Calibration and Evaluation of Empirical Methods to Estimate Reference Crop Evapotranspiration in West Texas
Abstract
1. Introduction
2. Study Area and Data Used
2.1. West Texas Mesonet
2.2. Parameter-Elevation Relationships on Independent Slopes Model
3. Materials and Methods
3.1. FAO Penman-Monteith Equation
3.2. Empirical Methods
- Hargreaves and Samani (HS):
- Valiantzas (VA):
- Monthly Hargreaves and Samani (MHSA):
- Priestley-Taylor (PT):
- Makkink (MA):
- Stephens-Stewart (SS):
3.3. Evaluation Procedure
4. Results and Discussion
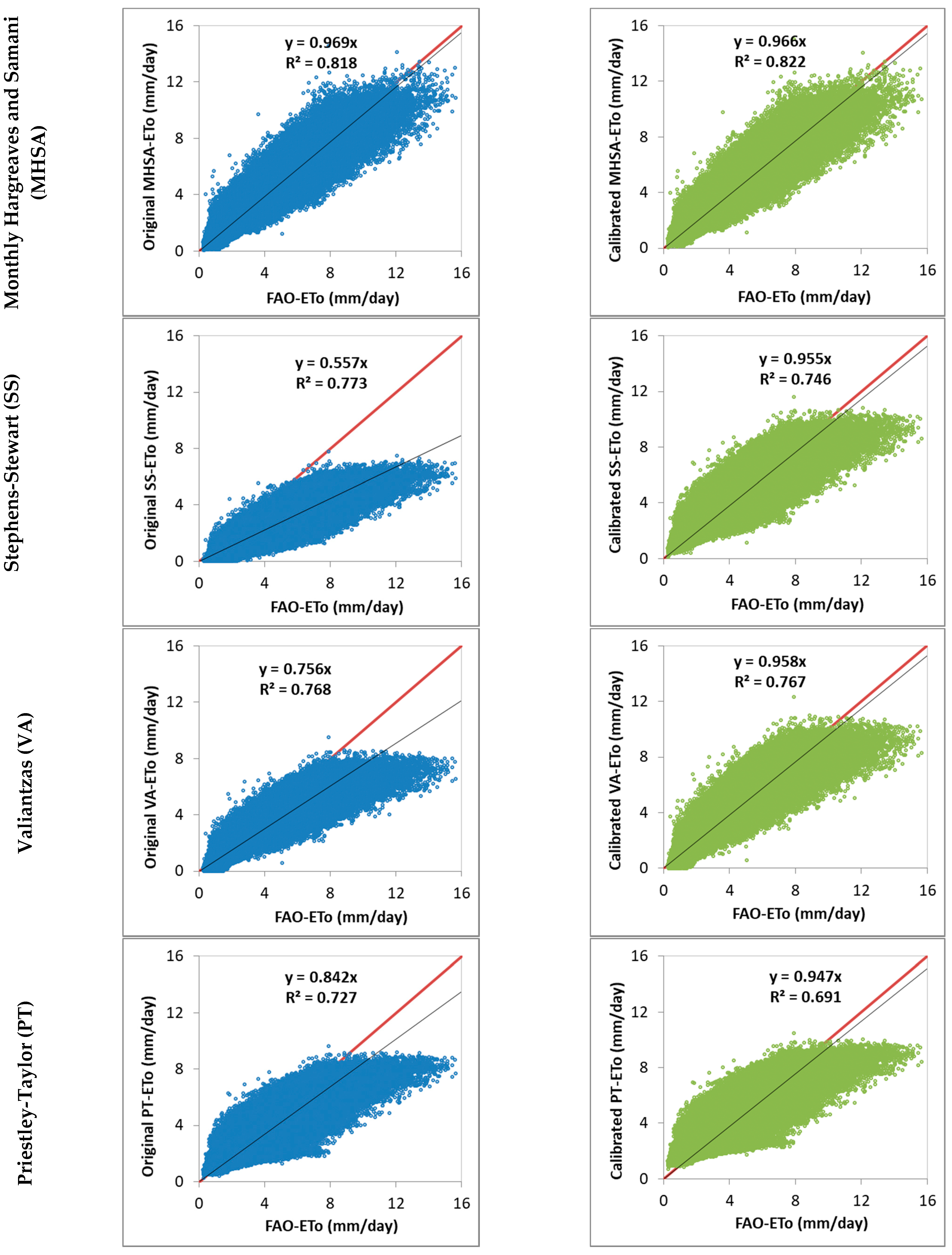
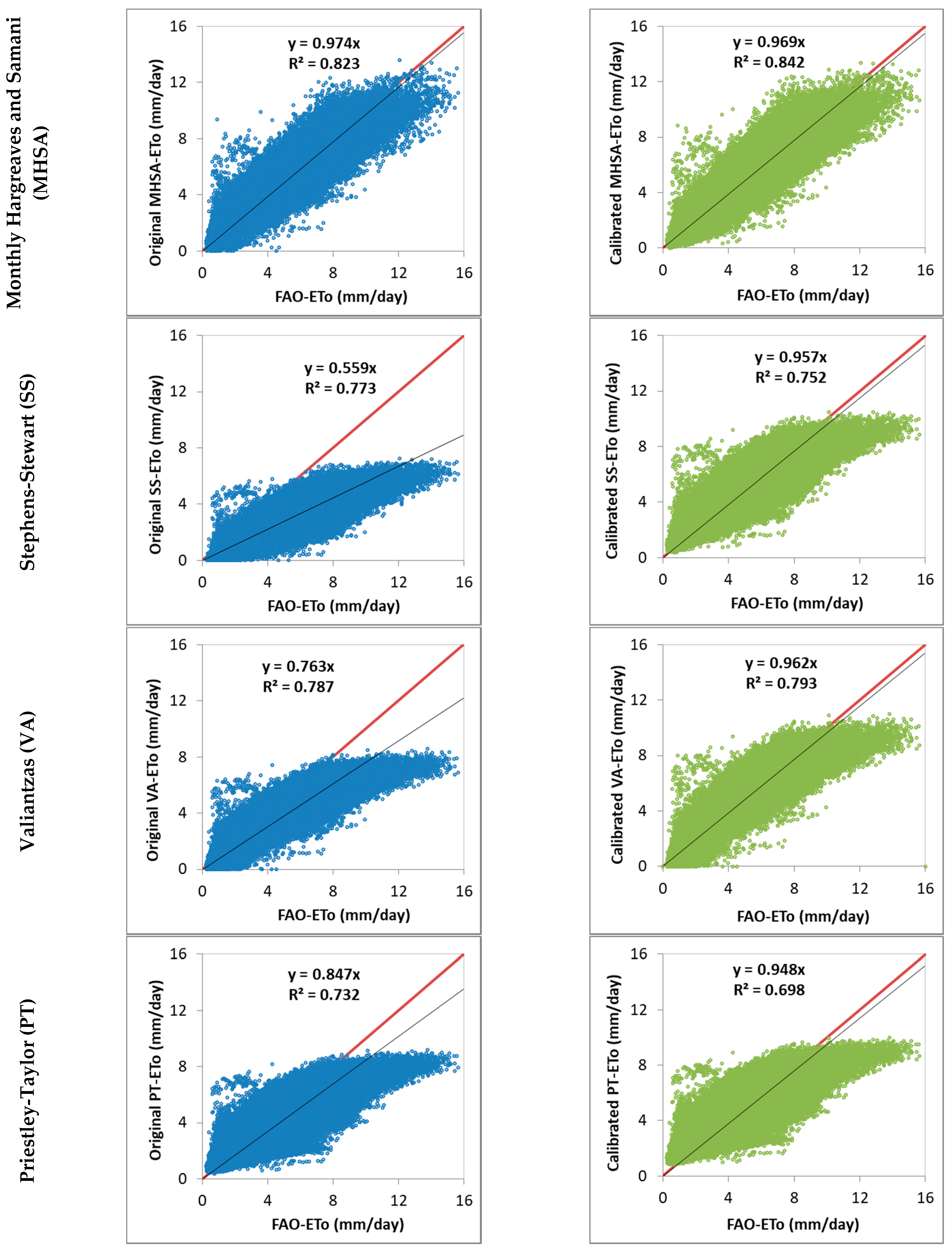
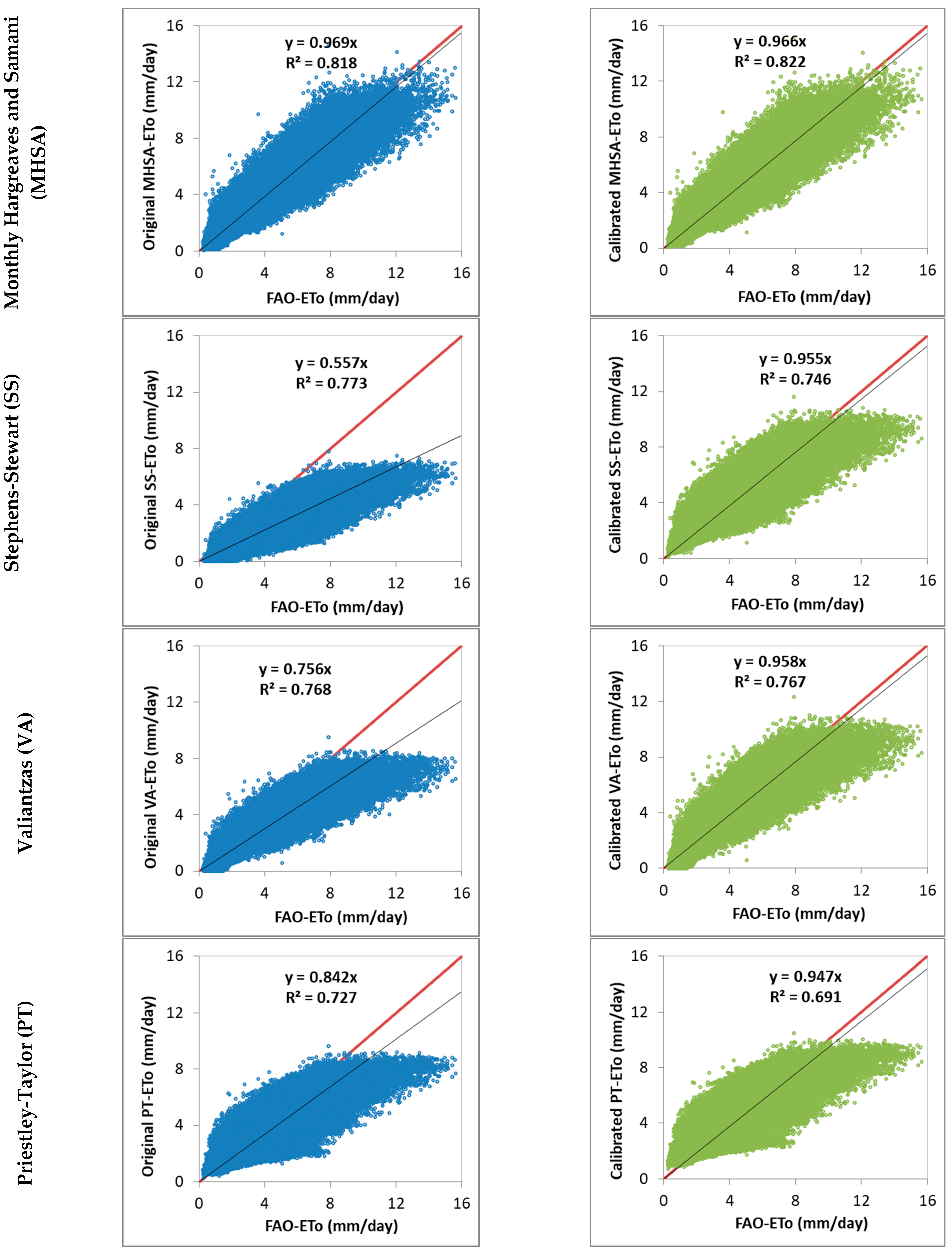
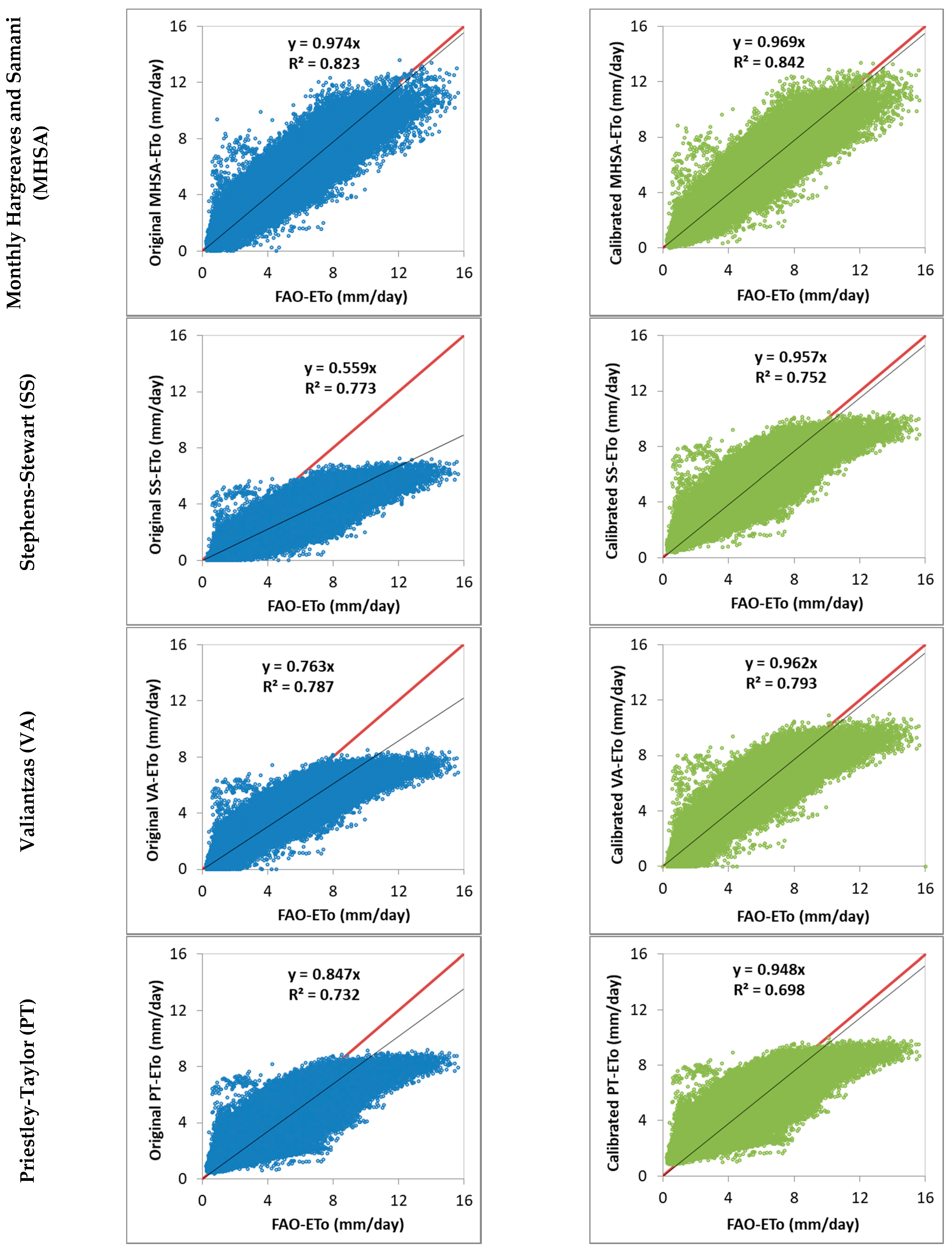
4.1. Results
- Parameter calibration of HS equation resulted in lower coefficient “a” (0.0014 with WTM and 0.0008 with PRISM) and higher coefficients “b” (23.78 with WTM and 24.43 with PRISM) and “c” (0.69 with WTM and 0.88 with PRISM) than the original values (a = 0.0023, b = 17.8, and c = 0.5),
- Calibrated values of VA, PT, and MA methods are higher than their original parameters using both WTM and PRISM datasets, and
- The value of the “b” coefficient of the SS equation changed remarkably after calibration.
4.2. Discussion
5. Conclusions
Author Contributions
Funding
Data Availability Statement
Acknowledgments
Conflicts of Interest
References
- Texas Water Development Board (TWDB). 2022 State Water Plan—Water for Texas. 2021. Available online: https://www.twdb.texas.gov/waterplanning/swp/2022/docs/SWP22-Water-For-Texas.pdf (accessed on 12 July 2022).
- USDA-NASS. 2017 Census of Agriculture, 2018 Irrigation and Water Management Survey; Special Studies, Part 1. AC-17-SS-1; USDA-NASS: Washington, DC, USA, 2019; Volume 3. Available online: https://www.nass.usda.gov/Publications/AgCensus/2017/Online_Resources/Farm_and_Ranch_Irrigation_Survey/fris.pdf (accessed on 21 December 2021).
- Wagner, K. EM-115 Status and Trends of Irrigated Agriculture in Texas, Texas Water Resources Institute. 2012. Available online: https://twri.tamu.edu/publications/educational-materials/2012-educational-materials/em-115/ (accessed on 21 December 2021).
- Awal, R.; Fares, A.; Habibi, H. Irrigation Scheduling Tools: IrrigWise and IrrigWise_PRISM for Agricultural Crops and Urban Landscapes. In Proceedings of the 6th Decennial National Irrigation Symposium, San Diego, CA, USA, 6–8 December 2021. [Google Scholar] [CrossRef]
- Lima, F.A.; Martínez-Romero, A.; Tarjuelo, J.M.; Córcoles, J.I. Model for management of an on-demand irrigation network based on irrigation scheduling of crops to minimize energy use (Part I): Model Development. Agric. Water Manag. 2018, 210, 49–58. [Google Scholar] [CrossRef]
- George, B.A. Technical Manual for “Crop Water Requirements and Irrigation Scheduling”. 2017. Available online: https://hdl.handle.net/20.500.11766/6406 (accessed on 20 December 2021).
- Fernández, J.E.; Cuevas, M.V. Irrigation scheduling from stem diameter variations: A review. Agric. For. Meteorol. 2010, 150, 135–151. [Google Scholar] [CrossRef]
- Awal, R.; Fares, A.; Habibi, H. Optimum turf grass irrigation requirements and corresponding water-energy-CO2 Nexus across Harris County, Texas. Sustainability 2019, 11, 1440. [Google Scholar] [CrossRef]
- Allen, R.G.; Pereira, L.S.; Raes, D.; Smith, M. Crop evapotranspiration-Guidelines for computing crop water requirements-FAO Irrigation and drainage paper 56. FAO Rome 1998, 300, D05109. [Google Scholar]
- Hargreaves, G.H.; Samani, Z.A. Reference crop evapotranspiration from temperature. Appl. Eng. Agric. 1985, 1, 96–99. [Google Scholar] [CrossRef]
- Valiantzas, J.D. Simple ET0 forms of Penman’s equation without wind and/or humidity data. I: Theoretical development. J. Irrig. Drain. Eng. 2013, 139, 1–8. [Google Scholar] [CrossRef]
- Priestley, C.H.B.; Taylor, R.J. On the assessment of surface heat flux and evaporation using large-scale parameters. Mon. Weather Rev. 1972, 100, 81–92. [Google Scholar] [CrossRef]
- McGuinness, J.L.; Bordne, E.F. A Comparison of Lysimeter-Derived Potential Evapotranspiration with Computed Values; US Department of Agriculture: Washington, DC, USA, 1972.
- Makkink, G.F. Testing the Penman formula by means of lysimeters. J. Inst. Water Eng. 1957, 11, 277–288. [Google Scholar]
- Awal, R.; Habibi, H.; Fares, A.; Deb, S. Estimating reference crop evapotranspiration under limited climate data in West Texas. J. Hydrol. Reg. Stud. 2020, 28, 100677. [Google Scholar] [CrossRef]
- Liu, X.; Xu, C.; Zhong, X.; Li, Y.; Yuan, X.; Cao, J. Comparison of 16 models for reference crop evapotranspiration against weighing lysimeter measurement. Agric. Water Manag. 2017, 184, 145–155. [Google Scholar] [CrossRef]
- Valipour, M.; Montazar, A.A. Optimize of all effective infiltration parameters in furrow irrigation using visual basic and genetic algorithm programming. Aust. J. Basic Appl. Sci. 2012, 6, 132–137. [Google Scholar]
- Cai, J.; Liu, Y.; Lei, T.; Pereira, L.S. Estimating reference evapotranspiration with the FAO Penman–Monteith equation using daily weather forecast messages. Agric. For. Meteorol. 2007, 145, 22–35. [Google Scholar] [CrossRef]
- Chiew, F.H.S.; Kamaladasa, N.N.; Malano, H.M.; McMahon, T.A. Penman-Monteith, FAO-24 reference crop evapotranspiration and class-A pan data in Australia. Agric. Water Manag. 1995, 28, 9–21. [Google Scholar] [CrossRef]
- Hssaine, B.A.; Merlin, O.; Rafi, Z.; Ezzahar, J.; Jarlan, L.; Khabba, S.; Er-Raki, S. Calibrating an evapotranspiration model using radiometric surface temperature, vegetation cover fraction and near-surface soil moisture data. Agric. For. Meteorol. 2018, 256, 104–115. [Google Scholar] [CrossRef]
- Srivastava, A.; Sahoo, B.; Raghuwanshi, N.S.; Chatterjee, C. Modelling the dynamics of evapotranspiration using Variable Infiltration Capacity model and regionally calibrated Hargreaves approach. Irrig. Sci. 2018, 36, 289–300. [Google Scholar] [CrossRef]
- Trajkovic, S. Temperature-based approaches for estimating reference evapotranspiration. J. Irrig. Drain. Eng. 2005, 131, 316–323. [Google Scholar] [CrossRef]
- Yin, Y.; Wu, S.; Zheng, D.; Yang, Q. Radiation calibration of FAO56 Penman–Monteith model to estimate reference crop evapotranspiration in China. Agric. Water Manag. 2008, 95, 77–84. [Google Scholar] [CrossRef]
- TWDB. Water for Texas. 2012. State Water Plan. 2012. Available online: http://www.twdb.texas.gov/publications/state_water_plan/2012/2012_SW.P.pdf (accessed on 21 December 2021).
- Schroeder, J.L.; Burgett, W.S.; Haynie, K.B.; Sonmez, I.; Skwira, G.D.; Doggett, A.L.; Lipe, J.W. The West Texas mesonet: A technical overview. J. Atmos. Ocean. Technol. 2005, 22, 211–222. [Google Scholar] [CrossRef]
- PRISM Climate Group, Oregon State University. Available online: https://prism.oregonstate.edu (accessed on 21 December 2021).
- Hargreaves, G.H.; Samani, Z.A. Estimating potential evapotranspiration. J. Irrig. Drain. Div. 1982, 108, 225–230. [Google Scholar] [CrossRef]
- Baty, F.; Ritz, C.; Charles, S.; Brutsche, M.; Flandrois, J.-P.; Delignette-Muller, M.-L. A toolbox for nonlinear regression in R: The package nlstools. J. Stat. Softw. 2015, 66, 1–21. [Google Scholar] [CrossRef]
- Hargreaves, G.H.; Allen, R.G. History and evaluation of Hargreaves evapotranspiration equation. J. Irrig. Drain. Eng. 2003, 129, 53–63. [Google Scholar] [CrossRef]
- Valero, J.F.M.; Álvarez, V.M.; Real, M.M.G. Regionalization of the Hargreaves coefficient to estimate long-term reference evapotranspiration series in SE Spain. Span. J. Agric. Res. 2013, 11, 1137–1152. [Google Scholar] [CrossRef]
- Berengena, J.; Gavilán, P. Reference evapotranspiration estimation in a highly advective semiarid environment. J. Irrig. Drain. Eng. 2005, 131, 147–163. [Google Scholar] [CrossRef]
- Ahooghalandari, M.; Khiadani, M.; Jahromi, M.E. Calibration of Valiantzas’ reference evapotranspiration equations for the Pilbara region, Western Australia. Theor. Appl. Climatol. 2017, 128, 845–856. [Google Scholar] [CrossRef]
- Rahimikhoob, A.; Behbahani, M.R.; Fakheri, J. An evaluation of four reference evapotranspiration models in a subtropical climate. Water Resour. Manag. 2012, 26, 2867–2881. [Google Scholar] [CrossRef]
- Feng, Y.; Jia, Y.; Cui, N.; Zhao, L.; Li, C.; Gong, D. Calibration of Hargreaves model for reference evapotranspiration estimation in Sichuan basin of southwest China. Agric. Water Manag. 2017, 181, 1–9. [Google Scholar] [CrossRef]
- Gao, F.; Feng, G.; Ouyang, Y.; Wang, H.; Fisher, D.; Adeli, A.; Jenkins, J. Evaluation of reference evapotranspiration methods in arid, semiarid, and humid regions. JAWRA J. Am. Water Resour. Assoc. 2017, 53, 791–808. [Google Scholar] [CrossRef]
- Martınez-Cob, A.; Tejero-Juste, M. A wind-based qualitative calibration of the Hargreaves ET0 estimation equation in semiarid regions. Agric. Water Manag. 2004, 64, 251–264. [Google Scholar] [CrossRef]
- George, B.A.; Reddy, B.R.S.; Raghuwanshi, N.S.; Wallender, W.W. Decision support system for estimating reference evapotranspiration. J. Irrig. Drain. Eng. 2002, 128, 1–10. [Google Scholar] [CrossRef]
- Tabari, H. Evaluation of reference crop evapotranspiration equations in various climates. Water Resour. Manag. 2010, 24, 2311–2337. [Google Scholar] [CrossRef]
- Nandagiri, L.; Kovoor, G.M. Performance evaluation of reference evapotranspiration equations across a range of Indian climates. J. Irrig. Drain. Eng. 2006, 132, 238–249. [Google Scholar] [CrossRef]
- Arasteh, P.D.; Tajrishy, M. Calibrating Priestley-Taylor model to estimate open water evaporation under regional advection using volume balance method-case study: Chahnimeh reservoir, Iran. J. Appl. Sci. 2008, 8, 4097–4104. [Google Scholar] [CrossRef]
- Fisher, J.B.; DeBiase, T.A.; Qi, Y.; Xu, M.; Goldstein, A.H. Evapotranspiration models compared on a Sierra Nevada forest ecosystem. Environ. Model. Softw. 2005, 20, 783–796. [Google Scholar] [CrossRef]
- Júnior, L.C.G.V.; Ventura, T.M.; Gomes, R.S.R.; de Nogueira, J.S.; de Lobo, F.A.; Vourlitis, G.L.; Rodrigues, T.R. Comparative assessment of modelled and empirical reference evapotranspiration methods for a Brazilian savanna. Agric. Water Manag. 2020, 232, 106040. [Google Scholar] [CrossRef]
- Xu, C.-Y.; Singh, V.P. Cross comparison of empirical equations for calculating potential evapotranspiration with data from Switzerland. Water Resour. Manag. 2002, 16, 197–219. [Google Scholar] [CrossRef]
- Sharafi, S.; Ghaleni, M.M. Calibration of empirical equations for estimating reference evapotranspiration in different climates of Iran. Theor. Appl. Climatol. 2021, 145, 925–939. [Google Scholar] [CrossRef]
- Meyer, S.J.; Hubbard, K.G.; Wilhite, D.A. Estimating potential evapotranspiration: The effect of random and systematic errors. Agric. For. Meteorol. 1989, 46, 285–296. [Google Scholar] [CrossRef]
- Xystrakis, F.; Matzarakis, A. Evaluation of 13 empirical reference potential evapotranspiration equations on the island of Crete in southern Greece. J. Irrig. Drain. Eng. 2011, 137, 211–222. [Google Scholar] [CrossRef]










| Representative Equation | Parameter Values | |||
|---|---|---|---|---|
| Month | Original | Calibrated | ||
| WTM Data | PRISM Data | |||
| Hargreaves and Samani (HS) | - | a = 0.0023 b = 17.8 c = 0.50 | a = 0.0014 b = 23.78 c = 0.69 | a = 0.0008 b = 24.43 c = 0.88 |
| Valiantzas (VA) | - | a = 0.0393 b = 0.19 c = 0.0037 | a = 0.0457 b = 0.30 c = 0.0076 | a = 0.0446 b = 0.3458 c = 0.0089 |
| Priestley-Taylor (PT) | - | a = 1.26 b = 0 | a = 1.314 b = 0.42 | a = 1.314 b = 0.394 |
| Makkink (MA) | - | a = 0.61 b = 0.12 | a = 0.98 b = 0.32 | a = 0.991 b = 0.423 |
| Stephens-Stewart (SS) | - | a = 0.0148 b = 0.07 | a = 0.0142 b = 0.36 | a = 0.0135 b = 0.3710 |
| Monthly Hargreaves and Samani (MHSA) | Jan | a = 0.0051 b = 10.26 c = 0.5069 | a = 0.0041 b = 11.02 c = 0.564 | a = 0.0015 b = 14.780 c = 0.8500 |
| Feb | a = 0.0045 b = 11.36 c = 0.4934 | a = 0.0047 b = 11.500 c = 0.4670 | a = 0.0014 b = 16.390 c = 0.8000 | |
| Mar | a = 0.0034 b = 12.05 c = 0.5325 | a = 0.0033 b = 11.790 c = 0.550 | a = 0.0014 b = 16.490 c = 0.7700 | |
| Apr | a = 0.0038 b = 9.227 c = 0.5161 | a = 0.0035 b = 9.0410 c = 0.5410 | a = 0.0013 b = 15.870 c = 0.8200 | |
| May | a = 0.0034 b = 2.955 c = 0.5913 | a = 0.0031 b = 2.6540 c = 0.6260 | a = 0.0014 b = 6.9200 c = 0.8400 | |
| Jun | a = 0.0069 b = −7.604 c = 0.4730 | a = 0.0063 b = −7.379 c = 0.4970 | a = 0.00315 b = −4.0770 c = 0.6900 | |
| Jul | a = 0.0058 b = −6.306 c = 0.4723 | a = 0.0057 b = −7.049 c = 0.4890 | a = 0.0037 b = −4.343 c = 0.60 | |
| Aug | a = 0.0061 b = −5.496 c = 0.4376 | a = 0.0065 b = −5.553 c = 0.6140 | a = 0.0036 b = −2.504 c = 0.580 | |
| Sep | a = 0.0030 b = 3.159 c = 0.5939 | a = 0.0030 b = 2.0110 c = 0.6060 | a = 0.00187 b = 4.928 c = 0.74 | |
| Oct | a = 0.0038 b = 8.628 c = 0.4913 | a = 0.0036 b = 8.5560 c = 0.5120 | a = 0.00162 b = 13.780 c = 0.720 | |
| Nov | a = 0.0047 b = 13.87 c = 0.4126 | a = 0.0040 b = 14.100 c = 0.4580 | a = 0.0012 b = 23.04 c = 0.77 | |
| Dec | a = 0.0035 b = 11.51 c = 0.5958 | a = 0.0035 b = 11.840 c = 0.5930 | a = 0.00128 b = 16.95 c = 0.86 | |
Publisher’s Note: MDPI stays neutral with regard to jurisdictional claims in published maps and institutional affiliations. |
© 2022 by the authors. Licensee MDPI, Basel, Switzerland. This article is an open access article distributed under the terms and conditions of the Creative Commons Attribution (CC BY) license (https://creativecommons.org/licenses/by/4.0/).
Share and Cite
Awal, R.; Rahman, A.; Fares, A.; Habibi, H. Calibration and Evaluation of Empirical Methods to Estimate Reference Crop Evapotranspiration in West Texas. Water 2022, 14, 3032. https://doi.org/10.3390/w14193032
Awal R, Rahman A, Fares A, Habibi H. Calibration and Evaluation of Empirical Methods to Estimate Reference Crop Evapotranspiration in West Texas. Water. 2022; 14(19):3032. https://doi.org/10.3390/w14193032
Chicago/Turabian StyleAwal, Ripendra, Atikur Rahman, Ali Fares, and Hamideh Habibi. 2022. "Calibration and Evaluation of Empirical Methods to Estimate Reference Crop Evapotranspiration in West Texas" Water 14, no. 19: 3032. https://doi.org/10.3390/w14193032
APA StyleAwal, R., Rahman, A., Fares, A., & Habibi, H. (2022). Calibration and Evaluation of Empirical Methods to Estimate Reference Crop Evapotranspiration in West Texas. Water, 14(19), 3032. https://doi.org/10.3390/w14193032

