Disinfection of Outdoor Livestock Water Troughs: Effect of TiO2-Based Coatings and UV-A LED
Abstract
1. Introduction
2. Materials and Methods
2.1. Photocatalytic Reactor, Material Samples and Pre-Treatments
2.2. Stage I. Synthesis and Photocatalytic Evaluation of TiO2-Based Composites
2.2.1. Synthesis
2.2.2. Photocatalytic Evaluation
2.3. Stage II. Immobilization Methods on Study Support Materials
2.4. Stage III. Photocatalytic Experiments for Water Disinfection
2.4.1. Pre-Disinfection Test
2.4.2. Disinfection Test
2.4.3. Determination of the Inactivation Level
2.5. Statistical Analyses
2.6. Identification of TiO2 Composite Immobilization and Adhesion Test
3. Results and Discussion
3.1. Stage I. Photocatalytic Evaluation of TiO2-Based Composites
3.2. Stage II. Effect of Immobilization Methods on Study Support Materials
3.3. Stage III. Water Disinfection
3.3.1. Pre-Disinfection Test
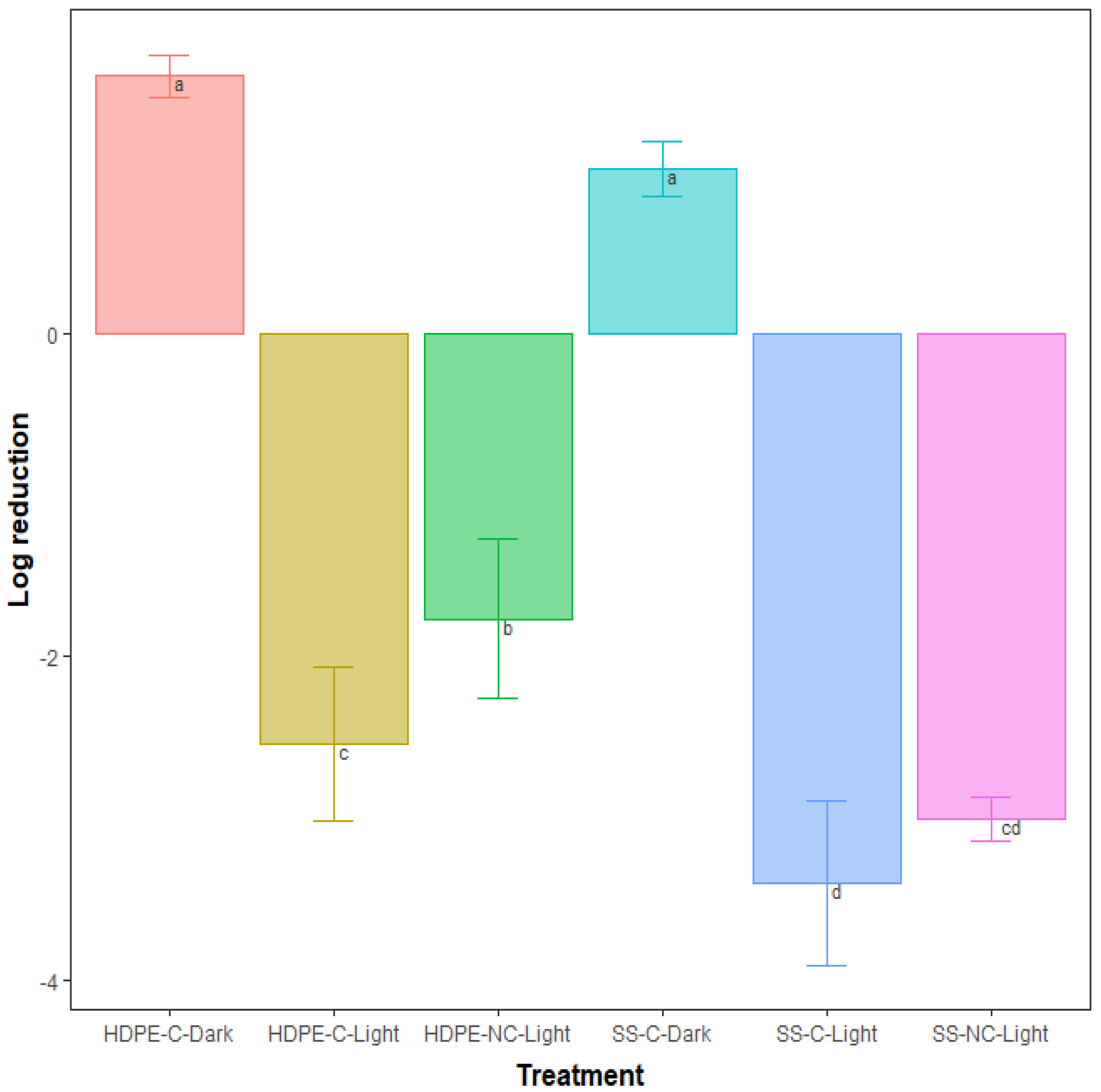
3.3.2. Effect of Materials, Coatings and UV-A LED Light
Light Effect
Materials
3.3.3. Effect of Bacteria Concentration
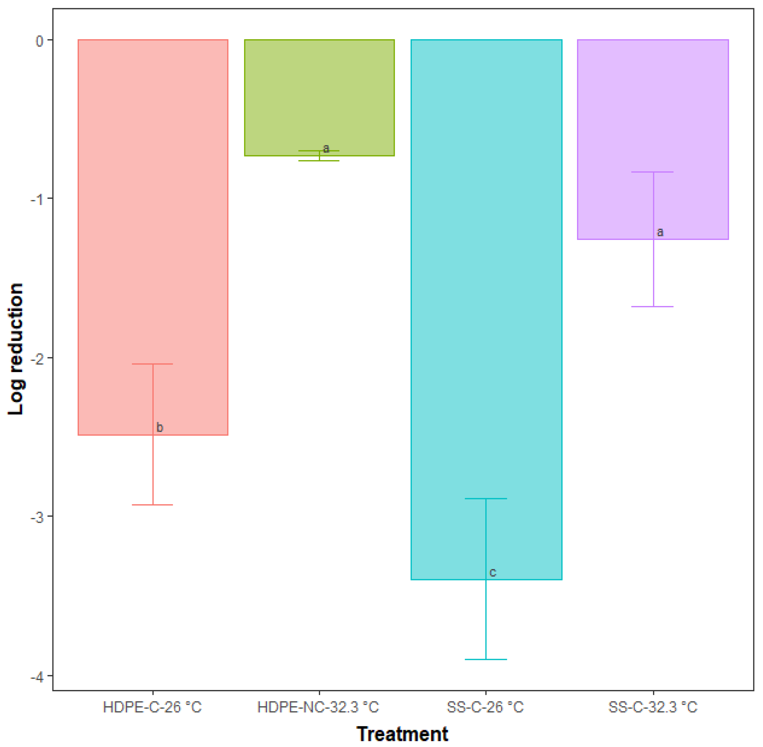
3.3.4. Effect of Temperature
3.4. Identification of TiO2 Composite Immobilization and the Adhesion Test
4. Conclusions
Author Contributions
Funding
Data Availability Statement
Conflicts of Interest
References
- Olkowski, A.A. Livestock Water Quality A Field Guide for Cattle, Horses, Poultry and Swine; University of Saskatchewan: Saskatchewan, Canada, 2009. [Google Scholar]
- Beauvais, W.; Gart, E.V.; Bean, M.; Blanco, A.; Wilsey, J.; McWhinney, K.; Bryan, L.K.; Krath, M.; Yang, C.-Y.; Alvarez, D.M.; et al. The prevalence of Escherichia coli O157:H7 fecal shedding in feedlot pens is affected by the water-to-cattle ratio: A randomized controlled trial. PLoS ONE 2018, 13, e0192149. [Google Scholar] [CrossRef] [PubMed]
- Chayer, M. Étude de la Qualité de L’eau de Source et D’abreuvement Dans les Élevages Vache-Veau en Fonction des Propiétés Physicochimiques et Bactériologiques. Master’s Thesis, Université Laval, Quebec, QC, Canada, 2021. [Google Scholar]
- Davis, R.; Watts, P. Water trough Design and Sewer Systems. Feedlot Design and Construction; Meat & Livestock: North Sydney, Australia, 2013. [Google Scholar]
- Li, X.; Watanabe, N.; Xiao, C.; Harter, T.; McCowan, B.; Liu, Y.; Atwill, E.R. Antibiotic-resistant, E. coli in surface water and groundwater in dairy operations in Northern California. Environ. Monit Assess 2014, 186, 1253–1260. [Google Scholar] [CrossRef]
- Chen, C.-Y.; Wu, L.-C.; Chen, H.-Y.; Chung, Y.-C. Inactivation of Staphylococcus aureus and Escherichia coli in Water Using Photocatalysis with Fixed TiO2. Water Air Soil Pollut. 2010, 212, 231–238. [Google Scholar] [CrossRef]
- Huo, Z.Y.; Du, Y.; Chen, Z.; Wu, Y.H.; Hu, H.Y. Evaluation and prospects of nanomaterial-enabled innovative processes and devices for water disinfection: A state-of-the-art review. Water Res. 2020, 173, 115–581. [Google Scholar] [CrossRef]
- Upadhyay, P.; Chakma, S. Photocatalytic Water Disinfection. Appl. Water Sci. 2021, 2, 381–404. [Google Scholar]
- Islam, T.; Dominguez, A.; Turley, R.S.; Kim, H.; Sultana, K.A.; Shuvo, M.; Alvarado-Tenorio, B.; Montes, M.O.; Lin, Y.; Gardea-Torresdey, J.; et al. Development of photocatalytic paint based on TiO2 and photopolymer resin for the degradation of organic pollutants in water. Sci. Total Environ. 2020, 704, 135406. [Google Scholar] [CrossRef] [PubMed]
- Chen, Y.-D.; Duan, X.; Zhou, X.; Wang, R.; Wang, S.; Ren, N.-Q.; Ho, S.-H. Advanced oxidation processes for water disinfection: Features, mechanisms and prospects. Chem. Eng. J. 2021, 409, 128207. [Google Scholar] [CrossRef]
- Hodges, B.C.; Cates, E.L.; Kim, J.H. Challenges and prospects of advanced oxidation water treatment processes using catalytic nanomaterials. Nat. Nanotechnol. 2018, 13, 642–650. [Google Scholar] [CrossRef]
- Dutta, V.; Singh, P.; Shandilya, P.; Sharma, S.; Raizada, P.; Saini, A.K.; Gupta, V.K.; Hosseini-Bandegharaei, A.; Agarwal, S.; Rahmani-Sanie, A. Review on advances in photocatalytic water disinfection utilizing graphene and graphene derivatives-based nanocomposites. J. Environ. Chem. Eng. 2019, 7, 103132. [Google Scholar] [CrossRef]
- Rao Miditana, S.; Rao Tirukkovalluri, S.; Manga Raju, I.; Bangaru Babu, A.; Ramesh Babu, A. Review on the synthesis of doped TiO2 nanomaterials by Sol-gel method and description of experimental techniques. J. Water Environ. Nanotechnol. 2022, 7, 218–229. [Google Scholar]
- Prasad, S.; Kumar, V.; Kirubanandam, S.; Barhoum, A. Engineered nanomaterials: Nanofabrication and surface functionalization. Emerg. Appl. Nanopart. Archit. Nanostruct. 2018, 305–340. [Google Scholar]
- Liu, N.; Zhu, Q.; Zhang, N.; Zhang, C.; Kawazoe, N.; Chen, G.; Negishi, N.; Yang, Y. Superior disinfection effect of Escherichia coli by hydrothermal synthesized TiO2-based composite photocatalyst under LED irradiation: Influence of environmental factors and disinfection mechanism. Environ. Pollut. 2019, 247, 847–856. [Google Scholar] [CrossRef] [PubMed]
- Liu, N.; Ming, J.; Sharma, A.; Sun, X.; Kawazoe, N.; Chen, G.; Yang, Y. Sustainable photocatalytic disinfection of four representative pathogenic bacteria isolated from real water environment by immobilized TiO2-based composite and its mechanism. Chem. Eng. J. 2021, 426, 131217. [Google Scholar] [CrossRef]
- Darbandi, M.; Shaabani, B.; Schneider, J.; Bahnemann, D.; Gholami, P.; Khataee, A.; Yardani, P.; Hosseini, M.G. TiO2 nanoparticles with superior hydrogen evolution and pollutant degradation performance. Int. J. Hydrog. Energy 2019, 44, 24162–24173. [Google Scholar] [CrossRef]
- Khan, S.; Sadiq, M.; Kim, D.-S.; Ullah, M.; Muhammad, N. TiO2 and its binary ZnTiO2 and ternary CdZnTiO2 nanocomposites as efficient photocatalysts for the organic dyes degradation. Appl. Water Sci. 2022, 12, 118. [Google Scholar] [CrossRef]
- Wang, W.; Ye, M.; He, L.; Yin, Y. Nanocrystalline TiO2-catalyzed photoreversible color switching. Nano Lett. 2014, 14, 1681–1686. [Google Scholar] [CrossRef]
- Carré, G.; Hamon, E.; Ennahar, S.; Estner, M.; Lett, M.-C.; Horvatovich, P.; Gies, J.-P.; Keller, V.; Keller, N.; Andre, P. TiO2 photocatalysis damages lipids and proteins in Escherichia coli. Appl. Environ. Microbiol. 2014, 80, 2573–2581. [Google Scholar] [CrossRef]
- Hou, C.; Hu, B.; Zhu, J. Photocatalytic Degradation of Methylene Blue over TiO2 Pretreated with Varying Concentrations of NaOH. Catalysts 2018, 8, 575. [Google Scholar] [CrossRef]
- Foster, H.A.; Ditta, I.B.; Varghese, S.; Steele, A. Photocatalytic disinfection using titanium dioxide: Spectrum and mechanism of antimicrobial activity. Appl. Microbiol. Biotechnol. 2011, 90, 1847–1868. [Google Scholar] [CrossRef] [PubMed]
- Bogdan, J.; Jackowska-Tracz, A.; Zarzynska, J.; Plawinska-Czarnak, J. Chances and limitations of nanosized titanium dioxide practical application in view of its physicochemical properties. Nanoscale Res. Lett. 2015, 10, 57. [Google Scholar] [CrossRef]
- Islam, M.R.; Parimalam, M.; Sumdani, M.G.; Taher, M.A.; Asyadi, F.; Yenn, T.W. Rheological and antimicrobial properties of epoxy-based hybrid nanocoatings. Polym. Test. 2020, 81, 106202. [Google Scholar] [CrossRef]
- Bertani, R.; Bartolozzi, A.; Pontefisso, A.; Quaresimin, M.; Zappalorto, M. Improving the Antimicrobial and Mechanical Properties of Epoxy Resins via Nanomodification: An Overview. Molecules 2021, 26, 5426. [Google Scholar] [CrossRef] [PubMed]
- Budiprasojo, A.; Budiprasojo, F. Bactericidal Activity of Resin-Titanium Dioxide and Ultraviolet in Killing Escherichia Coli Bacteria. J. Penerapan Teknol. Dan Pembelajaran 2021, 19, 37–45. [Google Scholar]
- Yu, B.; Leung, K.M.; Guo, Q.; Lau, W.M.; Yang, J. Synthesis of Ag-TiO2 composite nano thin film for antimicrobial application. Nanotechnology 2011, 22, 115603. [Google Scholar] [CrossRef] [PubMed]
- Inrs. Réactions Chimiques Dangereuses, Une Nouvelle Base de Données. 2021. Available online: https://www.inrs.fr/actualites/reactions-chimiques-dangereuses-nouvelle-base-donnees.html (accessed on 29 September 2022).
- Eskandarian, M.R.; Fazli, M.; Rasoulifard, M.H.; Choi, H. Decomposition of organic chemicals by zeolite-TiO2 nanocomposite supported onto low density polyethylene film under UV-LED powered by solar radiation. Appl. Catal. B Environ. 2016, 183, 407–416. [Google Scholar] [CrossRef]
- Geltmeyer, J.; Teixido, H.; Meire, M.; Van Acker, T.; Deventer, K.; Vanhaecke, F.; Van Hulle, S.; De Buysser, K.; De Clerck, K. TiO2 functionalized nanofibrous membranes for removal of organic (micro)pollutants from water. Sep. Purif. Technol. 2017, 179, 533–541. [Google Scholar] [CrossRef]
- Al-Ghafri, B.; Lau, W.-J.; Al-Abri, M.; Goh, P.-S.; Ismail, A.F. Titanium dioxide-modified polyetherimide nanofiber membrane for water treatment. J. Water Process Eng. 2019, 32, 100970. [Google Scholar] [CrossRef]
- Dariani, R.S.; Esmaeili, A.; Mortezaali, A.; Dehghanpour, S. Photocatalytic reaction and degradation of methylene blue on TiO2 nano-sized particles. Optik 2016, 127, 7143–7154. [Google Scholar] [CrossRef]
- Montallana, A.D.S.; Vasquez, M.R. Fabrication of PVA/Ag-TiO2 nanofiber mats for visible-light-active photocatalysis. Results Phys. 2021, 25, 104205. [Google Scholar] [CrossRef]
- Basumatary, B.; Basumatary, R.; Ramchiary, A.; Konwar, D. Evaluation of Ag@TiO2/WO3 heterojunction photocatalyst for enhanced photocatalytic activity towards methylene blue degradation. Chemosphere 2022, 286 Pt 2, 131848. [Google Scholar] [CrossRef]
- İzlen Çifçi, D. Decolorization of methylene blue and methyl orange with ag doped tio2 under UV-a and UV-visible condi-tions: Process optimization by response surface method and toxicity evaluation. Glob. NEST J. 2016, 18, 371–380. [Google Scholar]
- Lee, D.-S.; Chen, Y.-W. Nano Ag/TiO2 catalyst prepared by chemical deposition and its photocatalytic activity. J. Taiwan Instig. Chem. Eng. 2014, 45, 705–712. [Google Scholar] [CrossRef]
- Chowdhury, I.H.; Ghosh, S.; Naskar, M.K. Aqueous-based synthesis of mesoporous TiO2 and Ag–TiO2 nanopowders for efficient photodegradation of methylene blue. Ceram. Int. 2016, 42, 2488–2496. [Google Scholar] [CrossRef]
- Xu, C.; Rangaiah, G.P.; Zhao, X.S. Photocatalytic Degradation of Methylene Blue by Titanium Dioxide: Experimental and Modeling Study. Ind. Eng. Chem. Res. 2014, 53, 14641–14649. [Google Scholar] [CrossRef]
- Wahab, M.A.; Li, L.; Li, H.; Abdala, A. SSilver nanoparticle-based nanocomposites for combating infectious pathogens: Recent advances and future prospects. Nanomaterials 2021, 11, 581. [Google Scholar] [CrossRef] [PubMed]
- Kasanen, J.; Salstela, J.; Suvanto, M.; Pakkanen, T.T. Photocatalytic degradation of methylene blue in water solution by multilayer TiO2 coating on HDPE. Appl. Surf. Sci. 2011, 258, 1738–1743. [Google Scholar] [CrossRef]
- Yuan, R.; Zheng, J.; Guan, R.; Zhao, Y. Surface characteristics and photocatalytic activity of TiO2 loaded on activated carbon fibers. Colloids Surf. A Physicochem. Eng. Asp. 2005, 254, 131–136. [Google Scholar] [CrossRef]
- Hussin, M.H.A.; Abdullah, W.R.W.; Awang, M.; Mansor, W.S. Synthesis and characterization of TiO2/ZnO-epoxy beads and their performance for the degradation of dye. Univ. Malays. Teren. J. Undergrad. Res. 2020, 2, 9–14. [Google Scholar] [CrossRef]
- Shi, X.; Zhang, X.; Ma, L.; Xiang, C.; Li, L. TiO2-Doped Chitosan Microspheres Supported on Cellulose Acetate Fibers for Adsorption and Photocatalytic Degradation of Methyl Orange. Polymers 2019, 11, 1293. [Google Scholar] [CrossRef]
- Evans, A.; Slate, A.J.; Akhidime, I.D.; Verran, J.; Kelly, P.J.; Whitehead, K.A. The Removal of Meat Exudate and Escherichia coli from Stainless Steel and Titanium Surfaces with Irregular and Regular Linear Topographies. Int. J. Environ. Res. Public Health 2021, 18, 3198. [Google Scholar] [CrossRef] [PubMed]
- Liu, H.; Li, D.; Yang, X.; Li, H. Fabrication and characterization of Ag3PO4/TiO2 heterostructure with improved visible-light photocatalytic activity for the degradation of methyl orange and sterilization of E. coli. Mater. Technol. 2018, 34, 192–203. [Google Scholar] [CrossRef]
- Xie, J.; Hung, Y.-C. Effect of TiO2 Loading, Water Depth and Light Intensity on Photo-Disinfection Efficacy of Escherichia Coli O157:H7 Using TiO2 NP-Embedded Cellulose Acetate Film in Water. Appl. Eng. Agric. 2021, 37, 1–9. [Google Scholar] [CrossRef]
- Sunada, K.; Watanabe, T.; Hashimoto, K. Studies on photokilling of bacteria on TiO2 thin film. J. Photochem. Photobiol. A Chem. 2003, 156, 227–233. [Google Scholar] [CrossRef]
- Liu, Y.; Zeng, X.; Hu, X.; Hu, J.; Wang, Z.; Yin, Y.; Sun, C.; Zhang, X. Two-dimensional g-C3N4/TiO2 nanocomposites as vertical Z-scheme heterojunction for improved photocatalytic water disinfection. Catal. Today 2019, 335, 243–251. [Google Scholar] [CrossRef]
- Bosshard, F.; Riedel, K.; Schneider, T.; Geiser, C.; Bucheli, M.; Egli, T. Protein oxidation and aggregation in UVA-irradiated Escherichia coli cells as signs of accelerated cellular senescence. Environ. Microbiol. 2010, 12, 2931–2945. [Google Scholar] [CrossRef]
- LeJeune, J.T.; Besser, T.E.; Hancock, D.D. Cattle water troughs as reservoirs of Escherichia coli O157. Appl. Environ. Microbiol. 2001, 67, 3053–3057. [Google Scholar] [CrossRef]
- Lim, Y.J.; Yoon, J.W.; Hovde, C.J. A Brief Overview of Escherichia coli O157:H7 and Its Plasmid O157. J. Microbiol. Biotechnol. 2010, 20, 5–14. [Google Scholar] [CrossRef]
- De Vietro, N.; Tursi, A.; Beneduci, A.; Chidichimo, F.; Milella, A.; Fracassi, F.; Chatzisymeon, E.; Chidichimo, G. Photocatalytic inactivation of Escherichia coli bacteria in water using low pressure plasma deposited TiO2 cellulose fabric. Photochem. Photobiol. Sci. 2019, 18, 2248–2258. [Google Scholar] [CrossRef]
- Al-Ghanim, K.A.; El-Salam, M.M.A.; Mahboob, S. Assessment of Water Quality for Some Roof Tanks in Alkharj Governorate, KSA. Pak. J. Zool 2014, 46, 1003–1012. [Google Scholar]
- Xiong, P.; Hu, J. Inactivation/reactivation of antibiotic-resistant bacteria by a novel UVA/LED/TiO2 system. Water Res. 2013, 47, 4547–4555. [Google Scholar] [CrossRef] [PubMed]
- Chatzisymeon, E.; Droumpali, A.; Mantzavinos, D.; Venieri. Disinfection of water and wastewater by UV-A and UV-C irradiation. Photochem. Photobiol. Sci. 2011, 10, 389–395. [Google Scholar] [CrossRef] [PubMed]
- Erdem, A.; Metzler, D.; Cha, D.; Huang, C.P. Inhibition of bacteria by photocatalytic nano-TiO2 particles in the absence of light. Int. J. Environ. Sci. Technol. 2014, 12, 2987–2996. [Google Scholar] [CrossRef][Green Version]
- Dorick, J.; Hayden, M.; Smith, M.; Blanchard, C.; Monu, E.; Wells, D.; Huang, T.-S. Evaluation of Escherichia coli and coliforms in aquaponic water for produce irrigation. Food Microbiol. 2021, 99, 103801. [Google Scholar] [CrossRef]
- Locas, A.; Demers, J.; Payment, P. Evaluation of photoreactivation of Escherichia coli and Enterococci after UV disinfection of municipal wastewater. Can J. Microbiol. 2008, 54, 971–975. [Google Scholar] [CrossRef] [PubMed]









| Scale | Description | Pattern | 
|---|---|---|
| 0 | Removal beyond the area of the X-cut |  | 
| 1 | Removal from most of the X-cut under the tape |  | 
| 2 | Jagged removal along most of the incisions up to 3.2 mm on either side |  | 
| 3 | Jagged removal along most of the incisions up to 1.6 mm on either side |  | 
| 4 | Trace peeling or removal along incisions or at their intersection |  | 
| 5 | No peeling removal of the coating |  | 
| MB Removal Efficiency (%) | ||||||
|---|---|---|---|---|---|---|
| Irradiation Time (hour) | M1 | M2 | M3 | |||
| HDPE | SS | HDPE | SS | HDPE | SS | |
| 0 | 0 | 0 | 0 | 0 | 0 | 0 | 
| 1 | 18.3 | 14.0 | 23.0 | 13.4 | 1.5 | 1.8 | 
| 2 | 23.9 | 23.9 | 36.4 | 30.8 | 2.3 | 4.9 | 
| 3 | 33.7 | 32.8 | 50.9 | 41.8 | 4.5 | 6.3 | 
| 4 | 44.5 | 39.8 | 60.4 | 52.4 | 4.2 | 8.3 | 
| 5 | 54.0 | 47.2 | 70.9 | 65.4 | 7.8 | 9.3 | 
| 6 | 58.3 | 54.4 | 77.2 | 71.2 | 8.0 | 11.9 | 
| Bacteria Removal Efficiency (%) | ||||
|---|---|---|---|---|
| Irradiation Time (hour) | M1 | M2 | ||
| HDPE | SS | HDPE | SS | |
| 0 | 0 | 0 | 0 | 0 | 
| 1.5 | 48.9 | 29.9 | 25.5 | 29.4 | 
| 3 | 46.1 | 32.3 | 26.8 | 22.5 | 
| 4.5 | 37.9 | 55.2 | 12.4 | 9.9 | 
| Treatment | n | Low Concentration (log10/mL) | High Concentration (log10/mL) | ||||
|---|---|---|---|---|---|---|---|
| Co | C | Efficiency (%) | Co | C | Efficiency (%) | ||
| SS + C | 3 | 2.9 0.4 | ND | 100 | 4.1 0.1 | ND | 100 | 
| SS | 3 | 3.0 0.2 | ND | 100 | 4.1 0.2 | ND | 81.4 | 
| HDPE + C | 3 | 2.9 0.4 | ND | 100 | 4.0 0.2 | 1.4 1.3 | 63.9 | 
| HDPE | 3 | 3.4 0.2 | 0.6 1.1 | 81.2 | 4.2 0.1 | 2.1 0.3 | 51.3 | 
| Publisher’s Note: MDPI stays neutral with regard to jurisdictional claims in published maps and institutional affiliations. | 
© 2022 by the authors. Licensee MDPI, Basel, Switzerland. This article is an open access article distributed under the terms and conditions of the Creative Commons Attribution (CC BY) license (https://creativecommons.org/licenses/by/4.0/).
Share and Cite
Pascagaza-Rubio, H.D.; Godbout, S.; Palacios, J.H.; Cinq-Mars, D.; Côté, C.; Rousseau, A.N.; Fournel, S. Disinfection of Outdoor Livestock Water Troughs: Effect of TiO2-Based Coatings and UV-A LED. Water 2022, 14, 3808. https://doi.org/10.3390/w14233808
Pascagaza-Rubio HD, Godbout S, Palacios JH, Cinq-Mars D, Côté C, Rousseau AN, Fournel S. Disinfection of Outdoor Livestock Water Troughs: Effect of TiO2-Based Coatings and UV-A LED. Water. 2022; 14(23):3808. https://doi.org/10.3390/w14233808
Chicago/Turabian StylePascagaza-Rubio, Heidi Dayana, Stéphane Godbout, Joahnn H. Palacios, Dany Cinq-Mars, Caroline Côté, Alain N. Rousseau, and Sébastien Fournel. 2022. "Disinfection of Outdoor Livestock Water Troughs: Effect of TiO2-Based Coatings and UV-A LED" Water 14, no. 23: 3808. https://doi.org/10.3390/w14233808
APA StylePascagaza-Rubio, H. D., Godbout, S., Palacios, J. H., Cinq-Mars, D., Côté, C., Rousseau, A. N., & Fournel, S. (2022). Disinfection of Outdoor Livestock Water Troughs: Effect of TiO2-Based Coatings and UV-A LED. Water, 14(23), 3808. https://doi.org/10.3390/w14233808
 
        




 
       