Characteristics and Controlling Factors of the Drought Runoff Coefficient
Abstract
1. Introduction
2. Materials and Methods
2.1. Location of the Study Area
2.2. Calculation of the Hydrological Data
2.3. Collecting Data for Controlling Factors
2.4. Statistical Analyses
3. Results
3.1. Annual Precipitation and Drought Water Volume for Each Occurrence Probability
3.2. Classification of the Drought Runoff Coefficient and Controlling Factors
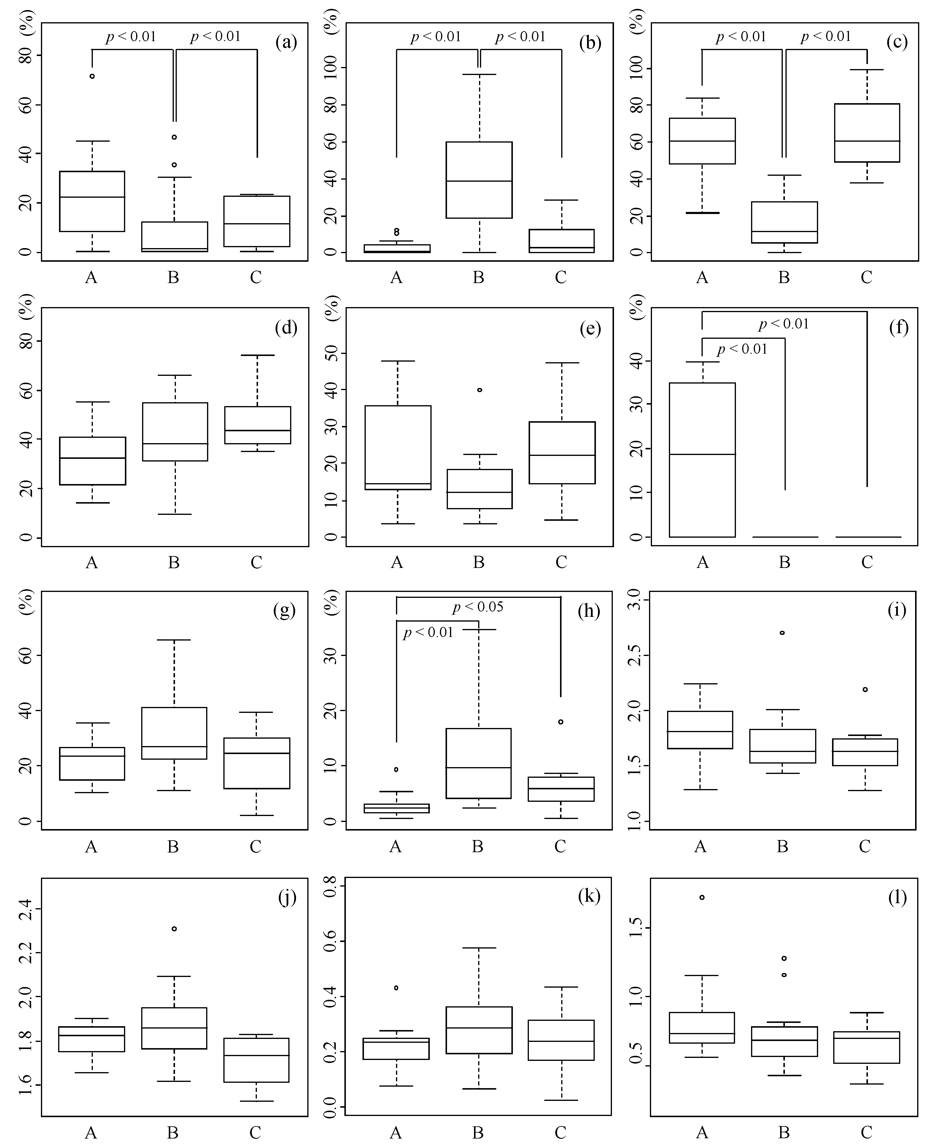
3.3. Characteristics of Controlling Factors in Each Group
4. Discussion
4.1. Difference in Drought Runoff Coefficient between Areas
4.2. Controlling Factors and the Drought Runoff Coefficient
4.2.1. Occurrence Probability of Drought and Controlling Factors
4.2.2. Geological Factors and the Drought Runoff Coefficient
4.2.3. Land Use Factors and the Drought Runoff Coefficient
4.2.4. Topographic Factors and the Drought Runoff Coefficient
5. Conclusions
Funding
Institutional Review Board Statement
Informed Consent Statement
Data Availability Statement
Conflicts of Interest
References
- Mishra, A.K.; Singh, V.P. A review of drought concepts. J. Hydrol. 2010, 391, 202–216. [Google Scholar] [CrossRef]
- Verschuren, D.; Lalrd, K.R.; Cumming, B.F. Rainfall and drought in equatorial east Africa during the past 1100 years. Nature 2000, 403, 410–414. [Google Scholar] [CrossRef]
- Tabari, H.; Abghari, H.; Hosseinzadeh Talaee, P. Temporal trends and spatial characteristics of drought and rainfall in arid and semiarid regions of Iran. Hydrol. Process. 2012, 26, 3351–3361. [Google Scholar] [CrossRef]
- Tfwala, C.M.; van Rensburg, L.D.; Schall, R.; Dlamini, P. Drought dynamics and interannual rainfall variability on the Ghaap plateau, South Africa, 1918–2014. Phys. Chem. Earth 2018, 107, 1–7. [Google Scholar] [CrossRef]
- Nicholls, N. The changing nature of Australian droughts. Clim. Chang. 2004, 63, 323–336. [Google Scholar] [CrossRef]
- Hein, A.; Condon, L.; Maxwell, R. Evaluating the relative importance of precipitation, temperature and land-cover change in the hydrologic response to extreme meteorological drought conditions over the North American High Plains. Hydrol. Earth Syst. Sci. 2019, 23, 1931–1950. [Google Scholar] [CrossRef]
- Namias, J. Written in the winds: The great drought of ′88. Weatherwise 1989, 42, 85–87. [Google Scholar] [CrossRef]
- Behrangi, A.; Loikith, P.C.; Fetzer, E.J.; Nguyen, H.M.; Granger, S.L. Utilizing humidity and temperature data to advance monitoring and prediction of meteorological drought. Climate 2015, 3, 999–1017. [Google Scholar] [CrossRef]
- Frederiksen, H.D. Water crisis in developing world: Misconceptions about solutions. J. Water Res. Plan. Manag. 1996, 122, 79–87. [Google Scholar] [CrossRef]
- Xiao-jun, W.; Jian-yun, Z.; Shahid, S.; ElMahdi, A.; Rui-min, H.; Zhen-xin, B.; Ali, M. Water resources management strategy for adaptation to droughts in China. Mitig. Adapt. Strateg. Glob. Chang. 2012, 17, 923–937. [Google Scholar] [CrossRef]
- El Kharraz, J.; El-Sadek, A.; Ghaffour, N.; Mino, E. Water scarcity and drought in WANA countries. Procedia Eng. 2012, 33, 14–29. [Google Scholar] [CrossRef]
- Liu, M.; Xu, X.; Xu, C.; Sun, A.Y.; Wang, K.; Scanlon, B.R.; Zhang, L. A new drought index that considers the joint effects of climate and land surface change. Water Resour. Res. 2017, 53, 3262–3278. [Google Scholar] [CrossRef]
- Deo, R.C.; Syktus, J.I.; McAlpine, C.A.; Lawrence, P.J.; McGowan, H.A.; Phinn, S.R. Impact of historical land cover change on daily indices of climate extremes including droughts in eastern Australia. Geophys. Res. Lett. 2009, 36, L08705. [Google Scholar] [CrossRef]
- Lee, J.E.; Lintner, B.R.; Boyce, C.K.; Lawrence, P.J. Land use change exacerbates tropical South American drought by sea surface temperature variability. Geophys. Res. Lett. 2011, 38, L19706. [Google Scholar] [CrossRef]
- Wilhite, D.A.; Glantz, M.H. Understanding: The drought phenomenon: The role of definitions. Water Int. 1985, 10, 111–120. [Google Scholar] [CrossRef]
- Smakhtin, V.U.; Hughes, D.A. Automated estimation and analyses of meteorological drought characteristics from monthly rainfall data. Environ. Model. Softw. 2007, 22, 880–890. [Google Scholar] [CrossRef]
- Tallaksen, L.M.; Van Lanen, H.A.J. (Eds.) Hydrological Drought: Processes and Estimation Methods for Streamflow and Groundwater. In Developments in Water Science; Elsevier Science: Amsterdam, The Netherlands, 2004; Volume 48. [Google Scholar]
- Nalbantis, I.; Tsakiris, G. Assessment of hydrological drought revisited. Water Resour. Manag. 2009, 23, 881–897. [Google Scholar] [CrossRef]
- Clausen, B.; Pearson, C.P. Regional frequency analysis of annual maximum streamflow drought. J. Hydrol. 1995, 173, 111–130. [Google Scholar] [CrossRef]
- Rickard, D.S. The occurrence of agricultural drought at Ashburton, New Zealand. N. Z. J. Agric. Res. 1960, 3, 431–441. [Google Scholar] [CrossRef]
- Nieuwolt, S. Agricultural droughts in the tropics. Appl. Clim. 1986, 37, 29–38. [Google Scholar] [CrossRef]
- Eklund, L.; Seaquist, J. Meteorological, agricultural and socioeconomic drought in the Duhok Governorate, Iraqi Kurdistan. Nat. Hazards 2015, 76, 421–441. [Google Scholar] [CrossRef]
- Mehran, A.; Mazdiyasni, O.; AghaKouchak, A. A hybrid framework for assessing socioeconomic drought: Linking climate variability, local resilience, and demand. J. Geophys. Res. 2015, 120, 7520–7533. [Google Scholar] [CrossRef]
- Carrão, H.; Naumann, G.; Barbosa, P. Global projections of drought hazard in a warming climate: A prime for disaster risk management. Clim. Dyn. 2018, 50, 2137–2155. [Google Scholar] [CrossRef]
- Ahmadalipour, A.; Moradkhani, H.; Castelletti, A.; Magliocca, N. Future drought risk in Africa: Integrating vulnerability, climate change, and population growth. Sci. Total Environ. 2019, 662, 672–686. [Google Scholar] [CrossRef] [PubMed]
- Smith, A.B.; Katz, R.W. US billion-dollar weather and climate disasters: Data sources, trends, accuracy and biases. Nat. Hazards 2013, 67, 387–410. [Google Scholar] [CrossRef]
- Smith, A.B.; Matthews, J.L. Quantifying uncertainty and variable sensitivity within the US billion-dollar weather and climate disaster cost estimates. Nat. Hazards 2015, 77, 1829–1851. [Google Scholar] [CrossRef]
- Carrão, H.; Naumann, G.; Barbosa, P. Mapping global patterns of drought risk: An empirical framework based on sub-national estimates of hazard, exposure and vulnerability. Glob. Environ. Chang. 2016, 39, 108–124. [Google Scholar] [CrossRef]
- Vicente-Serrano, S.M.; Beguería, S.; Gimeno, L.; Eklundh, L.; Giuliani, G.; Weston, D.; El Kenawy, A.; López-Moreno, J.I.; Nieto, R.; Ayenew, T.; et al. Challenges for drought mitigation in Africa: The potential use of geospatial data and drought information systems. Appl. Geogr. 2012, 34, 471–486. [Google Scholar] [CrossRef]
- Andreadis, K.M.; Lettenmaier, D.P. Trends in 20th century drought over the continental United States. Geophys. Res. Lett. 2006, 33, L10403. [Google Scholar] [CrossRef]
- Grillakis, M.G. Increase in severe and extreme soil moisture droughts for Europe under climate change. Sci. Total Environ. 2019, 660, 1245–1255. [Google Scholar] [CrossRef] [PubMed]
- Sparks, R.E. Need for ecosystem management of large rivers and their floodplains—These phenomenally productive ecosystems produce fish and wildlife and preserve species. Bioscience 1995, 45, 168–182. [Google Scholar] [CrossRef]
- Bunn, S.E.; Arthington, A.H. Basic principles and ecological consequences of altered flow regimes for aquatic biodiversity. Environ. Manag. 2002, 30, 492–507. [Google Scholar] [CrossRef] [PubMed]
- Taylor, C.M.; Millican, D.S.; Roberts, M.E.; Slack, W.T. Long-term change to fish assemblages and the flow regime in a southeastern U.S. river system after extensive aquatic ecosystem fragmentation. Ecography 2008, 31, 787–797. [Google Scholar] [CrossRef]
- Poff, N.L.; Allan, J.D.; Bain, M.B.; Karr, J.R.; Prestegaard, K.L.; Richter, B.D.; Sparks, R.E.; Stromberg, J.C. The natural flow regime: A paradigm for river conservation and restoration. Bioscience 1997, 47, 769–784. [Google Scholar] [CrossRef]
- Lytle, D.A.; Poff, N.L. Adaptation to natural flow regimes. Trends. Ecol. Evol. 2004, 19, 94–100. [Google Scholar] [CrossRef]
- Naiman, R.J.; Latterell, J.J.; Pettit, N.E.; Olden, J.D. Flow variability and the biophysical vitality of river systems. C. R. Geosci. 2008, 340, 629–643. [Google Scholar] [CrossRef]
- Kennard, M.J.; Pusey, B.J.; Olden, J.D.; MacKay, S.J.; Stein, J.L.; Marsh, N. Classification of natural flow regimes in Australia to support environmental flow management. Freshw. Biol. 2010, 55, 171–193. [Google Scholar] [CrossRef]
- Obled, C.; Wendling, J.; Beven, K. The sensitivity of hydrological models to spatial rainfall patterns: An evaluation using observed data. J. Hydrol. 1994, 159, 305–333. [Google Scholar] [CrossRef]
- Montgomery, D.R.; Dietrich, W.E.; Torres, R.; Anderson, S.P.; Heffner, J.T.; Loague, K. Hydrologic response of a steep, unchanneled valley to natural and applied rainfall. Water Resour. Res. 1997, 33, 91–109. [Google Scholar] [CrossRef]
- Kashaigili, J.J. Impacts of land-use and land-cover changes on flow regimes of the Usangu wetland and the Great Ruaha River, Tanzania. Phys. Chem. Earth 2008, 33, 640–647. [Google Scholar] [CrossRef]
- McIntyre, N.; Marshall, M. Identification of rural land management signals in runoff response. Hydrol. Process. 2010, 24, 3521–3534. [Google Scholar] [CrossRef]
- Meijerink, A.M.J. Estimates of peak runoff from hilly terrain with varied lithology. J. Hydrol. 1985, 77, 227–236. [Google Scholar] [CrossRef]
- Mushiake, K.; Takahashi, Y.; Ando, Y. Effects of basin geology on river-flow regime in mountainous areas of Japan. Proc. Jpn. Soc. Civ. Eng. 1981, 309, 51–62. [Google Scholar] [CrossRef]
- Zecharias, Y.B.; Brutsaert, W. The influence of basin morphology on groundwater outflow. Water Resour. Res. 1988, 24, 1645–1650. [Google Scholar] [CrossRef]
- Vogel, R.M.; Kroll, C.N. Regional geohydrologic-geomorphic relationships for the estimation of low-flow statistics. Water Resour. Res. 1992, 28, 2451–2458. [Google Scholar] [CrossRef]
- Laaha, G.; Blöschl, G. Low flow estimates from short stream flow records—A comparison of methods. J. Hydrol. 2005, 306, 264–286. [Google Scholar] [CrossRef]
- Laaha, G.; Blöschl, G. A comparison of low flow regionalisation methods-catchment grouping. J. Hydrol. 2006, 323, 193–214. [Google Scholar] [CrossRef]
- Japan Dam Foundation. Dam Year Directory; Japan Dam Foundation: Tokyo, Japan, 2019. [Google Scholar]
- Itsukushima, R.; Shimatani, Y. Comparative study on flow regime in Kyushu Island. Annu. J. Hydraul. Eng. JSCE 2015, 71, I_1213–I_1218. [Google Scholar]
- Itsukushima, R.; Tanaka, W.; Shimatani, Y. Influence of watershed characteristics on flood discharge at 46 water level stations in Japan: Findings from factor analysis at different scale of flood. Annu. J. Hydraul. Eng. JSCE 2016, 72, I_1255–I_1260. [Google Scholar]
- Changnon, S.A. Detecting drought conditions in Illinois. Ill. State Water Surv. Champaign Circ. 1987, 169, 1–41. [Google Scholar]
- Van Loon, A.F. Hydrological drought explained. Wiley Interdiscip. Rev. Water 2015, 2, 359–392. [Google Scholar] [CrossRef]
- Agnew, C.; Warren, A. A framework for tackling drought and land degradation. J. Arid. Environ. 1996, 33, 309–320. [Google Scholar] [CrossRef]
- McMahon, T.A.; Finlayson, B.L. Droughts and anti-droughts: The low flow hydrology of Australian rivers. Freshw. Biol. 2003, 48, 1147–1160. [Google Scholar] [CrossRef]
- Henny, C.J.; Hill, E.F.; Grove, R.A.; Kaiser, J.L. Mercury and Drought along the Lower Carson River, Nevada: I. Snowy Egret and Black-Crowned Night-Heron Annual Exposure to Mercury, 1997–2006. Arch. Environ. Contam. Toxicol. 2007, 53, 269–280. [Google Scholar] [CrossRef]
- Lorenzo-Lacruz, J.; Vicente-Serrano, S.M.; López-Moreno, J.I.; Beguería, S.; García-Ruiz, J.M.; Cuadrat, J.M. The impact of droughts and water management on various hydrological systems in the headwaters of the Tagus River (central Spain). J. Hydrol. 2010, 386, 13–26. [Google Scholar] [CrossRef]
- Yue, S.; Ouarda, T.B.M.J.; Bobée, B.; Legendre, P.; Bruneau, P. The Gumbel mixed model for flood frequency analysis. J. Hydrol. 1999, 226, 88–100. [Google Scholar] [CrossRef]
- Takara, K.; Tosa, K. Application of probability distributions with lower and upper bounds to hydrologic frequency analysis. Proc. Hydraul. Eng. JSCE 1999, 43, 121–126. [Google Scholar] [CrossRef]
- Griffis, V.W.; Stedinger, J.R. Log-Pearson type 3 distribution and Its application in flood frequency analysis. I: Distribution characteristics. J. Hydrol. Eng 2007, 12, 482–491. [Google Scholar] [CrossRef]
- Takara, K.; Takasao, T. Comparison of parameter estimation methods for hydrologic frequency analysis model. Proc. Hydraul. Eng. JSCE 1990, 34, 7–12. [Google Scholar] [CrossRef][Green Version]
- Ishihara, T.; Takase, N. The logarithmic-normal distribution and its solution based on moment method. Trans. Jpn. Soc. Civ. Eng. 1957, 47, 18–23. [Google Scholar] [CrossRef]
- Griffis, V.W. Flood Frequency Analysis: Bulletin 17, Regional Information, and Climate Change. Ph.D. Dissertation, Cornell University, Ithaca, NY, USA, 2006. [Google Scholar]
- Interagency Committee on Water Data. Guidelines for Determining Flood Flow Frequency: Bulletin 17 B (Revised and Corrected); Hydrology Subcommittee: Washington, DC, USA, 1982; pp. 1–28.
- Takara, K. Frequency analysis of hydrological extreme events and how to consider climate change. In Proceedings of the Nineteenth IHP Training Course (International Hydrological Program), Kyoto, Japan, 29 November–12 December 2009. [Google Scholar]
- Etoh, T.; Murota, A.; Nakanishi, M. SQRT-exponential type distribution of maximum. In Hydrologic Frequency Modeling; Springer Science and Business Media LLC: Dordrecht, The Netherlands, 1987; pp. 253–264. [Google Scholar]
- Stedinger, J.R.; Vogel, R.M.; Foufoula-Georgiou, E. Chapter 18–Frequency analysis of extreme events. In Handbook of Hydrology; Maidment, D.R., Ed.; McGraw-Hill: New York, NY, USA, 1993. [Google Scholar]
- Takasao, T.; Takara, K.; Shimizu, A. A basic study on frequency analysis of hydrological data in the Lake Biwa basin. Disaster Prev. Res. Inst. Annu. Kyoto Univ. 1986, 29, 157–171. [Google Scholar]
- Takara, K.; Kobayashi, K. Hydraulic analysis methods suitable to the sample size of extreme events. Annu. J. Hydraul. Eng. JSCE 2009, 53, 205–210. [Google Scholar]
- Wilhite, D.A. Drought as a Natural Hazard: Concepts and Definitions; Drought Mitigation Center Faculty Publications: Lincoln, NE, USA, 2000; p. 69. [Google Scholar]
- Whipple, W. Regional drought frequency analysis. Proc. ASCE 1966, 92, 11–31. [Google Scholar]
- Changnon, S.A. Removing the confusion over droughts and floods: The interface between scientists and policy makers. Water Int. 1980, 5, 10–18. [Google Scholar] [CrossRef]
- Burrough, P.A.; McDonell, R.A. Principles of Geographical Information Systems; Oxford University Press: New York, NY, USA, 1998; p. 190. [Google Scholar]
- Horton, R.E. Drainage Basin Characteristic. Trans. Am. Geophys. Union 1932, 13, 350–361. [Google Scholar] [CrossRef]
- Miller, V.C. A quantitative geomorphic study of drainage basin characteristics in the Clinch mountain area, Virginia and Tennessee. J. Geol. 1953, 65, 30. [Google Scholar]
- Kruskal, J.B. Multidimensional scaling by optimizing goodness of fit to a nonmetric hypothesis. Psychometrika 1964, 29, 1–27. [Google Scholar] [CrossRef]
- Coxon, A.P.M. The User’s Guide to Multidimensional Scaling; Heinemann: London, UK, 1982. [Google Scholar]
- Gauch, H.G. Multivariate Analysis in Community Ecology. Cambridge Studies in Ecology 1; Cambridge University Press: Cambridge, UK, 1982. [Google Scholar]
- Whittaker, R.J. An application of detrended correspondence analysis and non- metric multidimensional scaling to the identification and analysis of environmental factor complexes and vegetation structures. J. Ecol. 1987, 75, 363–376. [Google Scholar] [CrossRef]
- Bray, J.R.; Curtis, J.T. An Ordination of the Upland Forest Communities of Southern Wisconsin. Ecol. Monogr. 1952, 27, 325–349. [Google Scholar] [CrossRef]
- McCullagh, P.; Nelder, J. Generalized Linear Models, 2nd ed.; Chapman and Hall/CRC: Boca Raton, FL, USA, 1989. [Google Scholar]
- Burnham, K.P.; Anderson, D.R. Model Selection and Multi-Model Inference, 2nd ed.; Springer: Berlin, Germany, 2002; Volume 26, p. 488. [Google Scholar]
- Efroymson, M.A. Multiple regression analysis. In Mathematical Methods for Digital Computers; Ralston, A., Wilf, H.S., Eds.; Wiley: New York, NY, USA, 1960. [Google Scholar]
- Ali, G.; Tetzlaff, D.; Soulsby, C.; McDonnell, J.J.; Capell, R. A comparison of similarity indices for catchment classification using a cross-regional dataset. Adv. Water Resour. 2012, 40, 11–22. [Google Scholar] [CrossRef]
- Sawicz, K.; Wagener, T.; Sivapalan, M.; Troch, P.A.; Carrillo, G. Catchment classification: Empirical analysis of hydrologic similarity based on catchment function in the eastern USA. Hydrol. Earth Syst. Sci. 2011, 15, 2895–2911. [Google Scholar] [CrossRef]
- Wagner, T.; Sivapalan, M.; Troch, P.; Woods, R. Catchment Classification and Hydrologic Similarity. Geogr. Compass 2007, 1, 901–931. [Google Scholar] [CrossRef]
- Carey, S.K.; Tetzlaff, D.; Seibert, J.; Soulsby, C.; Buttle, J.; Laudon, H.; McDonnell, J.; McGuire, K.; Caissie, D.; Shanley, J.; et al. Inter-comparison of hydro-climatic regimes across northern catchments: Synchronicity, resistance and resilience. Hydrol. Process. 2010, 24, 3591–3602. [Google Scholar] [CrossRef]
- Ahn, C.-H.; Tateishi, R. Development of Global Land Surface Evapotranspiration and Water Balance Data Sets. J. Jpn. Soc. Photogramm. Remote Sens. 1994, 33, 48–61. [Google Scholar] [CrossRef]
- Zhang, K.; Kimball, J.S.; Kim, Y.; Mcdonald, K.C. Changing freeze-thaw seasons in northern high latitudes and associated influences on evapotranspiration. Hydrol. Process. 2011, 25, 4142–4151. [Google Scholar] [CrossRef]
- Takahashi, Y.; Kurihara, H.; Kinoshira, T.; Ishizaki, K.; Mushiake, K. River Hydrol; Kyoritsu Shuppan: Tokyo, Japan, 1978. [Google Scholar]
- Wada, K.; Murase, M.; Tomizawa, Y. Study on the variation of rainfall characteristic and flood and drought risks assessment of global warming. Proc. JSCE II Hydraul. Sanit. Eng. 2005, 796, 23–37. [Google Scholar]
- Arao, K.; Kaneko, K. Regional singularities of heavy rain in June and July in Kyushu. Sci. Bull. Fac. Educ. Nagasaki Univ. 1985, 36, 17–24. [Google Scholar]
- Sudo, S. Distribution and proportion of rock and geological layer in Japan. Aggreg. Resour. Investig. Rep. 2006, 56–65. [Google Scholar]
- Berger, K.P.; Entekhabi, D. Basin hydrologic response relations to distributed physiographic descriptors and climate. J. Hydrol. 2001, 247, 169–182. [Google Scholar] [CrossRef]
- Peters, E.; Torfs, P.J.J.F.; van Lanen, H.A.J.; Bier, G. Propagation of drought through groundwater—A new approach using linear reservoir theory. Hydrol. Process. 2003, 17, 3023–3040. [Google Scholar] [CrossRef]
- Peters, E.; Van Lanen, H.A.J.; Torfs, P.J.J.F.; Bier, G. Drought in groundwater—Drought distribution and performance indicators. J. Hydrol. 2005, 306, 302–317. [Google Scholar] [CrossRef]
- Salinas, J.L.; Laaha, G.; Rogger, M.; Parajka, J.; Viglione, A.; Sivapalan, M.; Blöschl, G. Comparative assessment of predictions in ungauged basins-Part 2: Flood and low flow studies. Hydrol. Earth Syst. Sci. 2013, 17, 2637–2652. [Google Scholar] [CrossRef]
- Lacey, G.C.; Grayson, R.B. Relating baseflow to catchment properties in south-eastern Australia. J. Hydrol. 1998, 204, 231–250. [Google Scholar] [CrossRef]
- Bloomfield, J.P.; Allen, D.J.; Griffiths, K.J. Examining geological controls on baseflow index (BFI) using regression analysis: An illustration from the Thames Basin, UK. J. Hydrol. 2009, 373, 164–176. [Google Scholar] [CrossRef]
- Yokoo, Y.; Oki, T. Effects of climate, topography, soil, geology and land use on flow regimes in Japanese mountainous watersheds. Annu. J. Hydraul. Eng. JSCE 2010, 54, 469–474. [Google Scholar]
- Gaál, L.; Szolgay, J.; Kohnová, S.; Parajka, J.; Merz, R.; Viglione, A.; Blöschl, G. Flood timescales: Understanding the interplay of climate and catchment processes through comparative hydrology. Water Resour. Res. 2012, 48, W04511. [Google Scholar] [CrossRef]
- Condon, L.E.; Maxwell, R.M. Evaluating the relationship between topography and groundwater using outputs from a continental-scale integrated hydrology model. Water Resour. Res. 2015, 51, 6602–6621. [Google Scholar] [CrossRef]
- Andréassian, V. Waters and forests: From historical controversy to scientific debate. J. Hydrol. 2004, 291, 1–27. [Google Scholar] [CrossRef]
- Calder, I.R. Evaporation in the Uplands; Wiley: Chichester, UK, 1990; p. 148. [Google Scholar]
- Zhang, L.; Dawes, W.R.; Walker, G.R. Response of mean annual evapotranspiration to vegetation changes at catchment scale. Water Resour. Res. 2001, 37, 701–708. [Google Scholar] [CrossRef]
- Hirano, H.; Terajima, T.; Nakamura, T.; Sakai, M.; Aoki, F.; Nanami, A. The differences in the short-term runoff characteristics between the coniferous catchment and the deciduous catchment: The effects of storm size on stormflow generation processes of small forested catchments. J. Jpn. Soc. Hydrol. Water Resour. 2009, 22, 24–39. [Google Scholar] [CrossRef]
- Bosch, J.M.; Hewlett, J.D. A review of catchment experiments to determine the effect of vegetation changes on water yield and evapotranspiration. J. Hydrol. 1982, 55, 3–23. [Google Scholar] [CrossRef]
- Brown, A.E.; Zhang, L.; McMahon, T.A.; Western, A.W.; Vertessy, R.A. A review of paired catchment studies for determining changes in water yield resulting from alterations in vegetation. J. Hydrol. 2005, 310, 28–61. [Google Scholar] [CrossRef]
- Maita, E.; Suzuki, M. Change in the Monthly Water Yield after Clear-cutting in Fukuroyamasawa, Chiba. J. Jpn. For. Soc. 2007, 89, 278–287. [Google Scholar] [CrossRef][Green Version]
- Maita, E.; Suzuki, M. The effect of forest cutting on flow duration curve of mountainous small watershed: Evaluation of the influence of vegetation on inter-watershed variation in flow duration curve. J. Jpn. For. Soc. 2008, 90, 36–45. [Google Scholar] [CrossRef]
- Scott, D.F.; Lesch, W. Streamflow responses to afforestation with Eucalyptus grandis and Pinus patula and to felling in the Mokobulaan experimental catchments, South Africa. J. Hydrol. 1997, 199, 360–377. [Google Scholar] [CrossRef]
- Sakai, Y.; Hirano, T.; Aoki, T.; Terajima, T.; Natsuhara, Y. The effects of tree species and forest management on the short-term runoff characteristics of the small catchments. J. Jpn. Soc. Reveg. Technol. 2009, 35, 306–317. [Google Scholar] [CrossRef]
- Rasoulzadeh, A.; Homapoor Ghoorabjiri, M. Comparing hydraulic properties of different forest floors. Hydrol. Process. 2014, 28, 5122–5130. [Google Scholar] [CrossRef]
- Fohrer, H.; Haverkamp, K.; Eckhardt, K.; Frede, H.G. Hydrologic response to land use changes on the catchment scale. Phys. Chem. Earth Part. B Hydrol. Oceans Atmos. 2001, 26, 577–582. [Google Scholar] [CrossRef]
- Brown, L.R.; Cuffney, T.F.; Coles, J.F.; Fitzpatrick, F.; McMahon, G.; Steuer, J.; Bell, A.H.; May, J.T. Urban streams across the USA: Lessons learned from studies in 9 metropolitan areas. J. N. Am. Benthol. Soc. 2009, 28, 1051–1069. [Google Scholar] [CrossRef]
- Poff, N.L.; Bledsoe, B.P.; Cuhaciyan, C.O. Hydrologic variation with land use across the contiguous United States: Geomorphic and ecological consequences for stream ecosystems. Geomorphology 2006, 79, 264–285. [Google Scholar] [CrossRef]
- Simmons, D.L.; Reynolds, R.J. Effects of Urbanization on Base Flow of Selected South-Shore Streams, Long Island, New York. J. Am. Water Resour. 1982, 18, 797–805. [Google Scholar] [CrossRef]
- Leopold, L.B. Hydrology for Urban Planning—A Guidebook on the Hydrologic Effects of Urban Land Use; U.S. Geological Survey Circular 554; U.S. Geological Survey: Washington, DC, USA, 1968.
- Merz, R.; Blöschl, G. A regional analysis of event runoff coefficients with respect to climate and catchment characteristics in Austria. Water Resour. Res. 2009, 45, W01405. [Google Scholar] [CrossRef]
- Moliere, D.R.; Lowry, J.B.C.; Humphrey, C.L. Classifying the flow regime of data-limited streams in the wet-dry tropical region of Australia. J. Hydrol. 2009, 367, 1–13. [Google Scholar] [CrossRef]
- Engeland, K.; Hisdal, H. A comparison of low flow estimates in ungauged catchments using regional regression and the HBV-model. Water Resour. Manag. 2009, 23, 2567–2586. [Google Scholar] [CrossRef]
- Castellarin, A.; Galeati, G.; Brandimarte, L.; Montanari, A.; Brath, A. Regional flow-duration curves: Reliability for ungauged basins. Adv. Water Resour. 2004, 27, 953–965. [Google Scholar] [CrossRef]
- Abebe, A.; Foerch, G. Catchment characteristics as predictors of base flow index (BFI) in Wabishebele river basin, East Africa. In Proceedings of the Conference on International Agricultural Research for Development, Uppsala, Sweden, 22–23 September 2015; pp. 1–8. [Google Scholar]
- Horton, R.E. Erosional development of streams and their drainage basins; Hydrophysical approach to quantitative morphology. Bull. Geol. Soc. Am. 1945, 56, 275–370. [Google Scholar] [CrossRef]
- Strahler, A.N. Quantitative analysis of watershed geomorphology. Eos Trans. Am. Geophys. Union 1957, 38, 913–920. [Google Scholar] [CrossRef]
- Berne, A.; Uijlenhoet, R.; Troch, P.A. Similarity analysis of subsurface flow response of hillslopes with complex geometry. Water Resour. Res. 2005, 41, 1–10. [Google Scholar] [CrossRef]




| No | Observation Station | Basin Area (km2) | Precipitation Amount for Each Occurrence Probability (mm) | N | Model | |||||
|---|---|---|---|---|---|---|---|---|---|---|
| 1/2 | 1/10 | 1/30 | 1/50 | 1/100 | 1/400 | |||||
| 1 | Bihoro | 824 | 925 | 731 | 659 | 633 | 602 | 554 | 31 | Gev |
| 2 | Kitami | 1394 | 794 | 601 | 515 | 481 | 439 | 370 | 31 | Gev |
| 3 | Kaisei | 1335 | 832 | 646 | 569 | 539 | 504 | 445 | 31 | Gev |
| 4 | Kamishokotsu | 1051 | 929 | 701 | 595 | 552 | 500 | 411 | 31 | Gev |
| 5 | Makunbetsu | 695 | 961 | 781 | 702 | 672 | 634 | 570 | 31 | Gumbel |
| 6 | Ponpira | 4029 | 1161 | 964 | 864 | 822 | 769 | 673 | 31 | Gev |
| 7 | Uryuubashi | 1661 | 1439 | 1199 | 1085 | 1038 | 980 | 880 | 31 | Gev |
| 8 | Nakoma | 1402 | 1245 | 1035 | 936 | 897 | 847 | 762 | 31 | LN3Q |
| 9 | Mukawa | 1228 | 1192 | 907 | 767 | 711 | 641 | 520 | 31 | Gev |
| 10 | Moiwa | 8208 | 1041 | 813 | 709 | 668 | 617 | 532 | 31 | LN3Q |
| 11 | Takanosu | 2109 | 1595 | 1285 | 1164 | 1120 | 1067 | 982 | 31 | Gev |
| 12 | Tsubakikawa | 4305 | 1957 | 1642 | 1522 | 1477 | 1422 | 1332 | 31 | LN2LM |
| 13 | Todorokibashi | 937 | 2155 | 1815 | 1684 | 1634 | 1575 | 1477 | 31 | LN2LM |
| 14 | Sanbongibashi | 551 | 1387 | 1147 | 1054 | 1018 | 977 | 906 | 31 | Iwai |
| 15 | Teratsu | 661 | 1195 | 972 | 890 | 861 | 826 | 772 | 31 | Gev |
| 16 | Kodaiji | 180 | 1199 | 913 | 793 | 747 | 691 | 598 | 31 | Gev |
| 17 | Shirakawa | 172 | 1957 | 1447 | 1200 | 1101 | 978 | 772 | 31 | Gev |
| 18 | Kurogo | 580 | 977 | 774 | 685 | 651 | 608 | 536 | 31 | LN3Q |
| 19 | Otome | 760 | 1381 | 1117 | 988 | 935 | 870 | 756 | 31 | Gev |
| 20 | Nakazato | 205 | 1629 | 1285 | 1103 | 1026 | 929 | 755 | 31 | Gev |
| 21 | Takatsudo | 472 | 1684 | 1323 | 1149 | 1080 | 994 | 847 | 31 | LN3Q |
| 22 | Iwahana | 1228 | 1282 | 970 | 845 | 799 | 743 | 653 | 31 | Gumbel |
| 23 | Kitamatsuno | 3540 | 1488 | 1107 | 973 | 923 | 865 | 772 | 31 | Iwai |
| 24 | Iwakura | 501 | 1634 | 1266 | 1117 | 1060 | 992 | 877 | 31 | Iwai |
| 25 | Hota | 163 | 1337 | 907 | 717 | 646 | 564 | 434 | 31 | LN3Q |
| 26 | Banjou | 105 | 1372 | 1037 | 862 | 790 | 700 | 544 | 31 | Gev |
| 27 | Kashiwara | 962 | 1397 | 1035 | 866 | 800 | 720 | 589 | 31 | LN3Q |
| 28 | Hirohara | 195 | 1869 | 1616 | 1520 | 1484 | 1443 | 1381 | 31 | Gev |
| 29 | Huichiba | 837 | 1721 | 1412 | 1287 | 1239 | 1181 | 1082 | 31 | LogP3 |
| 30 | Mitani | 1049 | 1818 | 1435 | 1307 | 1261 | 1208 | 1122 | 31 | LP3Rs |
| 31 | Otsu | 911 | 1866 | 1536 | 1401 | 1348 | 1282 | 1172 | 31 | LogP3 |
| 32 | Miyatabashi | 123 | 1475 | 1112 | 950 | 886 | 808 | 677 | 31 | Gev |
| 33 | Natsuyoshi | 47 | 1890 | 1404 | 1178 | 1087 | 977 | 791 | 31 | Gev |
| 34 | Nakashima | 326 | 2262 | 1664 | 1379 | 1264 | 1125 | 891 | 31 | Gev |
| 35 | Akimatsubashi | 113 | 1835 | 1368 | 1144 | 1055 | 944 | 756 | 31 | Gev |
| 36 | Hinodebashi | 695 | 1751 | 1309 | 1101 | 1018 | 917 | 745 | 31 | Gev |
| 37 | Tokusuebashi | 71 | 2252 | 1531 | 1256 | 1159 | 1049 | 883 | 31 | Exp |
| 38 | Kawanishibashi | 120 | 2252 | 1618 | 1323 | 1205 | 1063 | 824 | 31 | Gev |
| 39 | Myokenbashi | 95 | 1825 | 1342 | 1115 | 1024 | 912 | 725 | 31 | Gev |
| 40 | Ikemori | 231 | 1748 | 1271 | 1037 | 943 | 826 | 632 | 31 | Gev |
| 41 | Tateno | 386 | 2688 | 1992 | 1727 | 1629 | 1511 | 1316 | 31 | LogP3 |
| 42 | Itsukimiyazono | 227 | 2217 | 1639 | 1414 | 1330 | 1232 | 1068 | 31 | LN3Q |
| 43 | Shiratakibashi | 1381 | 1942 | 1441 | 1247 | 1174 | 1087 | 943 | 31 | LogP3 |
| 44 | Banjyoubashi | 278 | 2165 | 1548 | 1321 | 1238 | 1142 | 989 | 31 | Gumbel |
| No | Drought Water Volume for Each Occurrence Probability (106 M3) | N | Model | Drought Water Volume Per Unit Drainage Area for Each Occurrence Probability | ||||||||||
|---|---|---|---|---|---|---|---|---|---|---|---|---|---|---|
| 1/2 | 1/10 | 1/30 | 1/50 | 1/100 | 1/400 | 1/2 | 1/10 | 1/30 | 1/50 | 1/100 | 1/400 | |||
| 1 | 435 | 299 | 254 | 240 | 222 | 196 | 60 | Gev | 0.53 | 0.36 | 0.31 | 0.29 | 0.27 | 0.24 |
| 2 | 699 | 521 | 461 | 441 | 415 | 373 | 60 | LN3PM | 0.50 | 0.37 | 0.33 | 0.32 | 0.30 | 0.27 |
| 3 | 962 | 709 | 637 | 613 | 585 | 541 | 52 | LogP3 | 0.72 | 0.53 | 0.48 | 0.46 | 0.44 | 0.40 |
| 4 | 909 | 680 | 610 | 588 | 565 | 532 | 60 | Gev | 0.86 | 0.65 | 0.58 | 0.56 | 0.54 | 0.51 |
| 5 | 833 | 588 | 500 | 476 | 435 | 385 | 49 | LN3Q | 1.20 | 0.85 | 0.72 | 0.69 | 0.63 | 0.55 |
| 6 | 5882 | 4762 | 4348 | 4167 | 4000 | 3704 | 46 | Gev | 1.46 | 1.18 | 1.08 | 1.03 | 0.99 | 0.92 |
| 7 | 2326 | 1852 | 1667 | 1587 | 1515 | 1370 | 40 | LN3Q | 1.40 | 1.11 | 1.00 | 0.96 | 0.91 | 0.82 |
| 8 | 2082 | 1724 | 1613 | 1563 | 1515 | 1449 | 52 | Gev | 1.49 | 1.23 | 1.15 | 1.11 | 1.08 | 1.03 |
| 9 | 1250 | 833 | 667 | 625 | 556 | 438 | 42 | LogP3 | 1.02 | 0.68 | 0.54 | 0.51 | 0.45 | 0.35 |
| 10 | 7143 | 5263 | 4545 | 4348 | 4000 | 3448 | 47 | LogP3 | 0.87 | 0.64 | 0.55 | 0.53 | 0.49 | 0.42 |
| 11 | 3226 | 2632 | 2381 | 2283 | 2174 | 2000 | 55 | Iwai | 1.53 | 1.25 | 1.13 | 1.08 | 1.03 | 0.95 |
| 12 | 8333 | 6667 | 5882 | 5882 | 5556 | 5263 | 71 | Gev | 2.07 | 1.65 | 1.46 | 1.46 | 1.38 | 1.30 |
| 13 | 1961 | 1538 | 1389 | 1333 | 1266 | 1149 | 43 | LN3PM | 2.09 | 1.64 | 1.48 | 1.42 | 1.35 | 1.23 |
| 14 | 877 | 676 | 610 | 585 | 559 | 513 | 41 | Iwai | 1.59 | 1.23 | 1.11 | 1.06 | 1.01 | 0.93 |
| 15 | 833 | 625 | 526 | 500 | 476 | 400 | 42 | Gumbel | 1.26 | 0.95 | 0.80 | 0.76 | 0.72 | 0.61 |
| 16 | 137 | 95 | 83 | 78 | 72 | 65 | 36 | Gev | 0.76 | 0.53 | 0.46 | 0.43 | 0.40 | 0.36 |
| 17 | 196 | 137 | 116 | 110 | 101 | 88 | 48 | Gev | 1.14 | 0.80 | 0.68 | 0.64 | 0.59 | 0.51 |
| 18 | 714 | 526 | 455 | 435 | 400 | 357 | 55 | Gumbel | 1.23 | 0.91 | 0.78 | 0.75 | 0.69 | 0.62 |
| 19 | 1064 | 690 | 524 | 461 | 388 | 274 | 36 | Gev | 1.40 | 0.91 | 0.69 | 0.61 | 0.51 | 0.36 |
| 20 | 217 | 141 | 110 | 98 | 84 | 62 | 37 | Gev | 1.06 | 0.69 | 0.53 | 0.48 | 0.41 | 0.30 |
| 21 | 588 | 370 | 286 | 263 | 227 | 182 | 51 | LN3Q | 1.25 | 0.78 | 0.61 | 0.56 | 0.48 | 0.39 |
| 22 | 901 | 592 | 478 | 439 | 392 | 318 | 42 | Gev | 0.73 | 0.48 | 0.39 | 0.36 | 0.32 | 0.26 |
| 23 | 2174 | 1163 | 885 | 794 | 699 | 552 | 49 | LN3Q | 0.61 | 0.33 | 0.25 | 0.22 | 0.20 | 0.16 |
| 24 | 500 | 314 | 240 | 214 | 182 | 133 | 42 | Gev | 1.00 | 0.63 | 0.48 | 0.43 | 0.36 | 0.27 |
| 25 | 200 | 118 | 94 | 86 | 78 | 65 | 24 | Gumbel | 1.23 | 0.72 | 0.58 | 0.53 | 0.48 | 0.40 |
| 26 | 102 | 64 | 52 | 48 | 43 | 36 | 29 | Gumbel | 0.97 | 0.61 | 0.49 | 0.46 | 0.41 | 0.35 |
| 27 | 840 | 552 | 446 | 410 | 369 | 308 | 29 | Exp | 0.87 | 0.57 | 0.46 | 0.43 | 0.38 | 0.32 |
| 28 | 278 | 213 | 189 | 180 | 169 | 154 | 35 | Iwai | 1.42 | 1.09 | 0.97 | 0.93 | 0.87 | 0.79 |
| 29 | 1205 | 943 | 855 | 820 | 781 | 719 | 32 | LP3Rs | 1.44 | 1.13 | 1.02 | 0.98 | 0.93 | 0.86 |
| 30 | 1282 | 862 | 704 | 649 | 581 | 474 | 28 | Gev | 1.22 | 0.82 | 0.67 | 0.62 | 0.55 | 0.45 |
| 31 | 1389 | 1064 | 935 | 885 | 826 | 730 | 23 | Gumbel | 1.52 | 1.17 | 1.03 | 0.97 | 0.91 | 0.80 |
| 32 | 141 | 93 | 79 | 74 | 68 | 60 | 58 | LogP3 | 1.15 | 0.76 | 0.64 | 0.60 | 0.56 | 0.49 |
| 33 | 76 | 46 | 35 | 31 | 26 | 19 | 30 | Gev | 1.61 | 0.98 | 0.74 | 0.65 | 0.55 | 0.39 |
| 34 | 412 | 260 | 207 | 188 | 167 | 134 | 62 | SqrtEt | 1.26 | 0.80 | 0.64 | 0.58 | 0.51 | 0.41 |
| 35 | 156 | 102 | 84 | 78 | 71 | 60 | 38 | Gumbel | 1.38 | 0.90 | 0.74 | 0.69 | 0.63 | 0.53 |
| 36 | 952 | 595 | 469 | 426 | 376 | 300 | 55 | SqrtEt | 1.37 | 0.86 | 0.68 | 0.61 | 0.54 | 0.43 |
| 37 | 96 | 58 | 45 | 41 | 36 | 28 | 41 | SqrtEt | 1.35 | 0.82 | 0.64 | 0.57 | 0.50 | 0.40 |
| 38 | 185 | 106 | 81 | 71 | 61 | 46 | 38 | Gev | 1.54 | 0.89 | 0.67 | 0.60 | 0.51 | 0.38 |
| 39 | 133 | 78 | 56 | 48 | 38 | 25 | 27 | Gev | 1.40 | 0.82 | 0.59 | 0.50 | 0.40 | 0.26 |
| 40 | 222 | 133 | 109 | 101 | 93 | 80 | 25 | Gev | 0.96 | 0.58 | 0.47 | 0.44 | 0.40 | 0.35 |
| 41 | 714 | 500 | 435 | 400 | 370 | 323 | 24 | Gumbel | 1.85 | 1.30 | 1.13 | 1.04 | 0.96 | 0.84 |
| 42 | 526 | 345 | 278 | 256 | 233 | 192 | 35 | LN3Q | 2.32 | 1.52 | 1.22 | 1.13 | 1.02 | 0.85 |
| 43 | 1818 | 1282 | 1124 | 1064 | 1000 | 893 | 66 | LN3PM | 1.32 | 0.93 | 0.81 | 0.77 | 0.72 | 0.65 |
| 44 | 357 | 209 | 165 | 150 | 133 | 108 | 57 | LN3Q | 1.28 | 0.75 | 0.59 | 0.54 | 0.48 | 0.39 |
| Controlling Factors | Occurrence Probability | |||||
|---|---|---|---|---|---|---|
| 1/2 | 1/10 | 1/30 | 1/50 | 1/100 | 1/400 | |
| Geological factor | ||||||
| VR | −0.065 | |||||
| PR | −0.135 ** | −0.087 * | −0.072 | −0.076 | −0.068 | |
| SR | −0.158 ** | −0.107 ** | −0.091 | −0.097 | −0.094 | |
| Land use factor | ||||||
| BF | 0.098 * | 0.087 ** | −0.047 | −0.047 | −0.059 | |
| CF | −0.120 ** | −0.159 *** | −0.155 ** | −0.205 *** | ||
| MCBF | 0.122 ** | 0.117 ** | ||||
| CL | −0.078 | −0.106 * | −0.103 | −0.083 | ||
| UA | −0.078 * | −0.079 * | −0.087 * | −0.084 * | ||
| Topographical factor | ||||||
| CS | 0.049 | 0.098 ** | 0.105** | 0.105 ** | 0.073 * | 0.118 * |
| FR | 0.047 | 0.047 | ||||
| RO | −0.052 | −0.089 | ||||
| R2 | 0.377 | 0.441 | 0.435 | 0.444 | 0.421 | 0.430 |
| AIC | −23.013 | −24.676 | −20.005 | −17.291 | −12.615 | −4.9517 |
Publisher’s Note: MDPI stays neutral with regard to jurisdictional claims in published maps and institutional affiliations. |
© 2021 by the author. Licensee MDPI, Basel, Switzerland. This article is an open access article distributed under the terms and conditions of the Creative Commons Attribution (CC BY) license (https://creativecommons.org/licenses/by/4.0/).
Share and Cite
Itsukushima, R. Characteristics and Controlling Factors of the Drought Runoff Coefficient. Water 2021, 13, 1259. https://doi.org/10.3390/w13091259
Itsukushima R. Characteristics and Controlling Factors of the Drought Runoff Coefficient. Water. 2021; 13(9):1259. https://doi.org/10.3390/w13091259
Chicago/Turabian StyleItsukushima, Rei. 2021. "Characteristics and Controlling Factors of the Drought Runoff Coefficient" Water 13, no. 9: 1259. https://doi.org/10.3390/w13091259
APA StyleItsukushima, R. (2021). Characteristics and Controlling Factors of the Drought Runoff Coefficient. Water, 13(9), 1259. https://doi.org/10.3390/w13091259

