Attribution of Changes in Streamflow to Climate Change and Land Cover Change in Yangtze River Source Region, China
Abstract
1. Introduction
2. Materials and Methods
2.1. Catchment Area
2.2. Data Sources
2.3. Methodology
2.4. Innovative Trend Analysis
2.5. Soil Water Assessment Tool (SWAT)
2.6. SWAT Calibration
2.7. Attribution of Changes in Streamflow
3. Results and Discussion
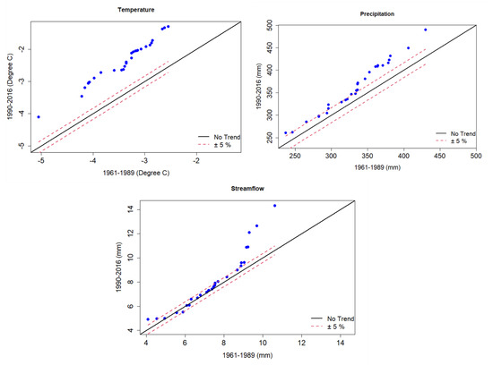
3.1. Innovative Trend Analysis
3.2. The Relationship among Precipitation, Temperature and Streamflow
3.3. Land–Cover Change Detection and Spatial Distribution
3.4. SWAT Model Simulation Results for Calibration and Validation
3.5. Attribution of Changes in Streamflow and Evapotranspiration to Climate Change and Land-Cover Change
4. Limitations and Uncertainties
5. Conclusions
Author Contributions
Funding
Data Availability Statement
Acknowledgments
Conflicts of Interest
Appendix A
| No. | Parameters | Optimal Value | Min. Value | Max. Value | Explanation |
|---|---|---|---|---|---|
| 1. | r__CN2.mgt | −0.5 | −0.7 | 0.2 | Moisture condition-II, SCS curve number |
| 2. | v__ALPHA_BF.gw | 0.12 | 0 | 0.5 | Baseflow recession constant |
| 3. | v__GW_DELAY.gw | 18.13 | 5 | 25 | Groundwater delay coefficient (days) |
| 4. | v__GWQMN.gw | 0.86 | 0 | 2 | Threshold water level in shallow aquifer for base flow (mm) |
| 5. | v__SMTMP.bsn | 1.78 | 0 | 2.5 | Snow melt base temperature (°C); |
| 6. | v__SFTMP.bsn | 0.95 | 0 | 2 | Snowfall temperature (°C); |
| 7. | v__TIMP.bsn | 0.72 | 0 | 1 | Snowpack temp lag factor |
| 8. | v__HRU_SLP.hru | 0.6 | 0 | 1 | Average slope steepness |
| 9. | r__SOL_K.sol | 0.12 | 0.5 | 1.5 | Saturated hydraulic conductivity (mm/h) |
| 10. | r__SOL_BD.sol | 1.4 | 0.5 | 1.5 | Soil bulk density (g/cm−3) |
| 11. | v__SNOCOVMX.bsn | 71.3 | 50 | 150 | Areal snow coverage threshold at 100% |
References
- Crooks, S.; Davies, H. Assessment of land use change in the Thames catchment and its effect on the flood regime of the river. Phys. Chem. Earth Part B Hydrol. Ocean. Atmos. 2001, 26, 583–591. [Google Scholar] [CrossRef]
- Brath, A.; Montanari, A.; Moretti, G. Assessing the effect on flood frequency of land use change via hydrological simulation (with uncertainty). J. Hydrol. 2006, 324, 141–153. [Google Scholar] [CrossRef]
- De Roo, A.; Odijk, M.; Schmuck, G.; Koster, E.; Lucieer, A. Assessing the effects of land use changes on floods in the Meuse and Oder catchment. Phys. Chem. Earth Part B Hydrol. Ocean. Atmos. 2001, 26, 593–599. [Google Scholar] [CrossRef]
- Marhaento, H.; Booij, M.J.; Hoekstra, A.Y. Attribution of changes in stream flow to land use change and climate change in a mesoscale tropical catchment in Java, Indonesia. Hydrol. Res. 2017, 48, 1143–1155. [Google Scholar] [CrossRef]
- Wang, G.; Zhang, Y.; Liu, G.; Chen, L. Impact of land-use change on hydrological processes in the Maying River basin, China. Sci. China Ser. D Earth Sci. 2006, 49, 1098–1110. [Google Scholar] [CrossRef]
- Busico, G.; Ntona, M.M.; Carvalho, S.C.P.; Patrikaki, O.; Voudouris, K.; Kazakis, N. Simulating Future Groundwater Recharge in Coastal and Inland Catchments. Water Resour. Manag. 2021, 35, 3617–3632. [Google Scholar] [CrossRef]
- Prowse, T.; Beltaos, S.; Gardner, J.; Gibson, J.; Granger, R.; Leconte, R.; Peters, D.; Pietroniro, A.; Romolo, L.; Toth, B. Climate change, flow regulation and land-use effects on the hydrology of the Peace-Athabasca-Slave system; Findings from the Northern Rivers Ecosystem Initiative. Environ. Monit. Assess. 2006, 113, 167–197. [Google Scholar] [CrossRef]
- Jun, X.; Chunzhen, L.; Guoyu, R. Opportunity and challenge of the climate change impact on the water resource of China. Adv. Earth Sci. 2011, 26, 1–12. [Google Scholar]
- Zhang, L.; Karthikeyan, R.; Bai, Z.; Srinivasan, R. Analysis of streamflow responses to climate variability and land use change in the Loess Plateau region of China. Catena 2017, 154, 1–11. [Google Scholar] [CrossRef]
- Joo, J.; Zhang, A.; Li, X.; Zheng, C. Hydrological responses to climate shifts for a minimally disturbed mountainous watershed in northwestern China. Hydrol. Sci. J. 2017, 62, 1440–1455. [Google Scholar] [CrossRef]
- Liu, J.; Zhang, Q.; Deng, X.; Ci, H.; Cheng, X. Quantitative analysis the influences of climate change and human activities on hydrological processes in Poyang Basin. J. Lake Sci. 2016, 28, 432–443. [Google Scholar] [CrossRef][Green Version]
- Birkinshaw, S.J.; Guerreiro, S.B.; Nicholson, A.; Liang, Q.; Quinn, P.; Zhang, L.; He, B.; Yin, J.; Fowler, H.J. Climate change impacts on Yangtze River discharge at the Three Gorges Dam. Hydrol. Earth Syst. Sci. 2017, 21, 1911. [Google Scholar] [CrossRef]
- Allan, J.D. Influence of land use and landscape setting on the ecological status of rivers. Limnetica 2004, 23, 187–197. [Google Scholar] [CrossRef]
- Gao, L.; Zhang, Y. Spatio-temporal variation of hydrological drought under climate change during the period 1960–2013 in the Hexi Corridor, China. J. Arid. Land 2016, 8, 157–171. [Google Scholar] [CrossRef]
- Lee, M.-H.; Bae, D.-H. Climate Change Impact Assessment on Green and Blue Water over Asian Monsoon Region. Water Resour. Manag. 2015, 29, 2407–2427. [Google Scholar] [CrossRef]
- Zhang, Q.; Liu, J.; Singh, V.P.; Shi, P.; Sun, P. Hydrological responses to climatic changes in the Yellow River basin, China: Climatic elasticity and streamflow prediction. J. Hydrol. 2017, 554, 635–645. [Google Scholar] [CrossRef]
- Li, L.J.; Zhang, L.; Wang, H.; Wang, J.; Yang, J.W.; Jiang, D.J.; Li, J.Y.; Qin, D.Y. Assessing the impact of climate variability and human activities on streamflow from the Wuding River basin in China. Hydrol. Processes Int. J. 2007, 21, 3485–3491. [Google Scholar] [CrossRef]
- Zhang, A.-J.; Wang, B.-D.; Cao, M.-L. Influence research of climate change and human activities on runoff contribution. Water Resour. Hydropower Northeast. China 2012, 1. Available online: https://en.cnki.com.cn/Article_en/CJFDTotal-DBSL201201001.htm (accessed on 15 November 2021).
- Zhang, Y.; Guan, D.; Jin, C.; Wang, A.; Wu, J.; Yuan, F. Impacts of climate change and land use change on runoff of forest catchment in northeast China. Hydrol. Process. 2014, 28, 186–196. [Google Scholar] [CrossRef]
- Fossey, M.; Rousseau, A.N.; Savary, S. Assessment of the impact of spatio-temporal attributes of wetlands on stream flows using a hydrological modelling framework: A theoretical case study of a watershed under temperate climatic conditions. Hydrol. Process. 2016, 30, 1768–1781. [Google Scholar] [CrossRef]
- Sajikumar, N.; Remya, R.S. Impact of land cover and land use change on runoff characteristics. J. Environ. Manag. 2015, 161, 460–468. [Google Scholar] [CrossRef]
- Marhaento, H.; Booij, M.J.; Rientjes, T.H.M.; Hoekstra, A.Y. Attribution of changes in the water balance of a tropical catchment to land use change using the SWAT model. Hydrol. Process. 2017, 31, 2029–2040. [Google Scholar] [CrossRef]
- Wagner, P.D.; Waske, B. Importance of spatially distributed hydrologic variables for land use change modeling. Environ. Model. Softw. 2016, 83, 245–254. [Google Scholar] [CrossRef]
- Woldesenbet, T.A.; Elagib, N.A.; Ribbe, L.; Heinrich, J. Hydrological responses to land use/cover changes in the source region of the Upper Blue Nile Basin, Ethiopia. Sci. Total Environ. 2017, 575, 724–741. [Google Scholar] [CrossRef] [PubMed]
- Xiaolian, S. On hydrological response to land-use/cover change in Luanhe River basin. Adv. Water Sci. 2014, 25, 21–27. [Google Scholar]
- Yan, B.; Fang, N.F.; Zhang, P.C.; Shi, Z. Impacts of land use change on watershed streamflow and sediment yield: An assessment using hydrologic modelling and partial least squares regression. J. Hydrol. 2013, 484, 26–37. [Google Scholar] [CrossRef]
- Yan, R.; Zhang, X.; Yan, S.; Zhang, J.; Chen, H. Spatial patterns of hydrological responses to land use/cover change in a catchment on the Loess Plateau, China. Ecol. Indic. 2017, 92, 151–160. [Google Scholar] [CrossRef]
- Zhang, C.; Zhang, B.; Li, W.; Liu, M. Response of streamflow to climate change and human activity in Xitiaoxi river basin in China. Hydrol. Process. 2014, 28, 43–50. [Google Scholar] [CrossRef]
- Ma, X.; Xu, J.; Luo, Y.; Aggarwal, S.P.; Li, J. Response of hydrological processes to land-cover and climate changes in Kejie watershed, south-west China. Hydrol. Process. 2009, 23, 1179–1191. [Google Scholar] [CrossRef]
- Tomer, M.D.; Schilling, K.E. A simple approach to distinguish land-use and climate-change effects on watershed hydrology. J. Hydrol. 2009, 376, 24–33. [Google Scholar] [CrossRef]
- Hu, Z.; Wang, L.; Wang, Z.; Hong, Y.; Zheng, H. Quantitative assessment of climate and human impacts on surface water resources in a typical semi-arid watershed in the middle reaches of the Yellow River from 1985 to 2006. Int. J. Climatol. 2015, 35, 97–113. [Google Scholar] [CrossRef]
- Karlsson, I.B.; Sonnenborg, T.O.; Refsgaard, J.C.; Trolle, D.; Borgesen, C.D.; Olesen, J.E.; Jeppesen, E.; Jensen, K.H. Combined effects of climate models, hydrological model structures and land use scenarios on hydrological impacts of climate change. J. Hydrol. 2016, 535, 301–317. [Google Scholar] [CrossRef]
- Marhaento, H.; Booij, M.; Hoekstra, A. Hydrological response to future land-use change and climate change in a tropical catchment. Hydrol. Sci. J. 2018, 63, 1368–1385. [Google Scholar] [CrossRef]
- Chung, E.; Park, K.; Lee, K.S. The relative impacts of climate change and urbanization on the hydrological response of a Korean urban watershed. Hydrol. Process. 2011, 25, 544–560. [Google Scholar] [CrossRef]
- Daofeng, L.; Ying, T.; Changming, L.; Fanghua, H. Impact of land-cover and climate changes on runoff of the source regions of the Yellow River. J. Geogr. Sci. 2004, 14, 330–338. [Google Scholar] [CrossRef]
- Zuo, D.; Xu, Z.; Yao, W.; Jin, S.; Xiao, P.; Ran, D. Assessing the effects of changes in land use and climate on runoff and sediment yields from a watershed in the Loess Plateau of China. Sci. Total Environ. 2016, 544, 238–250. [Google Scholar] [CrossRef]
- Wang, Q.; Xu, Y.P.; Xu, Y.; Wu, L.; Wang, Y.F.; Han, L.F. Spatial hydrological responses to land use and land cover changes in a typical catchment of the Yangtze River Delta region. Catena 2018, 170, 305–315. [Google Scholar] [CrossRef]
- Zhang, Y.; Liu, S.; Xu, J.; Shangguan, D. Glacier change and glacier runoff variation in the Tuotuo River basin, the source region of Yangtze River in western China. Environ. Geol. 2008, 56, 59–68. [Google Scholar] [CrossRef]
- Yao, Z.; Liu, Z.; Huang, H.; Liu, G.; Wu, S. Statistical estimation of the impacts of glaciers and climate change on river runoff in the headwaters of the Yangtze River. Quat. Int. 2014, 336, 89–97. [Google Scholar] [CrossRef]
- Dey, P.; Mishra, A. Separating the impacts of climate change and human activities on streamflow: A review of methodologies and critical assumptions. J. Hydrol. 2017, 548, 278–290. [Google Scholar] [CrossRef]
- Ahmed, N.; Wang, G.-X.; Oluwafemi, A.; Munir, S.; Hu, Z.-Y.; Shakoor, A.; Imran, M.A. Temperature trends and elevation dependent warming during 1965–2014 in headwaters of Yangtze River, Qinghai Tibetan Plateau. J. Mt. Sci. 2020, 17, 556–571. [Google Scholar] [CrossRef]
- Fujita, K.; Ageta, Y. Effect of summer accumulation on glacier mass balance on the Tibetan Plateau revealed by mass-balance model. J. Glaciol. 2000, 46, 244–252. [Google Scholar] [CrossRef]
- Wang, G.; Cheng, G. Characteristics of grassland and ecological changes of vegetations in the source regions of Yangtze and Yellow Rivers. J. Desert Res. 2001, 21, 101–107. [Google Scholar]
- Dong, S.; Zhou, C.; Wang, H. Ecological crisis and countermeasures of the Three Rivers Headstream Regions. J. Nat. Resour. 2002, 17, 713–720. [Google Scholar]
- Yang, J.P.; Ding, Y.J.; Chen, R.S.; Shen, Y.P. Permafrost change and its effect on eco-environment in the source regions of the Yangtze and Yellow Rivers. J. Mt. Sci. 2002, 22, 33–39. [Google Scholar]
- Wang, G.; Li, Y.; Wang, Y.; Shen, Y. Impacts of alpine ecosystem and climate changes on surface runoff in the headwaters of the Yangtze River. J. Glaciol. Geocryol. 2007, 29, 159–168. [Google Scholar]
- Ahmed, N.; Wang, G.; Booij, M.J.; Xiangyang, S.; Hussain, F.; Nabi, G. Separation of the Impact of Landuse/Landcover Change and Climate Change on Runoff in the Upstream Area of the Yangtze River, China. Water Resour. Manag. 2021, 1–21. [Google Scholar] [CrossRef]
- Ahmed, N.; Wang, G.; Booij, M.J.; Oluwafemi, A.; Hashmi, M.Z.; Ali, S.; Munir, S. Climatic Variability and Periodicity for Upstream Sub-Basins of the Yangtze River, China. Water 2020, 12, 842. [Google Scholar] [CrossRef]
- Zhao, D.; Wu, S. Projected Changes in Permafrost Active Layer Thickness Over the Qinghai-Tibet Plateau under Climate Change. Water Resour. Res. 2019, 55, 7860–7875. [Google Scholar] [CrossRef]
- Sen, Z. Innovative Trend Analysis Methodology. J. Hydrol. Eng. 2012, 17, 1042–1046. [Google Scholar] [CrossRef]
- Gedefaw, M.; Yan, D.; Wang, H.; Qin, T.; Girma, A.; Abiyu, A.; Batsuren, D. Innovative Trend Analysis of Annual and Seasonal Rainfall Variability in Amhara Regional State, Ethiopia. Atmosphere 2018, 9, 326. [Google Scholar] [CrossRef]
- Tosunoglu, F. Trend analyses of turkish euphrates basin streamflow by innovative sen’s trend method and traditional mann-kendall test. Fresenius Environ. Bull. 2018, 27, 446–458. [Google Scholar]
- Li, J.; Wu, W.; Ye, X.; Jiang, H.; Gan, R.; Wu, H.; He, J.; Jiang, Y. Innovative trend analysis of main agriculture natural hazards in China during 1989-2014. Nat. Hazards 2019, 95, 677–720. [Google Scholar] [CrossRef]
- Girma, A.; Qin, T.; Hao, W.; Yan, D.; Gedefaw, M.; Abiyu, A.; Dorjsuren, B. Study on Recent Trends of Climate Variability Using Innovative Trend Analysis: The Case of the upper Huai River Basin. Pol. J. Environ. Stud. 2020, 29, 2199–2210. [Google Scholar] [CrossRef]
- Wang, Y.; Xu, Y.; Tabari, H.; Wang, J.; Wang, Q.; Song, S.; Hu, Z. Innovative trend analysis of annual and seasonal rainfall in the Yangtze River Delta, eastern China. Atmos. Res. 2020, 231, 104673. [Google Scholar] [CrossRef]
- Şen, Z. Innovative Trend Analyses. In Innovative Trend Methodologies in Science and Engineering; Springer International Publishing: Cham, Germany, 2017; pp. 175–226. [Google Scholar]
- Guclu, Y.S. Comments on “Comparison of Mann-Kendall and innovative trend method for water quality parameters of the Kizilirmak River, Turkey (Kisi and Ay, 2014)” and “An innovative method for trend analysis of monthly pan evaporations (Kisi, 2015)”. J. Hydrol. 2016, 538, 878–882. [Google Scholar] [CrossRef]
- Phuong, D.N.D.; Tram, V.N.Q.; Nhat, T.T.; Ly, T.D.; Loi, N.K. Hydro-meteorological trend analysis using the Mann-Kendall and innovative-Sen methodologies: A case study. Int. J. Glob. Warm. 2020, 20, 145–164. [Google Scholar] [CrossRef]
- Cui, L.; Wang, L.; Lai, Z.; Tian, Q.; Liu, W.; Li, J. Innovative trend analysis of annual and seasonal air temperature and rainfall in the Yangtze River Basin, China during 1960–2015. J. Atmos. Sol. Terr. Phys. 2017, 164, 48–59. [Google Scholar] [CrossRef]
- Wu, H.; Qian, H. Innovative trend analysis of annual and seasonal rainfall and extreme values in Shaanxi, China, since the 1950s. Int. J. Climatol. 2017, 37, 2582–2592. [Google Scholar] [CrossRef]
- Zhou, Z.; Wang, L.; Lin, A.; Zhang, M.; Niu, Z. Innovative trend analysis of solar radiation in China during 1962–2015. Renew. Energy 2018, 119, 675–689. [Google Scholar] [CrossRef]
- Arnold, J.G.; Fohrer, N. SWAT2000: Current capabilities and research opportunities in applied watershed modelling. Hydrol. Process. 2005, 19, 563–572. [Google Scholar] [CrossRef]
- Abbas, S.A.; Xuan, Y.Q. Development of a New Quantile-Based Method for the Assessment of Regional Water Resources in a Highly-Regulated River Basin. Water Resour. Manag. 2019, 33, 3187–3210. [Google Scholar] [CrossRef]
- Oliveira, V.A.; de Mello, C.R.; Beskow, S.; Viola, M.R.; Srinivasan, R. Modeling the effects of climate change on hydrology and sediment load in a headwater basin in the Brazilian Cerrado biome. Ecol. Eng. 2019, 133, 20–31. [Google Scholar] [CrossRef]
- Jin, X.; Jin, Y.X.; Mao, X.F. Land Use/Cover Change Effects on River Basin Hydrological Processes Based on a Modified Soil and Water Assessment Tool: A Case Study of the Heihe River Basin in Northwest China’s Arid Region. Sustainability 2019, 11, 1072. [Google Scholar] [CrossRef]
- Jin, X.; Jin, Y.X.; Yuan, D.H.; Mao, X.F. Effects of land-use data resolution on hydrologic modelling, a case study in the upper reach of the Heihe River, Northwest China. Ecol. Model. 2019, 404, 61–68. [Google Scholar] [CrossRef]
- Li, F.P.; Zhang, G.X.; Li, H.Y.; Lu, W.X. Land Use Change Impacts on Hydrology in the Nenjiang River Basin, Northeast China. Forests 2019, 10, 476. [Google Scholar] [CrossRef]
- Arnold, J.G.; Srinivasan, R.; Muttiah, R.S.; Williams, J.R. Large area hydrologic modeling and assessment part I: Model development 1. JAWRA J. Am. Water Resour. Assoc. 1998, 34, 73–89. [Google Scholar] [CrossRef]
- Abbaspour, K.C.; Yang, J.; Maximov, I.; Siber, R.; Bogner, K.; Mieleitner, J.; Zobrist, J.; Srinivasan, R. Modelling hydrology and water quality in the pre-alpine/alpine Thur watershed using SWAT. J. Hydrol. 2007, 333, 413–430. [Google Scholar] [CrossRef]
- Zhang, L.M.; Meng, X.Y.; Wang, H.; Yang, M.X. Simulated Runoff and Sediment Yield Responses to Land-Use Change Using the SWAT Model in Northeast China. Water 2019, 11, 915. [Google Scholar] [CrossRef]
- Abbaspour, K.C.; Rouholahnejad, E.; Vaghefi, S.; Srinivasan, R.; Yang, H.; Kløve, B. A continental-scale hydrology and water quality model for Europe: Calibration and uncertainty of a high-resolution large-scale SWAT model. J. Hydrol. 2015, 524, 733–752. [Google Scholar] [CrossRef]
- Moriasi, D.N.; Arnold, J.G.; Van Liew, M.W.; Bingner, R.L.; Harmel, R.D.; Veith, T.L. Model Evaluation Guidelines for Systematic Quantification of Accuracy in Watershed Simulations. Trans. ASABE 2007, 50, 885–900. [Google Scholar] [CrossRef]
- Zhang, X.; Zhang, L.; Zhao, J.; Rustomji, P.; Hairsine, P. Responses of streamflow to changes in climate and land use/cover in the Loess Plateau, China. Water Resour. Res. 2008, 44. [Google Scholar] [CrossRef]
- Yang, L.; Feng, Q.; Yin, Z.; Wen, X.; Si, J.; Li, C.; Deo, R.C. Identifying separate impacts of climate and land use/cover change on hydrological processes in upper stream of Heihe River, Northwest China. Hydrol. Process. 2017, 31, 1100–1112. [Google Scholar] [CrossRef]
- Adeyeri, O.E.; Laux, P.; Lawin, A.E.; Ige, S.O.; Kunstmann, H. Analysis of hydrometeorological variables over the transboundary Komadugu-Yobe basin, West Africa. J. Water Clim. Chang. 2019, 11, 1339–1354. [Google Scholar] [CrossRef]
- Adeyeri, O.E.; Laux, P.; Arnault, J.; Lawin, A.E.; Kunstmann, H. Conceptual hydrological model calibration using multi-objective optimization techniques over the transboundary Komadugu-Yobe basin, Lake Chad Area, West Africa. J. Hydrol. Reg. Stud. 2020, 27, 100655. [Google Scholar] [CrossRef]
- Trenberth, K.E.; Shea, D.J. Relationships between precipitation and surface temperature. Geophys. Res. Lett. 2005, 32. [Google Scholar] [CrossRef]
- Berg, P.; Haerter, J.; Thejll, P.; Piani, C.; Hagemann, S.; Christensen, J. Seasonal characteristics of the relationship between daily precipitation intensity and surface temperature. J. Geophys. Res. Atmos. 2009, 114. [Google Scholar] [CrossRef]
- Guo, Y.; Li, Z.; Amo-Boateng, M.; Deng, P.; Huang, P. Quantitative assessment of the impact of climate variability and human activities on runoff changes for the upper reaches of Weihe River. Stoch. Environ. Res. Risk Assess. 2014, 28, 333–346. [Google Scholar] [CrossRef]
- Li, J.; Liu, D.; Wang, T.; Li, Y.; Wang, S.; Yang, Y.; Wang, X.; Guo, H.; Peng, S.; Ding, J. Grassland restoration reduces water yield in the headstream region of Yangtze River. Sci. Rep. 2017, 7, 2162. [Google Scholar] [CrossRef]
- Nie, N.; Zhang, W.; Liu, M.; Chen, H.; Zhao, D. Separating the impacts of climate variability, land-use change and large reservoir operations on streamflow in the Yangtze River basin, China, using a hydrological modeling approach. Int. J. Digit. Earth 2020, 14, 1–19. [Google Scholar] [CrossRef]
- Zhang, Y.; Guan, D.; Jin, C.; Wang, A.; Wu, J.; Yuan, F. Analysis of impacts of climate variability and human activity on streamflow for a river basin in northeast China. J. Hydrol. 2011, 410, 239–247. [Google Scholar] [CrossRef]
- Zhang, L.; Nan, Z.; Yu, W.; Ge, Y. Modeling land-use and land-cover change and hydrological responses under consistent climate change scenarios in the Heihe River Basin, China. Water Resour. Manag. 2015, 29, 4701–4717. [Google Scholar] [CrossRef]
- Yin, Z.; Feng, Q.; Zou, S.; Yang, L. Assessing variation in water balance components in mountainous inland river basin experiencing climate change. Water 2016, 8, 472. [Google Scholar] [CrossRef]
- Zhang, A.; Liu, W.; Yin, Z.; Fu, G.; Zheng, C. How will climate change affect the water availability in the Heihe River Basin, Northwest China? J. Hydrometeorol. 2016, 17, 1517–1542. [Google Scholar] [CrossRef]
- Zhang, L.; Nan, Z.; Xu, Y.; Li, S. Hydrological impacts of land use change and climate variability in the headwater region of the Heihe River Basin, Northwest China. PLoS ONE 2016, 11, e0158394. [Google Scholar] [CrossRef] [PubMed]
- Wang, X. Advances in separating effects of climate variability and human activity on stream discharge: An overview. Adv. Water Resour. 2014, 71, 209–218. [Google Scholar] [CrossRef]
- Arnold, J.G.; Moriasi, D.N.; Gassman, P.W.; Abbaspour, K.C.; White, M.J.; Srinivasan, R.; Santhi, C.; Harmel, R.; van Griensven, A.; Van Liew, M.W. SWAT: Model use, calibration, and validation. Trans. ASABE 2012, 55, 1491–1508. [Google Scholar] [CrossRef]
- Omer, A.; Wang, W.; Basheer, A.K.; Yong, B. Integrated assessment of the impacts of climate variability and anthropogenic activities on river runoff: A case study in the Hutuo River Basin, China. Hydrol. Res. 2017, 48, 416–430. [Google Scholar] [CrossRef]
- Ma, X.; Lu, X.; van Noordwijk, M.; Li, J.; Xu, J. Attribution of climate change, vegetation restoration, and engineering measures to the reduction of suspended sediment in the Kejie catchment, southwest China. Hydrol. Earth Syst. Sci. 2014, 18, 1979. [Google Scholar] [CrossRef]
- Ott, B.; Uhlenbrook, S. Quantifying the impact of land-use changes at the event and seasonal time scale using a process-oriented catchment model. Hydrol. Earth Syst. Sci. 2004, 8, 62–78. [Google Scholar] [CrossRef]













| LC (1985, 1990) CC (1964–1989, 1990–2016) | LC (2000, 2005), CC (1964–1989, 1990–2016) | ||||
| Scenarios | LCLU | Climate | Scenarios | LCLU | Climate |
| s1985-c1 | 1985 | 1964–1989 | s2000-c1 | 2000 | 1964–1989 |
| s1990-c1 | 1990 | 1964–1989 | s2005-c1 | 2005 | 1964–1989 |
| s1985-c2 | 1985 | 1990–2016 | s2000-c2 | 2000 | 1990–2016 |
| s1990-c2 | 1990 | 1990–2016 | s2005-c2 | 2005 | 1990–2016 |
| LC (1990, 1995) CC (1964–1989, 1990–2016) | LC (2005, 2010) CC (1964–1989, 1990–2016) | ||||
| Scenarios | LCLU | Climate | Scenarios | LCLU | Climate |
| s1990-c1 | 1990 | 1964–1989 | s2005-c1 | 2005 | 1964–1989 |
| s1995-c1 | 1995 | 1964–1989 | s2010-c1 | 2010 | 1964–1989 |
| s1990-c2 | 1990 | 1990–2016 | s2005-c2 | 2005 | 1990–2016 |
| s1995-c2 | 1995 | 1990–2016 | s2010-c2 | 2010 | 1990–2016 |
| LC (1995, 2000) CC (1964–1989, 1990–2016) | LC (2010, 2015) CC (1964–1989, 1990–2016) | ||||
| Scenarios | LCLU | Climate | Scenarios | LCLU | Climate |
| s1995-c1 | 1995 | 1964–1989 | s2010-c1 | 2010 | 1964–1989 |
| s2000-c1 | 2000 | 1964–1989 | s2015-c1 | 2015 | 1964–1989 |
| s1995-c2 | 1995 | 1990–2016 | s2010-c2 | 2010 | 1990–2016 |
| s2000-c2 | 2000 | 1990–2016 | s2015-c2 | 2015 | 1990–2016 |
| Annual and Monthly Scale | MeanTemperature (°C) | Precipitation (mm) | Streamflow(mm) |
|---|---|---|---|
| Annually | 0.4 | 10.6 | 0.23 |
| Jan | 0.6 | 0.2 | 0.008 |
| Feb | 0.5 | 0.2 | 0.013 |
| Mar | 0.3 | 0.3 | 0.016 |
| Apr | 0 | 0.4 | 0.02 |
| May | 0.1 | 2.4 | 0.038 |
| Jun | 0.1 | 4.1 | 0.38 |
| Jul | 0.3 | −1.6 | −0.02 |
| Aug | 0.3 | 0.7 | 0.35 |
| Sep | 0.4 | 0.4 | 0.07 |
| Oct | 0.4 | −0.3 | 0.18 |
| Nov | 0.7 | 0.1 | 0.08 |
| Dec | 0.8 | −0.1 | 0.01 |
| Variables | Precipitation | Mean Temperature | Streamflow |
|---|---|---|---|
| Precipitation | 1 | ||
| Mean Temperature | 0.31 | 1 | |
| Streamflow | 0.79 | 0.25 | 1 |
| Nash-Sutcliffe Efficiency Values for Each Land Cover | ||||||||
|---|---|---|---|---|---|---|---|---|
| Climate Data | 1985 | 1990 | 1995 | 2000 | 2005 | 2010 | 2015 | |
| Cali. | 1964–1989 | 0.82 | - | - | - | - | - | - |
| Vali. | 1990–2016 | 0.84 | 0.80 | 0.85 | 0.93 | 0.93 | 0.93 | 0.93 |
| Vali. | 1964–1989 | 0.87 | 0.91 | 0.93 | 0.93 | 0.93 | 0.93 | |
| LCC1985–1990 | |||||||||||
| SCENARIOS | Climate | Land Cover Change (LCC) | Precipitation (mm) | Runoff (mm) | Runoff Change (%) | ET (mm) | Runoff Change (%) | ||||
| S1 | 1964–1989 | 1985 | 324.4 | 55.9 | 273.7 | ||||||
| S2 | 1964–1989 | 1990 | 335.7 | 69.6 | ΔQc | 11.4 | 54.8 | 270.6 | ΔQc | 7.9 | 120.1 |
| S3 | 1990–2016 | 1985 | 346.2 | 71.6 | ΔQL | 9.4 | 45.2 | 279.8 | ΔQL | −1.3 | −20.1 |
| S4 | 1990–2016 | 1990 | 352.5 | 76.6 | ΔQ | 20.7 | 100 | 280.3 | ΔQ | 6.6 | 100 |
| LCC1990–1995 | |||||||||||
| SCENARIOS | Climate | LCC | Precipitation (mm) | Runoff (mm) | Runoff Change (%) | ET (mm) | Runoff Change (%) | ||||
| S1 | 1964–1989 | 1990 | 335.7 | 69.6 | 270.6 | ||||||
| S2 | 1964–1989 | 1995 | 335.7 | 78.2 | ΔQc | 6.45 | 44.5 | 263.5 | ΔQc | 10 | 308.2 |
| S3 | 1990–2016 | 1990 | 352.5 | 76.6 | ΔQL | 8.05 | 55.5 | 280.3 | ΔQL | −6.8 | −208.2 |
| S4 | 1990–2016 | 1995 | 352.5 | 84.1 | ΔQ | 14.5 | 100 | 273.8 | ΔQ | 3.3 | 100 |
| LCC1995–2000 | |||||||||||
| SCENARIOS | Climate | LCC | Precipitation (mm) | Runoff (mm) | Runoff Change (%) | ET (mm) | Runoff Change (%) | ||||
| S1 | 1964–1989 | 1995 | 335.7 | 78.2 | 263.5 | ||||||
| S2 | 1964–1989 | 2000 | 335.7 | 78.5 | ΔQc | 5.9 | 95.1 | 260.7 | ΔQc | −83 | 46.3 |
| S3 | 1990–2016 | 1995 | 352.5 | 84.1 | ΔQL | 0.3 | 4.9 | 273.8 | ΔQL | −96.1 | 53.7 |
| S4 | 1990–2016 | 2000 | 352.5 | 84.4 | ΔQ | 6.2 | 100 | 84.4 | ΔQ | −179.1 | 100 |
| LCC2000–2005 | |||||||||||
| SCENARIOS | Climate | LCC | Precipitation (mm) | Runoff (mm) | Runoff Change (%) | ET (mm) | Runoff Change (%) | ||||
| S1 | 1964–1989 | 2000 | 335.7 | 78.5 | 260.7 | ||||||
| S2 | 1964–1989 | 2005 | 335.7 | 78.5 | ΔQc | 5.9 | 99.7 | 260.7 | ΔQc | 10.6 | 100.2 |
| S3 | 1990–2016 | 2000 | 352.5 | 84.4 | ΔQL | 0 | 0.3 | 271.2 | ΔQL | −0.1 | −0.2 |
| S4 | 1990–2016 | 2005 | 352.5 | 84.4 | ΔQ | 6 | 100 | 271.2 | ΔQ | 10.5 | 100 |
| LCC2005–2010 | |||||||||||
| SCENARIOS | Climate | LCC | Precipitation (mm) | Runoff (mm) | Runoff Change (%) | ET (mm) | Runoff Change (%) | ||||
| S1 | 1964–1989 | 2005 | 335.7 | 78.5 | 260.7 | ||||||
| S2 | 1964–1989 | 2010 | 335.7 | 78.5 | ΔQc | 5.9 | 100 | 260.7 | ΔQc | 10.6 | 100 |
| S3 | 1990–2016 | 2005 | 352.5 | 84.4 | ΔQL | 0 | 0 | 271.2 | ΔQL | 0.0 | 0 |
| S4 | 1990–2016 | 2010 | 352.5 | 84.4 | ΔQ | 5.9 | 100 | 271.2 | ΔQ | 10.6 | 100 |
| LCC2010–2015 | |||||||||||
| SCENARIOS | Climate | LCC | Precipitation (mm) | Runoff (mm) | Runoff Change (%) | ET (mm) | Runoff Change (%) | ||||
| S1 | 1964–1989 | 2010 | 335.7 | 78.5 | 260.7 | ||||||
| S2 | 1964–1989 | 2015 | 335.7 | 78.4 | ΔQc | 5.9 | 100.7 | 260.9 | ΔQc | 10.6 | 97.5 |
| S3 | 1990–2016 | 2010 | 352.5 | 84.4 | ΔQL | 0 | −0.7 | 271.2 | ΔQL | 0.3 | 2.5 |
| S4 | 1990–2016 | 2015 | 352.5 | 84.4 | ΔQ | 5.9 | 100 | 271.5 | ΔQ | 10.9 | 100 |
Publisher’s Note: MDPI stays neutral with regard to jurisdictional claims in published maps and institutional affiliations. |
© 2022 by the authors. Licensee MDPI, Basel, Switzerland. This article is an open access article distributed under the terms and conditions of the Creative Commons Attribution (CC BY) license (https://creativecommons.org/licenses/by/4.0/).
Share and Cite
Ahmed, N.; Wang, G.; Lü, H.; Booij, M.J.; Marhaento, H.; Prodhan, F.A.; Ali, S.; Ali Imran, M. Attribution of Changes in Streamflow to Climate Change and Land Cover Change in Yangtze River Source Region, China. Water 2022, 14, 259. https://doi.org/10.3390/w14020259
Ahmed N, Wang G, Lü H, Booij MJ, Marhaento H, Prodhan FA, Ali S, Ali Imran M. Attribution of Changes in Streamflow to Climate Change and Land Cover Change in Yangtze River Source Region, China. Water. 2022; 14(2):259. https://doi.org/10.3390/w14020259
Chicago/Turabian StyleAhmed, Naveed, Genxu Wang, Haishen Lü, Martijn J. Booij, Hero Marhaento, Foyez Ahmed Prodhan, Shahid Ali, and Muhammad Ali Imran. 2022. "Attribution of Changes in Streamflow to Climate Change and Land Cover Change in Yangtze River Source Region, China" Water 14, no. 2: 259. https://doi.org/10.3390/w14020259
APA StyleAhmed, N., Wang, G., Lü, H., Booij, M. J., Marhaento, H., Prodhan, F. A., Ali, S., & Ali Imran, M. (2022). Attribution of Changes in Streamflow to Climate Change and Land Cover Change in Yangtze River Source Region, China. Water, 14(2), 259. https://doi.org/10.3390/w14020259

