Stochastic Flood Risk Assessment under Climate Change Scenarios for Toronto, Canada Using CAPRA
Abstract
1. Introduction
Objectives
2. Materials and Methods
2.1. Study Area
2.2. Overview of the Proposed Modeling Methodology
2.3. Rainfall Hazard Analysis
2.4. Flood Hazard Analysis
2.5. Exposure Assessment
2.6. Vulnerability Assessment
2.7. Flood Risk Analysis
3. Results and Discussion
3.1. Climate Change Rainfall Projections
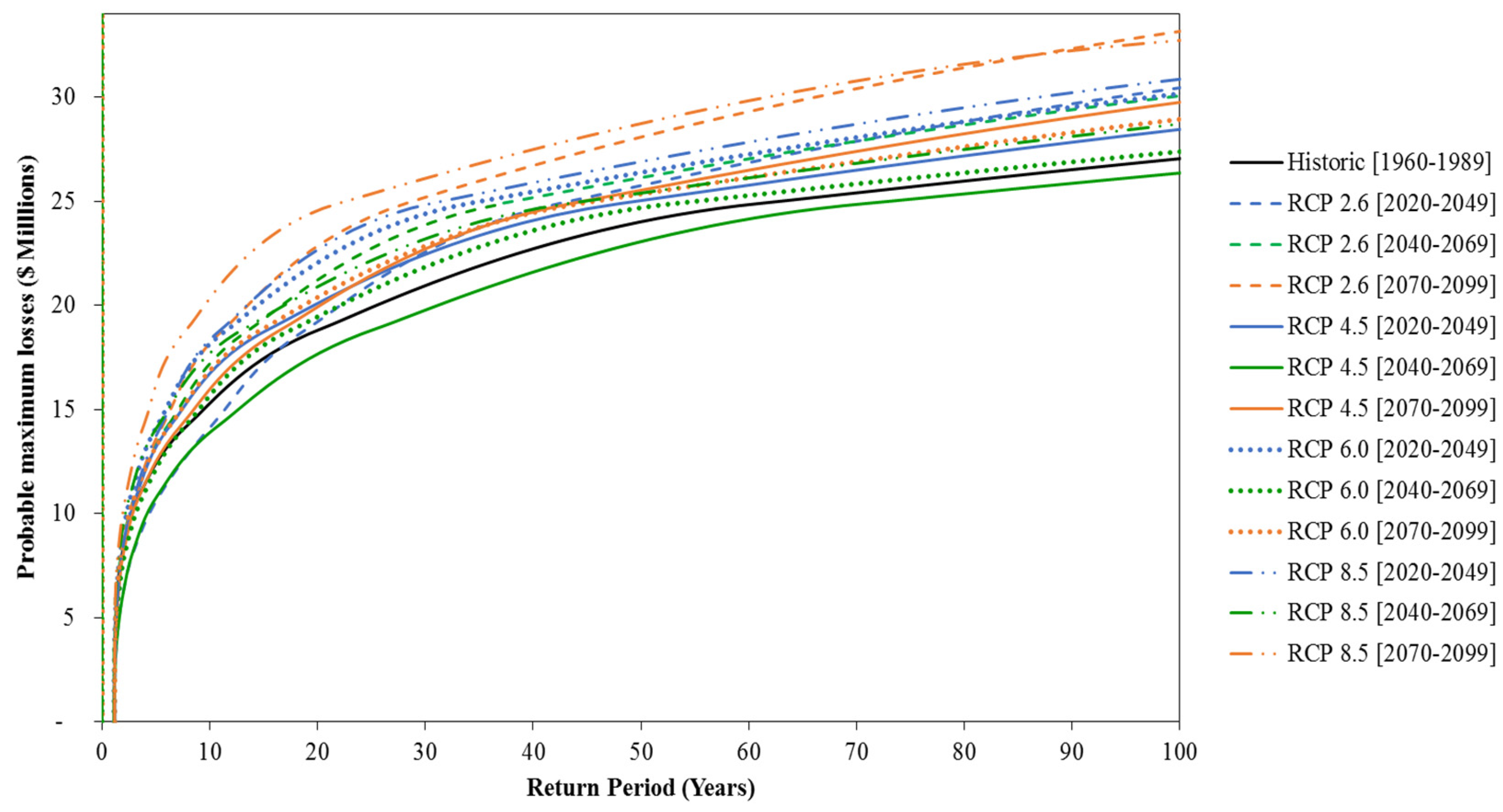
3.2. Stochastic Flood Risk Assessment
3.3. Deterministic Flood Risk Assessment
4. Conclusions
Recommendations for Future Research
- The DEM used in this study has a resolution of 5 m. However, for creating the cross-sections for the hydraulic model, it is recommended to use a DEM with a resolution around 1 m or lower (from LiDAR or HR satellite pictures). An alternative approach may be to obtain the bathymetry of the river from a field survey.
- The current version of IT-Flood only allows for integrating the HEC-RAS 1D model. However, 2D modeling is more appropriate in several situations, for example, when the length-to-width ratio of the river is less than 3:1.
- Currently IT-NHRain only allows for generating stochastic rainfall scenarios on a daily basis. However, it may be more appropriate to use sub-daily or sub-hourly rainfall data and analyze its effect on the peak flow of hydrographs since significantly higher rainfall intensity is more likely to occur in these shorter time intervals. A recommendation to CAPRA would be to develop a version of IT-NHRain that allows for generating rainfall scenarios on a sub-daily basis.
- In this study, only seven rain gauges with rainfall data (with at least 30 years of records) were identified within the Humber River watershed. However, for such an extensive area (911 km2), the number of rain gauges may not be suitable enough to capture the spatial variation of rainfall. Moreover, several of the gauges only have daily data. An increase in the spatial density of rain gauges with a finer temporal resolution would improve the analysis (e.g., provide estimates of marginal flood risk) and ultimately may affect the outcome of the risk analysis.
- The tangible damages quantified in this study only considered direct damages. Direct damages generally consider the damage to structures and contents. A potential improvement to the quantification of damages would be to include content damages as well as indirect tangible damages (e.g., business disruption, detours, and loss of revenue).
- The social vulnerability in this study was determined only as the number of people affected based on the water depth at their place of residence. An opportunity to enhance social risk analysis would be to consider the different indicators of social vulnerability, such as demographic characteristics, socioeconomic status, land tenure, and neighborhood characteristics.
- Collaboration with the TRCA is advised to identify other possible errors in measuring key parameters, such as precipitation and discharge, that will affect the validation of the modeling results. Additional field data is required to better cover the watershed spatially and temporally in order to evaluate the results obtained via the stochastic and deterministic approaches.
Author Contributions
Funding
Institutional Review Board Statement
Informed Consent Statement
Data Availability Statement
Acknowledgments
Conflicts of Interest
References
- Abdallah, C.; Hdeib, R. Flood risk assessment and mapping for the Lebanese watersheds. In Proceedings of the EGU General Assembly Conference, Vienna, Austria, 17–22 April 2016. [Google Scholar]
- Lopardo, R.A.; Seoane, R. Algunas reflexiones sobre crecidas e inundaciones. Ing. Agua 2000, 7, 11–21. [Google Scholar] [CrossRef][Green Version]
- Cruickshank, V.C. Modelos Para el Tránsito de Avenidas en Cauces Con Llanuras de Inundación. Plan Nacional Hidráulico. Gobierno de la Federación. México. 1974. Available online: https://www.slideshare.net/AcademiaDeIngenieriaMx/plan-nacional-hidrulico (accessed on 8 January 2022).
- Zwenzner, H.; Voigt, S. Improved estimation of flood parameters by combining space based SAR data with very high resolution digital elevation data. Hydrol. Earth Syst. Sci. 2009, 13, 567–576. [Google Scholar] [CrossRef]
- Keating, A.; Campbell, K.; Mechler, R.; Michel-Kerjan, E.; Mochizuki, J.; Kunreuther, H.; Bayer, J.; Hanger, S.; McCallum, I.; See, L.; et al. Operationalizing Resilience against Natural Disaster Risk: Opportunities, Barriers and a Way forward. Laxenburg, Austria: Zurich Flood Resilience Alliance, International Institute for Applied Systems Analysis. 2014. Available online: http://pure.iiasa.ac.at/id/eprint/11191 (accessed on 8 January 2022).
- Arnell, N.W.; Gosling, S.N. The impacts of climate change on river flood risk at the global scale. Clim. Change 2016, 134, 387–401. [Google Scholar] [CrossRef]
- Ontario Climate Date Portal (OCDP). Trends of Rainfall in Ontario. LAMPS, Department of Mathematics and Statistics, York University. 2018. Available online: http://lamps.math.yorku.ca/OntarioClimate (accessed on 10 February 2019).
- Thieken, A.H.; Olschewski, A.; Kreibich, H.; Kobsch, S.; Merz, B. Development and evaluation of FLEMOps—A new Flood Loss Estimation MOdel for the private sector. WIT Trans. Ecol. Environ. 2008, 118, 315–324. [Google Scholar] [CrossRef]
- Meyer, V.; Scheuer, S.; Haase, D. A multicriteria approach for flood risk mapping exemplified at the Mulde river, Germany. Nat. Hazards 2009, 48, 17–39. [Google Scholar] [CrossRef]
- Kubal, C.; Haase, D.; Meyer, V.; Scheuer, S. Integrated urban flood risk assessment—Adapting a multicriteria approach to a city. Nat. Hazards Earth Syst. Sci. 2009, 9, 1881–1895. [Google Scholar] [CrossRef]
- Dottori, F.; Figueiredo, R.; Martina, M.L.; Molinari, D.; Scorzini, A.R. INSYDE: A synthetic, probabilistic flood damage model based on explicit cost analysis. Nat. Hazards Earth Syst. Sci. 2016, 16, 2577–2591. [Google Scholar] [CrossRef]
- Escuder-Bueno, I.; Castillo-Rodrıguez, J.T.; Perales-Momparler, S.; Morales-Torres, A. SUFRI Method for Pluvial and River Flooding Risk Assessment in Urban Areas to Inform Decision Making. In WP3 Final Report, SUFRI Project (Sustainable Strategies of Urban Flood Risk Management), Valencia, Comunitat Valenciana. Spain: Polytechnic University of Valencia. Research Institute of Water and Environmental Engineering. 2011. Available online: http://www.edams.upv.es/docs/2011_July_SUFRI_WP3_Final%20Report.pdf (accessed on 27 May 2018).
- King, A.; Bell, R. Riskscape New Zealand—A Multihazard Loss Modelling Tool. In Proceedings of the NZSEE Conference, Napier, New Zealand, 10–12 March 2006; pp. 30.1–30.9. [Google Scholar]
- Deckers, P.; Kellens, W.; Reyns, J.; Vanneuville, E.; Maeyer, P. A GIS for Flood Risk Management in Flanders. In Geospatial Techniques in Urban Hazard and Disaster Analysis; Showalter, P.S., Yongmei, L., Eds.; Springer: Dodrecht, The Netherlands, 2009; pp. 51–69. [Google Scholar]
- USACE. Flood Impact Analysis_HEC-FIA User’s Manual, Version 3.0; U.S. Army Corps of Engineers: Davis, CA, USA; Washington, DC, USA, 2015.
- Scawthorn, C.; Flores, P.; Blais, N.; Seligson, H.; Tate, E.; Chang, S.; Mifflin, E.; Thomas, W.; Murphy, J.; Jones, C.; et al. HAZUS-MH flood loss estimation methodology. II. Damage and loss assessment. Nat. Hazards Rev. 2006, 7, 72–81. [Google Scholar] [CrossRef]
- Cardona, O.D.; Ordaz, M.; Reinoso, E.; Yamín, L.E.; Barbat, A. CAPRA-comprehensive approach to probabilistic risk assessment: International initiative for risk management effectiveness. In Proceedings of the 15th World Conference of Earthquake Engineering, Lisbon, Portugal, 24–28 September 2012; Volume 1, pp. 4259–4268. [Google Scholar]
- Nicholas, J.; Holt, G.D.; Proverbs, D.G. Towards standardizing the assessment of flood damaged properties in the UK. Struct. Survey 2001, 19, 163–172. [Google Scholar] [CrossRef]
- Zhai, G.; Fukuzono, T.; Ikeda, S. Modeling flood damage: Case of Tokai Flood 2000. J. Am. Water Res. Assoc. 2005, 41, 77–92. [Google Scholar] [CrossRef]
- Su, M.D.; Kang, J.L.; Chang, L.F.; Chen, A.S. A grid-based GIS approach to regional flood damage assessment. J. Mar. Sci. Technol. 2005, 13, 184–192. [Google Scholar] [CrossRef]
- Ernst, J.; Dewals, B.; Archambeau, P.; Detrembleur, S.; Erpicum, S.; Pirotton, M. Integration of accurate 2D inundation modelling, vector land use database and economic damage evaluation. In Proceedings of the European Conference on Flood Risk Management—Floodrisk, Oxford, UK, 30 September–2 October 2008; Taylor & Francis: London, UK, 2008; pp. 1643–1653. [Google Scholar]
- Schwarz, J.; Maiwald, H. Damage and loss prediction model based on the vulnerability of building types. In Proceedings of the 4th International Symposium on Flood Defence: Managing Flood Risk, Reliability and Vulnerability, Toronto, ON, Canada, 6–8 May 2008; GFZ: Potsdam, Germany, 2008; pp. 1–9. [Google Scholar] [CrossRef]
- Belger, G.; Haase, M.; Jung, T.; Lippert, K. A GIS-based Platform for Environmental and Water Resources Modeling—Kalypso Open Source. GEO Inform. 2009, 12, 36–39. [Google Scholar]
- USACE. Flood Damage Reduction Analysis _HEC-FDA User’s Manual, Version 1.4.1; U.S. Army Corps of Engineers: Davis, CA, USA; Washington, DC, USA, 2016.
- Vozinaki, A.E.; Karatzas, G.P.; Sibetheros, I.A.; Varouchakis, E.A. An agricultural flash flood loss estimation methodology: The case study of the Koiliaris basin (Greece), February 2003 flood. Nat. Hazards 2015, 79, 899–920. [Google Scholar] [CrossRef]
- Dutta, D.; Herath, S.; Musiake, K. A mathematical model for flood loss estimation. J. Hydrol. 2003, 277, 24–49. [Google Scholar] [CrossRef]
- Tsakiris, G.; Pistrika, A.; Klampanos, I.; Laoupi, A.; Ioannidis, C.; Soile, S.; Georgopoulos, A. DISMA—Disaster Management GIS with emphasis on cultural sites—Technical Report—Volume I (unpublished); INTERREG IIIC—Sud Initiative and the Regional Operation Framework of NOE Programme; Centre for the Assessment of Natural Hazards and Proactive Planning, National Technical University of Athens: Athens, Greece, 2007. [Google Scholar]
- Evaluación de Riesgos Naturales-América Latina (ERN-AL). Central America Probabilistic Risk Assessment—CAPRA; World Bank and Inter-American Development Bank (IDB): Washington, DC, USA, 2008; Available online: https://ecapra.org/ (accessed on 12 January 2022).
- Kappes, M.S.; Keiler, M.; von Elverfeldt, K.; Glade, T. Challenges of analyzing multi-hazard risk: A review. Nat. Hazards 2012, 64, 1925–1958. [Google Scholar] [CrossRef]
- Marulanda, M.C.; Carreño, M.L.; Cardona, O.D.; Ordaz, M.; Barbat, A.H. Probabilistic Earthquake Risk Assessment Using CAPRA: Application to the City of Barcelona, Spain. Nat. Hazards 2013, 69, 59–84. [Google Scholar] [CrossRef]
- Torres, M.A.; Jaimes, M.A.; Reinoso, E.; Ordaz, M. Event-Based Approach for Probabilistic Flood Risk Assessment. Int. J. River Basin Manag. 2013, 12, 377–389. [Google Scholar] [CrossRef]
- IDB. Estimación de la Amenaza y el Riesgo Probabilista por Huracán en Guatemala, Incorporando el Impacto Asociado al Cambio Climático. (Technical Note IDB-TN-667); IDB: Madrid, Spain, 2014. (In Spanish) [Google Scholar]
- Cardona, O.D.; Bernal, G.A.; Ordaz, M.G.; Salgado-Gálvez, M.A.; Singh, S.K.; Mora, M.G.; Villegas, C.P. Update on the Probabilistic Modelling of Natural Risks at Global Level: Global Risk Model—Global Earthquake and Tropical Cyclone Hazard Assessment. Disaster Risk Assessment at Country Level for Earthquakes, Tropical Cyclones (Wind and Storm Surge), Floods, Tsunami and Volcanic Eruptions. Background Paper for GAR15. Barcelona/Bogotá; United Nations International Strategy for Disaster Risk Reduction (UNISDR): Geneva, Switzerland, 2015. [Google Scholar]
- Reinoso, E.; Ordaz, M.; Cardona, O.D.; Bernal, G.A.; Contreras-Zazuera, M. After 10 Years of CAPRA. Conference: 16th European Conference on Earthquake Engineering 16ECEEAt: Thessaloniki. 2018. Available online: http://papers.16ecee.org/files/Contribution%2012062.pdf (accessed on 3 May 2020).
- Toronto Region Conservation Authority (TRCA). Flood Risk Assessment and Ranking of Flood Vulnerable Clusters. 2019. Available online: https://conservationontario.ca/fileadmin/pdf/conservation_authorities_tech_transfer/TechTransfer2019_10_Plato_Flood_Risk_Assessment_and_Ranking.pdf (accessed on 18 March 2019).
- Bonell, J.L. Remembering the Don. In Reclaiming the Don: An Environmental History of Toronto’s Don River Valle; University of Toronto Press: Toronto, ON, Canada, 2014; pp. 173–188. [Google Scholar]
- Wateroffice. Daily Discharge Data for BLACK CREEK NEAR WESTON (02HC027). 2021. Available online: https://wateroffice.ec.gc.ca/report/historical_e.html?start_year=1850&end_year=2021&mean1=1&scale=normal&mode=Table&stn=02HC027&dataType=Daily¶meterType=Flow&year=2020&page=historical (accessed on 26 December 2021).
- Toronto Region Conservation Authority. Black Creek (Rockcliffe Area) Riverine Flood Management. Class Environmental Assessment; AMEC: Burlington, ON, Canada, 2014. [Google Scholar]
- IPCC. Climate Change 2013: The Physical Science Basis. Contribution of Working Group I to the Fifth Assessment Report of the Intergovernmental Panel on Climate Change; Cambridge University Press: Cambridge, UK, 2013. [Google Scholar] [CrossRef]
- Moss, R.H.; Edmonds, J.A.; Hibbard, K.A.; Manning, M.R.; Rose, S.K.; van Vuuren, D.P.; Carter, T.R.; Emori, S.; Kainuma, M.; Kram, T.; et al. The next generation of scenarios for climate change research and assessment. Nature 2010, 463, 747–756. [Google Scholar] [CrossRef]
- Ruiter, A. Delta-Change Approach for CMIP5 GMCs, Trainee Report at Royal Netherlands Meteorological Institute. 2012. Available online: http://bibliotheek.knmi.nl/stageverslagen (accessed on 22 February 2019).
- Evaluación de Riesgos Naturales-América Latina (ERN-AL). IT-NHRain User’s Manual. 2009. Available online: https://ecapra.org/topics/ern-nhrain (accessed on 21 May 2018).
- Hogg, W.D. Time distribution of short duration storm rainfall in Canada. In Proceedings of the Canadian Hydrology Symposium, Toronto, ON, Canada, 26–27 May 1980; National Research Council of Canada: Ottawa, ON, Canada, 1982; pp. 53–63. [Google Scholar]
- CIVICA. Final Report: Humber River Hydrology Update. 2018. Available online: https://trca.ca/app/uploads/2016/07/Humber-Hydrology-Update-Final-Report-v19.1.pdf (accessed on 15 June 2018).
- Vojtek, M.; Petroselli, A.; Vojteková, J.; Asgharinia, S. Flood inundation mapping in small and ungauged basins: Sensitivity analysis using the EBA4SUB and HEC-RAS modeling approach. Hydrol. Res. 2019, 50, 1002–1019. [Google Scholar] [CrossRef]
- Pellicani, R.; Parisi, A.; Lemmolo, G.; Apollonio, C. Economic Risk Evaluation in Urban Flooding and Instability-Prone Areas: The Case Study of San Giovanni Rotondo (Southern Italy). Geosciences 2018, 8, 112. [Google Scholar] [CrossRef]
- Nicklin, H.; Leicher, A.M.; Dieperink, C.; Van Leeuwen, K. Understanding the costs of inaction–an assessment of pluvial flood damages in two European cities. Water 2019, 11, 801. [Google Scholar] [CrossRef]
- Van Ackere, S. Flood Impact Assessment Tool (FLIAT) An Object-Relational GIS Tool for Flood Impact Assessment in Flanders, Belgium. Ph.D. Thesis, Department of Geography, Faculty of Science, Ghent University, Ghent, Belgium, 2019. [Google Scholar]
- Habermann, N.; Hedel, R. Damage functions for transport infrastructure. Int. J. Disaster Resil. Built Environ. 2018, 9, 420–434. [Google Scholar] [CrossRef]
- Associated Programme on Flood Management. Risk Management for Flood. What Are the Negative Social Impacts of Flooding? Available online: https://www.floodmanagement.info/what-are-the-negative-social-impacts-of-flooding/2013 (accessed on 24 July 2018).
- Statistics Canada. Census Tracts. 2016. Available online: http://www12.statcan.gc.ca/census-recensement/2011/geo/bound-limit/bound-limit-2016-eng.cfm (accessed on 5 February 2018).
- Kron, W. Flood Risk = Hazard • Values • Vulnerability. Water Int. 2005, 30, 58–68. [Google Scholar] [CrossRef]
- Natural Resources Canada. Canadian Guidelines and Database of Flood Vulnerability Functions; Canadian Floodplain Mapping Guidelines Series; Natural Resources Canada: Ottawa, ON, Canada, 2017.
- Rufat, S.; Tate, E.; Burton, C.G.; Maroof, A.S. Social vulnerability to floods: Review of case studies and implications for measurement. Int. J. Disaster Risk Reduct. 2015, 14, 470–486. [Google Scholar] [CrossRef]
- Rincón, D.; Khan, U.T.; Armenakis, C. Flood risk mapping using GIS and multi-criteria analysis: A greater Toronto area case study. Geosciences 2018, 8, 275. [Google Scholar] [CrossRef]
- Yamin, L.E.; Hurtado, A.I.; Barbat, A.H.; Cardona, O.D. Seismic and wind vulnerability assessment for the GAR-13 global risk assessment. Int. J. Disaster Risk Reduct. 2014, 10, 452–460. [Google Scholar] [CrossRef]
- Peduzzi, P.; Dao, H.; Herold, C.; Mouton, F. Assessing global exposure and vulnerability towards natural hazards: The Disaster Risk Index. Nat. Hazards Earth Syst. 2009, 9, 1149–1159. [Google Scholar] [CrossRef]
- Samuels, P.; Gouldby, B. Language of Risk—Project Definitions. T32-04-01, 2nd ed.; Integrated Flood Risk Analysis and Management Methodologies, FLOODsite; 2009; Available online: http://floodsite.net/html/partner_area/project_docs (accessed on 20 January 2019).
- Cardona, D.O.; van Aalst, M.K.; Birkmann, J.; Fordham, M.; McGregor, G.; Perez, R.; Pulwarty, R.S.; Schipper, E.L.F.; Sinh, B.T. Determinants of risk: Exposure and vulnerability. In Managing the Risks of Extreme Events and Disasters to Advance Climate Change Adaptation; Field, C.B., Barros, T.F.V., Stocker, D., Qin, D.J., Dokken, K.L., Ebi, M.D., Mastrandrea, K.J., Mach, G.-K., Plattner, S.K., Allen, M., et al., Eds.; A Special Report of Working Groups I and II of the Intergovernmental Panel on Climate Change (IPCC); Cambridge University Press: Cambridge, UK; New York, NY, USA, 2012; pp. 65–108. [Google Scholar]
- León, N. Implementación de los Programas HEC-HMS y HEC-RAS en la Plataforma CAPRA Para Evaluación de Riesgo Por Inundación. Ph.D. Thesis, Departamento de Ingeniería Civil y Ambiental, Universidad de Los Andes, Bogotá, Colombia, 2014. [Google Scholar]




















| Method | Source | Location | Economic Impacts | Social Impacts | Software | Hydrological Hydraulic Model |
|---|---|---|---|---|---|---|
| Flood Loss Estimation Model (FLEMO) | [8] | Germany | Buildings (Deterministic) | No | No | No |
| FloodCalc | [9,10] | Germany | Buildings (Probabilistic, Expected Annual Damage) | Yes (Annual average affected population, probability of social hot spots) | Yes (Open source) | No |
| In-depth Synthetic Model for Flood Damage Estimation (INSYDE) | [11] | Italy | Buildings (Deterministic) | No | No | No |
| Strategies of Urban Flood Risk Management (SUFRI) | [12] | Europe | Buildings (Probabilistic Expected Annual Damage) | Yes (Potential fatalities) | No | No |
| Towards standardizing the assessment of flood-damaged properties in the UK | [18] | UK | Buildings (Deterministic) | No | No | No |
| Doughnut Structure Model | [19] | Japan | Buildings (Deterministic) | No | No | No |
| A Grid-Based GIS Approach to Regional Flood Damage Assessment | [20] | Taiwan | Buildings (Probabilistic, Expected Annual Damage) | No | No | Hydrological: HEC-1 Hydraulic: 1D dynamic channel flow routing, 2D overland-flow routing |
| Decision Support System (DSS) combined with cost-benefit and multi-criteria analysis | [21] | Belgium | Buildings (Deterministic) | No | No | Hydrological: No Hydraulic: WOLF 2D |
| Vulnerability of building types | [22] | Germany | Buildings (Deterministic) | No | No | No |
| Kalypso | [23] | Germany | Buildings (Probabilistic, Expected Annual Damage) | No | Yes (Open source) | Hydrological: Kalypso Hydrology Hydraulic: Kalypso WSPM Kalypso 1D/2D |
| Hydrologic Engineering Center—Flood Damage Reduction Analysis (HEC-FDA) | [24] | US | Buildings (Probabilistic, Expected Annual Damage, Equivalent Annual Damages, Annual Exceedance Probability) | No | Yes (Not open source) | Hydrological: HEC-HMS Hydraulic: HEC-RAS |
| RiskScape | [13] | New Zealand | Buildings (Deterministic) | Yes (Fatalities, injuries) | Yes (Open source) | No |
| Agricultural flash flood | [25] | Greece | Agriculture (Deterministic) | No | No | Hydrological: No Hydraulic: MIKE FLOOD |
| Mathematical Model for flood loss estimation | [26] | Japan | Buildings, Agriculture (Deterministic) | No | No | Hydrological: Yes Hydraulic: 1D and 2D |
| Hazus-MH Flood Model | [16] | US | Buildings, Agriculture (Probabilistic, Expected Annual Damage) | Yes (Fatalities, shelter) | Yes (Not open source) | Hydrological/ Hydraulic: HAZUZ-MH |
| LATIS | [14] | Belgium | Buildings, Agriculture (Probabilistic, Expected Annual Damage) | Yes (Fatalities) | Yes (Not open source) | No |
| GIS-based tool for flood direct damage | [27] | Greece | Buildings, Agriculture (Deterministic) | No | Yes (Not open source) | No |
| Hydrologic Engineering Center—Flood Impact Analysis (HEC-FIA) | [15] | US | Buildings, Agriculture (Deterministic) | Yes (Fatalities) | Yes (Not open source) | No |
| CAPRA | [17] | Central America | Buildings, Agriculture (Probabilistic, Expected Annual Damage, Probable Maximum Loss, Loss curve) | Yes (Fatalities) | Yes (Open source) | Hydrological: HEC-HMS Hydraulic: HEC-RAS |
| Category | Subcategory | Specification | ID | Value ($/m2) |
|---|---|---|---|---|
| Non-residential | Office buildings | 5 floors or less (with surface parking) | S1 | 2314 |
| Industrial | 28′ Clear height (20,000–50,000 sq. ft.) | S2 | 1022 | |
| Residential | House Class A—two floors | High-quality construction materials and finishes | A2S | 4198 |
| House Class B—two floors | Medium-quality construction materials and finishes | B2S | ||
| House Class C—two floors | Low-quality construction materials and finishes | C2S | ||
| Apartment up to four floors | High-quality | AP4 | ||
| Apartment from five floors | High-quality | AP5 |
| Building’s ID | Exposed Area | Exposed Value | Exposed People | |||
|---|---|---|---|---|---|---|
| m2 | % | ($) | % | # of People | % | |
| A2S | 41,489 | 8.7 | 174,190,106 | 11.5 | 119 | 5.2 |
| B2S | 116,039 | 24.2 | 487,133,836 | 32.2 | 584 | 25.7 |
| C2S | 63,499 | 13.2 | 266,577,763 | 17.6 | 252 | 11.1 |
| S1 | 34,655 | 7.2 | 80,222,569 | 5.3 | 131 | 5.8 |
| S2 | 136,137 | 28.4 | 139,283,066 | 9.2 | 586 | 25.7 |
| AP4 | 20,828 | 4.3 | 87,470,653 | 5.8 | 66 | 2.9 |
| AP5 | 66,702 | 13.9 | 280,006,743 | 18.5 | 539 | 23.6 |
| Total | 479,349 | 100 | 1,514,884,735 | 100 | 2277 | 100 |
| ID | Scenario | Time Period | Peak Flow (m3/s) | Expected Loss ($) | Area Affected (m2) | People Affected |
|---|---|---|---|---|---|---|
| 155 | Historic | 1960–1989 | 163.8 | 53,489,348 | 125,769 | 517 |
| 163 | RCP 8.5 | 2020–2049 | 234.9 | 71,568,513 | 149,243 | 617 |
| 155 | 2040–2069 | 185.4 | 50,979,159 | 122,918 | 504 | |
| 175 | 2070–2079 | 348.3 | 88,327,427 | 170,360 | 705 |
Publisher’s Note: MDPI stays neutral with regard to jurisdictional claims in published maps and institutional affiliations. |
© 2022 by the authors. Licensee MDPI, Basel, Switzerland. This article is an open access article distributed under the terms and conditions of the Creative Commons Attribution (CC BY) license (https://creativecommons.org/licenses/by/4.0/).
Share and Cite
Rincón, D.; Velandia, J.F.; Tsanis, I.; Khan, U.T. Stochastic Flood Risk Assessment under Climate Change Scenarios for Toronto, Canada Using CAPRA. Water 2022, 14, 227. https://doi.org/10.3390/w14020227
Rincón D, Velandia JF, Tsanis I, Khan UT. Stochastic Flood Risk Assessment under Climate Change Scenarios for Toronto, Canada Using CAPRA. Water. 2022; 14(2):227. https://doi.org/10.3390/w14020227
Chicago/Turabian StyleRincón, Daniela, Juan Felipe Velandia, Ioannis Tsanis, and Usman T. Khan. 2022. "Stochastic Flood Risk Assessment under Climate Change Scenarios for Toronto, Canada Using CAPRA" Water 14, no. 2: 227. https://doi.org/10.3390/w14020227
APA StyleRincón, D., Velandia, J. F., Tsanis, I., & Khan, U. T. (2022). Stochastic Flood Risk Assessment under Climate Change Scenarios for Toronto, Canada Using CAPRA. Water, 14(2), 227. https://doi.org/10.3390/w14020227
