A New Rainfall-Runoff Model Using Improved LSTM with Attentive Long and Short Lag-Time
Abstract
:1. Introduction
- (1)
- Short lag-times of rainfall-runoff input are explicitly considered in a rainfall-runoff model along with traditional long lag-time at the first time. The short lag-times are only involved in runoff modeling [42], and not employed in rainfall–runoff models;
- (2)
- To further improve rainfall-runoff forecasting performance, a self-attention mechanism is employed to simultaneously model the temporal dependencies within both long and short lag-times, by jointly extracting better features. The previous work only uses self-attention mechanism in short lag-times [42];
- (3)
- The LSTM-ALSL model is modified from SA-LSTM [42] to obtain better results. The LSTM-ALSL is compared with an SVR, convolutional neural network (CNN), random forest (RF), and LSTM models by forecasting runoff 1~7 days ahead. The results of the experiments, including both the base and peak flow results, over four stations in the U.S.A. demonstrate the effectiveness of LSTM-ALSL.
2. Methodology
3. Case Study
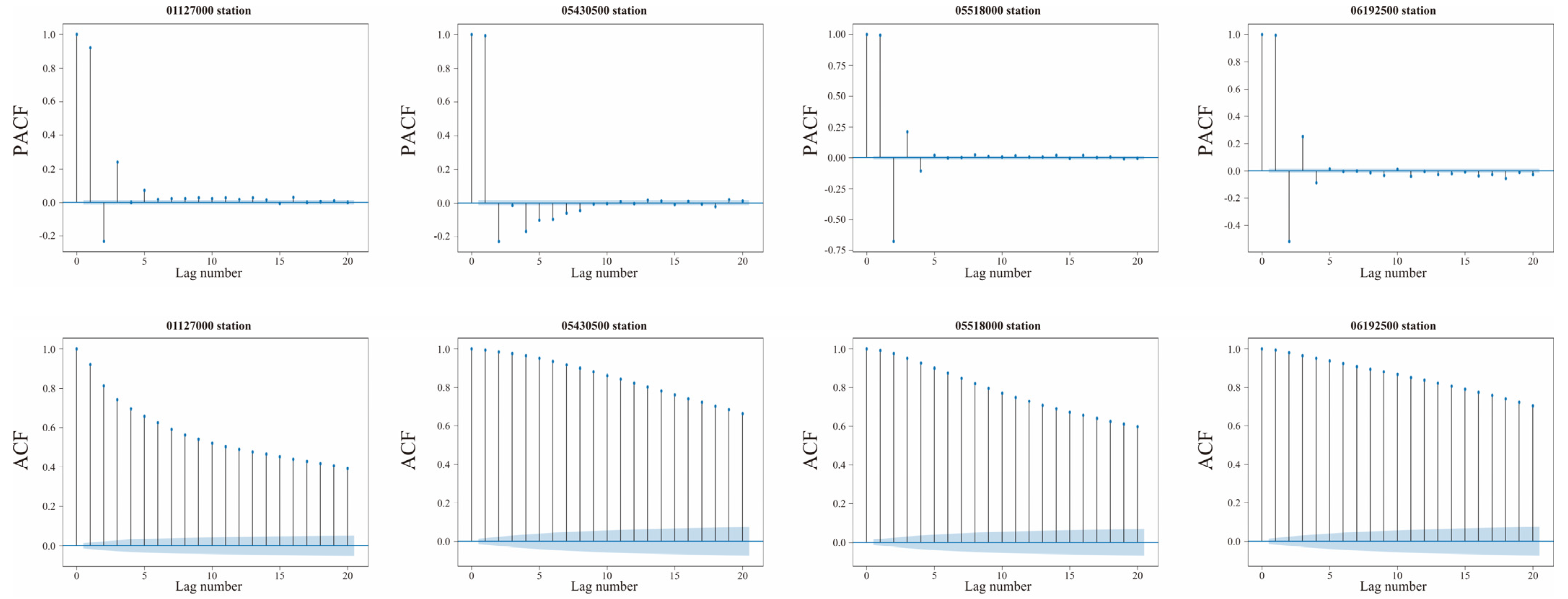
3.1. Study Area and Data
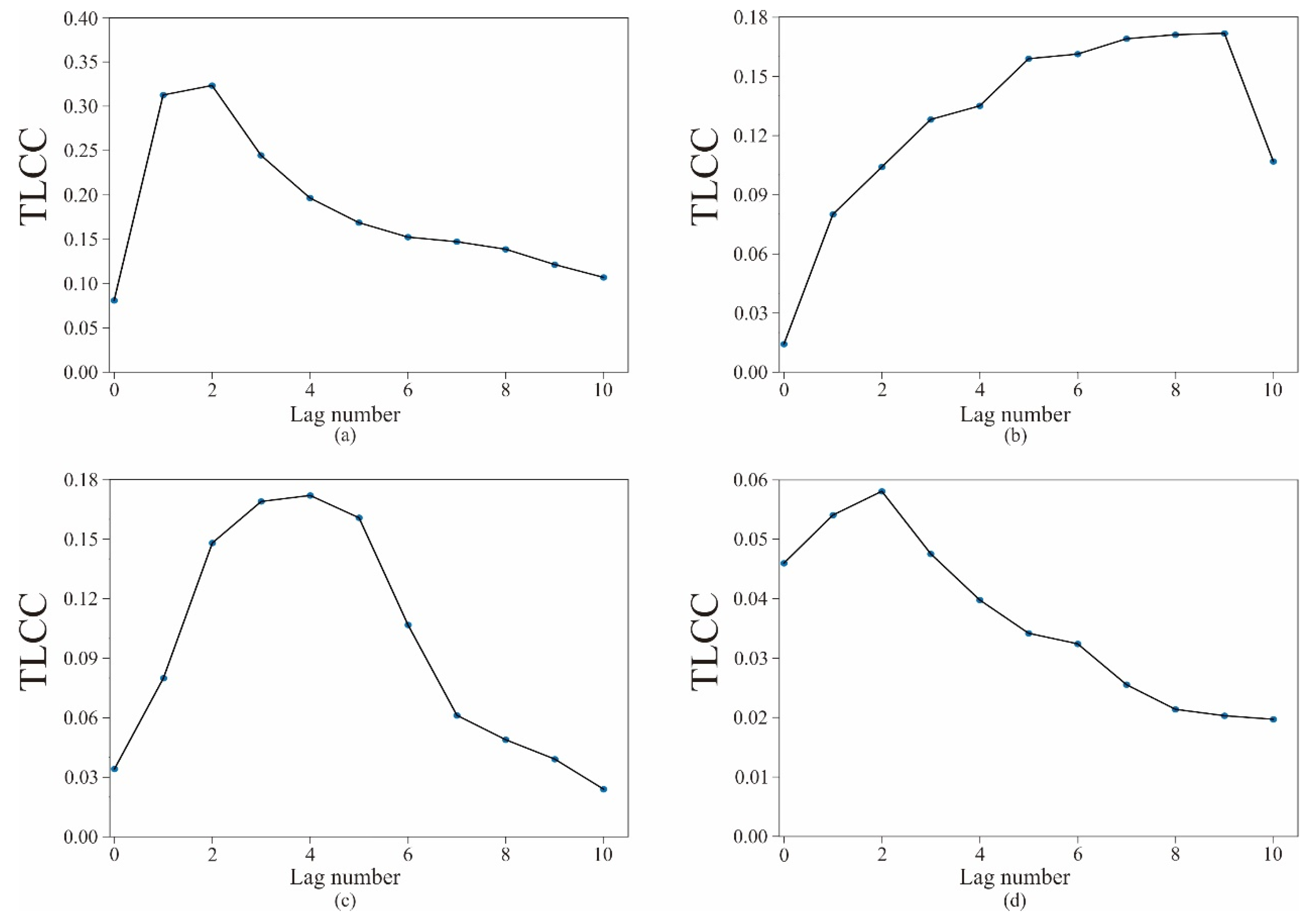
3.2. Forecasting Factor Selection
3.3. Optimization of Model Selection
4. Results and Discussion
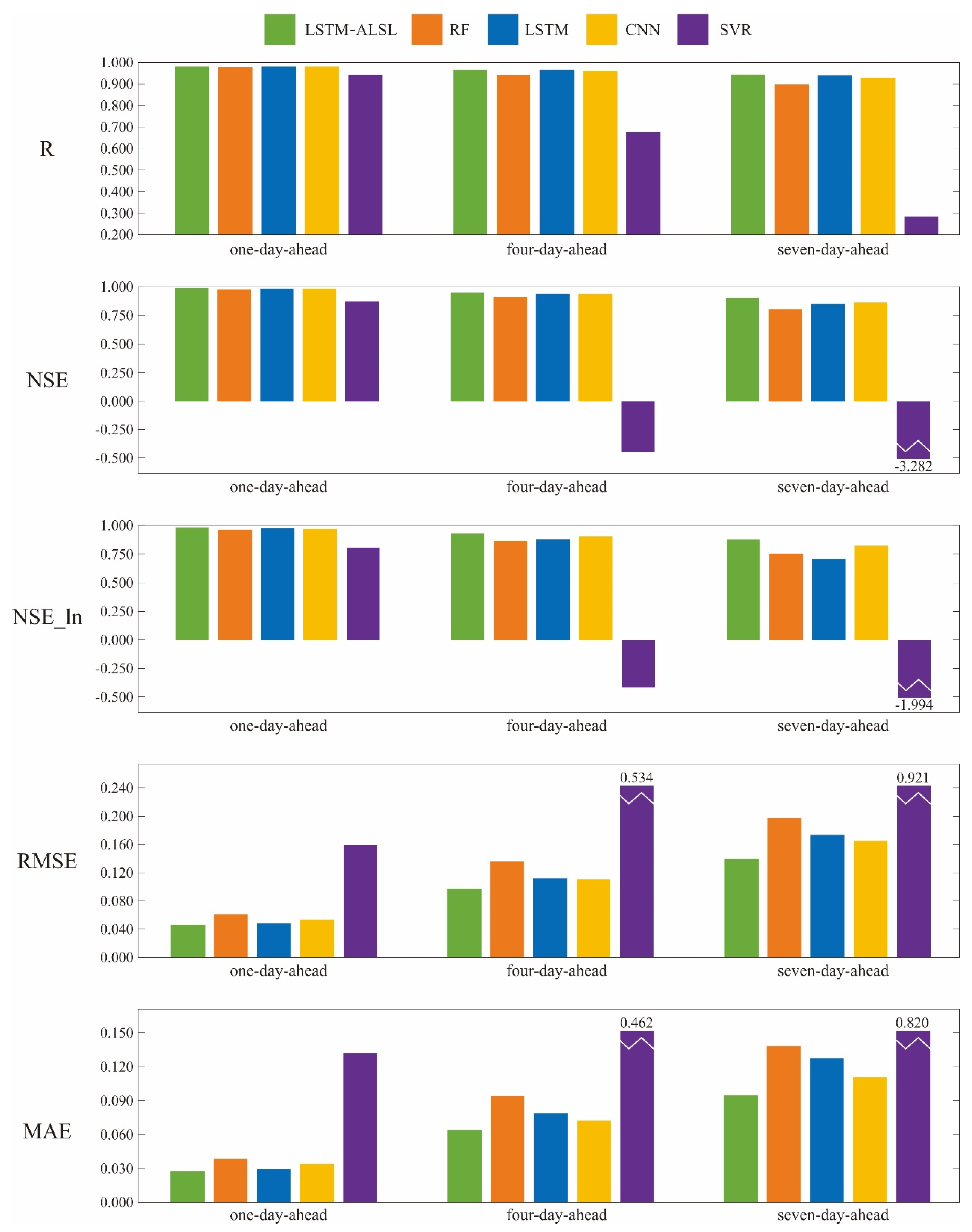
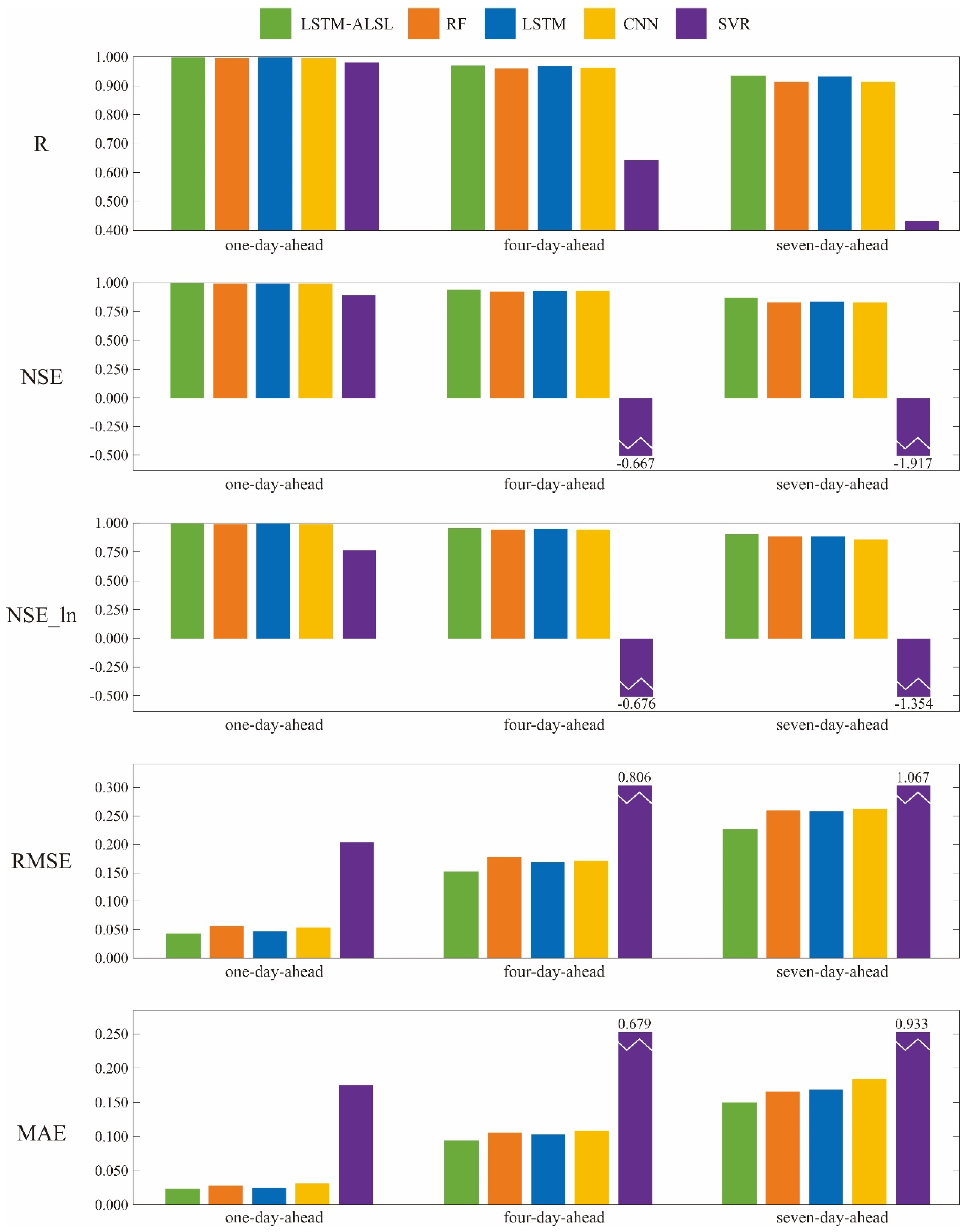
4.1. Total Forecasting Accuracy Comparisons
4.1.1. Performance Metric Comparisons
4.1.2. Comparisons of Forecasting Results
4.1.3. Scatter Plot Comparisons
4.2. Comparisons of Peak Flow Forecasting Accuracy
4.3. Comparisons of Base Flow Forecasting Accuracies
4.4. Epochs vs. Loss/NSE
5. Conclusions
Author Contributions
Funding
Institutional Review Board Statement
Informed Consent Statement
Data Availability Statement
Acknowledgments
Conflicts of Interest
References
- Blöschl, G.; Hall, J.; Viglione, A.; Perdigão, R.A.P.; Parajka, J.; Merz, B.; Lun, D.; Arheimer, B.; Aronica, G.T.; Bilibashi, A.; et al. Changing climate both increases and decreases European river floods. Nature 2019, 573, 108–111. [Google Scholar] [CrossRef]
- Liu, Z.; Zhou, P.; Chen, X.; Guan, Y. A multivariate conditional model for streamflow prediction and spatial precipitation refinement. J. Geophys. Res. Atmos. 2015, 120, 10–116. [Google Scholar] [CrossRef] [Green Version]
- Nazeer, A.; Maskey, S.; Skaugen, T.; McClain, M.E. Simulating the hydrological regime of the snow fed and glaciarised Gilgit Basin in the Upper Indus using global precipitation products and a data parsimonious precipitation-runoff model. Sci. Total Environ. 2021, 802, 149872. [Google Scholar] [CrossRef]
- Palmer, M.; Ruhi, A. Linkages between flow regime, biota, and ecosystem processes: Implications for river restoration. Science 2019, 365, eaaw2087. [Google Scholar] [CrossRef] [Green Version]
- Wu, J.; Liu, Z.; Yao, H.; Chen, X.; Chen, X.; Zheng, Y.; He, Y. Impacts of reservoir operations on multi-scale correlations between hydrological drought and meteorological drought. J. Hydrol. 2018, 563, 726–736. [Google Scholar] [CrossRef]
- Yu, X.; Zhang, X.; Qin, H. A data-driven model based on Fourier transform and support vector regression for monthly reservoir inflow forecasting. J. Hydro Environ. Res. 2018, 18, 12–24. [Google Scholar] [CrossRef]
- Duan, Q.; Pappenberger, F.; Wood, A.; Cloke, H.L.; Schaake, J. Handbook of Hydrometeorological Ensemble Forecasting; Springer: Berlin/Heidelberg, Germany, 2019. [Google Scholar]
- Birkel, C.; Soulsby, C. Advancing tracer-aided rainfall-runoff modelling: A review of progress, problems and unrealised potential. Hydrol. Process. 2015, 29, 5227–5240. [Google Scholar] [CrossRef]
- Seibert, J.; Vis, M.J.P.; Kohn, I.; Weiler, M.; Stahl, K. Technical note: Representing glacier geometry changes in a semi-distributed hydrological model. Hydrol. Earth Syst. Sci. 2018, 22, 2211–2224. [Google Scholar] [CrossRef] [Green Version]
- Gao, H.; Birkel, C.; Hrachowitz, M.; Tetzlaff, D.; Soulsby, C.; Savenije, H.H.G. A Simple Topography-Driven and Calibration-Free Runoff Generation Module. Hydrol. Earth Syst. Sci. 2019, 23, 787–809. [Google Scholar] [CrossRef] [Green Version]
- Liu, S.; Yao, X.; Guo, W.; Xu, J.; Shangguan, D.; Wei, J.; Bao, W.; Wu, L. The Contemporary Glaciers in China Based on the Second Chinese Glacier Inventory. Acta Geogr. Sin. 2015, 70, 3–16. [Google Scholar]
- Shen, C. A Transdisciplinary Review of Deep Learning Research and Its Relevance for Water Resources Scientists. Water Resour. Res. 2018, 54, 8558–8593. [Google Scholar] [CrossRef]
- Brath, A.; Montanari, A.; Toth, E. Neural networks and non-parametric methods for improving real-time flood forecasting through conceptual hydrological models. Hydrol. Earth Syst. Sci. 2002, 6, 627–639. [Google Scholar] [CrossRef] [Green Version]
- Toth, E.; Brath, A.; Montanari, A. Comparison of short-term rainfall prediction models for real-time flood forecasting. J. Hydrol. 2000, 239, 132–147. [Google Scholar] [CrossRef]
- Luo, X.; Yuan, X.; Zhu, S.; Xu, Z.; Meng, L.; Peng, J. A hybrid support vector regression framework for streamflow forecast. J. Hydrol. 2019, 568, 184–193. [Google Scholar] [CrossRef]
- Dawson, C.W.; Wilby, R.L. Hydrological modelling using artificial neural networks. Prog. Phys. Geogr. 2001, 25, 80–108. [Google Scholar] [CrossRef]
- Nourani, V. An Emotional ANN (EANN) approach to modeling rainfall-runoff process. J. Hydrol. 2017, 544, 267–277. [Google Scholar] [CrossRef]
- Tokar, A.S.; Johnson, P.A. Rainfall-runoff modeling using artificial neural networks. J. Hydrol. Eng. 1999, 4, 232–239. [Google Scholar] [CrossRef]
- Chadalawada, J.; Herath, H.M.V.V.; Babovic, V. Hydrologically Informed Machine Learning for Rainfall-Runoff Modeling: A Genetic Programming-Based Toolkit for Automatic Model Induction. Water Resour. Res. 2020, 56, e2019WR026933. [Google Scholar] [CrossRef]
- Kashid, S.; Ghosh, S.; Maity, R. Streamflow prediction using multi-site rainfall obtained from hydroclimatic teleconnection. J. Hydrol. 2010, 395, 23–38. [Google Scholar] [CrossRef]
- Khu, S.T.; Liong, S.-Y.; Babovic, V.; Madsen, H.; Muttil, N. Genetic programming and its application in real-time runoff forecasting. JAWRA J. Am. Water Resour. Assoc. 2001, 37, 439–451. [Google Scholar] [CrossRef]
- Li, X.-L.; Lü, H.; Horton, R.; An, T.; Yu, Z. Real-time flood forecast using the coupling support vector machine and data assimilation method. J. Hydroinformatics 2014, 16, 973–988. [Google Scholar] [CrossRef] [Green Version]
- Young, C.-C.; Liu, W.-C.; Wu, M.-C. A physically based and machine learning hybrid approach for accurate rainfall-runoff modeling during extreme typhoon events. Appl. Soft Comput. 2017, 53, 205–216. [Google Scholar] [CrossRef]
- Moradkhani, H.; Hsu, K.-L.; Gupta, H.; Sorooshian, S. Improved streamflow forecasting using self-organizing radial basis function artificial neural networks. J. Hydrol. 2004, 295, 246–262. [Google Scholar] [CrossRef] [Green Version]
- Talei, A.; Chua, L.H.C.; Wong, T.S. Evaluation of rainfall and discharge inputs used by Adaptive Network-based Fuzzy Inference Systems (ANFIS) in rainfall–runoff modeling. J. Hydrol. 2010, 391, 248–262. [Google Scholar] [CrossRef]
- Huang, H.; Liang, Z.; Li, B.; Wang, D.; Hu, Y.; Li, Y. Combination of Multiple Data-Driven Models for Long-Term Monthly Runoff Predictions Based on Bayesian Model Averaging. Water Resour. Manag. 2019, 33, 3321–3338. [Google Scholar] [CrossRef]
- Tongal, H.; Booij, M.J. Simulation and forecasting of streamflows using machine learning models coupled with base flow separation. J. Hydrol. 2018, 564, 266–282. [Google Scholar] [CrossRef]
- Cisty, M.; Soldanova, V. Flow Prediction Versus Flow Simulation Using Machine Learning Algorithms, International Conference on Machine Learning and Data Mining in Pattern Recognition; Springer: Berlin/Heidelberg, Germany, 2018; pp. 369–382. [Google Scholar]
- Alizadeh, M.J.; Kavianpour, M.R.; Kisi, O.; Nourani, V. A new approach for simulating and forecasting the rainfall-runoff process within the next two months. J. Hydrol. 2017, 548, 588–597. [Google Scholar] [CrossRef]
- Anctil, F.; Tape, D.G. An exploration of artificial neural network rainfall-runoff forecasting combined with wavelet decomposition. J. Environ. Eng. Sci. 2004, 3, S121–S128. [Google Scholar] [CrossRef]
- Nourani, V.; Parhizkar, M. Conjunction of SOM-based feature extraction method and hybrid wavelet-ANN approach for rainfall–runoff modeling. J. Hydroinformatics 2013, 15, 829–848. [Google Scholar] [CrossRef] [Green Version]
- Wang, Y.; Guo, S.; Xiong, L.; Liu, P.; Liu, D. Daily Runoff Forecasting Model Based on ANN and Data Preprocessing Techniques. Water 2015, 7, 4144–4160. [Google Scholar] [CrossRef] [Green Version]
- Wu, C.; Chau, K.W. Rainfall–runoff modeling using artificial neural network coupled with singular spectrum analysis. J. Hydrol. 2011, 399, 394–409. [Google Scholar] [CrossRef] [Green Version]
- Yokoo, K.; Ishida, K.; Ercan, A.; Tu, T.; Nagasato, T.; Kiyama, M.; Amagasaki, M. Capabilities of deep learning models on learning physical relationships: Case of rainfall-runoff modeling with LSTM. Sci. Total Environ. 2021, 802, 149876. [Google Scholar] [CrossRef]
- Klotz, D.; Kratzert, F.; Gauch, M.; Sampson, A.K.; Brandstetter, J.; Klambauer, G.; Hochreiter, S.; Nearing, G. Uncertainty Estimation with Deep Learning for Rainfall–Runoff Modelling. Hydrol. Earth Syst. Sci. Discuss. 2021, 1–32. [Google Scholar] [CrossRef]
- Li, X.; Du, Z.; Song, G. A Method of Rainfall Runoff Forecasting Based on Deep Convolution Neural Networks. In Proceedings of the 2018 Sixth International Conference on Advanced Cloud and Big Data (CBD), Lanzhou, China, 12–15 August 2018; pp. 304–310. [Google Scholar]
- Hochreiter, S.; Schmidhuber, J. Long short-term memory. Neural Comput. 1997, 9, 1735–1780. [Google Scholar] [CrossRef]
- Tian, Y.; Xu, Y.-P.; Yang, Z.; Wang, G.; Zhu, Q. Integration of a Parsimonious Hydrological Model with Recurrent Neural Networks for Improved Streamflow Forecasting. Water 2018, 10, 1655. [Google Scholar] [CrossRef] [Green Version]
- Hu, C.; Wu, Q.; Li, H.; Jian, S.; Li, N.; Lou, Z. Deep Learning with a Long Short-Term Memory Networks Approach for Rainfall-Runoff Simulation. Water 2018, 10, 1543. [Google Scholar] [CrossRef] [Green Version]
- Xiang, Z.; Yan, J.; Demir, I. A Rainfall-Runoff Model With LSTM-Based Sequence-to-Sequence Learning. Water Resour. Res. 2020, 56, e2019WR025326. [Google Scholar] [CrossRef]
- Gauch, M.; Kratzert, F.; Klotz, D.; Nearing, G.; Lin, J.; Hochreiter, S. Rainfall–runoff prediction at multiple timescales with a single Long Short-Term Memory network. Hydrol. Earth Syst. Sci. 2021, 25, 2045–2062. [Google Scholar] [CrossRef]
- Chen, X.; Huang, J.; Han, Z.; Gao, H.; Liu, M.; Li, Z.; Liu, X.; Li, Q.; Qi, H.; Huang, Y. The importance of short lag-time in the runoff forecasting model based on long short-term memory. J. Hydrol. 2020, 589, 125359. [Google Scholar] [CrossRef]
- Vaswani, A.; Shazeer, N.; Parmar, N.; Uszkoreit, J.; Jones, L.; Gomez, A.N.; Kaiser, Ł.; Polosukhin, I. Attention is all you need. Adv. Neural Inf. Processing Syst. 2017, 30, 5998–6008. [Google Scholar]
- Bahdanau, D.; Cho, K.; Bengio, Y. Neural machine translation by jointly learning to align and translate. arXiv 2014, arXiv:1409.04730. [Google Scholar]
- Luong, M.-T.; Pham, H.; Manning, C.D. Effective approaches to attention-based neural machine translation. arXiv 2015, arXiv:1508.04025. [Google Scholar]
- Sukhbaatar, S.; Szlam, A.; Weston, J.; Fergus, R.J. End-to-end memory networks. Adv. Neural Inf. Processing Syst. 2015, 28, 1–9. [Google Scholar]
- Duan, Q.J.; Schaake, V.; Andréassian, S.; Franks, G.; Goteti, H.V.; Gupta, Y.M.; Gusev, F.; Habets, A.; Hall, L.; Hay, T.; et al. Model Parameter Estimation Experiment (MOPEX): An overview of science strategy and major results from the second and third workshops. J. Hydrol. 2006, 320, 3–17. [Google Scholar] [CrossRef] [Green Version]












| Station ID | Lon. (deg) | Lat. (deg) | Drainage Area (km2) | Ardity Index (PET/P) | Average Runoff (mm/d) | Standard Deviation of Runoff (mm/d) | Average Rainfall (mm/d) | Runoff Coefficient | Station Location |
|---|---|---|---|---|---|---|---|---|---|
| 01127000 | −71.985 | 41.598 | 1846 | 0.77 | 1.801 | 1.837 | 3.269 | 0.551 | Quinebaug River at Jewett City, CT |
| 05430500 | −89.071 | 42.609 | 8686 | 1.11 | 0.580 | 0.487 | 2.214 | 0.262 | Rock River at Afton, WI |
| 05518000 | −87.343 | 41.183 | 4796 | 0.99 | 0.978 | 0.616 | 2.596 | 0.377 | Kankakee River at Shelby, IN |
| 06192500 | −110.565 | 45.597 | 9208 | 1.16 | 1.019 | 1.174 | 1.884 | 0.541 | Yellowstone River near Livingston, MT. |
| Hidden Layers | Hidden Neurons |
|---|---|
| 1 | (3), (5), (7), (9), (11), (16) |
| 2 | (2 3), (2 8), (8 2), (8 9), (16 5), (5 16) |
| 3 | (3 6 2), (4 6 5), (5 7 3), (5 9 2), (7 9 5), (4 16 5) |
| 4 | (3 5 6 2), (3 5 9 2), (3 7 9 5), (4 8 10 5) |
| 5 | (3 5 9 7 2), (3 6 9 6 3), (4 7 11 5 2), (5 7 11 9 5) |
| Short Lag-Time | Hidden Layers and Hidden Neuron | R | NSE | NSE_ln | RMSE | MAE |
|---|---|---|---|---|---|---|
| 2 | (3) | 0.872 | 0.749 | 0.625 | 0.887 | 0.594 |
| (5) | 0.892 | 0.744 | 0.761 | 0.897 | 0.491 | |
| (7) | 0.882 | 0.733 | 0.648 | 0.915 | 0.490 | |
| (9) | 0.896 | 0.753 | 0.626 | 0.880 | 0.635 | |
| (11) | 0.887 | 0.785 | 0.743 | 0.821 | 0.478 | |
| (16) | 0.893 | 0.788 | 0.870 | 0.816 | 0.495 | |
| (2 3) | 0.890 | 0.776 | 0.859 | 0.838 | 0.449 | |
| (2 8) | 0.889 | 0.789 | 0.814 | 0.813 | 0.463 | |
| (8 2) | 0.892 | 0.783 | 0.824 | 0.825 | 0.522 | |
| (8 9) | 0.886 | 0.755 | 0.861 | 0.878 | 0.569 | |
| (16 5) | 0.880 | 0.760 | 0.822 | 0.868 | 0.533 | |
| (5 16) | 0.886 | 0.782 | 0.886 | 0.827 | 0.487 | |
| (3 6 2) | 0.892 | 0.687 | 0.719 | 0.991 | 0.736 | |
| (4 6 5) | 0.892 | 0.734 | 0.872 | 0.913 | 0.488 | |
| (5 7 3) | 0.887 | 0.778 | 0.866 | 0.834 | 0.501 | |
| (5 9 2) | 0.891 | 0.669 | 0.646 | 1.019 | 0.799 | |
| (7 9 5) | 0.889 | 0.734 | 0.758 | 0.914 | 0.651 | |
| (4 16 5) | 0.879 | 0.708 | 0.825 | 0.957 | 0.630 | |
| (3 5 6 2) | 0.895 | 0.788 | 0.826 | 0.816 | 0.516 | |
| (3 5 9 2) | 0.891 | 0.781 | 0.692 | 0.829 | 0.459 | |
| (3 7 9 5) | 0.855 | 0.727 | 0.876 | 0.926 | 0.486 | |
| (4 8 10 5) | 0.897 | 0.748 | 0.877 | 0.890 | 0.462 | |
| (3 5 9 7 2) | 0.890 | 0.777 | 0.886 | 0.838 | 0.443 | |
| (3 6 9 6 3) | 0.888 | 0.778 | 0.856 | 0.834 | 0.480 | |
| (4 7 11 5 2) | 0.886 | 0.779 | 0.857 | 0.833 | 0.492 | |
| (5 7 11 9 5) | 0.881 | 0.711 | 0.827 | 0.952 | 0.644 | |
| 3 | (3) | 0.885 | 0.750 | 0.670 | 0.886 | 0.636 |
| (5) | 0.889 | 0.785 | 0.651 | 0.822 | 0.486 | |
| (7) | 0.888 | 0.780 | 0.836 | 0.831 | 0.526 | |
| (9) | 0.891 | 0.782 | 0.428 | 0.828 | 0.521 | |
| (11) | 0.888 | 0.721 | -0.326 | 0.936 | 0.637 | |
| (16) | 0.878 | 0.627 | 0.802 | 1.082 | 0.742 | |
| (2 3) | 0.896 | 0.787 | 0.807 | 0.818 | 0.509 | |
| (2 8) | 0.891 | 0.641 | 0.543 | 1.062 | 0.667 | |
| (8 2) | 0.891 | 0.789 | 0.869 | 0.814 | 0.479 | |
| (8 9) | 0.888 | 0.690 | 0.796 | 0.986 | 0.547 | |
| (16 5) | 0.883 | 0.659 | 0.703 | 1.034 | 0.755 | |
| (5 16) | 0.900 | 0.745 | 0.557 | 0.895 | 0.686 | |
| (3 6 2) | 0.889 | 0.767 | 0.850 | 0.855 | 0.544 | |
| (4 6 5) | 0.891 | 0.789 | 0.887 | 0.814 | 0.438 | |
| (5 7 3) | 0.886 | 0.768 | 0.878 | 0.853 | 0.527 | |
| (5 9 2) | 0.890 | 0.751 | 0.817 | 0.885 | 0.595 | |
| (7 9 5) | 0.885 | 0.764 | 0.832 | 0.860 | 0.481 | |
| (4 16 5) | 0.878 | 0.755 | 0.086 | 0.877 | 0.505 | |
| (3 5 6 2) | 0.897 | 0.788 | 0.870 | 0.817 | 0.445 | |
| (3 5 9 2) | 0.888 | 0.705 | 0.791 | 0.962 | 0.548 | |
| (3 7 9 5) | 0.885 | 0.760 | 0.880 | 0.868 | 0.454 | |
| (4 8 10 5) | 0.887 | 0.785 | 0.882 | 0.822 | 0.464 | |
| (3 5 9 7 2) | 0.891 | 0.730 | 0.883 | 0.922 | 0.488 | |
| (3 6 9 6 3) | 0.867 | 0.730 | 0.786 | 0.922 | 0.591 | |
| (4 7 11 5 2) | 0.877 | 0.683 | 0.662 | 0.998 | 0.757 | |
| (5 7 11 9 5) | 0.889 | 0.784 | 0.790 | 0.823 | 0.443 |
| Observed Runoff | SVR | CNN | RF | LSTM | LSTM-ALSL |
|---|---|---|---|---|---|
| 8.791 | 10.569 | 5.328 | 5.456 | 4.228 | 6.132 |
| 11.757 | 8.644 | 3.908 | 4.532 | 4.014 | 4.432 |
| 7.964 | 10.623 | 6.262 | 5.434 | 5.744 | 5.954 |
| 11.405 | 9.778 | 5.243 | 5.300 | 3.956 | 4.870 |
| 11.337 | 8.864 | 5.794 | 8.796 | 7.363 | 9.090 |
| 14.493 | 10.744 | 6.733 | 5.361 | 6.591 | 9.289 |
| 10.633 | 8.425 | 4.483 | 4.724 | 4.520 | 5.633 |
| 8.764 | 10.275 | 5.544 | 4.030 | 3.619 | 4.616 |
| 13.315 | 10.143 | 8.762 | 7.875 | 8.348 | 12.099 |
| 12.326 | 9.694 | 7.847 | 6.046 | 5.222 | 5.812 |
| 9.603 | 8.876 | 5.310 | 6.556 | 6.406 | 6.841 |
| 9.197 | 10.503 | 6.416 | 9.576 | 6.394 | 7.849 |
| 12.339 | 9.165 | 8.514 | 10.795 | 8.191 | 8.850 |
| 10.186 | 8.851 | 5.183 | 10.335 | 7.631 | 9.124 |
| 10.836 | 10.531 | 4.248 | 3.310 | 3.312 | 5.288 |
| Max ARE | 0.334 | 0.608 | 0.694 | 0.694 | 0.623 |
| Min ARE | 0.028 | 0.214 | 0.041 | 0.251 | 0.104 |
| Mean ARE | 0.192 | 0.443 | 0.394 | 0.469 | 0.347 |
| Observed Runoff | SVR | CNN | RF | LSTM | LSTM-ALSL |
|---|---|---|---|---|---|
| 1.169 | 1.781 | 1.062 | 1.193 | 1.007 | 1.110 |
| 1.157 | 1.654 | 1.046 | 1.013 | 0.913 | 1.008 |
| 0.969 | 1.556 | 0.776 | 0.524 | 0.762 | 0.821 |
| 3.021 | 1.431 | 2.364 | 2.907 | 2.475 | 3.022 |
| 1.650 | 1.458 | 1.400 | 1.359 | 1.280 | 1.415 |
| 1.026 | 0.996 | 0.759 | 1.455 | 0.777 | 0.919 |
| 1.157 | 1.843 | 0.927 | 1.006 | 0.911 | 1.100 |
| 2.403 | 1.388 | 1.985 | 2.244 | 2.431 | 2.431 |
| 1.650 | 1.703 | 0.947 | 0.985 | 0.994 | 1.128 |
| 0.958 | 1.178 | 0.810 | 0.933 | 0.823 | 0.946 |
| 2.029 | 1.937 | 1.672 | 1.818 | 1.762 | 1.971 |
| 1.075 | 1.619 | 0.913 | 1.314 | 0.844 | 0.982 |
| 1.989 | 1.469 | 1.047 | 1.525 | 1.292 | 1.323 |
| 2.693 | 1.646 | 1.813 | 1.857 | 2.222 | 2.574 |
| 1.531 | 1.598 | 1.341 | 1.730 | 1.395 | 1.571 |
| Max ARE | 0.606 | 0.474 | 0.459 | 0.398 | 0.335 |
| Min ARE | 0.029 | 0.091 | 0.021 | 0.012 | 0.0004 |
| Mean ARE | 0.317 | 0.215 | 0.191 | 0.196 | 0.099 |
| Observed Runoff | SVR | CNN | RF | LSTM | LSTM-ALSL |
|---|---|---|---|---|---|
| 1.940 | 2.297 | 1.690 | 2.012 | 1.642 | 1.869 |
| 3.021 | 2.542 | 2.231 | 2.814 | 2.793 | 2.934 |
| 2.532 | 2.320 | 2.140 | 2.283 | 1.975 | 2.131 |
| 2.532 | 2.449 | 2.042 | 2.341 | 2.088 | 2.259 |
| 2.972 | 2.295 | 2.110 | 1.874 | 2.013 | 2.238 |
| 2.391 | 2.558 | 1.923 | 1.811 | 1.631 | 1.802 |
| 2.505 | 2.396 | 2.347 | 2.286 | 2.200 | 2.490 |
| 2.662 | 2.383 | 2.445 | 2.479 | 2.411 | 2.657 |
| 2.972 | 2.212 | 1.619 | 2.119 | 3.068 | 2.863 |
| 3.168 | 2.433 | 2.723 | 2.795 | 2.685 | 2.764 |
| 2.977 | 2.393 | 2.130 | 2.105 | 2.003 | 2.262 |
| 2.766 | 2.489 | 2.134 | 2.473 | 2.565 | 2.724 |
| 2.831 | 2.386 | 2.081 | 2.117 | 1.957 | 2.075 |
| 2.793 | 2.508 | 2.111 | 2.175 | 2.297 | 2.503 |
| 2.766 | 2.396 | 2.173 | 2.501 | 2.713 | 2.689 |
| Max ARE | 0.232 | 0.455 | 0.369 | 0.327 | 0.267 |
| Min ARE | 0.033 | 0.063 | 0.037 | 0.019 | 0.002 |
| Mean ARE | 0.139 | 0.213 | 0.161 | 0.171 | 0.110 |
| Observed Runoff | SVR | CNN | RF | LSTM | LSTM-ALSL |
|---|---|---|---|---|---|
| 3.342 | 4.591 | 1.842 | 1.829 | 2.359 | 2.936 |
| 5.889 | 5.187 | 3.235 | 3.217 | 4.288 | 4.051 |
| 4.085 | 3.844 | 1.671 | 1.702 | 2.567 | 3.169 |
| 5.385 | 5.690 | 3.223 | 3.197 | 2.758 | 3.549 |
| 8.913 | 4.955 | 4.491 | 4.445 | 4.538 | 5.033 |
| 9.550 | 5.595 | 4.511 | 4.495 | 4.587 | 4.565 |
| 2.732 | 4.473 | 1.476 | 1.486 | 2.292 | 2.883 |
| 4.589 | 4.285 | 4.164 | 4.174 | 4.570 | 4.200 |
| 5.226 | 4.671 | 1.965 | 1.967 | 3.050 | 3.537 |
| 5.836 | 5.395 | 3.697 | 3.649 | 4.154 | 3.882 |
| 4.616 | 3.515 | 2.256 | 2.267 | 3.176 | 2.807 |
| 3.661 | 3.701 | 1.508 | 1.514 | 2.395 | 3.266 |
| 2.003 | 2.736 | 1.546 | 1.804 | 1.287 | 1.850 |
| 6.393 | 4.049 | 2.117 | 2.108 | 1.781 | 1.607 |
| 4.881 | 4.854 | 4.429 | 4.350 | 4.962 | 4.293 |
| Max ARE | 0.637 | 0.669 | 0.670 | 0.721 | 0.749 |
| Min ARE | 0.005 | 0.093 | 0.090 | 0.004 | 0.055 |
| Mean ARE | 0.223 | 0.436 | 0.430 | 0.337 | 0.280 |
Publisher’s Note: MDPI stays neutral with regard to jurisdictional claims in published maps and institutional affiliations. |
© 2022 by the authors. Licensee MDPI, Basel, Switzerland. This article is an open access article distributed under the terms and conditions of the Creative Commons Attribution (CC BY) license (https://creativecommons.org/licenses/by/4.0/).
Share and Cite
Chen, X.; Huang, J.; Wang, S.; Zhou, G.; Gao, H.; Liu, M.; Yuan, Y.; Zheng, L.; Li, Q.; Qi, H. A New Rainfall-Runoff Model Using Improved LSTM with Attentive Long and Short Lag-Time. Water 2022, 14, 697. https://doi.org/10.3390/w14050697
Chen X, Huang J, Wang S, Zhou G, Gao H, Liu M, Yuan Y, Zheng L, Li Q, Qi H. A New Rainfall-Runoff Model Using Improved LSTM with Attentive Long and Short Lag-Time. Water. 2022; 14(5):697. https://doi.org/10.3390/w14050697
Chicago/Turabian StyleChen, Xi, Jiaxu Huang, Sheng Wang, Gongjian Zhou, Hongkai Gao, Min Liu, Ye Yuan, Laiwen Zheng, Qingli Li, and Honggang Qi. 2022. "A New Rainfall-Runoff Model Using Improved LSTM with Attentive Long and Short Lag-Time" Water 14, no. 5: 697. https://doi.org/10.3390/w14050697
APA StyleChen, X., Huang, J., Wang, S., Zhou, G., Gao, H., Liu, M., Yuan, Y., Zheng, L., Li, Q., & Qi, H. (2022). A New Rainfall-Runoff Model Using Improved LSTM with Attentive Long and Short Lag-Time. Water, 14(5), 697. https://doi.org/10.3390/w14050697

