Prediction of Ice-Resistance Distribution for R/V Xuelong Using Measured Sea-Ice Parameters
Abstract
:1. Introduction
2. Numerical Method
2.1. Circumferential Crack Method
2.1.1. Mechanical Model of Interaction between Ice and Hull
2.1.2. Bending-Failure Pattern
2.1.3. Crushing-Failure Pattern
2.2. Excitation Forces and Moments
2.3. Nataf Transformation
3. Sensitivity Analysis of Ice Parameters
3.1. Numerical Simulation Setup
3.2. Sensitivity Analysis
3.2.1. Ice-Thickness Sensitivity Analysis
3.2.2. Flexural Strength Sensitivity Analysis
3.2.3. Crushing Strength Sensitivity Analysis
3.2.4. Effective Modulus Sensitivity Analysis
3.2.5. Ice-Density Sensitivity Analysis
3.2.6. Influence of Different Ice Parameters on Resistance
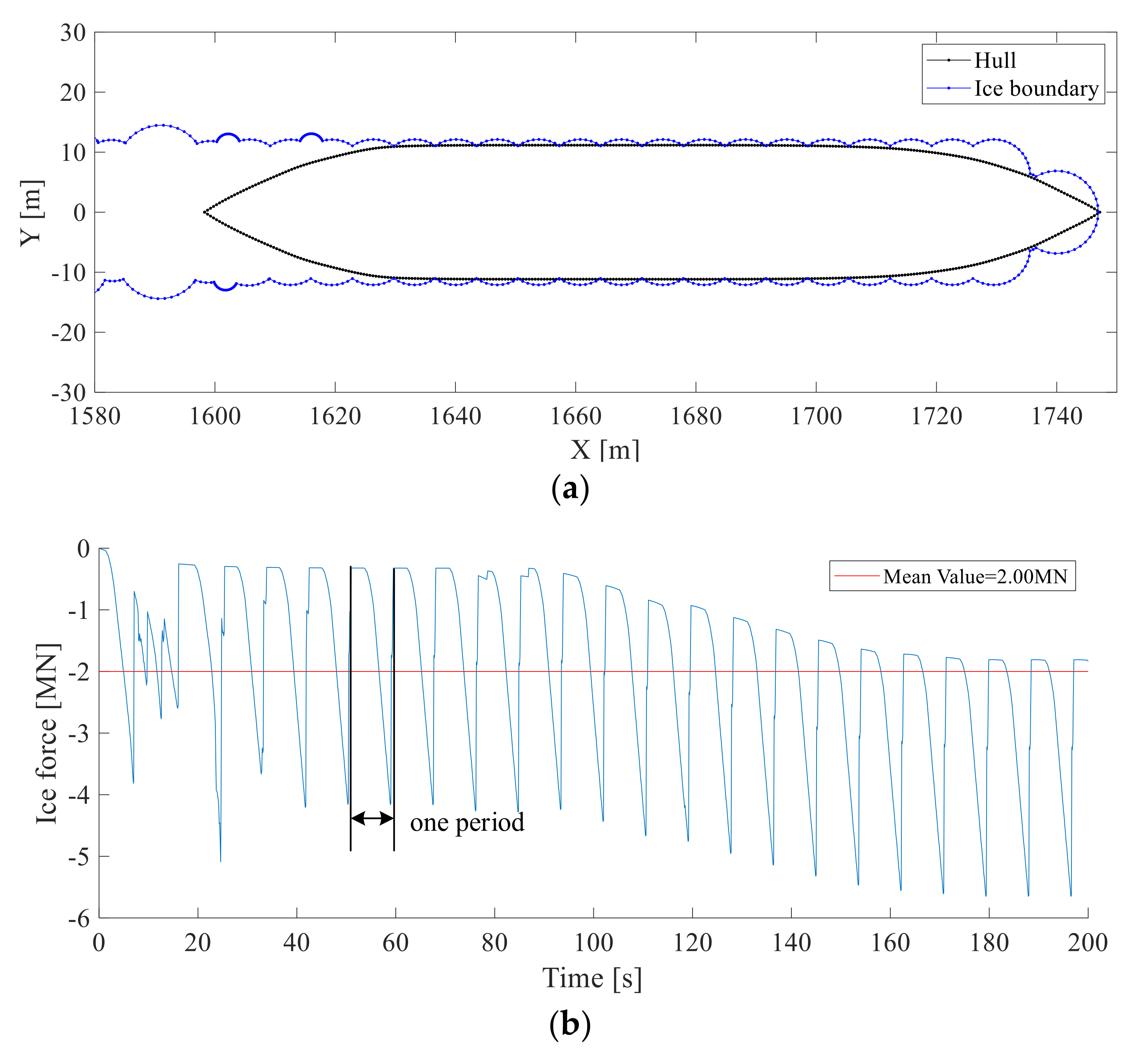
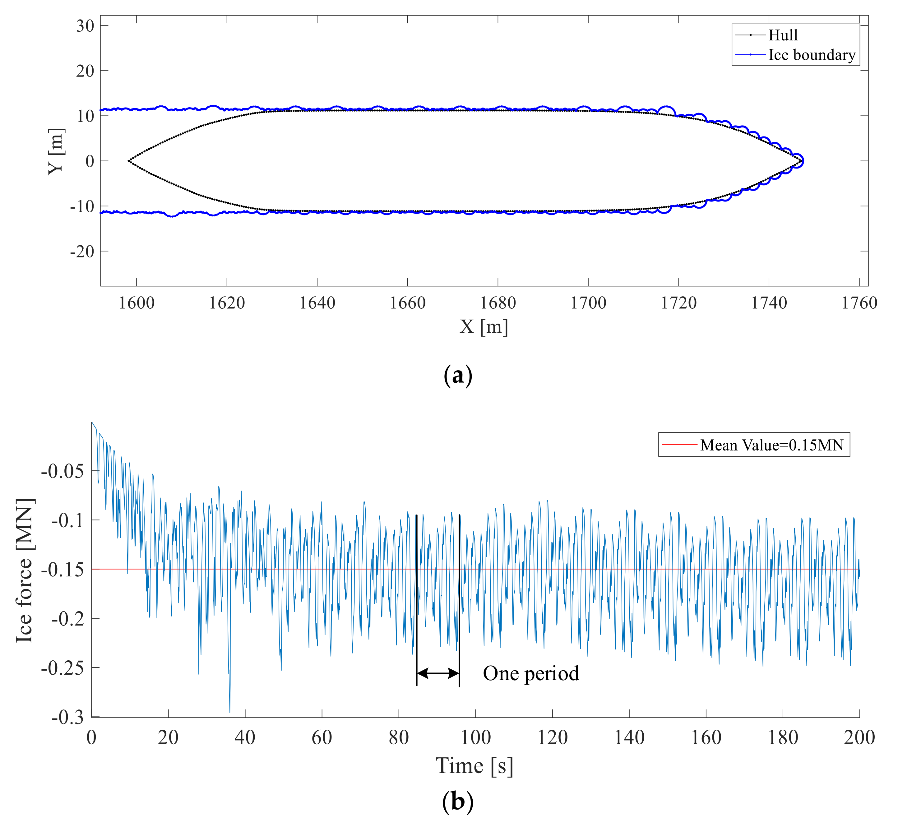
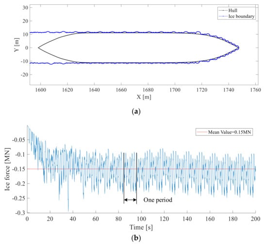
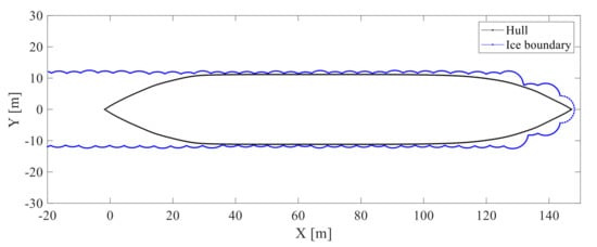
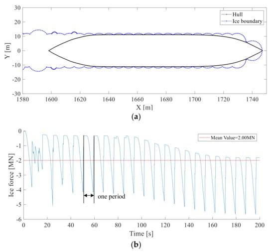
4. Analysis of Numerical Simulation Results
5. Comparison and Discussion
6. Conclusions
- (1)
- The change in ice thickness and flexural strength will affect ice resistance significantly, while effective modulus has the least effect on ice resistance among all the parameters;
- (2)
- Ice resistance obtained by pseudo-random numbers tends to be concentrated in the area of low resistance, around 0.4–0.8 MN. The probability decreases significantly when the resistance exceeds about 1.5 MN;
- (3)
- Ice-force amplitude is concentrated at 0–1 MN. Only 2.3% of ice-force amplitudes exceed 2 MN. The maximum ice-force amplitude is 8.845 MN. The results of ice amplitude could be a useful reference for ship design and structural analysis, and potential stress generated by sea ice could be predicted at an early stage;
- (4)
- The distribution of ice resistance follows the Burr distribution in the simulation. The probability density curve shows the same positively skewed bell shape with results obtained by the Monte Carlo method, a trend matched well with measurements of another ship.
Author Contributions
Funding
Data Availability Statement
Acknowledgments
Conflicts of Interest
References
- Lindqvist, G. A Straightforward Method for Calculation of Ice Resistance of Ships. In Proceedings of the International Conference on Port and Ocean Engineering under Arctic Conditions (POAC), Luleaa, Sweden, 12–16 June 1989; pp. 722–735. [Google Scholar]
- Riska, K.; Wilhelmson, M.; Englund, K.; Leiviskä, T. Performance of Merchant Vessels in the Baltic; Research Report No 52; Winter Navigation Research Board: Espoo, Finland, 1997. [Google Scholar]
- Su, B.; Riska, K.; Moan, T. A Numerical Method for the Prediction of Ship Performance in Level Ice. Cold Reg. Sci. Technol. 2010, 60, 177–188. [Google Scholar] [CrossRef]
- Lubbad, R.; Løset, S. A numerical model for real-time simulation of ship–ice interaction. Cold Reg. Sci. Technol. 2011, 65, 111–127. [Google Scholar] [CrossRef] [Green Version]
- Zhou, L.; Riska, K.; Moan, T.; Su, B. Numerical modelling of ice load on an icebreaking tanker: Comparing simulations with model tests. Cold Reg. Sci. Technol. 2013, 87, 33–46. [Google Scholar] [CrossRef] [Green Version]
- Zhou, L.; Gao, J.L.; Li, D.Q. An engineering method for simulating dynamic interaction of moored ship with first-year ice ridge. Ocean Eng. 2019, 171, 417–428. [Google Scholar] [CrossRef]
- Timco, G.W.; Weeks, W.F. A review of the engineering properties of sea ice. Cold Reg. Sci. Technol. 2010, 60, 107–129. [Google Scholar] [CrossRef]
- Sinsabvarodom, C.; Chai, W.; Leira, B.J.; Høyland, K.V.; Naess, A. Uncertainty assessments of structural loading due to first year ice based on the ISO standard by using Monte-Carlo simulation. Ocean Eng. 2020, 198, 106935. [Google Scholar] [CrossRef]
- Sodhi, D.S.; Chin, S.N. Indentation Tests Using Urea Ice and Segmented Indentors. In Proceedings of the 11th International Offshore Mechanics and Arctic Engineering Conference (OMAE), Calgary, AB, Canada, 7–12 June 1992; Volume 4, pp. 223–230. [Google Scholar]
- Takeuchi, T.; Enoki, K.; Okamoto, S.; Saeki, H. On the Characteristics of Uniaxial Compressive Strength and Elastic Modulus of Natural Sea Ice. In Proceedings of the 3rd International Offshore and Polar Engineering Conference, Singapore, 6–11 June 1993. [Google Scholar]
- Johnston, M.; Masterson, D.; Wright, B. Multi-year ice thickness: Knowns and unknowns. In Proceedings of the 20th International Conference on Port and Ocean Engineering under Arctic Conditions, Lulea, Sweden, 9–12 June 2009. [Google Scholar]
- Strub-Klein, L.; Høyland, K.V. Spatial and Temporal Distributions of Level Ice Properties: Experiments and Thermo-Mechanical Analysis. Cold Reg. Sci. Technol. 2012, 71, 11–22. [Google Scholar] [CrossRef]
- Strub-Klein, L. A statistical analysis of first-year level ice uniaxial compressive strength in the Svalbard area. J. Offshore Mech. Arct. Eng. 2017, 139, 011503. [Google Scholar] [CrossRef]
- Ni, B.Y.; Chen, Z.W.; Zhong, K.; Li, X.A.; Xue, Y.Z. Numerical Simulation of a Polar Ship Moving in Level Ice Based on a One-Way Coupling Method. J. Mar. Sci. Eng. 2020, 9, 692. [Google Scholar] [CrossRef]
- Wang, C.; Feng, Z.; Li, X.; Li, P. Analysis on ice resistance and ice response of ships sailing in brash ice. Chin. J. Ship Res. 2018, 13, 73–78. (In Chinese) [Google Scholar]
- Zong, Z.; Zhou, L. A numerical study of hydrodynamic influence in structure-broken ice interaction. In Proceedings of the 16th National Congress on Hydrodynamics and 32nd National Conference on Hydrodynamics, Wuxi, China, 30 October 2021; pp. 526–531. (In Chinese). [Google Scholar]
- Chai, W.; Leira, B.J.; Høyland, K.V.; Sinsabvarodom, C.; Yu, Z. Statistics of thickness and strength of first-year ice along the Northern Sea Route. J. Mar. Sci. Technol. 2021, 26, 331–343. [Google Scholar] [CrossRef]
- Kujala, P.; Suominen, M.; Riska, K. Statistics of Ice Loads Measured on MT Uikku in the Baltic. In Proceedings of the 20th International Conference on Port and Ocean Engineering under Arctic Conditions (POAC 09), Luleå, Sweden, 9–12 June 2009. [Google Scholar]
- Suominen, M.; Kujala, P. Analysis of Short-Term Ice Load Measurements on Board MS Kemira during Winters 1987 and 1988. Series AM. Report AALTO-AM-22; Aalto University, School of Science and Technology: Espoo, Finland, 2010. [Google Scholar]
- Suyuthi, A.; Leira, B.J.; Riska, K. Short term extreme statistics of ice loads on ship hulls. Cold Reg. Sci. Technol. 2012, 82, 130–143. [Google Scholar] [CrossRef]
- Suyuthi, A.; Leira, B.J.; Riska, K. Statistics of local peaks on ship hulls. Struct. Saf. 2012, 40, 1–10. [Google Scholar] [CrossRef]
- Kujala, P.; Vuorio, J. On the statistical nature of the ice-induced pressures measured on board I.B. In Proceedings of the POAC 1985, Narssarssuaq, Greenland, 8–13 September 1985; pp. 823–837. [Google Scholar]
- Suominen, M. Statistical Modeling of Ice Induced Loads on a Ship Hull in the Baltic Sea. Master’s Thesis, Aalto University, Espoo, Finland, 2011. [Google Scholar]
- Ji, S.Y.; Lei, R.B.; Li, C.H.; Cai, K. Measurement of ice-induced local vibration of R/V Xuelong icebreaker during its navigation in ice-covered fields. Chin. J. Polar Res. 2017, 29, 427–435. (In Chinese) [Google Scholar]
- Wang, Q.K.; Zong, Z.; Lu, P.; Zhang, G.Y.; Li, Z.J. Probabilistic estimation of level ice resistance on ships based on sea ice properties measured along summer arctic cruise paths. Cold Reg. Sci. Technol. 2021, 189, 103336. [Google Scholar] [CrossRef]
- Zhou, L.; Riska, K.; Ji, C. Simulating transverse icebreaking process considering both crushing and bending failures. Mar. Struct. 2017, 54, 167–187. [Google Scholar] [CrossRef]
- Zhou, L.; Diao, F.; Song, M.; Han, Y.; Ding, S.F. Calculation Methods of Icebreaking Capability for A Double Acting Polar Ship. J. Mar. Sci. Eng. 2020, 8, 179. [Google Scholar] [CrossRef] [Green Version]
- Nataf, A. Determination des distribution dont les marges sont donnees. C. R. Acad. Sci. 1962, 225, 42–43. (in French). [Google Scholar]
- Wang, S. A Dynamic Model for Breaking Pattern of Level Ice by Conical Structures; Department of Mechanical Engineering, Helsinki University of Technology: Helsinki, Finland, 2001. [Google Scholar]
- Kerr, A.D. The bearing capacity of floating ice plates subjected to static or quasi-static loads. J. Glaciol. 1976, 17, 229–268. [Google Scholar]
- Su, B.; Riska, K.; Moan, T. Numerical Simulation of Ship Turning in Level Ice. In Proceedings of the ASME 2010 29th International Conference on Ocean, Offshore and Arctic Engineering, Shanghai, China, 6–11 June 2010; pp. 751–758. [Google Scholar]
- ISO/FDIS 19906. Petroleum and Natural Gas Industries—Arctic Offshore Structures; International Standard Organisation: Geneva, Switzerland, 2019; pp. 199–200. [Google Scholar]
- Der Kiureghian, A.; Liu, P.L. Structural reliability under incomplete probability information. J. Eng. Mech. 1986, 112, 85–104. [Google Scholar] [CrossRef]
- Liu, P.L.; Der Kiureghian, A. Multivariate distribution models with prescribed marginals and covariances. Probab. Eng. Mech. 1986, 1, 105–112. [Google Scholar] [CrossRef]
- Matsuishi, M.; Endo, T. Fatigue of metals subjected to varying stress. Jpn. Soc. Mech. Eng. 1968, 68, 37–40. [Google Scholar]
















| Ice Parameters | Thickness | Density | Flexural Strength | Effective Modulus |
|---|---|---|---|---|
| Thickness | / | 0.2 | 0 | 0 |
| Density | / | −0.3 | −0.3 | |
| Flexural strength | / | 0.9 | ||
| Effective modulus | / |
| Correlation Coefficient | ||||
|---|---|---|---|---|
| / | 0.2072 | 0 | 0 | |
| / | −0.3173 | −0.3281 | ||
| / | 0.9794 | |||
| / |
| Parameter | Value |
|---|---|
| Length (m) | 147 |
| Breadth (m) | 23 |
| Draught (m) | 8 |
| Waterline entrance angle (°) | 20 |
| Stem angle (°) | 24 |
| Ice–hull kinetic friction coefficient | 0.0394 |
| Poisson ratio | 0.3 |
| Sea-water density (kg/m3) | 1025 |
| Ice Thickness (m) | Flexural Strength (kPa) | Crushing Strength (kPa) | Effective Modulus (GPa) | Ice Density(g/cm3) | |
|---|---|---|---|---|---|
| Initial case | 1 | 500 | 2300 | 5.4 | 0.88 |
| Changing interval | 0.1 | 50 | 200 | 0.4 | 0.02 |
| Case | Ice Thickness (m) | Flexural Strength (kPa) | Crushing Strength (kPa) | Effective Modulus (GPa) | Ice Density (g/cm3) | Ice Resistance (MN) |
|---|---|---|---|---|---|---|
| 001 | 1.12 | 257.78 | 546.48 | 1.18 | 0.88 | 0.62 |
| 002 | 1.63 | 341.37 | 723.71 | 1.73 | 0.79 | 2.00 |
| 003 | 0.27 | 327.97 | 695.30 | 1.45 | 0.73 | 0.15 |
| 004 | 1.23 | 247.16 | 523.97 | 1.18 | 0.77 | 0.85 |
| 005 | 1.04 | 236.55 | 501.48 | 0.97 | 0.87 | 1.22 |
Publisher’s Note: MDPI stays neutral with regard to jurisdictional claims in published maps and institutional affiliations. |
© 2022 by the authors. Licensee MDPI, Basel, Switzerland. This article is an open access article distributed under the terms and conditions of the Creative Commons Attribution (CC BY) license (https://creativecommons.org/licenses/by/4.0/).
Share and Cite
Zhou, L.; Gu, Y.; Ding, S.; Liu, R. Prediction of Ice-Resistance Distribution for R/V Xuelong Using Measured Sea-Ice Parameters. Water 2022, 14, 517. https://doi.org/10.3390/w14040517
Zhou L, Gu Y, Ding S, Liu R. Prediction of Ice-Resistance Distribution for R/V Xuelong Using Measured Sea-Ice Parameters. Water. 2022; 14(4):517. https://doi.org/10.3390/w14040517
Chicago/Turabian StyleZhou, Li, Yingjie Gu, Shifeng Ding, and Renwei Liu. 2022. "Prediction of Ice-Resistance Distribution for R/V Xuelong Using Measured Sea-Ice Parameters" Water 14, no. 4: 517. https://doi.org/10.3390/w14040517
APA StyleZhou, L., Gu, Y., Ding, S., & Liu, R. (2022). Prediction of Ice-Resistance Distribution for R/V Xuelong Using Measured Sea-Ice Parameters. Water, 14(4), 517. https://doi.org/10.3390/w14040517

