Application of AMOGWO in Multi-Objective Optimal Allocation of Water Resources in Handan, China
Abstract
:1. Introduction
2. Materials and Methods
2.1. Grey Wolf Optimization (GWO) Algorithm
2.2. Ameliorative Multi-Objective Grey Wolf Optimizer (AMOGWO)
2.2.1. Improvement of Distance Control Parameters
2.2.2. Crowding Degree Added for the Archive
2.2.3. Improvement of the Selection Strategy for Leader Wolves
3. Case Study
3.1. Background of the Study Area
3.2. Water Allocation System
3.3. Optimal Water Resource Allocation Model
3.3.1. Objective Functions
Social Benefits Target
Economic Benefit Target
3.3.2. Constraint Conditions
Water Supply Capacity Constraints
Water Delivery Capacity Constraints
Users’ Water Demand Constraints
Non-Negative Variables
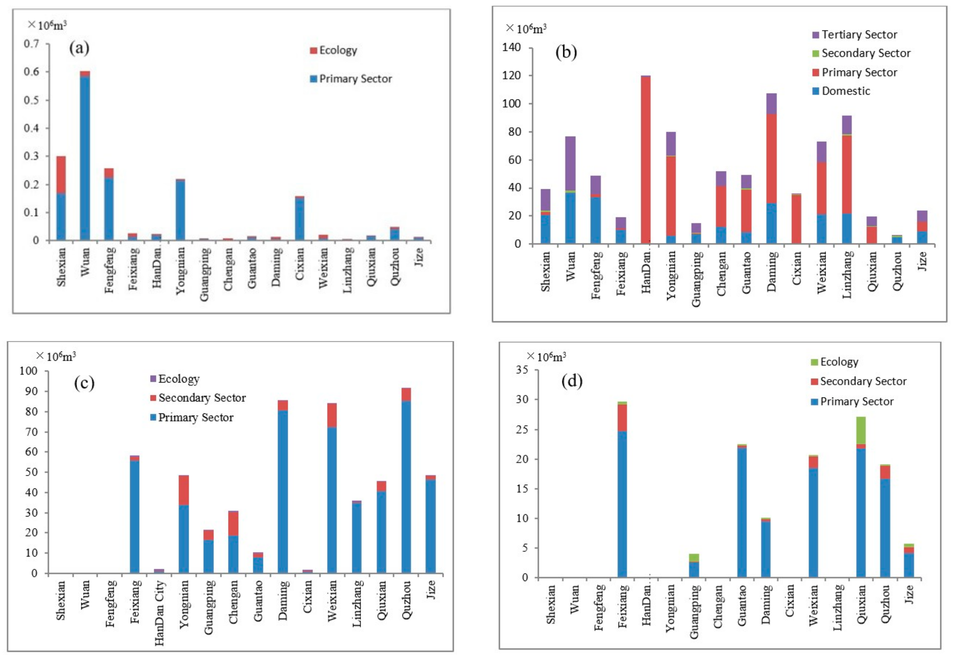
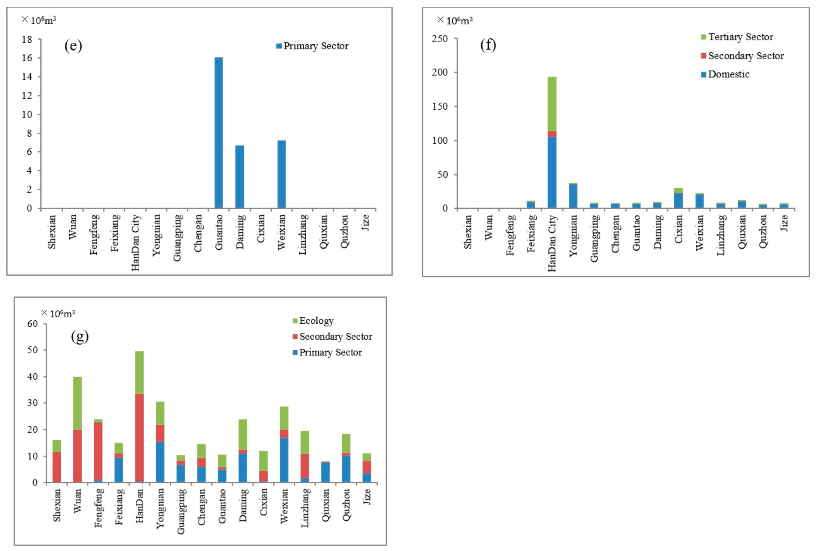
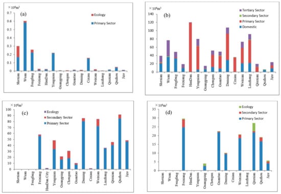
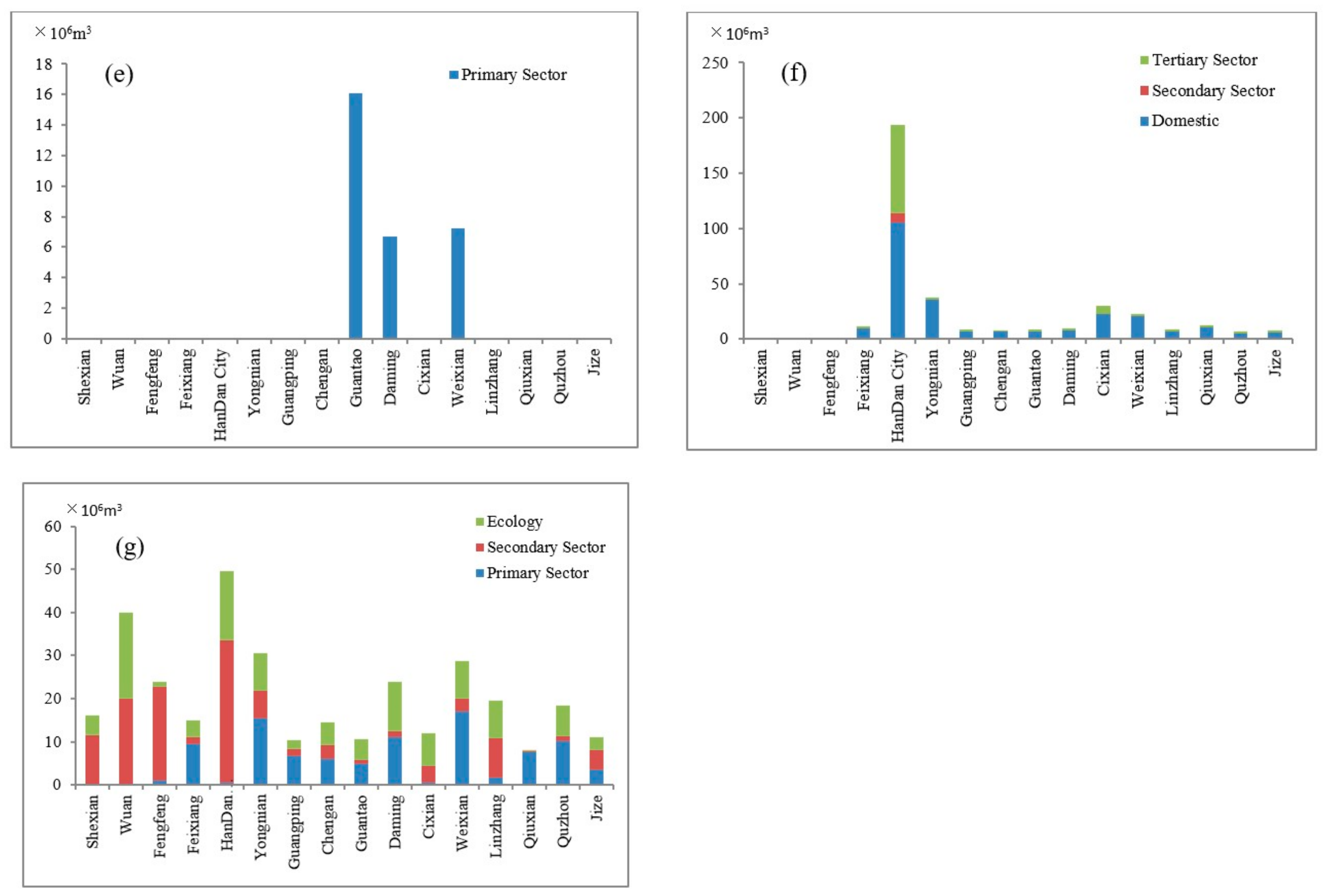
3.4. Water Demand and Supply Forecasting
3.5. Model Parameter Determination
3.5.1. Coefficient of Water Supply Efficiency
3.5.2. Coefficient of Water Supply Cost
3.5.3. Coefficient of Water Supply Sequence
3.5.4. Coefficient of Water Supply Fairness
4. Results and Discussions
4.1. Results Analysis
4.2. Comparison with NSGA-Ⅱ and MOPSO
4.3. Discussion
5. Conclusions
Author Contributions
Funding
Institutional Review Board Statement
Informed Consent Statement
Data Availability Statement
Acknowledgments
Conflicts of Interest
References
- Vörösmary, C.J.; McIntyre, P.B.; Gessner, M.O.; Dudgeon, D.; Prusevich, A.; Green, P.; Glidden, S.; Bunn, S.E.; Sullivan, C.A.; Liermann, C.R.; et al. Global threats to human water security and river biodiversity. Nature 2010, 467, 555–561. [Google Scholar] [CrossRef]
- Frederick, K.D.; Major, D.C. Climate change and water resources. Clim. Chang. 1997, 37, 7–23. [Google Scholar] [CrossRef]
- Forsee, W.J.; Ahmad, S. Evaluating urban stormwater infrastructure design in response to projected climate change. J. Hydrol. Eng. 2011, 16, 865–873. [Google Scholar] [CrossRef]
- Dawadi, S.; Ahmad, S. Evaluating the impact of demand-side management on water resources under changing climatic conditions and increasing population. J. Environ. Manag. 2013, 114, 261–275. [Google Scholar] [CrossRef] [PubMed]
- Wang, X.; Wang, K.; Yang, W.T.; Xi, X.J.; Shi, L.Y.; Dong, W.Y.; Zhang, Q.; Zhou, Y.N. Shortage of Water Resources in China and Countermeasures. Environ. Eng. 2014, 7, 1–5. [Google Scholar]
- Jiang, J.Q. Current situation analysis of water resources in China and Countermeasures for sustainable development. Intell. City 2019, 5, 44–45. [Google Scholar]
- Xu, X.Y.; Wang, H.; Gan, H. Theory and Method of Macroeconomic Water Resources Planning in North China; Yellow River Water Conservancy Press: Zhengzhou, China, 1997. (In Chinese) [Google Scholar]
- Branke, J.; KauSler, T.; Schmeck, H. Guidance in evolutionary multi-objective optimization. Adv. Eng. Softw. 2001, 32, 499–507. [Google Scholar] [CrossRef]
- Marler, R.T.; Arora, J.S. Survey of multi-objective optimization methods for engineering. Struct. Multidiscip. Optim. 2004, 26, 369–395. [Google Scholar] [CrossRef]
- Fang, H.S. Research of Elitist NSGA and Its Application in Regional Water Resources 0ptimal Allocation. Master’s Thesis, Zhongbei University, Taiyuan, China, 2008. (In Chinese). [Google Scholar]
- Deb, K.; Gupta, H. Introducing Robustness in Multi-Objective Optimization; MIT Press: Cambridge, UK, 2006. [Google Scholar]
- Wang, L.P.; Ren, Y.; Qiu, Q.C.; Qiu, F.Y. Survey on Performance Indicators for Multi-Objective Evolutionary Algorithms. Chin. J. Comput. 2021, 44, 1590–1619. [Google Scholar]
- Coello Coello, C.A. Evolutionary multi-objective optimization: A historical view of the field. Comput. Intell. Mag. IEEE 2006, 1, 28–36. [Google Scholar] [CrossRef]
- Coello Coello, C.A. An Updated Survey of Evolutionary Multi objective Optimization Techniques: State of the Art and Future Trends. Diabète Métabolisme 1999, 6, 109–119. [Google Scholar]
- Whitley, D. A genetic algorithm tutorial. Stat. Comput. 1994, 4, 65–85. [Google Scholar] [CrossRef]
- Storn, R.; Price, K. Differential evolution—A simple and efficient heuristic for global optimization over continuous spaces. J. Glob. Optim. 1997, 11, 341–359. [Google Scholar] [CrossRef]
- Zitzler, E.; Thiele, L. Multiobjective evolutionary algorithms: A comparative case study and the strength pareto approach. IEEE Trans. Evol. Comput. 1999, 3, 257–271. [Google Scholar] [CrossRef] [Green Version]
- Srinivas, N.; Deb, K. Muiltiobjective optimization using nondominated sorting in genetic algorithms. Evol. Comput. 1994, 2, 221–248. [Google Scholar] [CrossRef]
- Deb, K.; Pratap, A.; Agarwal, S.; Meyarivan, T. A fast and elitist multiobjective genetic algorithm: NSGA-II. Evol. Comput. IEEE Trans. 2002, 6, 182–197. [Google Scholar] [CrossRef] [Green Version]
- Rosenberg, R.S. Simulation of Genetic Populations with Biochemical Properties; University of Michigan: Ann Arbor, MI, USA, 1967. [Google Scholar]
- Holland, J.H. Adaption in Natural and Artificial Systems; The University of Michigan Press: Ann Arbor, MI, USA, 1975. [Google Scholar]
- Schaffer, J.D. Multiple Objective Optimization with Vector Evaluated Genetic Algorithms. Genetic Algorithms and Their Applications. In Proceedings of the First International Conference on Genetic Algorithms, Hillsdale, NJ, USA, 24–26 July 1985; pp. 93–100. [Google Scholar]
- Fonseca, C.M.; Fleming, P.J. Genetic Algorithms for Multi-objective Optimization: Formulation Discussion and Generalization C. In Proceedings of the Fifth International Conference on Genetic Algorithms, San Francisco, CA, USA, 1 January 1993; pp. 416–423. [Google Scholar]
- Zitzler, E.; Laumanns, M.; Thiele, L. SPEA2: Improving the Strength Pareto Evolutionary Algorithm C. Evolutionary Methods for Design, Optimization and Control with Applications to Industrial Problems; Springer-Verlag: Berlin, Germany, 2002; pp. 95–100. [Google Scholar]
- Coello Coello, C.A.; Pulido, G.T. A Micro-Genetic Algorithm for Multiobjective Optimization. In Evolutionary Multi-Criterion Optimization, Proceedings of the EMO 2001, Zurich, Switzerland, 7–9 March 2001; Zitzler, E., Thiele, L., Deb, K., Coello Coello, C.A., Corne, D., Eds.; Lecture Notes in Computer Science; Springer: Heidelberg, Germany, 2001; Volume 1993. [Google Scholar] [CrossRef]
- Rashedi, E.; Nezamabadi-Pour, H.; Saryazdi, S. GSA: A gravitational search algorithm. Inf. Sci. 2009, 179, 2232–2248. [Google Scholar] [CrossRef]
- Webster, B.; Bernhard, P.J. A local search optimization algorithm based on natural principles of gravitation. In Proceedings of the 2003 International Conference on Information and Knowledge Engineering (IKE’03), Las Vegas, NV, USA, 23–26 June 2003; pp. 255–261. [Google Scholar]
- Hatamlou, A. Black hole: A new heuristic optimization approach for data clustering. Inf. Sci. 2013, 222, 175–184. [Google Scholar] [CrossRef]
- Kaveh, A.; Khayatazad, M. A new meta-heuristic method: Ray optimization. Comput. Struct. 2012, 112, 283–294. [Google Scholar] [CrossRef]
- Shah-Hosseini, H. Principal components analysis by the galaxy-based search algorithm: A novel metaheuristic for continuous optimisation. Int. J. Comput. Sci. Eng. 2011, 6, 132–140. [Google Scholar]
- Moghaddam, F.F.; Moghaddam, R.F.; Cheriet, M. Curved space optimization: A random search based on general relativity theory. arXiv 2012, arXiv:1208.2214. [Google Scholar]
- Kennedy, J.; Eberhart, R. Particle swarm optimization. In Proceedings of the 1995 IEEE International Conference on Neural Networks, Perth, WA, Australia, 27 November–1 December 1995; 4, pp. 1942–1948. [Google Scholar]
- Dorigo, M.; Birattari, M.; Stutzle, T. Ant colony optimization. IEEE Comput. Intell. 2006, 1, 28–39. [Google Scholar] [CrossRef]
- Li, X.L.; Shao, Z.J.; Qian, J.X. An optimizing method based on autonomous animats: Fish-swarm algorithm. Syst. Eng. Theory Pract. 2002, 22, 32–38. (In Chinese) [Google Scholar]
- Pan, W.T. A new fruit fly optimization algorithm: Taking the financial distress model as an example. Knowl. Based Syst. 2012, 26, 69–74. [Google Scholar] [CrossRef]
- Mirjalili, S.; Lewis, A. The whale optimization algorithm. Adv. Eng. Softw. 2016, 95, 51–67. [Google Scholar] [CrossRef]
- Zhu, H.P.; Li, W.J. Multiobjective Structural Optimization with Pareto Genetic Algorithm. J. Northwestern Polytech. Univ. 2001, 19, 152–155. [Google Scholar]
- Kipouros, T.; Jaeggi, D.M.; Dawes, W.N.; Parks, G.T.; Savill, A.M.; Clarkson, P.J. Biobjective design optimization for axial compressors using Tabu Search. AIAA J. 2008, 46, 701–711. [Google Scholar] [CrossRef]
- Luh, G.C.; Chueh, C.H. Multi-objective optimal design of truss structure with immune algorithm. Comput. Struct. 2004, 82, 829–844. [Google Scholar] [CrossRef]
- Guo, H.F.; Ma, H.B.; Dong, Z.C.; Qin, X.B. The Aplication of Improved Multi-objective Particle Swarm Optimization Algorithm to Water Resources Allocation of Poyang Lake. China Rural Water Hydropower 2012, 10, 61–64. (In Chinese) [Google Scholar]
- Wu, A.H. Research and Application of Multi-Objective Ant-Genetic Algorithm for Region Water Resources Optimal Allocation. Comput. Knowl. Technol. 2007, 23, 1392–1393+1398. (In Chinese) [Google Scholar]
- Liu, B.; Sha, J.X. Application of Improved Artificial Fish Swarm Algorithm in Optimal Allocation of Water Resources. Yellow River 2017, 39, 58–62. (In Chinese) [Google Scholar]
- Yan, Z.H.; Sha, J.X.; Liu, B.; Tian, W.; Lu, J.P. An Ameliorative Whale Optimization Algorithm for Multi-Objective Optimal Allocation of Water Resources in Handan, China. Water 2018, 10, 87. [Google Scholar] [CrossRef] [Green Version]
- Wolpert, D.H.; Macready, W.G. No free lunch theorems for optimization. IEEE Trans. Evol. Comput. 1997, 1, 67–82. [Google Scholar] [CrossRef] [Green Version]
- Mirjalili, S.; Mirjalili, S.M.; Lewis, A. Grey wolf optimizer. Adv. Eng. Softw. 2014, 69, 46–61. [Google Scholar] [CrossRef] [Green Version]
- Kalita, K.; Shinde, D.; Chakraborty, S. Grey wolf optimizer-based design of ventilated brake disc. J. Braz. Soc. Mech. Sci. Eng. 2021, 43, 405. [Google Scholar] [CrossRef]
- Zakian, P.; Ordoubadi, B.; Alavi, E. Optimal design of steel pipe rack structures using PSO, GWO, and IGWO algorithms. Adv. Struct. Eng. 2021, 24, 2529–2541. [Google Scholar] [CrossRef]
- Diastivena, D.; Wahyuningsih, S.; Satyananda, D. Grey Wolf Optimizer algorithm for solving the multi depot vehicle routing problem and its implementation. J. Phys. Conf. Ser. 2021, 1872, 012001. [Google Scholar] [CrossRef]
- Zhang, S.; Zhou, Y.; Li, Z.; Pan, W. Grey wolf optimizer for unmanned combat aerial vehicle path planning. Adv. Eng. Softw. 2016, 99, 121–136. [Google Scholar] [CrossRef] [Green Version]
- Zhang, Z.; Hong, W. Application of variational mode decomposition and chaotic grey wolf optimizer with support vector regression for forecasting electric loads. Knowl. Based Syst. 2021, 228, 107297. [Google Scholar] [CrossRef]
- Ghalambaz, M.; Jalilzadeh, Y.R.; Davami, A.H. Building energy optimization using grey wolf optimizer (GWO). Case Stud. Therm. Eng. 2021, 27, 101250. [Google Scholar] [CrossRef]
- Emary, E.; Zawbaa, H.M.; Grosan, C.; Hassenian, A.E. Feature Subset Selection Approach by Gray-Wolf Optimization. In Afro-European Conference for Industrial Advancement. Advances in Intelligent Systems and Computing; Abraham, A., Krömer, P., Snasel, V., Eds.; Springer: Cham, Switzerland, 2015; p. 334. [Google Scholar]
- Kumar, A.; Lekhraj; Singh, S.; Kumar, A. Grey wolf optimizer and other metaheuristic optimization techniques with image processing as their applications: A review. IOP Conf. Ser. Mater. Sci. Eng. 2021, 1136, 012053. [Google Scholar] [CrossRef]
- Wang, X.; Li, Z.S.; Kang, H.; Huang, Y.P.; Gai, D. Medical Image Segmentation using PCNN based on Multi-feature Grey Wolf Optimizer Bionic Algorithm. J. Bionic Eng. 2021, 18, 711–720. [Google Scholar] [CrossRef]
- Sathiyabhama, B.; Kumar, S.U.; Jayanthi, J.; Sathiya, T.; Ilavarasi, A.K.; Yuvarajan, V.; Gopikrishna, K. A novel feature selection framework based on grey wolf optimizer for mammogram image analysis. Neural Comput. Appl. 2021, 33, 14583–14602. [Google Scholar] [CrossRef]
- Niu, W.; Feng, Z.; Liu, S.; Chen, Y.; Xu, Y.; Zhang, J. Multiple Hydropower Reservoirs Operation by Hyperbolic Grey Wolf Optimizer Based on Elitism Selection and Adaptive Mutation. Water Resour. Manag. 2021, 35, 573–591. [Google Scholar] [CrossRef]
- Dahmani, S.; Yebdri, D. Hybrid Algorithm of Particle Swarm Optimization and Grey Wolf Optimizer for Reservoir Operation Management. Water Resour. Manag. 2020, 34, 4545–4560. [Google Scholar] [CrossRef]
- Mirjalili, S.; Saremi, S.; Mirjalili, S.M.; Coelho, L. Multi-objective grey wolf optimizer: A novel algorithm for multi-criterion optimization. Expert Syst. Appl. 2015, 47, 106–119. [Google Scholar] [CrossRef]
- Cui, M.L.; Du, H.W.; Wei, Z.L.; Li, C. Research on improved strategy for multi-objective grey wolf optimizer. Comput. Eng. Appl. 2018, 54, 156–164. (In Chinese) [Google Scholar]
- Hebei Provincial Water Resources Department; Hebei Provincial Administration of Quality and Technical Supervision. Hebei Province Water Use Quota; Hebei Provincial Water Resources Department: Shijiazhuang, China, 2016. (In Chinese)
- Hebei Handan Hydrology and Water Resources Survey Bureau. Assessment of Water Resources in Handan (Third); Hebei Handan Hydrology and Water Resources Survey Bureau: Handan, China, 2019; pp. 71–165. (In Chinese) [Google Scholar]
- Hebei University of Engneering. Research Report on Development and Utilization of Reclaimed Water in Handan; Hebei University of Engneering: Handan, China, 2018; pp. 213–219. (In Chinese) [Google Scholar]
- Handan Water Resources and Hydropower Survey and Design Institute. The Planning of Handan in the South to North Water Transfer Project (Middle Line) of Hebei Province; Handan Water Resources and Hydropower Survey and Design Institute: Handan, China, 2002; pp. 102–110. (In Chinese) [Google Scholar]
- Water Conservancy Bureau of Handan. Allocation and Utilization of Surface Water in Handan; Water Conservancy Bureau of Handan: Handan, China, 2020; pp. 21–22. (In Chinese) [Google Scholar]
- Zeng, F.C. Research on Supply-requirement Analysis and Optimized Allocation of Water Resources in Xi’an City. Master’s Thesis, Chang’an University, Xi’an, China, May 2008. (In Chinese). [Google Scholar]
- Coello, C.A.C.; Pulido, G.T.; Lechuga, M.S. Handling multiple objectives with particle swarm optimization. Evol. Comput. IEEE Trans. 2004, 8, 256–279. [Google Scholar] [CrossRef]
- Chen, J.H.; Cheng, G. Application of GWO-projection suit model to water allocation for Yunnan Province. J. China Three Gorges Univ. (Nat. Sci.) 2016, 38, 29–35. [Google Scholar]
- Long, W.; Cai, S.H.; Jiao, J.J.; Wu, T.B. An Improved GWO. Acta Electron. Sin. 2019, 47, 171–177. [Google Scholar]
- Qifang, L.; Sen, Z.; Zhiming, L.; Yongquan, Z. A novel complex-valued encoding grey wolf optimization algorithm. Algorithms 2015, 9, 4. [Google Scholar]
- Madhiarsan, M.; Deepa, S.N. Long-Term Wind Speed Forecasting using Spiking Neural Network Optimized by Improved Modified Grey Wolf Optimization Algorithm. Int. J. Adv. Res. 2016, 4, 356–368. [Google Scholar] [CrossRef] [Green Version]
- Long, W.; Zhao, D.Q.; XU, S.J. Improved grey wolf optimization algorithm for constrained optimization problem. J. Comput. Appl. 2015, 35, 2590–2595. (In Chinese) [Google Scholar]
- Saremi, S.; Mirjalili, S.Z.; Mirjalili, S.M. Evolutionary population dynamics and grey wolf optimizer. Neural Comput. Appl. 2015, 26, 1257–1263. [Google Scholar] [CrossRef]
- Gholizadeh, S. Optimal design of double layer grids considering nonlinear behaviour by sequential grey wolf algorithm. J. Optim. Civ. Eng. 2015, 5, 511–523. [Google Scholar]
- Long, W.; Liang, X.; Cai, S. A modified augmented Lagrangian with improved grey wolf optimization to constrained optimization problems. Neural Comput. Appl. 2016, 28, 421–438. [Google Scholar] [CrossRef]
- Mittal, N.; Singh, U.; Sohi, B.S. Modified Grey Wolf Optimizer for Global Engineering Optimization. Appl. Comput. Intell. Soft. Comput. 2016, 2016, 7950348. [Google Scholar] [CrossRef] [Green Version]
- Sha, J.X. Application of Improved NSGA-Ⅱ in Optimal Allocation of Water Resources in Xingtai City. Water Resour. Power 2018, 36, 21–26. (In Chinese) [Google Scholar]
- Sha, J.X.; Liu, B.; Xie, X.M.; Lu, H.Y. Study of water resources optimal allocation based on particle swarm optimization. Water Resour. Power 2012, 30, 35–37+69. (In Chinese) [Google Scholar]
- Yan, Z.H.; Liu, B.; Zhang, T.; Sha, J.X.; Nie, H.-J. Study of water resources optimal allocation based on multi-objective particle swarm optimization. Water Resour. Power 2014, 32, 35–37+45. (In Chinese) [Google Scholar]
- Qu, G.D.; Lou, Z.H. Application of particle swarm algorithm in the optimal allocation of regional water resources based on immune evolutionary algorithm. J. Shanghai Jiaotong Univ. Sci. 2013, 18, 634–640. [Google Scholar] [CrossRef]
- Zhang, L.; Xu, Z.X.; Zhang, Z.G. Rational allocation of water resources based on particle swarm optimization. J. China Hydrol. 2009, 29, 41–45+23. (In Chinese) [Google Scholar]
- Chen, X.N.; Duan, Q.C.; Qiu, L.; Huang, Q. Application of large scale system model based on particle swarm optimization to optimal allocation of water resources in irrigation areas. Transact. CSAE 2008, 24, 103–106. (In Chinese) [Google Scholar]








| Subregion | Domestic | Primary Sector | Secondary Sector | Tertiary Sector | Ecology | Total |
|---|---|---|---|---|---|---|
| Shexian | 20.70 | 19.20 | 12.66 | 15.38 | 17.83 | 85.77 |
| Wu’an | 36.58 | 95.38 | 46.20 | 38.50 | 21.63 | 238.29 |
| Fengfeng | 33.30 | 25.76 | 21.86 | 13.25 | 4.23 | 98.40 |
| Feixiang | 20.18 | 120.78 | 8.22 | 9.00 | 5.94 | 164.12 |
| Handan city | 105.27 | 122.59 | 41.82 | 80.38 | 16.09 | 366.15 |
| Yongnian | 41.71 | 137.50 | 21.40 | 17.09 | 9.06 | 226.76 |
| Guangping | 14.14 | 66.20 | 6.31 | 7.00 | 3.83 | 97.48 |
| Cheng’an | 18.97 | 91.73 | 14.65 | 10.63 | 5.81 | 141.79 |
| Guantao | 15.68 | 87.57 | 3.80 | 9.83 | 5.46 | 122.34 |
| Daming | 37.25 | 177.64 | 6.51 | 14.80 | 12.64 | 248.84 |
| Cixian | 22.74 | 51.07 | 4.81 | 8.87 | 8.35 | 95.84 |
| Weixian | 41.96 | 163.57 | 16.50 | 14.88 | 10.19 | 247.10 |
| Linzhang | 29.13 | 145.28 | 10.75 | 12.95 | 8.91 | 207.02 |
| Qiuxian | 10.80 | 88.77 | 6.00 | 7.51 | 5.36 | 118.44 |
| Quzhou | 10.60 | 129.00 | 10.15 | 2.00 | 8.11 | 159.86 |
| Jize | 15.13 | 87.99 | 7.35 | 7.72 | 4.04 | 122.23 |
| Total | 474.14 | 1610.03 | 238.99 | 269.79 | 147.48 | 2740.43 |
| Subregions | Local surface Water | Ground Water | Reservoir Water | Yellow River Transferred Water | Weihe Transferred Water | South–North Transferred Water | Recycled Water |
|---|---|---|---|---|---|---|---|
| Shexian | 107.75 | 62.33 | 16.13 | ||||
| Wu’an | 60.32 | 76.80 | 39.89 | ||||
| Fengfeng | 108.53 | 66.56 | 29.00 | ||||
| Feixiang | 2.70 | 19.39 | √ | √ | 10.00 | 14.99 | |
| Handan City | 1.93 | 119.57 | √ | 193.73 | 86.24 | ||
| Yongnian | 21.76 | 80.24 | √ | 36.00 | 30.47 | ||
| Guangping | 0.47 | 15.03 | √ | √ | 7.00 | 10.31 | |
| Cheng’an | 0.73 | 51.91 | √ | 6.74 | 14.56 | ||
| Guantao | 1.36 | 49.55 | √ | √ | √ | 7.00 | 10.61 |
| Daming | 1.28 | 107.71 | √ | √ | √ | 7.90 | 23.81 |
| Cixian | 28.77 | 66.79 | √ | 30.74 | 15.62 | ||
| Weixian | 2.03 | 73.12 | √ | √ | √ | 21.00 | 28.82 |
| Linzhang | 0.30 | 91.46 | √ | 7.38 | 19.45 | ||
| Qiuxian | 1.67 | 19.67 | √ | √ | 13.00 | 7.90 | |
| Quzhou | 4.92 | 6.15 | √ | √ | 5.53 | 18.39 | |
| Jize | 1.05 | 23.71 | √ | √ | 6.00 | 11.12 | |
| Total | 345.57 | 929.99 | 560.51 | 138.73 | 30.00 | 352.02 | 377.31 |
| Water Supply | Domestic | Primary Sector | Secondary Sector | Tertiary Sector | Ecology |
|---|---|---|---|---|---|
| Local surface water | 0.29 | 0.30 | |||
| Ground water | 0.33 | 0.05 | 0.07 | 0.33 | |
| Reservoir water | 0.10 | 0.20 | 0.10 | ||
| South to North-transferred water | 0.67 | 0.33 | 0.67 | ||
| Yellow River-transferred water | 0.19 | 0.13 | 0.20 | ||
| Weihe River-transferred water | 0.14 | ||||
| Recycled water | 0.24 | 0.27 | 0.40 |
| Subregion | Domestic | Primary Sector | Secondary Sector | Tertiary Sector | Ecology | Total | ||||||||||||
|---|---|---|---|---|---|---|---|---|---|---|---|---|---|---|---|---|---|---|
| Demand | Allocate | Shortage | Demand | Allocate | Shortage | Demand | Allocate | Shortage | Demand | Allocate | Shortage | Demand | Allocate | Shortage | Demand | Allocate | Shortage | |
| Shexian | 20.70 | 20.70 | 0 | 19.20 | 19.20 | 0 | 12.66 | 12.66 | 0 | 15.38 | 15.38 | 0 | 17.83 | 17.83 | 0 | 85.77 | 85.77 | 0 |
| Wu’an | 36.58 | 36.58 | 0 | 95.38 | 58.88 | −36.50 | 46.20 | 21.42 | −24.78 | 38.50 | 38.50 | 0 | 21.63 | 21.63 | 0 | 238.29 | 177.01 | −61.28 |
| Fengfeng | 33.30 | 33.30 | 0 | 25.76 | 25.76 | 0.0 | 21.86 | 21.86 | 0 | 13.25 | 13.25 | 0 | 4.23 | 4.23 | 0 | 98.40 | 98.40 | 0 |
| Feixiang | 20.18 | 20.18 | 0 | 120.78 | 92.18 | −28.60 | 8.22 | 8.22 | 0 | 9.00 | 8.13 | −0.87 | 5.94 | 5.94 | 0 | 164.12 | 134.65 | −29.47 |
| Handan City | 105.27 | 105.27 | 0 | 122.59 | 122.59 | 0.0 | 41.82 | 41.82 | 0 | 80.38 | 80.38 | 0 | 16.09 | 16.09 | 0 | 366.15 | 366.15 | 0 |
| Yongnian | 41.71 | 41.71 | 0 | 137.50 | 127.42 | −10.08 | 21.40 | 21.40 | 0 | 17.09 | 17.09 | 0 | 9.06 | 9.06 | 0 | 226.76 | 216.68 | −10.08 |
| Guangping | 14.14 | 14.14 | 0 | 66.20 | 26.99 | −39.21 | 6.31 | 6.31 | 0 | 7.00 | 7.00 | 0 | 3.83 | 3.83 | 0 | 97.48 | 58.27 | −39.21 |
| Cheng’an | 18.97 | 18.97 | 0 | 91.73 | 54.10 | −37.63 | 14.65 | 14.65 | 0 | 10.63 | 10.63 | 0 | 5.81 | 5.81 | 0 | 141.79 | 104.16 | −37.63 |
| Guantao | 15.68 | 15.68 | 0 | 87.57 | 82.07 | −5.50 | 3.80 | 3.80 | 0 | 9.83 | 9.83 | 0 | 5.46 | 5.46 | 0 | 122.34 | 116.84 | −5.50 |
| Daming | 37.25 | 37.25 | 0 | 177.64 | 171.72 | −5.92 | 6.51 | 6.51 | 0 | 14.80 | 14.80 | 0 | 12.64 | 12.64 | 0 | 248.84 | 242.92 | −5.92 |
| Cixian | 22.74 | 22.74 | 0 | 51.07 | 51.07 | 0 | 4.81 | 4.81 | 0 | 8.87 | 8.87 | 0 | 8.35 | 8.35 | 0 | 95.84 | 95.84 | 0 |
| Weixian | 41.96 | 41.96 | 0 | 163.57 | 153.07 | −10.50 | 16.50 | 16.50 | 0 | 14.88 | 14.88 | 0 | 10.19 | 10.19 | 0 | 247.10 | 236.60 | −10.50 |
| Linzhang | 29.13 | 29.13 | 0 | 145.28 | 92.33 | −52.95 | 10.75 | 10.75 | 0 | 12.95 | 12.95 | 0 | 8.91 | 8.91 | 0 | 207.02 | 154.07 | −52.95 |
| Qiuxian | 10.80 | 10.80 | 0 | 88.77 | 83.78 | −4.99 | 6.00 | 6.00 | 0 | 7.51 | 7.51 | 0 | 5.36 | 5.36 | 0 | 118.44 | 113.45 | −4.99 |
| Quzhou | 10.60 | 10.60 | 0 | 129.00 | 116.21 | −12.79 | 10.15 | 10.15 | 0 | 2.00 | 0.45 | −1.55 | 8.11 | 8.11 | 0 | 159.86 | 145.52 | −14.34 |
| Jize | 15.13 | 15.13 | 0 | 87.99 | 61.66 | −26.33 | 7.35 | 7.35 | 0 | 7.72 | 7.72 | 0 | 4.04 | 4.04 | 0 | 122.23 | 95.90 | −26.33 |
| Total | 474.14 | 474.14 | 0 | 1610.03 | 1339.03 | −271.00 | 238.99 | 214.21 | −24.78 | 269.79 | 267.37 | −2.42 | 147.48 | 147.48 | 0 | 2740.43 | 2442.23 | −298.20 |
| Subregion | Local Surface Water | Ground Water | Reservoir Water | Yellow River-Transferred Water | Weihe-Transferred Water | South–North-Transferred Water | Recycled Water | Total |
|---|---|---|---|---|---|---|---|---|
| Shexian | 30.10 | 39.54 | 16.13 | 85.77 | ||||
| Wu’an | 60.32 | 76.8 | 39.89 | 177.01 | ||||
| Fengfeng | 25.69 | 48.9 | 23.81 | 98.4 | ||||
| Feixiang | 2.70 | 19.39 | 57.85 | 29.72 | 10.00 | 14.99 | 134.65 | |
| Handan City | 1.93 | 119.57 | 1.39 | 193.63 | 49.63 | 366.15 | ||
| Yongnian | 21.76 | 80.24 | 48.21 | 36 | 30.47 | 216.68 | ||
| Guangping | 0.47 | 15.03 | 21.52 | 3.99 | 6.95 | 10.31 | 58.27 | |
| Cheng’an | 0.73 | 51.91 | 30.22 | 6.74 | 14.56 | 104.16 | ||
| Guantao | 1.36 | 49.55 | 9.74 | 22.52 | 16.06 | 7.00 | 10.61 | 116.84 |
| Daming | 1.28 | 107.71 | 85.40 | 10.10 | 6.72 | 7.90 | 23.81 | 242.92 |
| Cixian | 15.73 | 36.24 | 1.34 | 30.66 | 11.87 | 95.84 | ||
| Weixian | 2.03 | 73.12 | 83.89 | 20.52 | 7.22 | 21.00 | 28.82 | 236.6 |
| Linzhang | 0.30 | 91.46 | 35.48 | 7.38 | 19.45 | 154.07 | ||
| Qiuxian | 1.67 | 19.67 | 45.65 | 27.14 | 11.42 | 7.90 | 113.45 | |
| Quzhou | 4.92 | 6.15 | 91.51 | 19.02 | 5.53 | 18.39 | 145.52 | |
| Jize | 1.05 | 23.71 | 48.31 | 5.72 | 5.99 | 11.12 | 95.9 | |
| Total | 172.04 | 858.99 | 560.51 | 138.73 | 30.00 | 350.2 | 331.76 | 2442.23 |
| Algorithm | Social Benefit (106 m3) | Economic Benefit (106 CNY) |
|---|---|---|
| AMOGWO | −298.20 | 87551.03 |
| NSGA-II | −307.35 | 87272.81 |
| MOPSO | −350.55 | 80116.27 |
| Subregions | Local Surface Water | Ground Water | Reservoir Water | Yellow River Transferred Water | Weihe Transferred Water | South To North Transferred Water | Recycled Water | Tatol |
|---|---|---|---|---|---|---|---|---|
| Shexian | 29.54 | 38.12 | 16.11 | 83.77 | ||||
| Wu’an | 56.26 | 76.80 | 39.89 | 172.95 | ||||
| Fengfeng | 18.29 | 52.93 | 27.18 | 98.40 | ||||
| Feixiang | 2.70 | 19.39 | 81.27 | 20.98 | 10.00 | 14.99 | 149.33 | |
| Handan City | 1.93 | 119.40 | 1.62 | 193.39 | 49.81 | 366.15 | ||
| Yongnian | 21.76 | 80.24 | 15.44 | 36.00 | 30.47 | 183.91 | ||
| Guangping | 0.47 | 15.03 | 60.01 | 2.31 | 6.99 | 10.31 | 95.11 | |
| Cheng’an | 0.73 | 51.91 | 54.43 | 6.62 | 14.56 | 128.25 | ||
| Guantao | 1.36 | 49.55 | 37.39 | 5.90 | 3.61 | 7.00 | 10.61 | 115.42 |
| Daming | 1.28 | 107.71 | 77.07 | 5.14 | 2.49 | 7.90 | 23.81 | 225.39 |
| Cixian | 27.87 | 20.66 | 3.05 | 30.74 | 12.59 | 94.91 | ||
| Weixian | 2.03 | 73.12 | 54.86 | 21.27 | 23.20 | 21.00 | 28.82 | 224.31 |
| Linzhang | 0.30 | 91.46 | 55.61 | 7.38 | 19.45 | 174.20 | ||
| Qiuxian | 1.67 | 19.67 | 36.41 | 27.77 | 13.00 | 7.90 | 106.42 | |
| Quzhou | 4.92 | 6.15 | 28.16 | 39.98 | 5.53 | 18.39 | 103.13 | |
| Jize | 1.05 | 23.71 | 54.28 | 15.38 | 5.89 | 11.12 | 111.43 | |
| Total | 172.16 | 845.85 | 559.60 | 138.73 | 29.30 | 351.44 | 336.01 | 2433.08 |
| Subregions | Local Surface Water | Ground Water | Reservoir Water | Yellow River Transferred Water | Weihe Transferred Water | South To North Transferred Water | Recycled Water | Tatol |
|---|---|---|---|---|---|---|---|---|
| Shexian | 30.31 | 47.90 | 7.56 | 85.77 | ||||
| Wu’an | 60.32 | 76.81 | 39.89 | 177.02 | ||||
| Fengfeng | 24.87 | 62.06 | 11.47 | 98.4 | ||||
| Feixiang | 2.70 | 19.39 | 61.14 | 18.30 | 10.00 | 14.99 | 126.52 | |
| Handan City | 1.93 | 119.57 | 18.69 | 157.25 | 68.71 | 366.15 | ||
| Yongnian | 21.76 | 80.24 | 40.91 | 32.51 | 30.47 | 205.89 | ||
| Guangping | 0.47 | 15.03 | 42.56 | 16.79 | 7.00 | 10.31 | 92.16 | |
| Cheng’an | 0.73 | 51.91 | 52.10 | 6.74 | 14.56 | 126.04 | ||
| Guantao | 1.36 | 49.31 | 34.91 | 14.87 | 9.07 | 7.00 | 5.82 | 122.34 |
| Daming | 1.28 | 107.71 | 39.57 | 17.74 | 12.34 | 7.90 | 23.81 | 210.35 |
| Cixian | 17.51 | 31.99 | 18.67 | 19.75 | 7.92 | 95.84 | ||
| Weixian | 2.03 | 73.12 | 47.70 | 18.54 | 8.59 | 21.00 | 28.82 | 199.80 |
| Linzhang | 0.30 | 91.46 | 42.97 | 7.38 | 19.45 | 161.56 | ||
| Qiuxian | 1.67 | 19.67 | 56.15 | 19.66 | 9.81 | 7.90 | 114.86 | |
| Quzhou | 4.92 | 6.15 | 44.26 | 16.05 | 5.53 | 18.39 | 95.30 | |
| Jize | 1.05 | 23.71 | 53.20 | 16.79 | 6.00 | 11.12 | 111.87 | |
| Total | 173.21 | 876.03 | 552.83 | 138.74 | 30.00 | 297.87 | 321.19 | 2389.87 |
Publisher’s Note: MDPI stays neutral with regard to jurisdictional claims in published maps and institutional affiliations. |
© 2021 by the authors. Licensee MDPI, Basel, Switzerland. This article is an open access article distributed under the terms and conditions of the Creative Commons Attribution (CC BY) license (https://creativecommons.org/licenses/by/4.0/).
Share and Cite
Li, S.; Yan, Z.; Sha, J.; Gao, J.; Han, B.; Liu, B.; Xu, D.; Chang, Y.; Han, Y.; Xu, Z.; et al. Application of AMOGWO in Multi-Objective Optimal Allocation of Water Resources in Handan, China. Water 2022, 14, 63. https://doi.org/10.3390/w14010063
Li S, Yan Z, Sha J, Gao J, Han B, Liu B, Xu D, Chang Y, Han Y, Xu Z, et al. Application of AMOGWO in Multi-Objective Optimal Allocation of Water Resources in Handan, China. Water. 2022; 14(1):63. https://doi.org/10.3390/w14010063
Chicago/Turabian StyleLi, Su, Zhihong Yan, Jinxia Sha, Jing Gao, Bingqing Han, Bin Liu, Dan Xu, Yifan Chang, Yuhang Han, Zhiheng Xu, and et al. 2022. "Application of AMOGWO in Multi-Objective Optimal Allocation of Water Resources in Handan, China" Water 14, no. 1: 63. https://doi.org/10.3390/w14010063
APA StyleLi, S., Yan, Z., Sha, J., Gao, J., Han, B., Liu, B., Xu, D., Chang, Y., Han, Y., Xu, Z., & Sun, B. (2022). Application of AMOGWO in Multi-Objective Optimal Allocation of Water Resources in Handan, China. Water, 14(1), 63. https://doi.org/10.3390/w14010063

