Investigation on the Impact of Different Absorber Materials in Solar Still Using CFD Simulation—Economic and Environmental Analysis
Abstract
:1. Introduction
2. Model Description
2.1. Physical Model
2.2. Mathematical Model
2.3. Exergy Analysis
2.4. The Cost of One Litre of Distilled Water
2.5. Exergo-Economic Analysis
2.6. CO2 Reduction
2.7. Enviroeconomic Analysis
3. Numerical Simulation
3.1. Model Design
3.2. Simulation Method and Boundary Conditions
4. Result and Discussion
4.1. The Components of the Solar Still
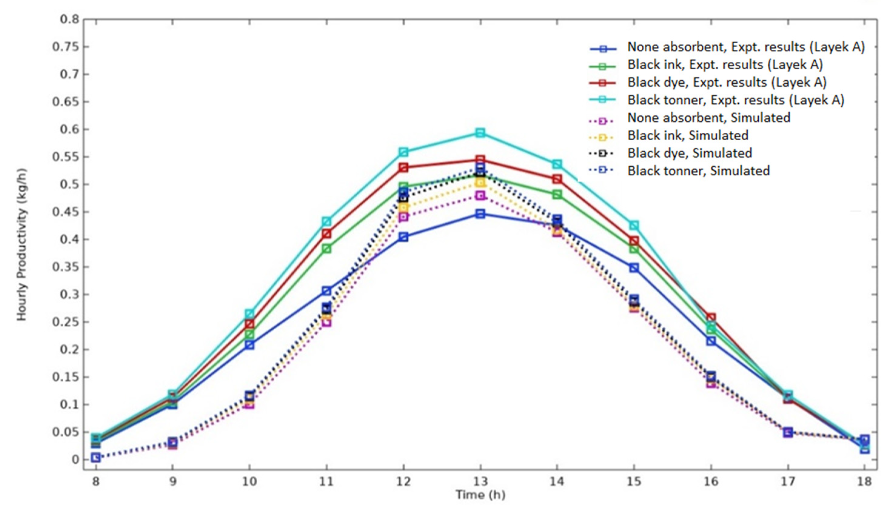
4.2. Parametric Study for Different Absorber Materials
4.3. Environmental and Exergoeconomic Parameters
5. Conclusions
- The rise in productivity of the solar still due to the use of absorber materials black ink, black dye, and black toner is validated by means of computational fluid dynamics using COMSOL® Multiphysics software.
- The highest energy and exergy production occurred in the solar still using black toner, which is about 785 kWh and 49.8 kWh, respectively. Note that this energy and exergy production is 26.9% and 27.0%, respectively, higher than that of a conventional solar still.
- The radiation model in COMSOL® Multiphysics software can be applied to a solar still geometry to analyze its performance throughout the day.
- The lowest CPL of the solar still was obtained using black toner, which was about 0.0066 USD/L.
- Effective emissivity applied to the solar still inner walls can be used as a controlling parameter to consider the absorptivity of the water mixture.
- The CO2 mitigation and enviroeconomic parameter of the solar still using black toner were equal to 31.4 tons and 455.3 USD, respectively.
- The use of black toner as an absorbing material in the solar still caused the highest improvement in productivity, with maximum value in [12] increased by 32.88% while that in the simulation increased by 10.52%. Similarly, maximum values of exergy of evaporation and heat transfer coefficient are increased in [12] by 41.48% and 32.65%, respectively, while that for the simulation shows augmentation by 13.68% and 5.37%, respectively.
Author Contributions
Funding
Data Availability Statement
Acknowledgments
Conflicts of Interest
Nomenclature
| surface area of body i (m2) | |
| specific heat capacity at constant pressure of air (J/(kg·K))) | |
| specific heat capacity at constant pressure of vapor (J/(kg·K))) | |
| vapor saturation concentration (mol/m3) | |
| vapor concentration (mol/m3) | |
| D | vapor diffusion coefficient in air (m2/s) |
| exergy of evaporation transferred from water to glass cover (W) | |
| exergy generation in system (W) | |
| view factor from surface i intercepted by surface j | |
| G | moisture source or sink (kg/(m3⋅s)) |
| vapor flux by diffusion (kg/(m2·s)) | |
| convective heat transfer coefficient of water (W/m2·K) | |
| evaporative heat transfer coefficient of water | |
| total radiative flux leaving from surface i and surface j (W/m2) | |
| latent heat of vaporization of water (J/kg) | |
| hourly distilled water yield of the solar still (kg/h) | |
| molar mass of water vapor (kg/mol) | |
| P | partial saturated vapor pressure (Pa) |
| p | pressure at interface between fluids (Pa) |
| q | heat flux by conduction (W/m2) |
| qr | heat flux by radiation (W/m2) |
| convective heat transfer of water (W) | |
| evaporative heat transfer from water (W) | |
| power transmitted from body i to body j (W) | |
| thermal energy leaving surface i (W) | |
| diffusive flux of thermal enthalpy due to the rate of change of air and vapor in moist air (J/(m2·s)) | |
| Q | heat sources other than viscous dissipation (W/m3) |
| t | time interval (s) |
| T | absolute temperature (K) |
| temperature of surface i (K) | |
| temperature of surface j (K) | |
| u | air velocity field (m/s) |
| ωv | vapor mass fraction |
| Greek symbols | |
| α | Absorptivity |
| αp | coefficient of thermal expansion (1/K) |
| Emissivity | |
| effective emissivity | |
| fluid density (kg/m3) | |
| moist air density (kg/m3) | |
| Stefan Boltzmann coefficient (W/m²/K4) | |
| τ | viscous stress tensor (Pa) |
| transmissivity of water | |
| relative humidity | |
| Subscripts | |
| a | Air |
| b | basin liner |
| w | Water |
| v | Vapor |
Appendix A
- The system variables have been evaluated using COMSOL® Multiphysics by means of analytic functions.
- ‘Ambient properties’ are defined through the ‘shared properties’ node of ‘Definitions’. Ambient condition is applied as per ASHRAE 2017 meteorological data that are provided in COMSOL®.
- The geometric model is developed using solid blocks and right-angled prisms.
- All the materials used for simulation are taken from the material library. Surface emissivity for the inner black painted walls of the solar still is taken as 0.9.
- The physics nodes applied in COMSOL® Multiphysics software are explained below.
- The ‘surface-to-surface radiation’ is applied to the solar still model with consideration of wavelength dependent radiation properties. Two spectral bands have been considered that are separated at 2 µm of wavelength.
- ‘Fractional emissive power’ is defined under the ‘diffuse surface’ node for each spectral band. The sum of fractional emissive power for the two spectral bands is equal to unity.
- ‘Opacity’ node is applied to the glass cover considering the wavelength dependent opacity of the glass:
- Transparent for visible light
- Opaque for infrared radiation
- ‘External radiation source’ is applied with source position as ‘solar position’. Location of experimentation for simulation model is defined by latitude ‘23.5204′ and longitude ‘87.3119′.
- ‘Heat transfer in moist air’ is applied to the model with initial temperature according to the ambient data.
- ‘Convectively enhanced conductivity’ is applied to moist air and water so as to consider the convection effect in these fluids.
- ‘Heat flux’ is applied to all the outer surfaces. It considers external natural convection according to the orientation and length of walls.
- ‘Moisture transport in the air’ is applied to the air domain inside the solar still. The initial value of relative humidity is taken as 0.1. ‘Wet surface’ node is applied to the interface between water and air.
- Multiphysics ‘heat transfer with surface-to-surface radiation’ is applied to couple the physics ‘surface-to-surface radiation’ and ‘heat transfer in moist air’. In this multiphysics, default opacity is considered from the heat transfer interface.
- Multiphysics ‘heat and moisture’ are applied to couple the physics ‘heat transfer in moist air’ and ‘moisture transport in air’. Here, the latent heat source is considered for evaporation. It uses the heat of evaporation from water.
References
- Panchal, H.N.; Thakkar, H. Theoretical and experimental validation of evacuated tubes directly coupled with solar still. Therm. Eng. 2016, 63, 825–831. [Google Scholar] [CrossRef]
- Panchal, H.; Patel, N.; Thakkar, H. Various techniques for improvement in distillate output from active solar still: A review. Int. J. Ambient Energy 2017, 38, 209–222. [Google Scholar] [CrossRef]
- Panchal, H.N.; Shah, P.K. Improvement of Solar Still Productivity by Energy Absorbing Plates. J. Renew. Energy Environ. 2014, 1, 1–7. [Google Scholar]
- Panchal, H.N. Experimental Investigation of Varying Parameters Affecting on Double Slope Single Basin Solar Still. Int. J. Adv. Eng. Sci. 2011, 2, 17–21. [Google Scholar]
- Al-Harahsheh, M.; Abu-Arabi, M.; Ahmad, M.; Mousa, H. Self-powered solar desalination using solar still enhanced by external solar collector and phase change material. Appl. Therm. Eng. 2022, 206, 118118. [Google Scholar] [CrossRef]
- AbuShanab, W.S.; Elsheikh, A.H.; Ghandourah, E.I.; Moustafa, E.B.; Sharshir, S.W. Performance improvement of solar distiller using hang wick, reflectors and phase change materials enriched with nano-additives. Case Stud. Therm. Eng. 2022, 31, 101856. [Google Scholar] [CrossRef]
- Abdel-Rehim, Z.S.; Lasheen, A. Experimental and theoretical study of a solar desalination system located in Cairo, Egypt. Desalination 2007, 217, 52–64. [Google Scholar] [CrossRef]
- Elsheikh, A.H.; Panchal, H.; Ahmadein, M.; Mosleh, A.O.; Sadasivuni, K.K.; Alsaleh, N.A. Productivity forecasting of solar distiller integrated with evacuated tubes and external condenser using artificial intelligence model and moth-flame optimizer. Case Stud. Therm. Eng. 2021, 28, 101671. [Google Scholar] [CrossRef]
- Pansal, K.; Ramani, B.; Sadasivuni, K.K.; Panchal, H.; Manokar, M.; Sathyamurthy, R.; Kabeel, A.; Suresh, M.; Israr, M. Use of solar photovoltaic with active solar still to improve distillate output: A review. Groundw. Sustain. Dev. 2020, 10, 100341. [Google Scholar] [CrossRef]
- Elaziz, M.A.; Essa, F.; Elsheikh, A.H. Utilization of ensemble random vector functional link network for freshwater prediction of active solar stills with nanoparticles. Sustain. Energy Technol. Assess. 2021, 47, 101405. [Google Scholar] [CrossRef]
- Sharshir, S.; Peng, G.; Wu, L.; Yang, N.; Essa, F.; Elsheikh, A.; Mohamed, S.I.; Kabeel, A. Enhancing the solar still performance using nanofluids and glass cover cooling: Experimental study. Appl. Therm. Eng. 2017, 113, 684–693. [Google Scholar] [CrossRef]
- Sharshir, S.; Elsheikh, A.; Peng, G.; Yang, N.; El-Samadony, M.; Kabeel, A. Thermal performance and exergy analysis of solar stills—A review. Renew. Sustain. Energy Rev. 2017, 73, 521–544. [Google Scholar] [CrossRef]
- Panchal, H.; Sadasivuni, K.K.; Suresh, M.; Yadav, S.; Brahmbhatt, S. Performance analysis of evacuated tubes coupled solar still with double basin solar still and solid fins. Int. J. Ambient Energy 2020, 41, 1031–1037. [Google Scholar] [CrossRef]
- Panchal, H.; Nurdiyanto, H.; Sadasivuni, K.K.; Hishan, S.S.; Essa, F.; Khalid, M.; Dharaskar, S.; Shanmugan, S. Experimental investigation on the yield of solar still using manganese oxide nanoparticles coated absorber. Case Stud. Therm. Eng. 2021, 25, 100905. [Google Scholar] [CrossRef]
- Kateshia, J.; Lakhera, V. A comparative study of various fatty acids as phase change material to enhance the freshwater productivity of solar still. J. Energy Storage 2022, 48, 103947. [Google Scholar] [CrossRef]
- Bamasag, A.; Essa, F.A.; Omara, Z.; Bahgat, E.; Alsaiari, A.O.; Abulkhair, H.; Alsulami, R.A.; Elsheikh, A.H. Machine learning-based prediction and augmentation of dish solar distiller performance using an innovative convex stepped absorber and phase change material with nanoadditives. Process Saf. Environ. Prot. 2022, 162, 112–123. [Google Scholar] [CrossRef]
- Sakthivel, M.; Shanmugasundaram, S.; Alwarsamy, T. An experimental study on a regenerative solar still with energy storage medium—Jute cloth. Desalination 2010, 264, 24–31. [Google Scholar] [CrossRef]
- Sakthivel, M.; Shanmugasundaram, S. Effect of energy storage medium (black granite gravel) on the performance of a solar still. Int. J. Energy Res. 2008, 32, 68–82. [Google Scholar] [CrossRef]
- Chandrashekara, M.; Yadav, A. Experimental study of exfoliated graphite solar thermal coating on a receiver with a Scheffler dish and latent heat storage for desalination. Sol. Energy 2017, 151, 129–145. [Google Scholar] [CrossRef]
- Layek, A. Exergetic analysis of basin type solar still. Eng. Sci. Technol. Int. J. 2018, 21, 99–106. [Google Scholar] [CrossRef]
- Sharshir, S.W.; Peng, G.; Elsheikh, A.; Edreis, E.M.; Eltawil, M.A.; Abdelhamid, T.; Kabeel, A.; Zang, J.; Yang, N. Energy and exergy analysis of solar stills with micro/nano particles: A comparative study. Energy Convers. Manag. 2018, 177, 363–375. [Google Scholar] [CrossRef]
- Deniz, E. Energy and exergy analysis of flat plate solar collector-assisted active solar distillation system. Desalination Water Treat. 2016, 57, 24313–24321. [Google Scholar] [CrossRef]
- Steiner, T.R. High temperature steady-state experiment for computational radiative heat transfer validation using COMSOL and ANSYS. Results Eng. 2022, 13, 100354. [Google Scholar] [CrossRef]
- El-Said, E.M.; Elsheikh, A.H.; El-Tahan, H.R. Effect of curved segmental baffle on a shell and tube heat exchanger thermohydraulic performance: Numerical investigation. Int. J. Therm. Sci. 2021, 165, 106922. [Google Scholar] [CrossRef]
- Essa, F.; Elsheikh, A.H.; Algazzar, A.A.; Sathyamurthy, R.; Ali, M.K.A.; Elaziz, M.A.; Salman, K. Eco-friendly coffee-based colloid for performance augmentation of solar stills. Process Saf. Environ. Prot. 2020, 136, 259–267. [Google Scholar] [CrossRef]
- Abakr, Y.A.; Ismail, A.F. Theoretical and Experimental Investigation of a Novel Multistage Evacuated Solar Still. J. Sol. Energy Eng. 2005, 127, 381–385. [Google Scholar] [CrossRef]
- Badusha, A.R.; Arjunan, T.V. Performance analysis of single slope solar still. Int. J. Mech. Eng. Robot Res. 2013, 2, 74–81. [Google Scholar]
- Rahbar, N.; Esfahani, J. Productivity estimation of a single-slope solar still: Theoretical and numerical analysis. Energy 2013, 49, 289–297. [Google Scholar] [CrossRef]
- Rahbar, N.; Esfahani, J.A.; Fotouhi-Bafghi, E. Estimation of convective heat transfer coefficient and water-productivity in a tubular solar still—CFD simulation and theoretical analysis. Sol. Energy 2015, 113, 313–323. [Google Scholar] [CrossRef]
- Maheswari, C.U.; Reddy, V.; Sree, N.; Reddy, V.; Reddy, S.P.; Prasad, R.R.; Siva, A.; Raghu, C.; Harish, B.; Varma, K. CFD Analysis of Single Basin Double Slope Solar Still. Invent. J. Res. Technol. Eng. Manag. (IJRTEM) 2016, 1, 1–5. [Google Scholar]
- Hafs, H.; Zaaoumi, A.; Ansari, O.; Bah, A.; Asbik, M.; Malha, M. Effect of the Nanofluid (Brackish water/Al2O3) on the Passive Solar Still Desalination Performance with Heat Storage System. In Proceedings of the 2018 10th International Conference on Electronics, Computers and Artificial Intelligence (ECAI), Iasi, Romania, 28–30 June 2018; IEEE: Piscataway, NJ, USA; pp. 1–6. [Google Scholar]
- Sharshir, S.W.; Peng, G.; Elsheikh, A.H.; Eltawil, M.A.; Elkadeem, M.; Dai, H.; Zang, J.; Yang, N. Influence of basin metals and novel wick-metal chips pad on the thermal performance of solar desalination process. J. Clean. Prod. 2019, 248, 119224. [Google Scholar] [CrossRef]
- Shoeibi, S.; Rahbar, N.; Esfahlani, A.A.; Kargarsharifabad, H. Energy matrices, exergoeconomic and enviroeconomic analysis of air-cooled and water-cooled solar still: Experimental investigation and numerical simulation. Renew. Energy 2021, 171, 227–244. [Google Scholar] [CrossRef]
- Shoeibi, S.; Kargarsharifabad, H.; Rahbar, N.; Ahmadi, G.; Safaei, M.R. Performance evaluation of a solar still using hybrid nanofluid glass cooling-CFD simulation and environmental analysis. Sustain. Energy Technol. Assess. 2022, 49, 101728. [Google Scholar] [CrossRef]
- Panchal, H.; Petkar, R.; Sonawane, C.; Sadasivuni, K.K.; Mohamad, H.A.E.D.; Boka, P. Use of computational fluid dynamics for solar desalination system: A review. Int. J. Ambient Energy 2021, 1–16. [Google Scholar] [CrossRef]
- Fan, S.; Wang, X.; Cao, S.; Wang, Y.; Zhang, Y.; Liu, B. A novel model to determine the relationship between dust concentration and energy conversion efficiency of photovoltaic (PV) panels. Energy 2022, 252, 123927. [Google Scholar] [CrossRef]
- Fan, S.; Liang, W.; Wang, G.; Zhang, Y.; Cao, S. A novel water-free cleaning robot for dust removal from distributed photovoltaic (PV) in water-scarce areas. Sol. Energy 2022, 241, 553–563. [Google Scholar] [CrossRef]
- Petkar, R.; Sonawane, C.R.; Panchal, H. Investigation of thermal Desalination system using heat recovery. In Lecture Notes in Mechanical Engineering; Springer: Singapore, 2019. [Google Scholar] [CrossRef]
- Matheswaran, M.M.; Arjunan, T.V.; Muthusamy, S.; Natrayan, L.; Panchal, H.; Subramaniam, S.; Khedkar, N.K.; El-Shafay, A.; Sonawane, C. A case study on thermo-hydraulic performance of jet plate solar air heater using response surface methodology. Case Stud. Therm. Eng. 2022, 34, 101983. [Google Scholar] [CrossRef]
- Sonawane, C.R.; Panchal, H.N.; Hoseinzadeh, S.; Ghasemi, M.H.; Alrubaie, A.J.; Sohani, A. Bibliometric Analysis of Solar Desalination Systems Powered by Solar Energy and CFD Modelled. Energies 2022, 15, 5279. [Google Scholar] [CrossRef]
- Ullah, I.; Ullah, A.; Selim, M.M.; Khan, M.I.; Saima; Khan, A.A.; Malik, M.Y. Analytical investigation of magnetized 2D hybrid nanofluid (GO + ZnO + blood) flow through a perforated capillary. Comput. Methods Biomech. Biomed. Eng. 2022. online ahead of print. [Google Scholar] [CrossRef]
- Shah, Z.; Ullah, A.; Musa, A.; Vrinceanu, N.; Bou, S.F.; Iqbal, S.; Deebani, W. Entropy Optimization and Thermal Behavior of a Porous System with Considering Hybrid Nanofluid. Front. Phys. 2022, 10, 929463. [Google Scholar] [CrossRef]
- Alharbi, K.A.M.; Ullah, A.; Ikramullah; Fatima, N.; Khan, R.; Sohail, M.; Khan, S.; Khan, W.; Ali, F. Impact of viscous dissipation and coriolis effects in heat and mass transfer analysis of the 3D non-Newtonian fluid flow. Case Stud. Therm. Eng. 2022, 37, 102289. [Google Scholar] [CrossRef]
- Rizk, D.; Ullah, A.; Ikramullah; Elattar, S.; Alharbi, K.A.M.; Sohail, M.; Khan, R.; Khan, A.; Mlaiki, N. Impact of the KKL Correlation Model on the Activation of Thermal Energy for the Hybrid Nanofluid (GO+ZnO+Water) Flow through Permeable Vertically Rotating Surface. Energies 2022, 15, 2872. [Google Scholar] [CrossRef]
- Ullah, A.; Ikramullah; Selim, M.M.; Abdeljawad, T.; Ayaz, M.; Mlaiki, N.; Ghafoor, A. A Magnetite-Water-Based Nanofluid Three-Dimensional Thin Film Flow on an Inclined Rotating Surface with Non-Linear Thermal Radiations and Couple Stress Effects. Energies 2021, 14, 5531. [Google Scholar] [CrossRef]
- Hussain, Z.; Khan, S.; Ullah, A.; Ikramullah; Ayaz, M.; Ahmad, I.; Mashwani, W.K.; Chu, Y.-M. Extension of optimal homotopy asymptotic method with use of Daftardar–Jeffery polynomials to Hirota–Satsuma coupled system of Korteweg–de Vries equations. Open Phys. 2020, 18, 916–924. [Google Scholar] [CrossRef]
- Khan, S.; Selim, M.M.; Gepreel, K.A.; Ullah, A.; Ikramullah; Ayaz, M.; Mashwani, W.K.; Khan, E. An analytical investigation of the mixed convective Casson fluid flow past a yawed cylinder with heat transfer analysis. Open Phys. 2021, 19, 341–351. [Google Scholar] [CrossRef]
- Greenhouse Effect. Available online: https://www.comsol.jp/model/greenhouse-effect-98061 (accessed on 18 August 2022).
- van Eck, R.; Klep, M.; van Schijndel, J. Surface to surface radiation benchmarks. In Proceedings of the 2016 COMSOL Conference, Munich, Germany, 12–14 October 2016; pp. 4–12. [Google Scholar]
- Kumar, S.; Dubey, A.; Tiwari, G.N. A solar still augmented with an evacuated tube collector in forced mode. Desalination 2014, 347, 15–24. [Google Scholar] [CrossRef]
- Fath, H.E.S.; El-Samanoudy, M.; Fahmy, K.; Hassabou, A. Thermal-economic analysis and comparison between pyramid-shaped and single-slope solar still configurations. Desalination 2003, 159, 69–79. [Google Scholar] [CrossRef]










| Parameter | Values |
|---|---|
| Absorptivity of basin liner, () | 0.90 |
| Absorptivity of water, () | 0.30 |
| Absorptivity of water with black ink, () | 0.43 |
| Absorptivity of water with black dye, () | 0.57 |
| Absorptivity of water with black toner, () | 0.70 |
| Transmissivity of water, () | 0.67 |
| Transmissivity of water with black ink, () | 0.54 |
| Transmissivity of water with black dye, () | 0.41 |
| Transmissivity of water with black toner, () | 0.28 |
| Component | Boundary Conditions | Material | Opacity | Thermal Conductivity [W/(m·K)] | Cp [J/(kg·K)] | Surface Emissivity | Heat Transfer Mode |
|---|---|---|---|---|---|---|---|
| Top cover | Solid | Silica glass | Opaque for infrared radiation | 1.38 | 703 | 0.03 | Conduction; Convective heat flux on outer and inner surfaces |
| Solar still walls | Solid | Glass wool batt | Opaque | 0.034–0.048 | 850 | Outer surface: 0.03 | Conduction; Convective heat flux on the surface |
| Inner surface (black painted): 0.9 | Conduction; Convective heat flux on the surface | ||||||
| Lower domain inside solar still | Fluid | Water, liquid | Transparent | 0.56–0.69 | 4150–4250 | - | Convectively enhanced conductivity |
| Upper domain inside solar still | Fluid | Moist air | Transparent | 0.02–0.035 | 1000–1020 | - | Convectively enhanced conductivity |
| Mesh Model | Description |
|---|---|
![]() |
|
![]() |
|
| Solar Still’s Material | Cost of System (USD) | Salvage Value (USD) |
|---|---|---|
| Galvanized iron sheet | 35 | 7 |
| Glass cover | 5 | 1 |
| Galvanized support | 15 | 3 |
| Glass wool insulation | 10 | 2 |
| Black ink/toner | 10 | 2 |
| Total cost | 75 | 15 |
| Type | n (Year) | i (%) | CRF | FAC (USD/Year) | SFF | S (USD) | ASV (USD/Year) | AMC (USD/Year) | UAC (USD/Year) | M (m3/Year) | CPL (USD/L) |
|---|---|---|---|---|---|---|---|---|---|---|---|
| Conventional solar still | 20 | 0.08 | 0.102 | 7.64 | 0.02 | 15.0 | 0.33 | 0.76 | 8.08 | 967 | 0.0083 |
| Solar still with Black Toner | 20 | 0.08 | 0.102 | 7.64 | 0.02 | 15.0 | 0.33 | 0.76 | 8.08 | 1228 | 0.0066 |
| Solar still with Black Dye | 20 | 0.08 | 0.102 | 7.64 | 0.02 | 15.0 | 0.33 | 0.76 | 8.08 | 1165 | 0.0069 |
| Solar still with Black Ink | 20 | 0.08 | 0.102 | 7.64 | 0.02 | 15.0 | 0.33 | 0.76 | 8.08 | 1109 | 0.0073 |
| Type | Life Time | i (%) | UAC | ||||
|---|---|---|---|---|---|---|---|
| Conventional solar still | 20 | 0.08 | 39.24 | 618 | 8.08 | 76.53 | 4.86 |
| Solar still with Black Toner | 20 | 0.08 | 49.8 | 785 | 8.08 | 97.19 | 6.17 |
| Solar still with Black Dye | 20 | 0.08 | 47.2 | 745 | 8.08 | 92.14 | 5.85 |
| Solar still with Black Ink | 20 | 0.08 | 45.0 | 709 | 87.86 | 8.08 | 5.57 |
| Type | Life Time | CO2 Mitigation (Tons) | Enviroeconomic Parameter (USD) |
|---|---|---|---|
| Conventional solar still | 20 | 24.7 | 358.4 |
| Solar still with Black Toner | 20 | 31.4 | 455.3 |
| Solar still with Black Dye | 20 | 29.8 | 432.1 |
| Solar still with Black In | 20 | 28.4 | 411.2 |
Publisher’s Note: MDPI stays neutral with regard to jurisdictional claims in published maps and institutional affiliations. |
© 2022 by the authors. Licensee MDPI, Basel, Switzerland. This article is an open access article distributed under the terms and conditions of the Creative Commons Attribution (CC BY) license (https://creativecommons.org/licenses/by/4.0/).
Share and Cite
Sonawane, C.; Alrubaie, A.J.; Panchal, H.; Chamkha, A.J.; Jaber, M.M.; Oza, A.D.; Zahmatkesh, S.; Burduhos-Nergis, D.D.; Burduhos-Nergis, D.P. Investigation on the Impact of Different Absorber Materials in Solar Still Using CFD Simulation—Economic and Environmental Analysis. Water 2022, 14, 3031. https://doi.org/10.3390/w14193031
Sonawane C, Alrubaie AJ, Panchal H, Chamkha AJ, Jaber MM, Oza AD, Zahmatkesh S, Burduhos-Nergis DD, Burduhos-Nergis DP. Investigation on the Impact of Different Absorber Materials in Solar Still Using CFD Simulation—Economic and Environmental Analysis. Water. 2022; 14(19):3031. https://doi.org/10.3390/w14193031
Chicago/Turabian StyleSonawane, Chandrakant, Ali Jawad Alrubaie, Hitesh Panchal, Ali J. Chamkha, Mustafa Musa Jaber, Ankit D. Oza, Sasan Zahmatkesh, Dumitru Doru Burduhos-Nergis, and Diana Petronela Burduhos-Nergis. 2022. "Investigation on the Impact of Different Absorber Materials in Solar Still Using CFD Simulation—Economic and Environmental Analysis" Water 14, no. 19: 3031. https://doi.org/10.3390/w14193031
APA StyleSonawane, C., Alrubaie, A. J., Panchal, H., Chamkha, A. J., Jaber, M. M., Oza, A. D., Zahmatkesh, S., Burduhos-Nergis, D. D., & Burduhos-Nergis, D. P. (2022). Investigation on the Impact of Different Absorber Materials in Solar Still Using CFD Simulation—Economic and Environmental Analysis. Water, 14(19), 3031. https://doi.org/10.3390/w14193031



