adsorption of lead ions, which are not involved during the formation of the polyelectrolyte complex. | ||||||
| Chitosan beads Chitosan-GLA beads Chitosan-EGDE beads Chitosan-ECH beads | Cu(II) | 1. Chitosan beads dissolved in EDTA therefore difficult to reuse 2. Cross-linked chitosan does not dissolve in EDTA and desorption succeeds 3. Chitosan soluble in 5% (v/v) acetic acid and cross-linking chitosan insoluble | –COOH –OH | –OH –NH –OH –NH –OH –NH2 | When GLA and EDGA react with –NH2 the capacity decreases compared to normal chitosan while ECH reacts with –OH, which stabilizes the sorption capacity compared to the other two | ||||||
| Alginate beads Alginate-urea Alginate-biuret | Cd(II) Hg(II) Ni(II) Cu(II) Pb(II) Zn(II) | 1. New active site for sorption of heavy metals ions 2. Adsorbent resists different pH and temperature | –OH –COOH | –OH –COOH –NH2 | The increase in sorption efficiency compared to natural alginate is due to the presence of the –N and –O atom at the same time | ||||||
| Alginate ALG/PEI composite hydrogel | Cu(II) Pb(II) | 1. Adsorption capacity of the ALG/PEI composite hydrogel was remarkably improved after the incorporation of PEI | –OH –COOH | –OH –COOH –NH2 | The increase in sorption efficiency compared to natural alginate is due to the presence of the –N and –O atom at the same time | ||||||
| Alginate Alginate-EDTA | Cd(II) | 1. Mix the structural properties of alginate and EDTA to ameliorate the affinity of alginate vis-a-vis Cd(II) | –COOH –OH | –COOH –NH | Improve the adsorption and binding selectivity, due to the presence of different active groups | ||||||
| Mechanisms | Operating Conditions | qm (mg/g) | Isotderm Model | Mode | Ref. | ||||||
| t (min) | pH | T (°C) | rpm | Adsorbent Dose | Column | Batch | |||||
| The COO− ions formed due to the dissociation of carboxylate groups attract the positively charged of lead ions while the lone pair electrons on –N atom of –NH2 groups form complex with lead ions. So, chitosan beads with amine groups form complexation with Pb(II) ions | 100 | 4.5 | Room Temp. | 400 | 0.5 g | 34.98 14.24 60.27 | Langmuir | / | Batch | [117] | |
| / | 60 | 6.0 | Room Temp. | 500 | 0.01 g | 80.71 59.67 62.47 45.94 | Langmuir | / | Batch | [47] | |
| 6–8 h | 4.5–5.5 | 20 °C | 150 | 1 g/L | exceeded 200 | Langmuir/Sips | / | Batch | [73,74,75] | |
| 24 h | 5.5 | 25 °C | 200 | 0.5 g/L | 322.6 344.8 | Langmuir | / | Batch | [118] | |
| 6 h | 5.5 | 288–303 K | / | 100 mg | 177.3 | / | / | Batch | [119] | |
References
- Jehan, S.; Khan, S.; Khattak, S.A.; Muhammad, S.; Rashid, A.; Muhammad, N. Hydrochemical properties of drinking water and their sources apportionment of pollution in Bajaur agency, Pakistan. Meas. J. Int. Meas. Confed. 2019, 139, 249–257. [Google Scholar] [CrossRef]
- Singh, N.B.; Nagpal, G.; Agrawal, S. Rachna Water purification by using Adsorbents: A Review. Environ. Technol. Innov. 2018, 11, 187–240. [Google Scholar] [CrossRef]
- Mousazadeh, M.; Niaragh, E.K.; Usman, M.; Khan, S.U.; Sandoval, M.A. A critical review of state-of-the-art electrocoagulation technique applied to COD-rich industrial wastewaters. Environ. Sci. Pollut. Res. 2021, 28, 43143–43172. [Google Scholar] [CrossRef] [PubMed]
- Usman, M.; Waseem, M.; Mani, N.; Andiego, G. Optimization of soil aquifer treatment by chemical oxidation with hydrogen peroxide addition. Pollution 2018, 4, 369–379. [Google Scholar]
- Gupta, V.K.; Carrott, P.J.M.; Ribeiro Carrott, M.M.L. Suhas Low-Cost adsorbents: Growing approach to wastewater treatmenta review. Crit. Rev. Environ. Sci. Technol. 2009, 39, 783–842. [Google Scholar] [CrossRef]
- Usman, M. New Applications of Fine-Grained Iron Oxyhydroxides as Cost-Effective Arsenic Adsorbents in Water Treatment. Ph.D. Thesis, Technische Universität Hamburg, Hamburg, Germany, 2020. [Google Scholar]
- Khan, S.U.; Farooqi, I.H.; Usman, M.; Basheer, F. Energy Efficient Rapid Removal of Arsenic in an Electrocoagulation Reactor with Hybrid Fe/Al Electrodes: Process Optimization Using CCD and Kinetic Modeling. Water 2020, 12, 2876. [Google Scholar] [CrossRef]
- Tzu, T.W. Sorption of Pb(II), Cd(II), and Ni(II) Toxic Metal Ions by Alginate-Bentonite. J. Environ. Prot. 2013, 04, 51–55. [Google Scholar] [CrossRef]
- Wu, F.C.; Tseng, R.L.; Juang, R.S. A review and experimental verification of using chitosan and its derivatives as adsorbents for selected heavy metals. J. Environ. Manag. 2010, 91, 798–806. [Google Scholar] [CrossRef]
- Park, H.G.; Chae, M.Y. Novel type of alginate gel-based adsorbents for heavy metal removal. J. Chem. Technol. Biotechnol. 2004, 79, 1080–1083. [Google Scholar] [CrossRef]
- Papageorgiou, S.K.; Kouvelos, E.P.; Katsaros, F.K. Calcium alginate beads from Laminaria digitata for the removal of Cu+2 and Cd+2 from dilute aqueous metal solutions. Desalination 2008, 224, 293–306. [Google Scholar] [CrossRef]
- Arica, M.Y.; Bayramoǧlu, G.; Yilmaz, M.; Bektaş, S.; Genç, Ö. Biosorption of Hg2+, Cd2+, and Zn2+ by Ca-alginate and immobilized wood-rotting fungus Funalia trogii. J. Hazard. Mater. 2004, 109, 191–199. [Google Scholar] [CrossRef]
- Ishii, H.; Minegishi, M.; Lavitpichayawong, B.; Mitani, T. Synthesis of chitosan-amino acid conjugates and their use in heavy metal uptake. Int. J. Biol. Macromol. 1995, 17, 21–23. [Google Scholar] [CrossRef]
- Hamza, M.F.; Aly, M.M.; Abdel-Rahman, A.A.H.; Ramadan, S.; Raslan, H.; Wang, S.; Vincent, T.; Guibal, E. Functionalization of magnetic chitosan particles for the sorption of U(VI), Cu(II) and Zn(II)-hydrazide derivative of glycine-grafted chitosan. Materials 2017, 10, 539. [Google Scholar] [CrossRef] [PubMed] [Green Version]
- Hamza, M.F.; Wei, Y.; Benettayeb, A.; Wang, X.; Guibal, E. Efficient removal of uranium, cadmium and mercury from aqueous solutions using grafted hydrazide-micro-magnetite chitosan derivative. J. Mater. Sci. 2019, 55, 4193–4212. [Google Scholar] [CrossRef]
- Hamza, M.F.; Mubark, A.E.; Wei, Y.Y.; Vincent, T.; Guibal, E.; Lu, S.; Salih, K.A.M.; Mira, H.; Dhmees, A.S.; Fujita, T.; et al. As(V) sorption from aqueous solutions using quaternized algal/polyethyleneimine composite beads. Gels 2020, 6, 137396. [Google Scholar] [CrossRef] [PubMed]
- Aslam, M.M.A.; Kuo, H.W.; Den, W.; Usman, M.; Sultan, M.; Ashraf, H. Functionalized carbon nanotubes (Cnts) for water and wastewater treatment: Preparation to application. Sustainability 2021, 13, 5717. [Google Scholar] [CrossRef]
- Schindler, P.W.; Stumm, W. The Surface Chemistry of Oxides, Hydroxides, and Oxide Minerals. In Aquatic Surface Chemistry: Chemical Processes at the Particle-Water Interface; John Wiley and Sons: New York, NY, USA, 1987. [Google Scholar]
- Gaya, U.I.; Otene, E.; Abdullah, A.H. Adsorption of aqueous Cd(II) and Pb(II) on activated carbon nanopores prepared by chemical activation of doum palm shell. Springerplus 2015, 4, 458. [Google Scholar] [CrossRef] [Green Version]
- Bohli, T. Comparative Study of Bivalent Cationic Metals Adsorption Pb(II), Cd(II), Ni(II) and Cu(II) on Olive Stones Chemically Activated Carbon. J. Chem. Eng. Process Technol. 2013, 4, 1000158. [Google Scholar] [CrossRef] [Green Version]
- Abudaia, J.A.; Sulyman, M.O.; Elazaby, K.Y.; Ben-Ali, S.M. Adsorption of Pb (II) and Cu (II) from Aqueous Solution onto Activated Carbon Prepared from Dates Stones. Int. J. Environ. Sci. Dev. 2013, 4, 191–195. [Google Scholar] [CrossRef] [Green Version]
- Zhang, K.; Cheung, W.H.; Valix, M. Roles of physical and chemical properties of activated carbon in the adsorption of lead ions. Chemosphere 2005, 60, 1129–1140. [Google Scholar] [CrossRef]
- Usman, M.; Katsoyiannis, I.; Mitrakas, M.; Zouboulis, A.; Ernst, M. Performance evaluation of small sized powdered ferric hydroxide as arsenic adsorbent. Water 2018, 10, 957. [Google Scholar] [CrossRef] [Green Version]
- Usman, M.; Katsoyiannis, I.; Rodrigues, J.H.; Ernst, M. Arsenate removal from drinking water using by-products from conventional iron oxyhydroxides production as adsorbents coupled with submerged microfiltration unit. Environ. Sci. Pollut. Res. 2020, 28, 59063–59075. [Google Scholar] [CrossRef] [PubMed] [Green Version]
- Usman, M.; Zarebanadkouki, M.; Waseem, M.; Katsoyiannis, I.A.; Ernst, M. Mathematical modeling of arsenic(V) adsorption onto iron oxyhydroxides in an adsorption-submerged membrane hybrid system. J. Hazard. Mater. 2020, 400, 123221. [Google Scholar] [CrossRef] [PubMed]
- Usman, M.; Belkasmi, A.I.; Katsoyiannis, I.A.; Ernst, M. Pre-deposited dynamic membrane adsorber formed of microscale conventional iron oxide-based adsorbents to remove arsenic from water: Application study and mathematical modeling. J. Chem. Technol. Biotechnol. 2021, 96, 1504–1514. [Google Scholar] [CrossRef]
- Pawluk, K.; Fronczyk, J.; Garbulewski, K. Removal of dissolved metals from road runoff using zeolite PRBs. Chem. Eng. Trans. 2013, 32, 331–336. [Google Scholar]
- Balintova, M.; Holub, M.; Singovszka, E. Study of iron, copper and zinc removal from acidic solutions by sorption. Chem. Eng. Trans. 2012, 28, 175–180. [Google Scholar]
- Fronczyk, J.; Pawluk, K.; Garbulewski, K. Multilayer PRBs-Effective technology for protection of groundwater environment in traffic infrastructure. Chem. Eng. Trans. 2012, 28, 67–72. [Google Scholar]
- Wyszkowski, M.; Radziemska, M. Effects of chromium(III and VI) on spring barley and maize biomass yield and content of nitrogenous compounds. J. Toxicol. Environ. Health-Part A Curr. Issues 2010, 73, 1274–1282. [Google Scholar] [CrossRef]
- Payne, K.B.; Abdel-Fattah, T.M. Adsorption of divalent lead ions by zeolites and activated carbon: Effects of pH, temperature, and ionic strength. J. Environ. Sci. Health-Part A Toxic/Hazardous Subst. Environ. Eng. 2004, 39, 2275–2291. [Google Scholar] [CrossRef]
- Li, Q.; Zhai, J.; Zhang, W.; Wang, M.; Zhou, J. Kinetic studies of adsorption of Pb(II), Cr(III) and Cu(II) from aqueous solution by sawdust and modified peanut husk. J. Hazard. Mater. 2007, 141, 163–167. [Google Scholar] [CrossRef]
- Salim, M.; Munekage, Y.; Naing, K.M. Arsenic(III) removal from contaminated water using silica ceramic: A batch adsorption study. J. Appl. Sci. 2007, 7, 2314–2320. [Google Scholar] [CrossRef]
- Salim, M.; Munekage, Y. Removal of arsenic from aqueous solution using silica ceramic: Adsorption kinetics and equilibrium studies. Int. J. Environ. Res. 2009, 3, 13–22. [Google Scholar] [CrossRef]
- Sulaymon, A.H.; Mohammed, A.A.; Al-Musawi, T.J. Competitive biosorption of lead, cadmium, copper, and arsenic ions using algae. Environ. Sci. Pollut. Res. 2013, 20, 3011–3023. [Google Scholar] [CrossRef] [PubMed] [Green Version]
- Kaewsarn, P. Biosorption of copper(II) from aqueous solutions by pre-treated biomass of marine algae Padina sp. Chemosphere 2002, 47, 1081–1085. [Google Scholar] [CrossRef]
- Shamshad, I.; Khan, S.; Waqas, M.; Ahmad, N.; Ur-Rehman, K.; Khan, K. Removal and bioaccumulation of heavy metals from aqueous solutions using freshwater algae. Water Sci. Technol. 2015, 71, 38–44. [Google Scholar] [CrossRef]
- Bayramoǧlu, G.; Tuzun, I.; Celik, G.; Yilmaz, M.; Arica, M.Y. Biosorption of mercury(II), cadmium(II) and lead(II) ions from aqueous system by microalgae Chlamydomonas reinhardtii immobilized in alginate beads. Int. J. Miner. Process. 2006, 81, 35–43. [Google Scholar] [CrossRef]
- Sheng, P.X.; Ting, Y.P.; Chen, J.P.; Hong, L. Sorption of lead, copper, cadmium, zinc, and nickel by marine algal biomass: Characterization of biosorptive capacity and investigation of mechanisms. J. Colloid Interface Sci. 2004, 275, 131–141. [Google Scholar] [CrossRef]
- O’Connell, D.W.; Birkinshaw, C.; O’Dwyer, T.F. Heavy metal adsorbents prepared from the modification of cellulose: A review. Bioresour. Technol. 2008, 99, 6709–6724. [Google Scholar] [CrossRef]
- Benguella, B.; Benaissa, H. Cadmium removal from aqueous solutions by chitin: Kinetic and equilibrium studies. Water Res. 2002, 36, 2463–2474. [Google Scholar] [CrossRef]
- Synowiecki, J.; Al-Khateeb, N.A. Production, Properties, and Some New Applications of Chitin and Its Derivatives. Crit. Rev. Food Sci. Nutr. 2003, 43, 145–171. [Google Scholar] [CrossRef]
- Kumar, M.R. A review of chitin and chitosan applications. React. Funct. Polym. 2000, 46, 1–27. [Google Scholar] [CrossRef]
- Bailey, S.E.; Olin, T.J.; Bricka, R.M.; Adrian, D.D. A review of potentially low-cost sorbents for heavy metals. Water Res. 1999, 33, 2469–2479. [Google Scholar] [CrossRef]
- Crini, G. Recent developments in polysaccharide-based materials used as adsorbents in wastewater treatment. Prog. Polym. Sci. 2005, 30, 38–70. [Google Scholar] [CrossRef]
- Rorrer, G.L.; Hsien, T.Y.; Way, J.D. Synthesis of Porous-Magnetic Chitosan Beads for Removal of Cadmium Ions from Waste Water. Ind. Eng. Chem. Res. 1993, 32, 2170–2178. [Google Scholar] [CrossRef]
- Wan Ngah, W.S.; Endud, C.S.; Mayanar, R. Removal of copper(II) ions from aqueous solution onto chitosan and cross-linked chitosan beads. React. Funct. Polym. 2002, 50, 181–190. [Google Scholar] [CrossRef]
- Liu, D.; Li, Z.; Zhu, Y.; Li, Z.; Kumar, R. Recycled chitosan nanofibril as an effective Cu(II), Pb(II) and Cd(II) ionic chelating agent: Adsorption and desorption performance. Carbohydr. Polym. 2014, 111, 469–476. [Google Scholar] [CrossRef]
- Babel, S.; Kurniawan, T.A. Low-cost adsorbents for heavy metals uptake from contaminated water: A review. J. Hazard. Mater. 2003, 97, 219–243. [Google Scholar] [CrossRef]
- Varma, A.J.; Deshpande, S.V.; Kennedy, J.F. Metal complexation by chitosan and its derivatives: A review. Carbohydr. Polym. 2004, 55, 77–93. [Google Scholar] [CrossRef]
- Ibáñez, J.P.; Umetsu, Y. Uptake of trivalent chromium from aqueous solutions using protonated dry alginate beads. Hydrometallurgy 2004, 72, 327–334. [Google Scholar] [CrossRef]
- Papageorgiou, S.K.; Katsaros, F.K.; Kouvelos, E.P.; Nolan, J.W.; Le Deit, H.; Kanellopoulos, N.K. Heavy metal sorption by calcium alginate beads from Laminaria digitata. J. Hazard. Mater. 2006, 137, 1765–1772. [Google Scholar] [CrossRef]
- Kaçar, Y.; Arpa, Ç.; Tan, S.; Denizli, A.; Genç, Ö.; Arica, M.Y. Biosorption of Hg(II) and Cd(II) from aqueous solutions: Comparison of biosorptive capacity of alginate and immobilized live and heat inactivated Phanerochaete chrysosporium. Process Biochem. 2002, 37, 601–610. [Google Scholar] [CrossRef]
- Cataldo, S.; Muratore, N.; Orecchio, S.; Pettignano, A. Enhancement of adsorption ability of calcium alginate gel beads towards Pd(II) ion. A kinetic and equilibrium study on hybrid Laponite and Montmorillonite-alginate gel beads. Appl. Clay Sci. 2015, 118, 162–170. [Google Scholar] [CrossRef]
- Cataldo, S.; Gianguzza, A.; Pettignano, A. Sorption of Pd(II) ion by calcium alginate gel beads at different chloride concentrations and pH. A kinetic and equilibrium study Sorption of Pd(II) ion by calcium alginate gel beads. Arab. J. Chem. 2016, 9, 656–667. [Google Scholar] [CrossRef] [Green Version]
- Gotoh, T.; Matsushima, K.; Kikuchi, K.I. Preparation of alginate-chitosan hybrid gel beads and adsorption of divalent metal ions. Chemosphere 2004, 55, 135–140. [Google Scholar] [CrossRef] [PubMed]
- Justi, K.C.; Fávere, V.T.; Laranjeira, M.C.M.; Neves, A.; Peralta, R.A. Kinetics and equilibrium adsorption of Cu(II), Cd(II), and Ni(II) ions by chitosan functionalized with 2[-bis-(pyridylmethyl)aminomethyl]-4-methyl-6- formylphenol. J. Colloid Interface Sci. 2005, 291, 369–374. [Google Scholar] [CrossRef] [PubMed]
- Choi, J.S.; Lingamdinne, L.P.; Yang, J.K.; Chang, Y.Y.; Koduru, J.R. Fabrication of chitosan/graphene oxide-gadolinium nanorods as a novel nanocomposite for arsenic removal from aqueous solutions. J. Mol. Liq. 2020, 320, 114410. [Google Scholar] [CrossRef]
- Boddu, V.M.; Abburi, K.; Talbott, J.L.; Smith, E.D.; Haasch, R. Removal of arsenic (III) and arsenic (V) from aqueous medium using chitosan-coated biosorbent. Water Res. 2008, 42, 633–642. [Google Scholar] [CrossRef] [PubMed]
- Benettayeb, A.; Haddou, B. New biosorbents based on the seeds, leaves and husks powder of Moringa oleifera for the effective removal of various toxic pollutants. Int. J. Environ. Anal. Chem. 2021, 1–26. [Google Scholar] [CrossRef]
- Allouche, F.N.; Guibal, E.; Mameri, N. Preparation of a new chitosan-based material and its application for mercury sorption. Colloids Surfaces A Physicochem. Eng. Asp. 2014, 446, 224–232. [Google Scholar] [CrossRef]
- Campos, K.; Guibal, E.; Peirano, F.; Ly, M.; Maldonado, H. Mercury sorption on chitosan. In Advanced Materials Research; Trans Tech Publications Ltd.: Baech, Switzerland, 2007; Volume 20–21, pp. 635–638. [Google Scholar]
- Imam, E.A.; El-Tantawy El-Sayed, I.; Mahfouz, M.G.; Tolba, A.A.; Akashi, T.; Galhoum, A.A.; Guibal, E. Synthesis of A-aminophosphonate functionalized chitosan sorbents: Effect of methyl vs phenyl group on uranium sorption. Chem. Eng. J. 2018, 352, 1022–1034. [Google Scholar] [CrossRef]
- Guo, X.; Yang, H.; Liu, Q.; Liu, J.; Chen, R.; Zhang, H.; Yu, J.; Zhang, M.; Li, R.; Wang, J. A chitosan-graphene oxide/ZIF foam with anti-biofouling ability for uranium recovery from seawater. Chem. Eng. J. 2020, 382, 122850. [Google Scholar] [CrossRef]
- Benettayeb, A.; Morsli, A.; Elwakeel, K.Z.; Hamza, M.F.; Guibal, E. Recovery of Heavy Metal Ions Using Magnetic Glycine-Modified Chitosan—Application to Aqueous Solutions and Tailing Leachate. Appl. Sci. 2021, 11, 8377. [Google Scholar] [CrossRef]
- Piron, E.; Accominotti, M.; Domard, A. Interaction between chitosan and uranyl ions. Role of physical and physicochemical parameters on the kinetics of sorption. Langmuir 1997, 13, 1653–1658. [Google Scholar] [CrossRef]
- Schmuhl, R.; Krieg, H.M.; Keizer, K. Adsorption of Cu(II) and Cr(VI) ions by chitosan: Kinetics and equilibrium studies. Water SA 2001, 27, 1–7. [Google Scholar] [CrossRef] [Green Version]
- Wang, T.; Turhan, M.; Gunasekaran, S. Selected properties of pH-sensitive, biodegradable chitosan-poly(vinyl alcohol) hydrogel. Polym. Int. 2004, 53, 911–918. [Google Scholar] [CrossRef]
- Barros Júnior, L.M.; Macedo, G.R.; Duarte, M.M.L.; Silva, E.P.; Lobato, A.K.C.L. Biosorption of cadmium using the fungus aspergillus niger. Braz. J. Chem. Eng. 2003, 20, 229–239. [Google Scholar] [CrossRef]
- Burke, A.; Yilmaz, E.; Hasirci, N.; Yilmaz, O. Iron(III) ion removal from solution through adsorption on chitosan. J. Appl. Polym. Sci. 2002, 84, 1185–1192. [Google Scholar] [CrossRef]
- Yang, T.C.; Zall, R.R. Absorption of Metals by Natural Polymers Generated from Seafood Processing Wastes. Ind. Eng. Chem. Prod. Res. Dev. 1984, 23, 168–172. [Google Scholar] [CrossRef]
- Arica, M.Y.; Arpa, Ç.; Ergene, A.; Bayramoǧlu, G.U.; Genç, Ö. Ca-alginate as a support for Pb(II) and Zn(II) biosorption with immobilized Phanerochaete chrysosporium. Carbohydr. Polym. 2003, 52, 167–174. [Google Scholar] [CrossRef]
- Benettayeb, A.; Guibal, E.; Morsli, A.; Kessas, R. Chemical modification of alginate for enhanced sorption of Cd(II), Cu(II) and Pb(II). Chem. Eng. J. 2017, 316, 704–714. [Google Scholar] [CrossRef]
- Benettayeb, A.; Guibal, E.; Bhatnagar, A.; Morsli, A.; Kessas, R. Effective removal of nickel (II) and zinc (II) in mono-compound and binary systems from aqueous solutions by application of alginate-based materials. Int. J. Environ. Anal. Chem. 2021, 1–22. [Google Scholar] [CrossRef]
- Benettayeb, A.; Morsli, A.; Guibal, E.; Kessas, R. New derivatives of urea-grafted alginate for improving the sorption of mercury ions in aqueous solutions New derivatives of urea-grafted alginate for improving the sorption of mercury ions in aqueous solutions. Materi. Res. Express 2021, 7, 035303. [Google Scholar]
- Basu, H.; Singhal, R.K.; Saha, S.; Pimple, M.V. Chitosan impregnated Ca-alginate: A new hybrid material for removal of uranium from potable water. J. Radioanal. Nucl. Chem. 2017, 314, 1905–1914. [Google Scholar] [CrossRef]
- Shim, J.; Kumar, M.; Mukherjee, S.; Goswami, R. Sustainable removal of pernicious arsenic and cadmium by a novel composite of MnO2 impregnated alginate beads: A cost-effective approach for wastewater treatment. J. Environ. Manag. 2019, 234, 8–20. [Google Scholar] [CrossRef] [PubMed]
- Dewangan, T.; Tiwari, A.; Bajpai, A.K. Removal of arsenic ions from aqueous solutions by adsorption onto biopolymeric crosslinked calcium alginate beads. Toxicol. Environ. Chem. 2009, 91, 1055–1067. [Google Scholar] [CrossRef]
- Sen, S.; Dutta, A.; Ponnala, R.; Kamila, B.; Baltrenas, P.; Baltrenaite, E.; Dutta, S. Removal of hexavalent chromium from synthetic wastewater using alginate immobilized cyanobacteria: Experiment and mathematical modeling. Environ. Eng. Sci. 2020, 37, 283–294. [Google Scholar] [CrossRef]
- Zeng, H.; Wang, F.; Xu, K.; Zhang, J.; Li, D. Preparation of manganese sludge strengthened chitosan-alginate hybrid adsorbent and its potential for As(III) removal. Int. J. Biol. Macromol. 2020, 149, 1222–1231. [Google Scholar] [CrossRef]
- Zhang, W.; Wang, H.; Hu, X.; Feng, H.; Xiong, W.; Guo, W.; Zhou, J.; Mosa, A.; Peng, Y. Multicavity triethylenetetramine-chitosan/alginate composite beads for enhanced Cr(VI) removal. J. Clean. Prod. 2019, 231, 733–745. [Google Scholar] [CrossRef]
- Yi, X.; He, J.; Guo, Y.; Han, Z.; Yang, M.; Jin, J.; Gu, J.; Ou, M.; Xu, X. Encapsulating Fe3O4 into calcium alginate coated chitosan hydrochloride hydrogel beads for removal of Cu (II) and U (VI) from aqueous solutions. Ecotoxicol. Environ. Saf. 2018, 147, 699–707. [Google Scholar] [CrossRef]
- Kuczajowska-Zadrożna, M.; Filipkowska, U.; Jóźwiak, T. Adsorption of Cu (II) and Cd (II) from aqueous solutions by chitosan immobilized in alginate beads. J. Environ. Chem. Eng. 2020, 8, 103878. [Google Scholar] [CrossRef]
- Wang, J.; Chen, C. Chitosan-based biosorbents: Modification and application for biosorption of heavy metals and radionuclides. Bioresour. Technol. 2014, 160, 129–141. [Google Scholar] [CrossRef] [PubMed]
- Skjåk-Bræk, G.; Grasdalen, H.; Smidsrød, O. Inhomogeneous polysaccharide ionic gels. Carbohydr. Polym. 1989, 10, 31–54. [Google Scholar] [CrossRef]
- Habuda-Stanić, M.; Ravančić, M.; Flanagan, A. A Review on Adsorption of Fluoride from Aqueous Solution. Materials 2014, 7, 6317–6366. [Google Scholar] [CrossRef] [PubMed]
- Joseph, O. Etude du Potentiel D’utilisation de Résidus Agricoles Haïtiens pour le Traitement par Biosorption D’effluents Pollués. Ph.D. Thesis, Institut National des Sciences Appliquées, Bellignat, France, 2009. [Google Scholar]
- Chiou, M.S.; Ho, P.Y.; Li, H.Y. Adsorption of anionic dyes in acid solutions using chemically cross-linked chitosan beads. Dye. Pigment. 2004, 60, 69–84. [Google Scholar] [CrossRef]
- Crini, G. Non-conventional low-cost adsorbents for dye removal: A review. Bioresour. Technol. 2006, 97, 1061–1085. [Google Scholar] [CrossRef]
- Pillai, C.K.S.; Paul, W.; Sharma, C.P. Chitin and chitosan polymers: Chemistry, solubility and fiber formation. Prog. Polym. Sci. 2009, 34, 641–678. [Google Scholar] [CrossRef]
- Abegunde, S.M.; Idowu, K.S.; Adejuwon, O.M.; Adeyemi-Adejolu, T. A review on the influence of chemical modification on the performance of adsorbents. Resour. Environ. Sustain. 2020, 1, 100001. [Google Scholar] [CrossRef]
- Yu, J.; Zheng, J.; Lu, Q.; Yang, S.; Wang, X.; Zhang, X.; Yang, W. Reusability and selective adsorption of Pb2+ on chitosan/P(2-acrylamido-2-methyl-1-propanesulfonic acid-co-acrylic acid) hydrogel. Iran. Polym. J. 2016, 25, 1009–1019. [Google Scholar] [CrossRef]
- Zhang, H.; Dang, Q.; Liu, C.; Cha, D.; Yu, Z.; Zhu, W.; Fan, B. Uptake of Pb(II) and Cd(II) on Chitosan Microsphere Surface Successively Grafted by Methyl Acrylate and Diethylenetriamine. ACS Appl. Mater. Interfaces 2017, 9, 11144–11155. [Google Scholar] [CrossRef]
- Bolto, B.A. Soluble polymers in water purification. Prog. Polym. Sci. 1995, 20, 987–1041. [Google Scholar] [CrossRef]
- Chassary, P.; Vincent, T.; Sanchez Marcano, J.; MacAskie, L.E.; Guibal, E. Palladium and platinum recovery from bicomponent mixtures using chitosan derivatives. Hydrometallurgy 2005, 76, 131–147. [Google Scholar] [CrossRef]
- Azarova, Y.A.; Pestov, A.V.; Ustinov, A.Y.; Bratskaya, S.Y. Application of chitosan and its N-heterocyclic derivatives for preconcentration of noble metal ions and their determination using atomic absorption spectrometry. Carbohydr. Polym. 2015, 134, 680–686. [Google Scholar] [CrossRef]
- Pestov, A.V.; Privar, Y.O.; Ustinov, A.Y.; Voit, A.V.; Azarova, Y.A.; Mekhaev, A.V.; Bratskaya, S.Y. Effect of polymer backbone chemical structure on metal ions binding by imidazolylmethyl derivatives. Chem. Eng. J. 2016, 283, 323–329. [Google Scholar] [CrossRef]
- Wang, J.; Zhuang, S. Removal of various pollutants from water and wastewater by modified chitosan adsorbents. Crit. Rev. Environ. Sci. Technol. 2017, 47, 2331–2386. [Google Scholar] [CrossRef]
- Zhang, L.; Zeng, Y.; Cheng, Z. Removal of heavy metal ions using chitosan and modified chitosan: A review. J. Mol. Liq. 2016, 214, 175–191. [Google Scholar] [CrossRef]
- Glass, S.; Mantel, T.; Appold, M.; Sen, S.; Usman, M.; Ernst, M.; Filiz, V. Amine-Terminated PAN Membranes as Anion-Adsorber Materials. Chem. Ing. Tech. 2021, 93, 1396–1400. [Google Scholar] [CrossRef]
- Sutirman, Z.A.; Sanagi, M.M.; Abd Karim, K.J.; Naim, A.A.; Wan Ibrahim, W.A. Chitosan-based adsorbents for the removal of metal ions from aqueous solutions. Malays. J. Anal. Sci. 2018, 22, 839–850. [Google Scholar] [CrossRef]
- Gomez-Maldonado, D.; Erramuspe, I.B.V.; Peresin, M.S. Natural polymers as alternative adsorbents and treatment agents for water remediation. BioResources 2019, 14, 10093–10160. [Google Scholar] [CrossRef]
- Bhattacharya, A.; Rawlins, J.W.; Ray, P. Polymer Grafting and Crosslinking; John Wiley & Sons: Hoboken, NJ, USA, 2008; ISBN 9780470404652. [Google Scholar]
- Benamer, S.; Mahlous, M.; Tahtat, D.; Nacer-Khodja, A.; Arabi, M.; Lounici, H.; Mameri, N. Radiation synthesis of chitosan beads grafted with acrylic acid for metal ions sorption. Radiat. Phys. Chem. 2011, 80, 1391–1397. [Google Scholar] [CrossRef]
- Mishra, A.K.; Sharma, A.K. Synthesis of γ-cyclodextrin/chitosan composites for the efficient removal of Cd(II) from aqueous solution. Int. J. Biol. Macromol. 2011, 49, 504–512. [Google Scholar] [CrossRef] [PubMed]
- Bediako, J.K.; Lin, S.; Sarkar, A.K.; Zhao, Y.; Choi, J.W.; Song, M.H.; Wei, W.; Reddy, D.H.K.; Cho, C.W.; Yun, Y.S. Benignly-fabricated crosslinked polyethylenimine/calcium-alginate fibers as high-performance adsorbents for effective recovery of gold. J. Clean. Prod. 2020, 252, 119389. [Google Scholar] [CrossRef]
- Yan, Y.; An, Q.; Xiao, Z.; Zheng, W.; Zhai, S. Flexible core-shell/bead-like alginate@PEI with exceptional adsorption capacity, recycling performance toward batch and column sorption of Cr(VI). Chem. Eng. J. 2017, 313, 475–486. [Google Scholar] [CrossRef]
- Wei, Y.; Salih, K.A.M.; Hamza, M.F.; Fujita, T.; Rodríguez-Castellón, E.; Guibal, E. Synthesis of a new phosphonate-based sorbent and characterization of its interactions with lanthanum (Iii) and terbium (iii). Polymers 2021, 13, 1513. [Google Scholar] [CrossRef]
- Pan, Y.; Zhao, H. A Green Method to Fabricate Polyethyleneimine-Alginate Multilayer Coatings Modified Polyurethane Foam for Cu2+ Adsorption from Aqueous Solution. Polym. Technol. Mater. 2019, 58, 384–393. [Google Scholar] [CrossRef]
- Demey, H.; Vincent, T.; Guibal, E. A Novel Algal-Based Sorbent for Heavy Metal Removal. Chem. Eng. J. 2017, 332, 582–595. [Google Scholar] [CrossRef]
- Ahmed, M.B.; Zhou, J.L.; Ngo, H.H.; Guo, W.; Thomaidis, N.S.; Xu, J. Progress in the biological and chemical treatment technologies for emerging contaminant removal from wastewater: A critical review. J. Hazard. Mater. 2017, 323, 274–298. [Google Scholar] [CrossRef]
- Zhao, J.; Zou, Z.; Ren, R.; Sui, X.; Mao, Z.; Xu, H.; Zhong, Y.; Zhang, L.; Wang, B. Chitosan adsorbent reinforced with citric acid modified β-cyclodextrin for highly efficient removal of dyes from reactive dyeing effluents. Eur. Polym. J. 2018, 108, 212–218. [Google Scholar] [CrossRef]
- Laus, R.; Costa, T.G.; Szpoganicz, B.; Fávere, V.T. Adsorption and desorption of Cu(II), Cd(II) and Pb(II) ions using chitosan crosslinked with epichlorohydrin-triphosphate as the adsorbent. J. Hazard. Mater. 2010, 183, 233–241. [Google Scholar] [CrossRef]
- Zhao, F.; Yang, Z.; Wei, Z.; Spinney, R.; Sillanpää, M.; Tang, J.; Tam, M.; Xiao, R. Polyethylenimine-modified chitosan materials for the recovery of La(III) from leachates of bauxite residue. Chem. Eng. J. 2020, 388, 124307. [Google Scholar] [CrossRef]
- Lee, B.B.; Ravindra, P.; Chan, E.S. Size and shape of calcium alginate beads produced by extrusion dripping. Chem. Eng. Technol. 2013, 36, 1627–1642. [Google Scholar] [CrossRef]
- Jayakumar, R.; Prabaharan, M.; Reis, R.L.; Mano, J.F. Graft copolymerized chitosan-Present status and applications. Carbohydr. Polym. 2005, 62, 142–158. [Google Scholar] [CrossRef] [Green Version]
- Ngah, W.S.W.; Fatinathan, S. Pb(II) biosorption using chitosan and chitosan derivatives beads: Equilibrium, ion exchange and mechanism studies. J. Environ. Sci. 2010, 22, 338–346. [Google Scholar] [CrossRef]
- Godiya, C.B.; Liang, M.; Sayed, S.M.; Li, D.; Lu, X. Novel alginate/polyethyleneimine hydrogel adsorbent for cascaded removal and utilization of Cu2+ and Pb2+ ions. J. Environ. Manag. 2019, 232, 829–841. [Google Scholar] [CrossRef]
- Wang, M.; Wang, Z.; Zhou, X.; Li, S. Efficient removal of heavy metal ions in wastewater by using a novel alginate-EDTA hybrid aerogel. Appl. Sci. 2019, 9, 547. [Google Scholar] [CrossRef] [Green Version]
- Crini, G.; Badot, P.M. Application of chitosan, a natural aminopolysaccharide, for dye removal from aqueous solutions by adsorption processes using batch studies: A review of recent literature. Prog. Polym. Sci. 2008, 33, 399–447. [Google Scholar] [CrossRef]
- Gadd, G.M. Biosorption: Critical review of scientific rationale, environmental importance and significance for pollution treatment. J. Chem. Technol. Biotechnol. 2009, 84, 13–28. [Google Scholar] [CrossRef]
- Li, W.W.; Yu, H.Q. Insight into the roles of microbial extracellular polymer substances in metal biosorption. Bioresour. Technol. 2014, 160, 15–23. [Google Scholar] [CrossRef]
- Liu, H.; Fang, H.H.P. Characterization of electrostatic binding sites of extracellular polymers by linear programming analysis of titration data. Biotechnol. Bioeng. 2002, 80, 806–811. [Google Scholar] [CrossRef]
- Delval, F.; Crini, G.; Vebrel, J.; Knorr, M.; Sauvin, G.; Conte, E. Starch-Modified Filters Used for the Removal of Dyes from Waste Water. Macromol. Symp. 2003, 203, 165–172. [Google Scholar] [CrossRef]
- Crini, G. Studies on adsorption of dyes on beta-cyclodextrin polymer. Bioresour. Technol. 2003, 90, 193–198. [Google Scholar] [CrossRef]
- Phan, T.N.T.; Bacquet, M.; Morcellet, M. The removal of organic pollutants from water using new silica-supported β-cyclodextrin derivatives. React. Funct. Polym. 2002, 52, 117–125. [Google Scholar] [CrossRef]
- Phan, T.N.T.; Bacquet, M.; Morcellet, M. Synthesis and characterization of silica gels functionalized with monochlorotriazinyl β-cyclodextrin and their sorption capacities towards organic compounds. J. Incl. Phenom. 2000, 38, 345–359. [Google Scholar] [CrossRef]
- Mahl, C.R.A.; Taketa, T.B.; Bataglioli, R.A.; de Arruda, E.J.; Beppu, M.M. Chitosan Functionalization with Amino Acids Yields to Higher Copper Ions Adsorption Capacity. J. Polym. Environ. 2018, 26, 4338–4349. [Google Scholar] [CrossRef]
- Bui, T.H.; Lee, W.; Jeon, S.B.; Kim, K.W.; Lee, Y. Enhanced Gold(III) adsorption using glutaraldehyde-crosslinked chitosan beads: Effect of crosslinking degree on adsorption selectivity, capacity, and mechanism. Sep. Purif. Technol. 2020, 248, 116989. [Google Scholar] [CrossRef]
- Nitsae, M.; Madjid, A.; Hakim, L.; Sabarudin, A. Preparation of chitosan beads using tripolyphosphate and ethylene glycol diglycidyl ether as crosslinker for Cr(VI) adsorption. Chem. Chem. Technol. 2016, 10, 105–114. [Google Scholar] [CrossRef]
- Elwakeel, K.Z.; El-Sayed, G.O.; Darweesh, R.S. Fast and selective removal of silver(I) from aqueous media by modified chitosan resins. Int. J. Miner. Process. 2013, 120, 26–34. [Google Scholar] [CrossRef]
- Wang, L.; Xing, R.; Liu, S.; Yu, H.; Qin, Y.; Li, K.; Feng, J.; Li, R.; Li, P. Recovery of silver (I) using a thiourea-modified chitosan resin. J. Hazard. Mater. 2010, 180, 577–582. [Google Scholar] [CrossRef]
- Córdova, B.M.; Venâncio, T.; Olivera, M.; Huamani-Palomino, R.G.; Valderrama, A.C. Xanthation of alginate for heavy metal ions removal. Characterization of xanthate-modified alginates and its metal derivatives. Int. J. Biol. Macromol. 2021, 169, 130–142. [Google Scholar] [CrossRef]
- Khan, M.N.; Chowdhury, M.; Rahman, M.M. Biobased amphoteric aerogel derived from amine-modified clay-enriched chitosan/alginate for adsorption of organic dyes and chromium (VI) ions from aqueous solution. Mater. Today Sustain. 2021, 13, 100077. [Google Scholar] [CrossRef]
- Pearson, R.G. Hard and soft acids and bases-the evolution of a chemical concept. Coord. Chem. Rev. 1990, 100, 403–425. [Google Scholar] [CrossRef]
- Nieboer, E.; Richardson, D.H.S. The replacement of the nondescript term “heavy metals” by a biologically and chemically significant classification of metal ions. Environ. Pollution. Ser. B Chem. Phys. 1980, 1, 3–26. [Google Scholar] [CrossRef]
- Pletnev, I.V.; Zernov, V.V. Classification of metal ions according to their complexing properties: A data-driven approach. Anal. Chim. Acta 2002, 455, 131–142. [Google Scholar] [CrossRef]
- Fujiwara, K.; Ramesh, A.; Maki, T.; Hasegawa, H.; Ueda, K. Adsorption of platinum (IV), palladium (II) and gold (III) from aqueous solutions onto l-lysine modified crosslinked chitosan resin. J. Hazard. Mater. 2007, 146, 39–50. [Google Scholar] [CrossRef]
- Ramesh, P.; Subbiahpandi, A.; Thirumurugan, P.; Perumal, P.T.; Ponnuswamy, M.N. 3-[4-(2,4-Dichlorophenyl)-3,5-dicyano-6-methoxypyridin-2-yl]indole. Acta Cryst. 2008, 64, o1892. [Google Scholar]
- Bertagnolli, C.; Grishin, A.; Vincent, T.; Guibal, E. Synthesis and Application of a Novel Sorbent (Tannic Acid-Grafted-Polyethyleneimine Encapsulated in Alginate Beads) for Heavy Metal Removal. Sep. Sci. Technol. 2015, 50, 2897–2906. [Google Scholar] [CrossRef]
- Bertagnolli, C.; Grishin, A.; Vincent, T.; Guibal, E. Recovering Heavy Metal Ions from Complex Solutions Using Polyethylenimine Derivatives Encapsulated in Alginate Matrix. Ind. Eng. Chem. Res. 2016, 55, 2461–2470. [Google Scholar] [CrossRef]
- Liu, B.; Wang, D.; Yu, G.; Meng, X. Adsorption of heavy metal ions, dyes and proteins by chitosan composites and derivatives-A review. J. Ocean Univ. China 2013, 12, 500–508. [Google Scholar] [CrossRef]
- Yong, S.K.; Bolan, N.S.; Lombi, E.; Skinner, W.; Guibal, E. Sulfur-containing chitin and chitosan derivatives as trace metal adsorbents: A review. Crit. Rev. Environ. Sci. Technol. 2013, 43, 1741–1794. [Google Scholar] [CrossRef]
- Yu, J.; Zheng, J.; Lu, Q.; Yang, S.; Zhang, X.; Wang, X.; Yang, W. Selective adsorption and reusability behavior for Pb2+ and Cd2+ on chitosan/poly(ethylene glycol)/poly(acrylic acid) adsorbent prepared by glow-discharge electrolysis plasma. Colloid Polym. Sci. 2016, 294, 1585–1598. [Google Scholar] [CrossRef]
- Miretzky, P.; Cirelli, A.F. Hg(II) removal from water by chitosan and chitosan derivatives: A review. J. Hazard. Mater. 2009, 167, 10–23. [Google Scholar] [CrossRef] [PubMed]
- Ruiz, M.; Sastre, A.; Guibal, E. Pd and Pt recovery using chitosan gel beads. I. Influence of the drying process on diffusion properties. Sep. Sci. Technol. 2002, 37, 2143–2166. [Google Scholar] [CrossRef]
- Casettari, L.; Vllasaliu, D.; Lam, J.K.W.; Soliman, M.; Illum, L. Biomedical applications of amino acid-modified chitosans: A review. Biomaterials 2012, 33, 7565–7583. [Google Scholar] [CrossRef] [PubMed]
- Negm, N.A.; El Sheikh, R.; El-Farargy, A.F.; Hefni, H.H.H.; Bekhit, M. Treatment of industrial wastewater containing copper and cobalt ions using modified chitosan. J. Ind. Eng. Chem. 2015, 21, 526–534. [Google Scholar] [CrossRef]
- Karthik, R.; Meenakshi, S. Removal of Pb(II) and Cd(II) Ions from Aqueous Solution Using Polyaniline Grafted Chitosan; Elsevier B.V.: Amsterdam, The Netherlands, 2015; Volume 263, ISBN 9145124523. [Google Scholar]
- Beppu, M.M.; Arruda, E.J.; Vieira, R.S.; Santos, N.N. Adsorption of Cu(II) on porous chitosan membranes functionalized with histidine. J. Memb. Sci. 2004, 240, 227–235. [Google Scholar] [CrossRef]
- Boggione, M.J.; Mahl, C.R.A.; Beppu, M.M.; Farruggia, B. Synthesis and characterization of chitosan membranes functionalized with amino acids and copper for adsorption of endoglucanase. Powder Technol. 2017, 315, 250–257. [Google Scholar] [CrossRef]
- Eser, A.; Nüket Tirtom, V.; Aydemir, T.; Becerik, S.; Dinçer, A. Removal of nickel(II) ions by histidine modified chitosan beads. Chem. Eng. J. 2012, 210, 590–596. [Google Scholar] [CrossRef]
- Jang, L.K.; Nguyen, D.; Geesey, G.G. An equilibrium model for absorption of multiple divalent metals by alginate gel under acidic conditions. Water Res. 1999, 33, 2826–2832. [Google Scholar] [CrossRef]
- Jang, L.K.; Nguyen, D.; Geesey, G.G. Selectivity of alginate gel for Cu over Zn when acidic conditions prevail. Water Res. 1999, 33, 2817–2825. [Google Scholar] [CrossRef]
- Ibáez, J.P.; Umetsu, Y. Potential of protonated alginate beads for heavy metals uptake. Hydrometallurgy 2002, 64, 89–99. [Google Scholar] [CrossRef]
- Navarro, R.R.; Furukawa, M.; Matsumura, M. Hybrid properties of alginate-PEI adsorbent for chromium (VI) removal from aqueous solutions. Sep. Sci. Technol. 2006, 41, 3619–3637. [Google Scholar] [CrossRef]
- Jones, M.M.; Burka, L.T.; Hunter, M.E.; Basinger, M.; Campo, G.; Weaver, A.D. Dithiocarbamate chelating agents for toxic heavy metals. J. Inorg. Nucl. Chem. 1980, 42, 775–778. [Google Scholar] [CrossRef]
- Wang, S.; Vincent, T.; Faur, C.; Guibal, E. Alginate and algal-based beads for the sorption of metal cations: Cu(II) and pb(II). Int. J. Mol. Sci. 2016, 17, 1453. [Google Scholar] [CrossRef] [PubMed] [Green Version]






| Advantages | Disadvantages |
|---|---|
|
|
Publisher’s Note: MDPI stays neutral with regard to jurisdictional claims in published maps and institutional affiliations. |
© 2022 by the authors. Licensee MDPI, Basel, Switzerland. This article is an open access article distributed under the terms and conditions of the Creative Commons Attribution (CC BY) license (https://creativecommons.org/licenses/by/4.0/).
Share and Cite
Benettayeb, A.; Ghosh, S.; Usman, M.; Seihoub, F.Z.; Sohoo, I.; Chia, C.H.; Sillanpää, M. Some Well-Known Alginate and Chitosan Modifications Used in Adsorption: A Review. Water 2022, 14, 1353. https://doi.org/10.3390/w14091353
Benettayeb A, Ghosh S, Usman M, Seihoub FZ, Sohoo I, Chia CH, Sillanpää M. Some Well-Known Alginate and Chitosan Modifications Used in Adsorption: A Review. Water. 2022; 14(9):1353. https://doi.org/10.3390/w14091353
Chicago/Turabian StyleBenettayeb, Asmaa, Soumya Ghosh, Muhammad Usman, Fatima Zohra Seihoub, Ihsanullah Sohoo, Chin Hua Chia, and Mika Sillanpää. 2022. "Some Well-Known Alginate and Chitosan Modifications Used in Adsorption: A Review" Water 14, no. 9: 1353. https://doi.org/10.3390/w14091353
APA StyleBenettayeb, A., Ghosh, S., Usman, M., Seihoub, F. Z., Sohoo, I., Chia, C. H., & Sillanpää, M. (2022). Some Well-Known Alginate and Chitosan Modifications Used in Adsorption: A Review. Water, 14(9), 1353. https://doi.org/10.3390/w14091353

