Spatial-Temporal Variations for Pollution Assessment of Heavy Metals in Hengshui Lake of China
Abstract
:1. Introduction
2. Materials and Methods
2.1. Study Area
2.2. Data Collection
2.3. Assessment Method
2.3.1. Contamination Indices of Heavy Metals
2.3.2. Enrichment Degree and Possible Contamination Sources Assessment of Heavy Metals
2.3.3. Ecological Risk Assessment of Heavy Metals
3. Results and Discussion
3.1. Change Characteristics of Heavy Metals Concentrations
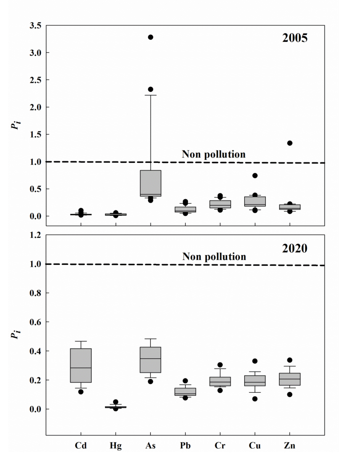
3.2. Changes in Contamination Degree of Heavy Metals
3.3. Enrichment Degree and Possible Contamination Sources of Heavy Metals
3.4. Hierarchical Cluster Analysis
3.5. Correlation Analysis
3.6. Redundancy Analysis
3.7. Ecological Risk of Heavy Metals
3.8. Implications
3.9. Limitations and Uncertainty
4. Conclusions
Supplementary Materials
Author Contributions
Funding
Institutional Review Board Statement
Informed Consent Statement
Data Availability Statement
Acknowledgments
Conflicts of Interest
References
- Tang, W.Z.; Shan, B.Q.; Zhang, H.; Zhang, W.Q.; Zhao, Y.; Ding, Y.K.; Rong, N.; Zhu, X. L Heavy metal contamination in the surface sediments of representative limnetic ecosystems in eastern China. Sci. Rep. 2014, 4, 7152. [Google Scholar] [CrossRef] [PubMed] [Green Version]
- Yang, S.Y.; He, M.J.; Zhi, Y.Y.; Chang, S.X.; Gu, B.J.; Liu, X.M.; Xu, J.M. An integrated analysis on source-exposure risk of heavy metals in agricultural soils near intense electronic waste recycling activities. Environ. Int. 2019, 133, 105239. [Google Scholar] [CrossRef] [PubMed]
- Ma, J.F.; Chen, Y.P.; Antoniadis, V.; Wang, K.B.; Huang, Y.Z.; Tian, H.W. Assessment of heavy metal (loid)s contamination risk and grain nutritional quality in organic waste-amended soil. J. Hazard. Mater. 2020, 399, 123095. [Google Scholar] [CrossRef] [PubMed]
- Hsu, L.C.; Huang, C.Y.; Chuang, Y.H.; Chen, H.W.; Chan, Y.T.; Teah, H.Y.; Chen, T.Y.; Chang, C.F.; Liu, Y.T.; Tzou, Y.M. Accumulation of heavy metals and trace elements in fluvial sediments received effluents from traditional and semiconductor industries. Sci. Rep. 2016, 6, 34250. [Google Scholar] [CrossRef]
- Liu, W.W.; Li, M.J.; Zhang, M.Y.; Wang, D.A.; Guo, Z.L.; Long, S.Y.; Yang, S.; Wang, H.N.; Li, W.; Hu, Y.K.; et al. Estimating leaf mercury content in Phragmites australis based on leaf hyperspectral reflectance. Ecosyst. Health Sustain. 2020, 6, 1726211. [Google Scholar] [CrossRef] [Green Version]
- Liu, W.W.; Li, M.J.; Zhang, M.Y.; Long, S.Y.; Guo, Z.L.; Wang, H.N.; Li, W.; Wang, D.A.; Hu, Y.K.; Wei, Y.Y.; et al. Hyperspectral inversion of mercury in reed leaves under different levels of soil mercury contamination. Environ. Sci. Pollut. Res. 2020, 27, 22935–22945. [Google Scholar] [CrossRef]
- Liu, W.W.; Guo, Z.L.; Jiang, B.; Lu, F.; Wang, H.N.; Wang, D.A.; Zhang, M.Y.; Cui, L.J. Improving wetland ecosystem health in China. Ecol. Indic. 2020, 113, 106184. [Google Scholar] [CrossRef]
- Liang, J.; Feng, C.T.; Zeng, G.M.; Gao, X.; Zhong, M.Z.; Li, X.D.; Li, X.; He, X.Y.; Fang, Y.L. Spatial distribution and source identification of heavy metals in surface soils in a typical coal mine city, Lianyuan, China. Environ. Pollut. 2017, 225, 681–690. [Google Scholar] [CrossRef]
- Türker, O.C.; Vymazal, J. Heavy Metals in Wetlands in Turkey. In Southern Iraq’s Marshes; Jawad, L.A., Ed.; Springer: Cham, Switzerland, 2021; pp. 527–549. [Google Scholar]
- Laha, F.; Gashi, F.; Frančišković-Bilinski, S.; Bilinski, H.; Çadraku, H. Geospatial distribution of heavy metals in sediments of water sources in the Drini i Bardhë river basin (Kosovo) using XRF technique. Sustain. Water Resour. Manag. 2022, 8, 31. [Google Scholar] [CrossRef]
- Al-Mutairi, K.A.; Yap, C.K. A review of heavy metals in coastal surface sediments from the red sea: Health-ecological risk assessments. Int. J. Environ. Res. Public Health 2021, 18, 2798. [Google Scholar] [CrossRef]
- Zhang, M.Y.; Cui, L.J.; Sheng, L.X.; Wang, L.F. Distribution and enrichment of heavy metals among sediments, water body and plants in Hengshuihu Wetland of Northern China. Ecol. Eng. 2009, 35, 563–569. [Google Scholar] [CrossRef]
- Liu, L.; Zhang, J.W.; Chen, F.F.; Sheng, S.; Tian, Z.Q.; Wang, J. Pollution characteristics and ecological risk assessment of heavy metals in the sediment of Hengshui Lake. J. Environ. Eng. Technol. 2020, 10, 205–211. (In Chinese) [Google Scholar]
- Wang, H.N.; Zhang, M.Y.; Guo, Z.L.; Wang, D.A.; Liu, W.W. Distribution of contents of 7 kinds of heavy metal elements in the sediments of Hengshui Lake and their ecological risk assessment. Wetland Sci. 2020, 18, 191–199. (In Chinese) [Google Scholar]
- Wang, N.S.; Zhang, M.Y.; Cui, L.J.; Ma, M.Y.; Yan, L.; Mu, Y.L.; Qin, P. Contamination and ecological risk assessment of mercury in Hengshuihu wetland, Hebei province. Environ. Sci. 2016, 37, 1754–1762. (In Chinese) [Google Scholar]
- Liu, W.W.; Guo, Z.L.; Wang, D.A.; Zhang, M.Y.; Zhang, Y.G. Spatial-temporal variation of water environment quality and pollution source analysis in the Hengshui Lake. Environ. Sci. 2021, 42, 1361–1371. (In Chinese) [Google Scholar]
- Wang, L.; Wang, W.D.; Liu, D.; Li, G.; Yu, H.M.; Huang, S.; Xu, Y.Y. Risk assessment and source analysis of heavy metals in the river of a typical Bay watershed. Environ. Sci. 2020, 41, 3194–3203. (In Chinese) [Google Scholar]
- Ministry of Ecology and Environment of the People’s Republic of China (MEEPRC). Soil Environmental Quality-Risk Control Standard for Soil Contamination of Agricultural Land (GB 15618-2018); China Standards Publishing House: Beijing, China, 2018.
- Adeyemi, M.; Olusola, J.; Akpobasah, O.; Adidi, N.; Shelle, R. Assessment of heavy metals pollution in sediments from Ologe Lagoon, Agbara, Lagos, Nigeria. J. Geosci. Environ. Prot. 2019, 7, 61–73. [Google Scholar]
- Hakanson, L. An ecological risk index for aquatic pollution control-A sedimentological approach. Water Res. 1980, 14, 975–1001. [Google Scholar] [CrossRef]
- Nkinda, M.S.; Rwiza, M.J.; Ijumba, J.N.; Njau, K.N. Heavy metals risk assessment of water and sediments collected from selected river tributaries of the Mara River in Tanzania. Discov. Water 2021, 1, 3. [Google Scholar] [CrossRef]
- Acharjee, A.; Ahmed, Z.; Kumar, P.; Alam, R.; Rahman, M.S.; Simal-Gandara, J. Assessment of the ecological risk from heavy metals in the surface sediment of River Surma, Bangladesh: Coupled approach of Monte Carlo simulation and multi-component statistical analysis. Water 2022, 14, 180. [Google Scholar] [CrossRef]
- China National Environmental Monitoring Centre (CNEMC). Background Values of Soil Elements in China; China Environmental Science Press: Beijing, China, 1990. [Google Scholar]
- Fan, X.Y.; Lu, X.W.; Liu, H.M.; Qing, Q. Pollution and source analysis of heavy metal in surface dust from Xi’an university campuses. Environ. Sci. 2020, 41, 3556–3562. [Google Scholar]
- Liu, Z.J. The Analysis and Integrated Protection Countermeasure of Water Environment of Hengshui Lake Wetland. Master’s Thesis, China Agriculture University, Beijing, China, 2004. [Google Scholar]
- Rural Socio-economic Survey Division, National Bureau of Statistics (RSSDNBS). China Statistical Yearbook (Township); China Statistics Press: Beijing, China, 2019. [Google Scholar]










| 2005 | 2020 | ||
|---|---|---|---|
| Sampling points | Location | Sampling points | Location |
| B1 | Dazhao sluice-1 | A1 | Meihua island |
| B2 | Dazhao sluice-2 | A2 | New island |
| B3 | Dazhao sluice-3 | A3 | Eastern Big Lake |
| B4 | Meihua island-1 | A4 | Open area of Big Lake-1 |
| B5 | Meihua island-2 | A5 | Open area of Big Lake-2 |
| B6 | Eastern Big Lake-1 | A6 | Open area of Big Lake-3 |
| B7 | Eastern Big Lake-2 | A7 | Open area of Big Lake-4 |
| B8 | New island | A8 | Weitun sluice |
| B9 | Bird watching island | A9 | Open area of Jizhou Small Lake-1 |
| B10 | Open area of Big Lake-1 | A10 | Open area of Jizhou Small Lake-2 |
| B11 | Open area of Big Lake-2 | A11 | Open area of Jizhou Small Lake-3 |
| B12 | Open area of Big Lake-3 | A12 | Eastern Jizhou Small Lake |
| B13 | Open area of Big Lake-4 | A13 | Jizhou Small Lake causeway-1 |
| B14 | Wangkou sluice-1 | A14 | Jizhou Small Lake causeway-2 |
| B15 | Wangkou sluice-2 | A15 | Western Big Lake-1 |
| B16 | Weitun sluice-1 | A16 | Western Big Lake-2 |
| B17 | Weitun sluice-2 | A17 | Western Big Lake-3 |
| B18 | Weitun sluice-3 | A18 | Northern Big Lake |
| B19 | Nanguan sluice-1 | ||
| B20 | Nanguan sluice-2 | ||
| Time | Item | Cd mg kg−1 | Hg mg kg−1 | As mg kg−1 | Pb mg kg−1 | Cr mg kg−1 | Cu mg kg−1 | Zn mg kg−1 |
|---|---|---|---|---|---|---|---|---|
| 2005 | Maximum | 0.06 | 0.20 | 82.03 | 44.95 | 93.13 | 74.03 | 401.20 |
| Minimum | 0.01 | 0.03 | 7.14 | 7.80 | 27.02 | 10.12 | 25.01 | |
| Average | 0.02 | 0.08 | 18.58 | 20.43 | 54.87 | 26.14 | 62.37 | |
| Standard deviation | 0.01 | 0.06 | 19.07 | 10.97 | 20.60 | 14.26 | 80.86 | |
| Variation coefficient | 0.61 | 0.66 | 1.03 | 0.54 | 0.38 | 0.55 | 1.30 | |
| 2020 | Maximum | 0.28 | 0.17 | 12.10 | 33.00 | 76.00 | 33.00 | 101.00 |
| Minimum | 0.07 | 0.01 | 4.73 | 13.00 | 32.00 | 7.00 | 30.00 | |
| Average | 0.18 | 0.05 | 8.49 | 19.94 | 49.17 | 18.83 | 63.22 | |
| Standard deviation | 0.07 | 0.04 | 2.26 | 5.43 | 11.51 | 5.70 | 17.50 | |
| Variation coefficient | 0.39 | 0.74 | 0.27 | 0.27 | 0.23 | 0.30 | 0.28 | |
| Background Value of Hebei * | 0.09 | 0.04 | 13.60 | 21.50 | 68.30 | 21.80 | 78.40 | |
| 2005~2020 | Change % | 860.0 | −41.5 | −54.3 | −2.4 | −10.4 | −27.9 | 1.4 |
| Cd | Hg | As | Pb | Cr | Cu | Zn | |
|---|---|---|---|---|---|---|---|
| Cd | 1.000 | 0.603 ** | 0.711 ** | 0.596 ** | 0.609 ** | 0.753 ** | 0.748 ** |
| Hg | 0.026 | 1.000 | 0.697 ** | 0.327 | 0.260 | 0.343 | 0.427 |
| As | −0.031 | 0.251 | 1.000 | 0.423 | 0.565 ** | 0.669 ** | 0.610 ** |
| Pb | 0.002 | 0.846 ** | 0.467 * | 1.000 | 0.690 ** | 0.695 ** | 0.849 ** |
| Cr | −0.037 | 0.861 ** | 0.269 | 0.822 ** | 1.000 | 0.899 ** | 0.697 ** |
| Cu | −0.097 | 0.369 | 0.058 | 0.428 | 0.325 | 1.000 | 0.728 ** |
| Zn | 0.067 | 0.303 | 0.764 ** | 0.629 ** | 0.304 | 0.163 | 1.000 |
Publisher’s Note: MDPI stays neutral with regard to jurisdictional claims in published maps and institutional affiliations. |
© 2022 by the authors. Licensee MDPI, Basel, Switzerland. This article is an open access article distributed under the terms and conditions of the Creative Commons Attribution (CC BY) license (https://creativecommons.org/licenses/by/4.0/).
Share and Cite
Liu, W.; Guo, Z.; Wang, H.; Wang, D.; Zhang, M. Spatial-Temporal Variations for Pollution Assessment of Heavy Metals in Hengshui Lake of China. Water 2022, 14, 458. https://doi.org/10.3390/w14030458
Liu W, Guo Z, Wang H, Wang D, Zhang M. Spatial-Temporal Variations for Pollution Assessment of Heavy Metals in Hengshui Lake of China. Water. 2022; 14(3):458. https://doi.org/10.3390/w14030458
Chicago/Turabian StyleLiu, Weiwei, Ziliang Guo, Henian Wang, Daan Wang, and Manyin Zhang. 2022. "Spatial-Temporal Variations for Pollution Assessment of Heavy Metals in Hengshui Lake of China" Water 14, no. 3: 458. https://doi.org/10.3390/w14030458
APA StyleLiu, W., Guo, Z., Wang, H., Wang, D., & Zhang, M. (2022). Spatial-Temporal Variations for Pollution Assessment of Heavy Metals in Hengshui Lake of China. Water, 14(3), 458. https://doi.org/10.3390/w14030458

