Biotic and Abiotic Biostimulation for the Reduction of Hexavalent Chromium in Contaminated Aquifers
Abstract
:1. Introduction
2. Materials and Methods
2.1. Descpription of Study Area
2.2. Description of Lab-Scale Column System
2.2.1. Soil Pretreatment and Filling Procedure of Columns
2.2.2. Preparation of Experimental Solutions
2.3. Experimental Methods
2.3.1. Start-Up Protocol
2.3.2. Control Experiment
2.3.3. Bio-Stimulation Experiment
2.3.4. Biotic-Abiotic Cr(VI) Removal Experiment
2.4. Analytical Procedures
2.5. Data Calculation
3. Results and Discussion
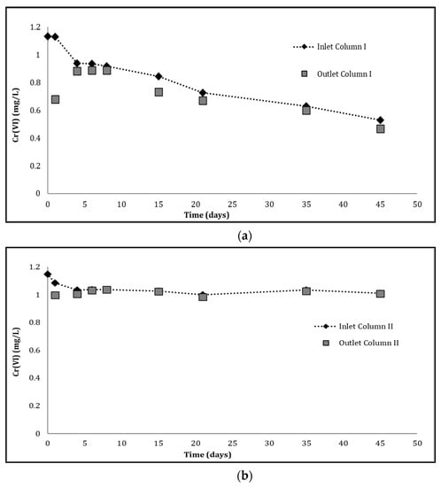
3.1. Natural Soil Capacity Experiment (Control)
3.2. Influence of Organic Electron Donors in Cr(VI) Bio-Reduction
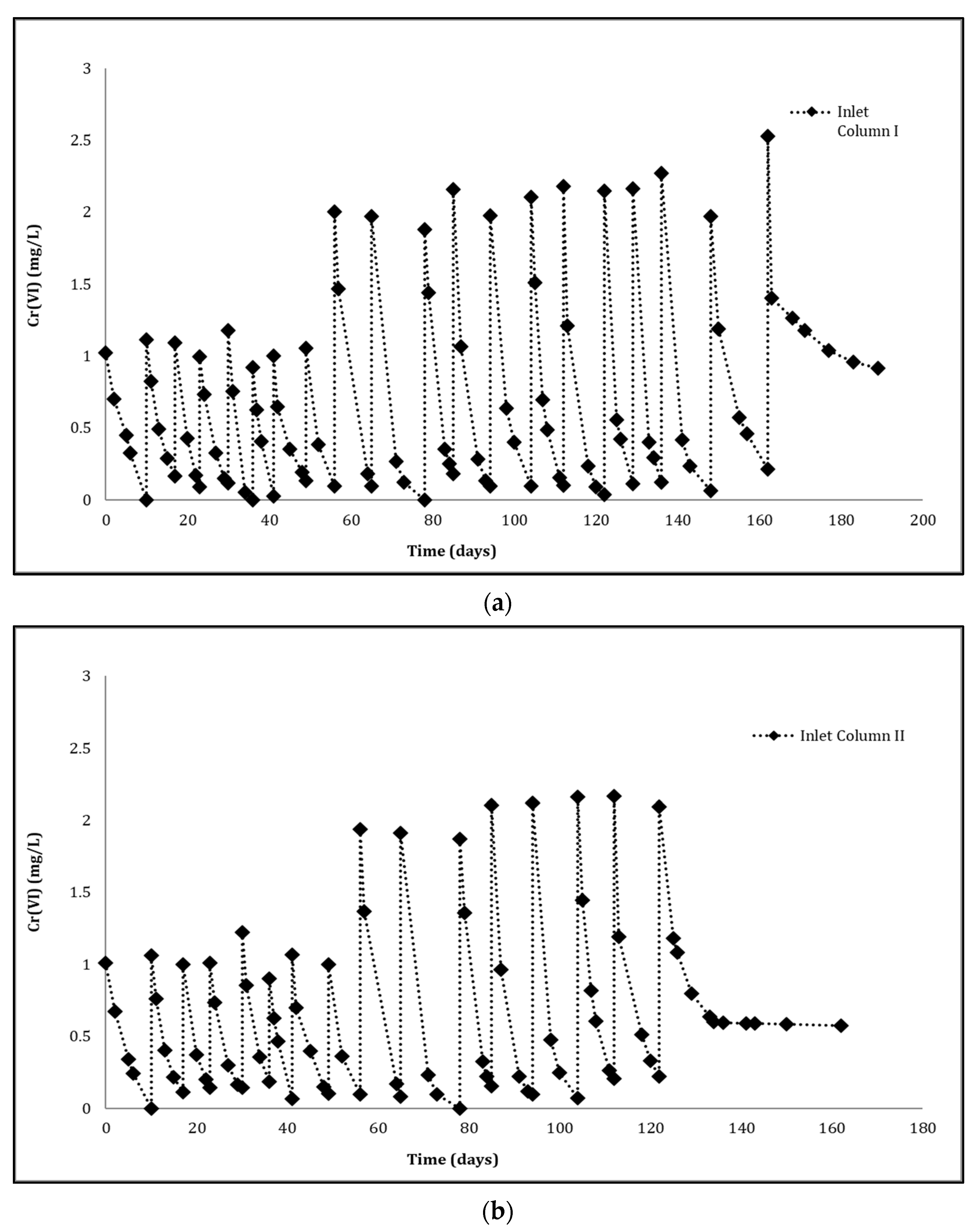
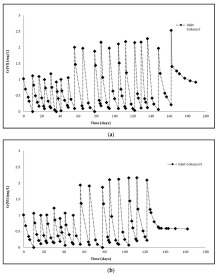
3.3. Biotic–Abiotic Cr(VI) Removal
3.3.1. Abiotic Cr(VI) Removal
3.3.2. Combined Biotic–Abiotic Cr(VI) Removal
3.4. Comparison between Biotic and Biotic-Abiotic Experiment
4. Conclusions
- Natural soil attenuation in the Cr-contaminated aquifer studied was low and was significantly exceeded by the amount of Cr(VI) in contaminated groundwater;
- Addition of organic electron donors can increase Cr(VI) reduction rate up to 20 times in comparison to the natural soil capacity rates;
- Ferrous iron has low mobility in soil and groundwater with a pH close to 8 and is rendered passive quickly, leading to insignificant Cr(VI) removal;
- Combined biotic-abiotic Cr(VI) removal exhibited a longer-life span in the remediation of Cr(VI)-contaminated groundwater in comparison to biotic process.
Supplementary Materials
Author Contributions
Funding
Institutional Review Board Statement
Informed Consent Statement
Data Availability Statement
Acknowledgments
Conflicts of Interest
References
- Kazakis, N.; Kantiranis, N.; Kalaitzidou, K.; Kaprara, E.; Mitrakas, M.; Frei, R.; Vargemezis, G.; Vogiatzis, D.; Zouboulis, A.; Filippidis, A. Environmentally available hexavalent chromium in soils and sediments impacted by dispersed fly ash in Sarigkiol basin (Northern Greece). Environ. Pollut. 2018, 235, 632–641. [Google Scholar] [CrossRef] [PubMed]
- Perraki, M.; Vasileiou, E.; Bartzas, G. Tracing the origin of chromium in groundwater: Current and new perspectives. Curr. Opin. Environ. Sci. Health 2021, 22, 100267. [Google Scholar] [CrossRef]
- Dhal, B.; Thatoi, H.N.; Das, N.N.; Pandey, B.D. Chemical and microbial remediation of hexavalent chromium from contaminated soil and mining/metallurgical solid waste: A review. J. Hazard. Mater. 2013, 250, 272–291. [Google Scholar] [CrossRef]
- Jones, A.S.; Marini, J.; Solo-Gabriele, H.M.; Robey, N.M.; Townsend, T.G. Arsenic, copper, and chromium from treated wood products in the U.S. disposal sector. Waste Manag. 2019, 87, 731–740. [Google Scholar] [CrossRef]
- Yang, Y.; Ma, H.; Chen, X.; Zhu, C.; Li, X. Effect of incineration temperature on chromium speciation in real chromium-rich tannery sludge under air atmosphere. Environ. Res. 2020, 183, 109159. [Google Scholar] [CrossRef] [PubMed]
- Tumolo, M.; Ancona, V.; De Paola, D.; Losacco, D.; Campanale, C.; Massarelli, C.; Uricchio, V.F. Chromium Pollution in European Water, Sources, Health Risk, and Remediation Strategies: An Overview. Int. J. Environ. Res. Public Health 2020, 17, 5438. [Google Scholar] [CrossRef] [PubMed]
- Wei, M.; Li, W.; Tang, J.; Barnie, S.; Zhang, J.; Chen, H. New insight into mechanism of Cr(VI) migration and transformation in typical soils of chromite ore processing residue (COPR) contaminated sites. Environ. Earth Sci. 2021, 80, 673. [Google Scholar] [CrossRef]
- Racek, J.; Trefil, L.; Rajdl, D.; Mudrová, V.; Hunter, D.; Senft, V. Influence of Chromium-Enriched Yeast on Blood Glucose and Insulin Variables, Blood Lipids, and Markers of Oxidative Stress in Subjects with Type 2 Diabetes Mellitus. Biol. Trace Elem. Res. 2006, 109, 215–230. [Google Scholar] [CrossRef]
- Nussbaumerova, B.; Rosolova, H.; Krizek, M.; Sefrna, F.; Racek, J.; Müller, L.; Sindberg, C. Chromium Supplementation Reduces Resting Heart Rate in Patients with Metabolic Syndrome and Impaired Glucose Tolerance. Biol. Trace Elem. Res. 2018, 183, 192–199. [Google Scholar] [CrossRef]
- Vithanage, M.; Kumarathilaka, P.; Oze, C.; Karunatilake, S.; Seneviratne, M.; Hseu, Z.Y.; Gunarathne, V.; Dassanayake, M.; Ok, Y.S.; Rinklebe, J. Occurrence and cycling of trace elements in ultramafic soils and their impacts on human health: A critical review. Environ. Int. 2019, 131, 104974. [Google Scholar] [CrossRef]
- Sheikhhossein, F.; Amini, M.R.; Shahinfar, H.; Djafari, F.; Safabakhsh, M.; Shab-Bidar, S. Effects of chromium supplementation on inflammatory biomarkers: A systematic review and dose-response meta-analysis of randomized controlled trials. Eur. J. Integr. Med. 2020, 37, 101147. [Google Scholar] [CrossRef]
- Wang, Y.; Su, H.; Gu, Y.; Song, X.; Zhao, J. Carcinogenicity of chromium and chemoprevention: A brief update. OncoTargets Ther. 2017, 10, 4065–4079. [Google Scholar] [CrossRef] [PubMed] [Green Version]
- Di Palma, L.; Gueye, M.T.; Petrucci, E. Hexavalent chromium reduction in contaminated soil: A comparison between ferrous sulphate and nanoscale zero-valent iron. J. Hazard. Mater. 2015, 281, 70–76. [Google Scholar] [CrossRef]
- Mishra, S.; Bharagava, R.N. Toxic and genotoxic effects of hexavalent chromium in environment and its bioremediation strategies. J. Environ. Sci. Health Part C Environ. Carcinog. Ecotoxicol. Rev. 2016, 34, 1–32. [Google Scholar] [CrossRef]
- EPA. National Primary Drinking Water Regulations; EPA 816-F-09-004; EPA: Washington, DC, USA, 2009. [Google Scholar]
- WHO. WHO Guidelines for Drinking Water, 3rd ed.; World Health Organization: Geneva, Switzerland, 2004. [Google Scholar]
- Oze, C.; Bird, D.K.; Fendorf, S. Genesis of hexavalent chromium from natural sources in soil and groundwater. Proc. Natl. Acad. Sci. USA 2007, 104, 6544–6549. [Google Scholar] [CrossRef] [PubMed] [Green Version]
- Economou-Eliopoulos, M.; Megremi, I.; Vasilatos, C. Factors controlling the heterogeneous distribution of Cr(VI) in soil, plants and groundwater: Evidence from the Assopos basin, Greece. Geochemistry 2011, 71, 39–52. [Google Scholar] [CrossRef]
- Eliopoulos, I.P.D.; Eliopoulos, G.D.; Economou-Eliopoulos, M. The cr(Vi) stability in contaminated coastal groundwater: Salinity as a driving force. Minerals 2021, 11, 160. [Google Scholar] [CrossRef]
- Paternoster, M.; Rizzo, G.; Sinisi, R.; Vilardi, G.; Di Palma, L.; Mongelli, G. Natural Hexavalent Chromium in the Pollino Massif Groundwater (Southern Apennines, Italy): Occurrence, Geochemistry and Preliminary Remediation Tests by Means of Innovative Adsorbent Nanomaterials. Bull. Environ. Contam. Toxicol. 2021, 106, 421–427. [Google Scholar] [CrossRef]
- Dermatas, D.; Panagiotakis, I.; Mpouras, T.; Tettas, K. The Origin of Hexavalent Chromium as a Critical Parameter for Remediation of Contaminated Aquifers. Bull. Environ. Contam. Toxicol. 2017, 98, 331–337. [Google Scholar] [CrossRef]
- Barrera-Díaz, C.E.; Lugo-Lugo, V.; Bilyeu, B. A review of chemical, electrochemical and biological methods for aqueous Cr(VI) reduction. J. Hazard. Mater. 2012, 223, 1–12. [Google Scholar] [CrossRef] [PubMed]
- Mishra, S.; Chowdhary, P.; Bharagava, R.N. Conventional methods for the removal of industrial pollutants, their merits and demerits. In Emerging and Eco-Friendly Approaches for Waste Management; Springer: Singapore, 2018; pp. 1–31. [Google Scholar] [CrossRef]
- Jobby, R.; Jha, P.; Yadav, A.K.; Desai, N. Biosorption and biotransformation of hexavalent chromium [Cr(VI)]: A comprehensive review. Chemosphere 2018, 207, 255–266. [Google Scholar] [CrossRef] [PubMed]
- Elahi, A.; Rehman, A. Comparative behavior of two gram positive Cr 6+ resistant bacterial strains Bacillus aerius S1 and Brevibacterium iodinum S2 under hexavalent chromium stress. Biotechnol. Rep. 2019, 21, e00307. [Google Scholar] [CrossRef] [PubMed]
- Pushkar, B.; Sevak, P.; Parab, S.; Nilkanth, N. Chromium pollution and its bioremediation mechanisms in bacteria: A review. J. Environ. Manag. 2021, 287, 112279. [Google Scholar] [CrossRef] [PubMed]
- Song, X.; Wang, Q.; Jin, P.; Chen, X.; Tang, S.; Wei, C.; Li, K.; Ding, X.; Tang, Z.; Fu, H. Enhanced biostimulation coupled with a dynamic groundwater recirculation system for Cr(VI) removal from groundwater: A field-scale study. Sci. Total Environ. 2021, 772, 145495. [Google Scholar] [CrossRef] [PubMed]
- Das, S.; Chandra Behera, B.; Mohapatra, R.K.; Pradhan, B.; Sudarshan, M.; Chakraborty, A.; Thatoi, H. Reduction of hexavalent chromium by Exiguobacterium mexicanum isolated from chromite mines soil. Chemosphere 2021, 282, 131135. [Google Scholar] [CrossRef] [PubMed]
- Park, C.H.; Keyhan, M.; Wielinga, B.; Fendorf, S.; Matin, A. Purification to homogeneity and characterization of a novel Pseudomonas putida chromate reductase. Appl. Environ. Microbiol. 2000, 66, 1788–1795. [Google Scholar] [CrossRef] [Green Version]
- Opperman, D.J.; Piater, L.A.; Van Heerden, E. A novel chromate reductase from Thermus scotoductus SA-01 related to old yellow enzyme. J. Bacteriol. 2008, 190, 3076–3082. [Google Scholar] [CrossRef] [Green Version]
- Ma, Y.; Zhong, H.; He, Z. Cr(VI) reductase activity locates in the cytoplasm of Aeribacillus pallidus BK1, a novel Cr(VI)-reducing thermophile isolated from Tengchong geothermal region, China. Chem. Eng. J. 2019, 371, 524–534. [Google Scholar] [CrossRef]
- Pei, Y.; Tao, C.; Ling, Z.; Yu, Z.; Ji, J.; Khan, A.; Mamtimin, T.; Liu, P.; Li, X. Exploring novel Cr(VI) remediation genes for Cr(VI)-contaminated industrial wastewater treatment by comparative metatranscriptomics and metagenomics. Sci. Total Environ. 2020, 742, 140435. [Google Scholar] [CrossRef]
- Wielinga, B.; Mizuba, M.M.; Hansel, C.M.; Fendorf, S. Iron promoted reduction of chromate by dissimilatory iron-reducing bacteria. Environ. Sci. Technol. 2001, 35, 522–527. [Google Scholar] [CrossRef]
- Fernández, P.M.; Viñarta, S.C.; Bernal, A.R.; Cruz, E.L.; Figueroa, L.I.C. Bioremediation strategies for chromium removal: Current research, scale-up approach and future perspectives. Chemosphere 2018, 208, 139–148. [Google Scholar] [CrossRef] [PubMed]
- Bishop, M.E.; Dong, H.; Glasser, P.; Briggs, B.R.; Pentrak, M.; Stucki, J.W.; Boyanov, M.I.; Kemner, K.M.; Kovarik, L. Reactivity of redox cycled Fe-bearing subsurface sediments towards hexavalent chromium reduction. Geochim. Cosmochim. Acta 2019, 252, 88–106. [Google Scholar] [CrossRef]
- Fendorf, S.; Wielinga, B.W.; Hansel, C.M. Chromium Transformations in Natural Environments: The Role of Biological and Abiological Processes in Chromium(VI) Reduction. Int. Geol. Rev. 2000, 42, 691–701. [Google Scholar] [CrossRef]
- Nevin, K.P.; Lovley, D.R. Mechanisms for Fe(III) oxide reduction in sedimentary environments. Geomicrobiol. J. 2002, 19, 141–159. [Google Scholar] [CrossRef]
- Arias, Y.M.; Tebo, B.M. Cr(VI) reduction by sulfidogenic and nonsulfidogenic microbial consortia. Appl. Environ. Microbiol. 2003, 69, 1847–1853. [Google Scholar] [CrossRef] [PubMed] [Green Version]
- Jiang, K.; Zhang, J.; Deng, Z.; Barnie, S.; Chang, J.; Zou, Y.; Guan, X.; Liu, F.; Chen, H. Natural attenuation mechanism of hexavalent chromium in a wetland: Zoning characteristics of abiotic and biotic effects. Environ. Pollut. 2021, 287, 117639. [Google Scholar] [CrossRef]
- Michailides, M.K.; Tekerlekopoulou, A.G.; Akratos, C.S.; Coles, S.; Pavlou, S.; Vayenas, D.V. Molasses as an efficient low-cost carbon source for biological Cr(VI) removal. J. Hazard. Mater. 2015, 281, 95–105. [Google Scholar] [CrossRef]
- Ancona, V.; Campanale, C.; Tumolo, M.; De Paola, D.; Ardito, C.; Volpe, A.; Uricchio, V.F. Enhancement of chromium (VI) reduction in microcosms amended with lactate or yeast extract: A laboratory-scale study. Int. J. Environ. Res. Public Health 2020, 17, 704. [Google Scholar] [CrossRef] [Green Version]
- Mortensen, A.; Larsen, J.C. Risk assessment of sweeteners used as food additives. In Sweeteners: Nutritional Aspects, Applications, and Production Technology; CRC Press: Boca Raton, FL, USA, 2012; pp. 419–435. [Google Scholar]
- Chen, Z.F.; Zhao, Y.S.; Zhang, J.W.; Bai, J. Mechanism and Kinetics of Hexavalent Chromium Chemical Reduction with Sugarcane Molasses. Water. Air. Soil Pollut. 2015, 226, 363. [Google Scholar] [CrossRef]
- Sun, Y.; Lan, J.; Du, Y.; Li, Z.; Liao, X.; Du, D.; Ye, H.; Zhang, T.C.; Chen, S. Efficient removal of heavy metals by synergistic actions of microorganisms and waste molasses. Bioresour. Technol. 2020, 302, 122797. [Google Scholar] [CrossRef] [PubMed]
- Jeyasingh, J.; Philip, L. Bioremediation of chromium contaminated soil: Optimization of operating parameters under laboratory conditions. J. Hazard. Mater. 2005, 118, 113–120. [Google Scholar] [CrossRef]
- Tokunaga, T.K.; Wan, J.; Firestone, M.K.; Hazen, T.C.; Olson, K.R.; Herman, D.J.; Sutton, S.R.; Lanzirotti, A. Bioremediation and Biodegradation In Situ Reduction of Chromium(VI) in Heavily Contaminated Soils through Organic Carbon Amendment. J. Environ. Qual. 2003, 32, 1641–1649. [Google Scholar] [CrossRef] [PubMed] [Green Version]
- Tang, G.; Watson, D.B.; Wu, W.M.; Schadt, C.W.; Parker, J.C.; Brooks, S.C. U(VI) bioreduction with emulsified vegetable oil as the electron donor -model application to a field test. Environ. Sci. Technol. 2013, 47, 3218–3225. [Google Scholar] [CrossRef]
- Borden, R.C. Effective distribution of emulsified edible oil for enhanced anaerobic bioremediation. J. Contam. Hydrol. 2007, 94, 1–12. [Google Scholar] [CrossRef] [PubMed]
- Dong, J.; Yu, J.; Bao, Q. Simulated reactive zone with emulsified vegetable oil for the long-term remediation of Cr(VI)-contaminated aquifer: Dynamic evolution of geological parameters and groundwater microbial community. Environ. Sci. Pollut. Res. 2018, 25, 34392–34402. [Google Scholar] [CrossRef] [PubMed]
- Wen, C.; Sheng, H.; Ren, L.; Dong, Y.; Dong, J. Study on the removal of hexavalent chromium from contaminated groundwater using emulsified vegetable oil. Process Saf. Environ. Prot. 2017, 109, 599–608. [Google Scholar] [CrossRef]
- Somasundaram, V.; Philip, L.; Bhallamudi, S.M. Laboratory scale column studies on transport and biotransformation of Cr(VI) through porous media in presence of CRB, SRB and IRB. Chem. Eng. J. 2011, 171, 572–581. [Google Scholar] [CrossRef]
- Lu, J.; Zhang, B.; He, C.; Borthwick, A.G.L. The role of natural Fe(II)-bearing minerals in chemoautotrophic chromium (VI) bio-reduction in groundwater. J. Hazard. Mater. 2020, 389, 121911. [Google Scholar] [CrossRef] [PubMed]
- Stroo, H.F.; Leeson, A.; Ward, C.H. Bioaugmentation for Groundwater Remediation; Springer: New York, NY, USA, 2012. [Google Scholar]
- Hach LCS313 Chromium Trace Method. Available online: https://gr.hach.com/iii-vi-0-005-0-25-mg-l-cr/product-downloads?id=26370285876&callback=qs (accessed on 26 October 2021).
- USEPA Method 7196A for Chromium Hexavalent (colorimetric). USEPA Method 7196A 1992, 1–6. Available online: https://www.epa.gov/sites/default/files/2015-12/documents/7196a.pdf (accessed on 26 October 2021).
- Baird, R.; Bridgewater, L. 5220 CHEMICAL OXYGEN DEMAND (COD). In Standard Methods for the Examination of Water and Wastewater, 23rd ed.; American Public Health Association: Washington, DC, USA, 2017. [Google Scholar]
- Baird, R.; Bridgewater, L. 3500-Fe IRON. In Standard Methods for the Examination of Water and Wastewater, 23rd ed.; American Public Health Association: Washington, DC, USA, 2017. [Google Scholar]
- ASTM International. Standard Test Method for Permeability of Granular Soils (Constant Head). In Annual Book of ASTM Standards; ASTM International: West Conshohocken, PA, USA, 2019; pp. 1–6. [Google Scholar]
- Mamais, D.; Noutsopoulos, C.; Kavallari, I.; Nyktari, E.; Kaldis, A.; Panousi, E.; Nikitopoulos, G.; Antoniou, K.; Nasioka, M. Biological groundwater treatment for chromium removal at low hexavalent chromium concentrations. Chemosphere 2016, 152, 238–244. [Google Scholar] [CrossRef]
- Panousi, E.; Mamais, D.; Noutsopoulos, C.; Antoniou, K.; Koutoula, K.; Mastrantoni, S.; Koutsogiannis, C.; Gkioni, A. Biological treatment of groundwater with a high hexavalent chromium content under anaerobic and anoxic conditions. J. Chem. Technol. Biotechnol. 2016, 91, 1681–1687. [Google Scholar] [CrossRef]
- Amann, R.I.; Krumholz, L.; Stahl, D.A. Fluorescent-oligonucleotide probing of whole cells for determinative, phylogenetic, and environmental studies in microbiology. J. Bacteriol. 1990, 172, 762–770. [Google Scholar] [CrossRef] [PubMed] [Green Version]
- Stahl, D.A.; Amann, R. Development and application of nucleic acid probes in bacterial systematics. In Nucleic Acid Techniques in Bacterial Systematics, 1st ed.; Stackebrandt, E., Goodfellow, M., Eds.; Wiley & Sons Ltd.: Chichester, UK, 1991; pp. 205–248. [Google Scholar]
- Raskin, L.; Stromley, J.M.; Rittmann, B.E.; Stahl, D.A. Group-specific 16S rRNA hybridization probes to describe natural communities of methanogens. Appl. Environ. Microbiol. 1994, 60, 1232–1240. [Google Scholar] [CrossRef] [PubMed] [Green Version]
- Manz, W.; Amann, R.; Ludwig, W.; Wagner, M.; Schleifer, K. Phylogenetic oligodeoxynucleotide probes for the major subclasses of proteobacteria: Problems and solutions. Syst. Appl Microbiol. 1992, 15, 593–600. [Google Scholar] [CrossRef]
- Loy, A.; Lehner, A.; Lee, N.; Adamczyk, J.; Meier, H.; Ernst, J.; Schleifer, K.H.; Wagner, M. Oligonucleotide microarray for 16S rRNA gene-based detection of all recognized lineages of sulfate-reducing prokaryotes in the environment. Appl. Environ. Microbiol. 2002, 68, 5064–5081. [Google Scholar] [CrossRef] [PubMed] [Green Version]
- Lücker, S.; Steger, D.; Kjeldsen, K.U.; MacGregor, B.J.; Wagner, M.; Loy, A. Improved 16S rRNA-targeted probe set for analysis of sulfate-reducing bacteria by fluorescence in situ hybridization. J. Microbiol. Methods 2007, 69, 523–528. [Google Scholar] [CrossRef]
- Küsel, K.; Pinkart, H.C.; Drake, H.L.; Devereux, R. Acetogenic and sulfate-reducing bacteria inhabiting the rhizoplane and deep cortex cells of the sea grass Halodule wrightii. Appl. Environ. Microbiol. 1999, 65, 5117–5123. [Google Scholar] [CrossRef] [Green Version]
- Holmes, D.E.; Giloteaux, L.; Barlett, M.; Chavan, M.A.; Smith, J.A.; Williams, K.H.; Wilkins, M.; Long, P.; Lovley, D.R. Molecular analysis of the In situ growth rates of subsurface geobacter species. Appl. Environ. Microbiol. 2013, 79, 1646–1653. [Google Scholar] [CrossRef] [Green Version]
- Nielsen, J.L.; Juretschko, S.; Wagner, M.; Nielsen, P.H. Abundance and phylogenetic affiliation of iron reducers in activated sludge as assessed by fluorescence in situ hybridization and microautoradiography. Appl. Environ. Microbiol. 2002, 68, 4629–4636. [Google Scholar] [CrossRef] [Green Version]
- Guo, J.; Lian, J.; Xu, Z.; Xi, Z.; Yang, J.; Jefferson, W.; Liu, C.; Li, Z.; Yue, L. Reduction of Cr(VI) by Escherichia coli BL21 in the presence of redox mediators. Bioresour. Technol. 2012, 123, 713–716. [Google Scholar] [CrossRef]
- Grady, C.P.L.; Daigger, G.T.; Love, N.G.; Filipe, C.D.M. Biological Wastewater Treatment, 3rd ed.; CRC Press: Boca Raton, FL, USA, 2011. [Google Scholar]
- Shashidhar, T.; Philip, L.; Bhallamudi, S.M. Bench-scale column experiments to study the containment of Cr(VI) in confined aquifers by bio-transformation. J. Hazard. Mater. 2006, 131, 200–209. [Google Scholar] [CrossRef]
- Krishna, K.R.; Philip, L. Bioremediation of Cr(VI) in contaminated soils. J. Hazard. Mater. 2005, 121, 109–117. [Google Scholar] [CrossRef] [PubMed]
- Génin, J.M.R.; Refait, P.H.; Abdelmoula, M. Green rusts and their relationship to iron corrosion: A key role in microbially influenced corrosion. Hyperfine Interact. 2002, 139, 119–131. [Google Scholar] [CrossRef]
- Ona-Nguema, G.; Abdelmoula, M.; Jorand, F.; Benali, O.; Géhin, A.; Block, J.C.; Génin, J.M.R. Iron(II,III) hydroxycarbonate green rust formation and stabilization from lepidocrocite bioreduction. Environ. Sci. Technol. 2002, 36, 16–20. [Google Scholar] [CrossRef] [PubMed]
- Zhong, J.; Yin, W.; Li, Y.; Li, P.; Wu, J.; Jiang, G.; Gu, J.; Liang, H. Column study of enhanced Cr(VI) removal and longevity by coupled abiotic and biotic processes using Fe0 and mixed anaerobic culture. Water Res. 2017, 122, 536–544. [Google Scholar] [CrossRef]






| Main Geochemical Properties | |
| Texture | 58.8% Sand | 
| 15.5% Silt | |
| 25.8% Clay | |
| Particle density (ρp, g/cm3) | 2.55 | 
| Specific surface area (m2/g) | 42.08 | 
| pH | 8.31 | 
| ORP (mV) | 214.7 | 
| NP (g CaCO3/kg) | 583.4 | 
| NP (mol CaCO3/kg) | 5.83 | 
| Loss on ignition (%) | 26.72 | 
| Total carbon C (%) | 7.02 | 
| Organic C (%) | 0.16 | 
| Main Components (%) | |
| CaO | 30.03 | 
| SiO2 | 19.04 | 
| MgO | 9.50 | 
| Fe2O3 | 5.08 | 
| Al2O3 | 1.20 | 
| Na2O | 0.64 | 
| MnO | 0.13 | 
| Trace elements (mg/kg) | |
| Cr | 2195 | 
| Ni | 1082 | 
| Co | 118 | 
| Ba | 45 | 
| Cu | 21.1 | 
| Cd | 3.1 | 
| Hg | 2.5 | 
| As | <20 | 
| Pb | <9 | 
| Parameter | Soil Column | |
|---|---|---|
| I | II | |
| Soil weight, M (g) | 649 | 670 | 
| Column internal diameter, d (mm) | 50 | 50 | 
| Column height, L (mm) | 300 | 300 | 
| Bed Volume, BV (cm3) | 589 | 589 | 
| Dry bulk density, ρp (g/cm3) | 1.102 | 1.137 | 
| Porosity, θ | 0.568 | 0.554 | 
| Pore Volume, Vpv (cm3) | 334.54 | 326.30 | 
| Filter | Glass wool | Glass wool | 
| Properties | Molasses | Emulsified Vegetable Oil | 
|---|---|---|
| Molecular Formula | C6H12NNaO3S | CH3-CHOH-COONa | 
| Appearance/Physical state | Dark brown liquid | Clear to light yellow liquid | 
| Components | - | 60% Lactate/40% Water | 
| Density | 1.4 g/mL | - | 
| Viscosity | - | 100cP (at 20 °C) | 
| Molecular weight | 201.22 g/mol | 112.07 g/mol | 
| pH | 5.1 | 6.0–8.5 | 
| Target Microorganisms | Oligonucleotide Probe | Sequence (5′ to 3′) | Formamide Concentration (%v/v) | Reference | 
|---|---|---|---|---|
| Most Bacteria | EUB338 | GCT GCC TCC CGT AGG AGT | 35 | [61] | 
| Most Archaea | ARCH915 | GTG CTC CCC CGC CAA TTC CT | 35 | [62] | 
| Methanosarcina & Methanosaeta spp. | MSMX860 | GGC TCG CTT CAC GGC TTC CCT | 45 | [63] | 
| Gammaproteobacteria | GAM42a | GCC TTC CCA CAT CGT TT | 35 | [64] | 
| Deltaproteobacteria | DELTA495a | AGT TAG CCG GTG CTT CCT | 35 | [65] | 
| Desulfobacteraceae & Syntrophobacteraceae | DSBAC357 | CCA TTG CGC AAA ATT CCT CAC | 35 | [66] | 
| Acetobacterium spp | AW | GGC TAT TCC TTT CCA TAG GG | 30 | [67] | 
| Geobacter spp. | GEO3A | CCG CAA CAC CTA GTA CTC ATC | 30 | [68] | 
| Desulfovibrio spp. | SRB687 | TAC GGA TTT CAC TCC T | 15 | [69] | 
| Experiment | Parameter | Soil Column | |
|---|---|---|---|
| I | II | ||
| Biotic experiment | Retained COD (mg COD/kg soil) | 1834 | 1798 | 
| Duration of experiment (days) | 110 | 110 | |
| No of experimental runs | 7 | 7 | |
| Mass of reduced Cr(VI) (mg) | 22.41 | 21.06 | |
| Total Cr(VI) removal (mg Cr(VI)/kg soil) | 34.53 | 31.44 | |
| Soil permeability reduction (End of experiment) (%) | 44.92 | 63.32 | |
| Experiment | Parameter | Soil Column | |
|---|---|---|---|
| I | II | ||
| Biotic-Abiotic experiment | Retained COD (mg COD/kg soil) | 2354 | 2360 | 
| Duration of experiment (days) | 189 | 162 | |
| No of experimental runs | 20 | 16 | |
| Mass of reduced Cr(VI) (mg) | 82.8 | 63.2 | |
| Total Cr(VI) removal (mg Cr(VI)/kg soil) | 127.51 | 94.27 | |
| Soil permeability reduction immediately after the addition of Fe+2 (%) | 16.63 | 16.73 | |
| Soil permeability reduction (End of experiment) (%) | 89.91 | 94.33 | |
| Publisher’s Note: MDPI stays neutral with regard to jurisdictional claims in published maps and institutional affiliations. | 
© 2022 by the authors. Licensee MDPI, Basel, Switzerland. This article is an open access article distributed under the terms and conditions of the Creative Commons Attribution (CC BY) license (https://creativecommons.org/licenses/by/4.0/).
Share and Cite
Galani, A.; Mamais, D.; Noutsopoulos, C.; Anastopoulou, P.; Varouxaki, A. Biotic and Abiotic Biostimulation for the Reduction of Hexavalent Chromium in Contaminated Aquifers. Water 2022, 14, 89. https://doi.org/10.3390/w14010089
Galani A, Mamais D, Noutsopoulos C, Anastopoulou P, Varouxaki A. Biotic and Abiotic Biostimulation for the Reduction of Hexavalent Chromium in Contaminated Aquifers. Water. 2022; 14(1):89. https://doi.org/10.3390/w14010089
Chicago/Turabian StyleGalani, Andriani, Daniel Mamais, Constantinos Noutsopoulos, Petra Anastopoulou, and Alexia Varouxaki. 2022. "Biotic and Abiotic Biostimulation for the Reduction of Hexavalent Chromium in Contaminated Aquifers" Water 14, no. 1: 89. https://doi.org/10.3390/w14010089
APA StyleGalani, A., Mamais, D., Noutsopoulos, C., Anastopoulou, P., & Varouxaki, A. (2022). Biotic and Abiotic Biostimulation for the Reduction of Hexavalent Chromium in Contaminated Aquifers. Water, 14(1), 89. https://doi.org/10.3390/w14010089
 
         
                                                



 
       