Abstract
Hexahydro-1,3,5-trinitro-1,3,5-triazine (RDX) a nitramine explosive, which has contaminated various military sites during its use, storage and manufacturing worldwide. As RDX is a recalcitrant, less soluble and toxic to human beings and other organisms, it is essential to remediate the contaminated sites. In the current investigation, authors have explored the potential of two indigenous microbes i.e., Bacillus toyonensis (isolate No. WS4-TSB-3, MTCC No. 12857) and Paenibacillus dendritiformis (isolate No. S10-TSA-3, MTCC No. 12859) isolated from an explosive manufacturing facility in north India, for the degradation of RDX in aqueous medium. Furthermore, RDX degradation has been optimized using response surface methodology (RSM) in a 15 days experiment at concentration of 20, 40, and 60 mg/L. It was found that various factors such as initial concentration of RDX, inoculum volume (2, 4 and 6%) and time (5, 10 and 15 days) had impact on transformation and degradation of contaminant. Samples were analyzed using high performance liquid chromatography (HPLC) and intermediate products were identified using LC-MS/MS. Maximum RDX removal of 81.6 ± 1.3 and 84.7 ± 0.9% for Bacillus toyonensis (isolate No. WS4-TSB-3) and Paenibacillus dendritiformis (isolate No. S10-TSA-3), respectively, was observed on 15th day at 40 mg/L initial concentration. During the degradation Hexahydro-1-nitroso-3,5-dinitro-1,3,5-triazine (MNX), Hexahydro-1,3-dinitroso-5-nitro-1,3,5-triazine (DNX), 4-Nitro-2,4-diazabutanal, Bis(hydroxymethyl)nitramine and nitrite were identified as intermediate products. The findings of the investigation suggest that both the microbes have the potential to degrade RDX in the aqueous medium and can be used for up-scaling the degradation of RDX on explosive contaminated sites.
1. Introduction
Explosives are nitrogen-based energetic compounds, which have high potential energy. Royal Demolition Explosive (RDX), or hexahydro-1,3,5-trinitro-1,3,5-triazine, belongs to this category and is generally used for military purposes. Military activities including manufacturing, testing, training, demilitarization, open burning, and waste discharge have resulted in extensive contamination of soil and groundwater of surroundings [1,2]. Furthermore, it is already studied that RDX has a relatively stable ring structure and electron withdrawing nitro groups makes it less susceptible to degradation in nature [3]. Due to low soil adsorption coefficient of RDX, there is high possibility that it may contaminate ground water near the military bases, testing facilities, and war zones [1,4]. As, RDX is comparatively mobile in the soil and has low rates of degradation in soil, it presents distinct problems for bioremediation [5]. RDX is also known to be water soluble 60 mg/L at 25 °C, and therefore, it may get mixed into groundwater aquifers and can travel to distant places, which may affect environment and human health. USEPA has suggested a lifetime dinking standard for RDX as 2 µg/L [6].
Earlier studies have shown that, RDX is a toxic material, and, according to USEPA, it is classified as group ‘C’ human carcinogen [7]. Its exposure may cause seizures, convulsion, nausea, vomiting, etc. [8,9,10]. It can affect the nervous system and damage the liver. RDX can readily cross the blood-brain barrier, alter the expression of multiple brain genes, and evoke pronounced seizure-like responses in a wide range of species [11,12,13,14]. Thus, the remediation of RDX contaminated sites is important for the protection of human health and ecosystems. The conventional approaches for the remediation of RDX are thermal decomposition [15,16], photolysis [17], and treatment with catalyst [18]. The Conventional methods are not cost effective as they require sophisticated instrumentation and also generate other by-products, such as ash, which is difficult to get rid of. The other method, which is gaining much more attention these days, is microbial remediation. It is eco-friendly, cost-efficient, and much easier to implement and perform. The degradation of RDX has already been reported with many microbes. Klebsiella pneumonia, isolated from anaerobic sludge, can break down RDX chains into methanol, CO2, formaldehyde, and nitrous oxide through the formation of intermediate such as methylene di-nitramine [19]. Phanerochaete chrysosporium is known to aerobically degrade RDX and produce 4-Nitro-2,4-diazabutanal (NDAB) as an intermediate product, which can be completely mineralized into CO2 and N2O [20,21]. Clostridium bifermentans can aerobically degrade RDX into formaldehyde, methanol and CO2 through the formation of intermediate products Hexahydro-1-nitroso-3,5-dinitro-1,3,5-triazine (MNX) and Hexahydro-1,3-dinitroso-5-nitro-1,3,5-triazine (DNX) [22]. Although many studies have been performed to understand the RDX degradation pathway, the majority of them have focused on its anaerobic degradation. So, in this investigation, authors have tried to study the aerobic degradation of RDX and optimize the parameters, which can influence the process of degradation. Optimization of the process was done by response surface methodology (RSM), which uses lower order polynomial equation to predict a model based on the interaction of different variables during the process [23,24,25,26]. Some earlier researchers have also used RSM to optimize the dye and explosive/pollutants removal from the medium [27,28,29,30].
So, this study was planned with the major objective to explore the RDX degrading potential of microbes i.e., Bacillus toyonensis (isolate No. WS4-TSB-3, MTCC No. 12857) and Paenibacillus dendritiformis (isolate No. S10-TSA-3, MTCC No. 12859) which were isolated from an actual explosive contaminated site and are unexplored yet for optimization and degradation study in the RDX. The inter-relationship between the RDX degradation and independent variables (initial RDX concentration, inoculum volume and time) were also explored. Mass spectroscopy (LC-MS/MS) was used for RDX degradation analysis, identification of the metabolites, and understanding of mechanism.
2. Materials and Methods
2.1. Chemicals
RDX was taken from an explosive manufacturing facility in north India with a purity of greater than 99.9%. High Performance Liquid Chromatography (HPLC) grade solvents were purchased from Sigma-Aldrich. Other chemicals used were also of analytical grade and purchased from standard manufacturers.
2.2. Microbial Culture
Microbial cultures were prepared using standard methods. In brief, soil and water samples were collected as per standard protocols from an actual explosive contaminated site in north India for isolation of microbes. Microbes were isolated and identified from samples by Institute of Microbial Technology (IMTECH), Council of Scientific and Industrial Research, (CSIR), Chandigarh, India and provided in lyophilized form for further research work. Lyophilized microbes, Bacillus toyonensis (isolate No. WS4-TSB-3, MTCC No. 12857) and Paenibacillus dendritiformis (isolate No. S10-TSA-3, MTCC No. 12859) were revived in tryptic soya broth (TSB) (HIMEDIA, LQ508). Cultures were maintained on slants at a temperature of 4 °C prior to use. Then microbes were sub-cultured for three generations in minimal salt media (MSM) [31], which was deficient in nitrogen sources to make them more tolerant and adaptive to RDX stress before culturing into modified MSM containing RDX. The MSM was spiked with the desired concentration of RDX, prepared in acetonitrile. After spiking, the solutions were left open for 18 h in a laminar air flow chamber, so that solvent (acetonitrile)evaporates and does not interfere with media composition [32,33,34]. The spiked media was then inoculated with the microbes and grown at a temperature of 32 ± 3 °C in orbital shaker at 120 rpm. The experiment was performed in Erlenmeyer flasks of 250 mL capacity. The total volume of 100 mL was used in each combination, which consisted of MSM media, contaminant, and microbial culture.
2.3. Experimental Setup
Total 17 combinations were set during the experiment as shown in Table 1 for Bacillus toyonensis (isolate No. WS4-TSB-3) and Paenibacillus dendritiformis (isolate No. S10-TSA-3) each. Initial concentration of RDX (20–60 mg/L), time period (5–15 days) and inoculum volume (2–6%) of each combination are mentioned in Table 1. All these combinations were designed using DESIGN-EXPERT® VERSION 12 software (Stat-Ease®, Minneapolis, MN, USA) with RSM. Box Behnken Design (BBD) was used as a second order polynomial model for designing the experiment and to statistically validate the data. Number of experimental sets required for BBD was defined by,
where, ‘Co’ is the central point and ‘k’ is the number of factors. Microbial cultures (3rd generation) of Bacillus toyonensis (isolate No. WS4-TSB-3) and Paenibacillus dendritiformis (isolate No. S10-TSA-3) having optical density (OD) 1.2 ± 0.2 corresponding to ≈108 cells/mL were separately used to inoculate the freshly prepared MSM, spiked with varying concentrations of RDX. After inoculation as per the combinations given in Table 1, flasks were incubated in an orbital shaker at a temperature of 32 ± 3 °C and a rotation of 120 rpm. The whole experiment was performed under aerobic conditions. Samples were withdrawn at a fix interval of time (5 days) to analyze the nitrite, metabolites and reduction in concentration of RDX. To ensure the aerobic biodegradation conditions in each flask, cotton plugs were fitted so that air diffusion can take place in and out during the shaking of flasks in orbital shaker (120 rpm).
N = k (k − 1) + Co
Table 1.
Different runs for optimization of parameters for RDX degradation.
2.4. Analysis
Analysis of samples for degradation of RDX was carried out using High Performance Liquid Chromatography (HPLC) as per standard method USEPA 8330A [34]. In brief, 5 mL of treated sample was withdrawn and mixed with 5 mL acetonitrile. After centrifugation, supernatant was filtered through 0.45 µm Teflon filter. This filtrate was used for analysis of RDX concentration and fed in HPLC (Flexer, Perkin Elmer, Waltham, MA, USA) equipped with photo diode array (PDA) detector. C18 reverse phase column (3 µm, 150 mm × 4.6 mm) was used as stationary phase whereas, acetonitrile: water (50:50) mixture was used as mobile phase with a flow rate of 1 mL/min. The mobile phase was prepared with triple distilled water and acetonitrile. The injection volume was 10 µL. Retention time and UV-profile of the standard compound were used for the identification and quantification of peak.
Nitrite in the samples was analyzed by the method described earlier [34]. In brief, 1 mL of sample was collected at regular interval and centrifuged. Supernatant was used to analyze nitrite concentration. Sample (600 µL) was mixed with 150 µL sulfanilamide. After incubation of 5 min, 150 µL of N-(1-naphthyl) ethylenediamine dihydrochloride solution was added and incubated for 20 min at room temperature. Afterwards, 2.1 mL of distilled water was added and analyzed by taking absorbance at 540 nm on UV–Visible spectrophotometer (Perkin Elmer, Model Lambda 650S, Waltham, MA, USA).
Mass spectrometric (MS) analyses were performed on microTOF-Q (Bruker Daltonics, Billerica, Massachusetts, USA) MS system using atmospheric pressure chemical ionization in the positive ion (ES+) mode. C18 column was used to separate RDX and degradation products. The flow rate was 1 mL/min for 5 min. The solvent system consisted of 0.1% formic acid, 50% acetonitrile and 49.9% triple distilled water. The obtained peaks were interpreted based on the metabolites previously reported in the literature and the system software.
3. Results and Discussion
3.1. Degradation of RDX
Degradation of RDX during the experiment can be observed in Figure 1A,B with Bacillus toyonensis (isolate No. WS4-TSB-3). The Maximum RDX degradation achieved with this microbe was 81.7 ± 1.3% with 40 mg/L initial RDX concentration and 6% inoculum volume on 15th day. This was followed by 78.7 ± 1.1 and 77.01 ± 0.8% RDX degradation at 20 mg/L and 60 mg/L, respectively with 4% inoculum volume on 15th day. Minimum degradation was 74.2 ± 0.3% achieved at 40 mg/L initial RDX concentration and 2% inoculum volume. Figure 1A shows the interactive effect of initial RDX concentration and time on RDX degradation. It was observed that, with increase in time, there was increase in RDX removal. However, at higher RDX concentration (60 mg/L) removal efficiency was much lower, which can be due to toxic effect of RDX on Bacillus toyonensis (isolate No. WS4-TSB-3). Figure 1B shows the interactive effect of inoculum volume and RDX concentration on RDX degradation. It was observed that Bacillus toyonensis (isolate No. WS4-TSB-3) showed increased removal of RDX with increase in inoculum volume. The whole set of data for RDX degradation with Bacillus toyonensis (isolate No. WS4-TSB-3) was subjected to two-way analysis of variance (ANOVA) as shown in Table 2. The p-value (0.0002), F-value (23.6) and R2 (0.9) of the model shows that the data was significant and best suited for the quadratic model. Figure 2 presents data between actual versus predicted value, which shows that there was less dispersion of data between experimentally obtained and predicted values by the model. Low standard deviation (2.2) was observed for the model, which confirms the suitability of the model. All the parameters were fitted for second order polynomial equation as follows:
Y = 73.07 + 1.94 A + 0.9663 B + 10.43 C + 1.88 AB − 3.32 AC + 1.07 BC − 2.02 A2 − 4.32 B2 − 2.43 C2
Figure 1.
(A) 3-D model plot for the degradation of RDX under varying initial concentration (mg/L) and time (days) with Bacillus toyonensis. (B) 3-D model plot for the degradation of RDX under varying initial concentration (mg/L) and inoculum volume (%) with Bacillus toyonensis.
Table 2.
ANOVA of Quadratic model for percent degradation of RDX with Bacillus toyonensis.
Figure 2.
Actual verses predicted graph for the RDX degradation with Bacillus toyonensis.
Similarly, in Figure 3A,B a reduction in RDX concentration with time was observed with Paenibacillus dendritiformis (isolate No. S10-TSA-3). With the increase in inoculum volume, a increase in degradation of RDX was observed. At the end of 15th day, maximum (84.7 ± 0.9%) RDX degradation was observed at 40 mg/L initial concentration with 6% inoculum volume, which was followed by 78.1 ± 1.1% at 20 mg/L concentration and 2% inoculum volume. The maximum degradation achieved was nearly 1.2 times higher than the minimum degradation (71.7 ± 1.1) observed at 20 mg/L concentration with 4% inoculum volume on 15th day. However, degradation in the control due to abiotic factors was 0.8% and 1.1% for Bacillus toyonensis (isolate No. WS4-TSB-3) and Paenibacillus dendritiformis (isolate No. S10-TSA-3), respectively, which is negligible compared to test samples. Other researchers observed RDX degradation of more than 80% with other species of microbes like Planomicrobium flavidum, Rhodococcus strain, Phanerochaete chrysosporium, Clostridium bifermentans, Paenibacillus aestuarii and Arthrobacter subterraneus [27,35,36,37].

Figure 3.
(A) 3-D model plot for the degradation of RDX under varying initial concentration (mg/L) and time (days) with Paenibacillus dendritiformis. (B) 3-D model plot for the degradation of RDX under varying initial concentration (mg/L) and inoculum volume (%) with Paenibacillus dendritiformis.
Figure 3A shows the 3-D plot for interaction of initial RDX concentration and time during the RDX degradation. It was observed that with the increase in both the variables, there was increase in RDX degradation. Even, increase in initial RDX concentration does not have negative impact on the degradation efficiency of microbes. This observation implies that Paenibacillus dendritiformis (isolate No. S10-TSA-3) can survive and performs better at higher concentration of RDX (60 mg/L) also. Similarly, Figure 3B shows the effect of inoculum volume on RDX degradation. It was observed that there was higher degradation of RDX with 6% inoculum volume. To validate the model, two-way ANOVA was performed, and it was observed that the model was statistically significant (Table 3). Obtained p-value (0.0003), F-value (21.6) and R2 (0.9) were significant and shows that the model best suited for quadratic model. Figure 4 shows the difference between actual and predicted values. It is evident that there was less variation between experimentally obtained values and values predicted by the model for RDX degradation. All parameters were fitted for second order polynomial equation as follows:
Y = 63.74 + 2.02 A + 1.99 B + 15.94 C + 0.9850 AB + 0.3925 AC − 0.7525 BC − 5.01 A2 + 7.73 B2 − 3.42 C2
Table 3.
ANOVA of Quadratic model for percent degradation of RDX with Paenibacillus dendritiformis.
Figure 4.
Actual verses predicted graph for the RDX degradation with Paenibacillus dendritiformis.
Similar results for ANOVA were also obtained in earlier studies by other authors. Mohanty and Jena, (2018) obtained similar results during the optimization of butachlor remediation with Enterobacter cloacae [38]. Sharma et al. (2021) observed a similar two-way ANOVA results during the remediation of RDX in aqueous phase with the consortium of microbes [27].
3.2. Release of Nitrite during RDX Degradation
It is well established that nitrite ions are released during the degradation of RDX. Ring cleavage of RDX starts with the denitration-hydration step, with the formation of NADB and formaldehyde resulting into the release of nitrite ion [36,39]. Similar observations were made during this study. As RDX degraded, there was change in the nitrite concentration in the medium with both the microbes in their respective combinations. Figure 5A shows the change in nitrite concentration for Bacillus toyonensis (isolate No. WS4-TSB-3) with respect to RDX concentration and time. Maximum concentration of nitrite release (0.3 ± 0.01 mg/L) with Bacillus toyonensis was observed on 10th day with 60 mg/L concentration and 6% inoculum volume, which was followed by 0.3 ± 0.01 mg/L at 60 mg/L RDX concentration and 4% inoculum volume. Similarly, Figure 5B shows the nitrite release during the RDX degradation with Paenibacillus dendritiformis (isolate No. S10-TSA-3). Maximum nitrite release was observed on 10th day, which was 0.2 ± 0.01 mg/L at 60 mg/L RDX concentration and 2% inoculum volume. It was observed, that with an increase in RDX concentration there was an increase in the release of nitrite. Also, with the degradation of RDX, there was an increase in nitrite concentration until the 10th day, and afterward, it started decreasing. Decrease in the nitrite concentration can be due to its utilization by microbes or conversion into nitrate [40,41].
Figure 5.
(A) Response surface plot (3-D plot) showing interactive effect of RDX concentration (mg/L) and time (days) on nitrite release with Bacillus toyonensis. (B) Response surface plot (3-D plot) showing interactive effect of RDX concentration (mg/L) and time (days) on nitrite release with Paenibacillus dendritiformis.
To validate, the data was subjected to two-way ANOVA. For nitrite release it was observed that microbes, Bacillus toyonensis (isolate No. WS4-TSB-3) and Paenibacillus dendritiformis (isolate No. S10-TSA-3) has significant p-value (<0.0001 and 0.0009), F-value (34.5 and 14.9) and R2 (0.9 and 0.9 respectively) which statistically validated the model for both the microbes (Table 4). Correction total (sum of square) for both the microbes shows that the model has high reproducibility and less variation around the mean. Statistically similar results were obtained by Chaudhary et al. (2019) during their optimization of tannery wastewater remediation with Aspergillus fumigates [42]. Garg et al. (2015) found similar ANOVA results during the optimization of decolorization of different dyes with Pseudomonas strain [43].
Table 4.
ANOVA of Quadratic model for the release of nitrite during RDX degradation.
3.3. Degradation Pathway
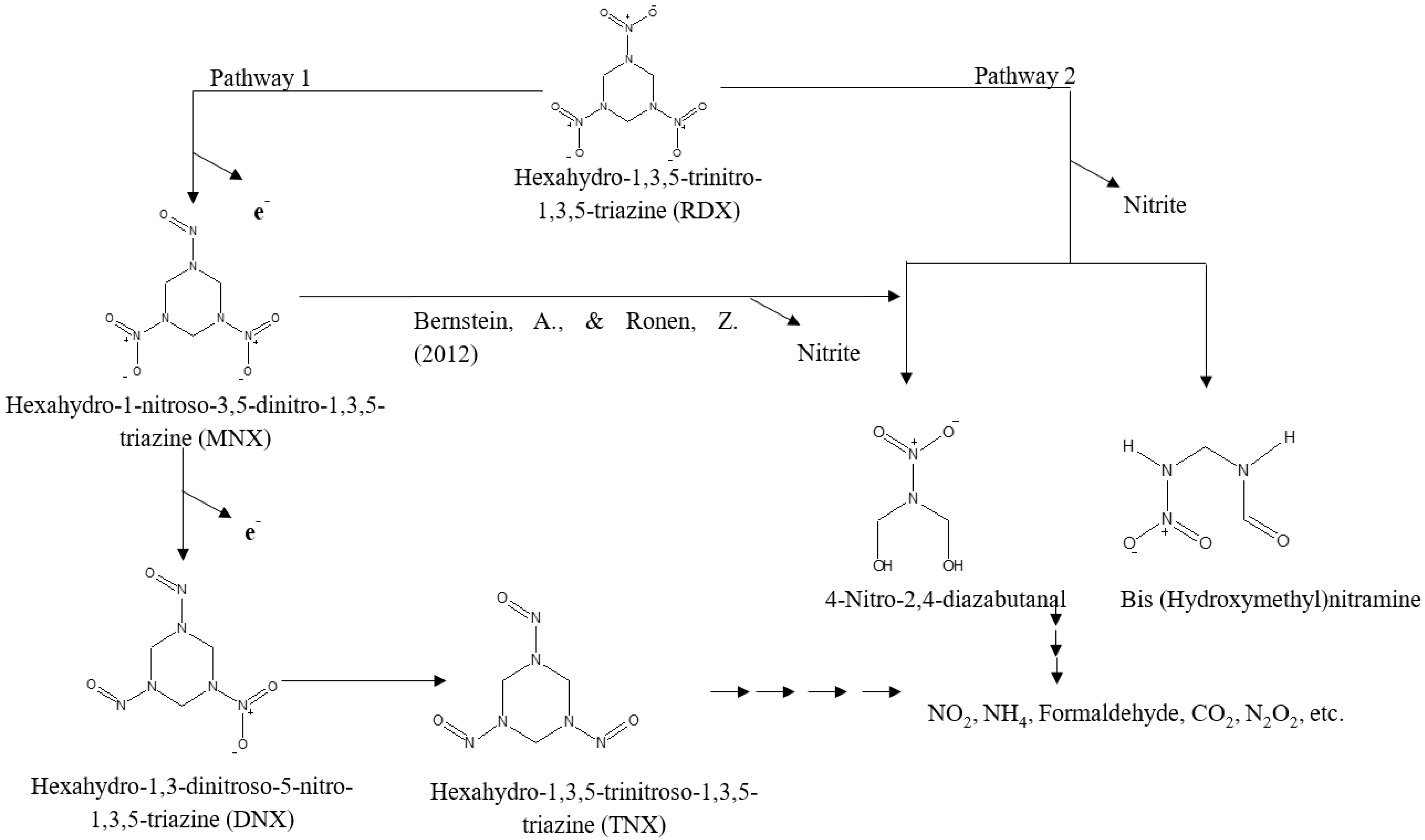
It is already known that during the microbial degradation process, the cyclic structure of RDX tends to break into intermediate products. To understand and elucidate the RDX degradation pathway for both the microbes, mass spectroscopy of the samples was done at different intervals of time i.e., 5th day and 10th day in the combination having highest degradation. Positive ESI (Electron spray ionization) revealed the presence of different metabolites in the samples. The peaks obtained were at m/z values of 224.07 and 191.05 on 5th day samples and 140.66 and 179.97 on 10th day samples (Figure 6A–D). To identify the metabolites, molecular weight (m/z ratio) of the obtained peaks were compared with the metabolites reported in earlier studies [37,39,44,45,46,47]. The peaks 224.07 and 191.05, were identified as Hexahydro-1-nitroso-3,5-dinitro-1,3,5-triazine (MNX, C3H6N6O5, M+NH4, mol. wt. 224.07 Da) and Hexahydro-1,3-dinitroso-5-nitro-1,3,5-triazine (DNX, C3H6N6O4, M+NH4, mol. wt. 191.05 Da), respectively. The presence of MNX and DNX during the study suggests that the RDX degradation occurred by single nitrite elimination pathway in which, the transfer of a single electron to nitramino group leads to the RDX ring cleavage. Furthermore, on the 10th day, the peaks observed were 140.66 and 179.97 (m/z), which were identified as Bis(hydroxymethyl)nitramine (C2H6N2O4, M+NH4, mol. wt. 140.66 Da) and 4-Nitro-2,4-diazabutanal (C2H5N3O3, M+Na+K-H, mol. wt. 179.97 Da) respectively. Subsequent studies have shown that both 4-nitro-2,4-diazabutanal and Bis(hydoxymethyl)nitramine are the de-nitration ring cleavage products of RDX. Also, earlier studies have shown that, MNX can be transformed into 4-nitro-2,4-diazabutanal [48]. Further, Halasz and Hawari (2011) showed that DNX, 4-nitro-2,4-diazabutanal and Bis(hydoxymethyl)nitramine can undergo further degradation and form CO2, nitrous oxide, formaldehyde, and ammonia as end products [49]. It was observed that the metabolites identified for both the microbes were similar. This shows that both the microbes follow the same degradation pathway. Based on the findings mentioned above, the RDX degradation pathway was proposed, which is shown in Figure 7.
Figure 6.
Mass Spectra of metabolites formed during RDX degradation. (A) Hexahydro-1-nitroso-3,5-dinitro-1,3,5-triazine (MNX, C3H6N6O5, M+NH4, mol. wt. 224.07), (B) Hexahydro-1,3-dinitroso-5-nitro-1,3,5-triazine (DNX, C3H6N6O4, M+NH4, mol. wt. 191.05), (C) Bis(hydroxymethyl)nitramine (C2H6N2O4, M+NH4, mol. wt. 140.66) and (D) 4-Nitro-2,4-diazabutanal (C2H5N3O3, M+Na+K-H, mol. wt. 179.97).
Figure 7.
Proposed pathways for the biodegradation of RDX with Bacillus toyonensis and Paenibacillus dendritiformis.
4. Conclusions
In this study, the degradation of RDX was studied using two microbial species isolated from an explosive contaminated site. It was found that both the species can efficiently remove RDX from the contaminated water. The maximum degradation observed was 81.6 ± 1.3 with Bacillus toyonensis (isolate No. WS4-TSB-3, MTCC No. 12857) and 84.7 ± 0.9% with Paenibacillus dendritiformis (isolate No. S10-TSA-3, MTCC No. 12859) at the end of the 15th day at a concentration of 40 mg/L. The 3-D plot showed the optimization of process parameters for RDX degradation and the interaction between the independent variables. These plots showed that each variable has a direct, and positive, impact on the RDX degradation. The model obtained for RDX degradation with both the microbes showed that it has high reproducibility and is statistically significant. During the RDX degradation, MNX, DNX, 4-Nitro-2,4-diazabutanal, and Bis(hydroxymethyl)nitramine were identified as the intermediate metabolites. These metabolites on further degradation can be mineralized into CO2, NH4, formaldehyde and nitrous oxide. Further investigations related to the enzymes involved in RDX degradation are yet to be investigated. Pilot scale studies are required to be conducted for its field scale demonstration.
Author Contributions
A.M. designed, performed the experiments and used the models and wrote the draft of manuscript. P.S. and K.B. supervised with planning, designing, analyses, interpretation of data and reviewing the manuscript. All authors have read and agreed to the published version of the manuscript.
Funding
Funging agency, University Grant Commission (UGC), New Delhi.
Institutional Review Board Statement
Not applicable.
Informed Consent Statement
Not applicable.
Data Availability Statement
All relevant data is included in the manuscript.
Acknowledgments
The authors acknowledge funding support in the form of fellowship provided to Arjun Meda by University Grant Commission (UGC), New Delhi. Funding organization has not played any role in study design, decision to publish or preparation of the manuscript. Authors are thankful to Director, Centre for Fire Explosive and Environmental Safety (CFEES), Defence Research and Development Organisation (DRDO), New Delhi and Director, Indian Institute of Technology Indore for encouraging research and providing necessary facilities. Authors acknowledge IMTECH, Chandigarh for Isolation and identification of microbial species.
Conflicts of Interest
The authors declare no conflict of interest.
References
- Sheremata, T.W.; Halasz, A.; Paquet, L.; Thiboutot, S.; Ampleman, G.; Hawari, J. The fate of the cyclic nitramine explosive RDX in natural soil. Environ. Sci. Technol. 2001, 35, 1037–1040. [Google Scholar] [CrossRef]
- Chatterjee, S.; Deb, U.; Datta, S.; Walther, C.; Gupta, D.K. Common explosives (TNT, RDX, HMX) and their fate in the environment: Emphasizing bioremediation. Chemosphere 2017, 184, 438–451. [Google Scholar] [CrossRef]
- Sisco, E.; Najarro, M.; Bridge, C.; Aranda, I.V.R. Quantifying the degradation of TNT and RDX in a saline environment with and without UV-exposure. Forensic Sci. Int. 2015, 251, 124–131. [Google Scholar] [CrossRef] [PubMed]
- Tucker, W.A.; Murphy, G.J.; Arenberg, E.D. Adsorption of RDX to soil with low organic carbon: Laboratory results, field observations, remedial implications. Soil Sediment Contam. 2002, 11, 809–826. [Google Scholar] [CrossRef]
- Lapointe, M.C.; Martel, R.; Diaz, E. A conceptual model of fate and transport processes for RDX deposited to surface soils of North American active demolition sites. J. Environ. Qual. 2017, 46, 1444–1454. [Google Scholar] [CrossRef] [PubMed]
- Environmental Protection Agency (EPA). Office of Drinking Water Health Advisories, Drinking Water Health Advisory Table; EPA 822-F-18–001; Environmental Protection Agency: Washington, DC, USA, 2018.
- Environmental Protection Agency (EPA). Office of Land and Emergency (5106P); EPA 505-F-17–008; Environmental Protection Agency: Washington, DC, USA, 2017.
- Agency for Toxic Substances and Disease Registry (ATSDR). Toxicological Profile for RDX. 2012. Available online: www.atsdr.cdc.gov/toxprofiles/tp78.pdf (accessed on 5 February 2021).
- Environmental Protection Agency (EPA). Handbook on the Management of Munitions Response Actions; EPA 505-B-01–001; Environmental Protection Agency: Washington, DC, USA, 2005. Available online: Nepis.epa.gov/Exe/ZyPURL.cgi?Dockey=P100304J.txt (accessed on 5 February 2021).
- Hazardous Substance Data Bank (HSDB). 2016. Available online: https://www.nlm.nih.gov/databases/download/hsdb.html (accessed on 5 February 2021).
- Gust, K.A.; Wilbanks, M.S.; Guan, X.; Pirooznia, M.; Habib, T.; Yoo, L.; Wintz, H.; Vulpe, C.D.; Perkins, E.J. Investigations of transcript expression in fathead minnow (Pimephales promelas) brain tissue reveal toxicological impacts of RDX exposure. Aquat. Toxicol. 2011, 101, 135–145. [Google Scholar] [CrossRef] [PubMed]
- Quinn, M.J., Jr.; Bazar, M.A.; McFarland, C.A.; Perkins, E.J.; Gust, K.A.; Johnson, M.S. Sub lethal effects of sub-acute exposure to RDX (1,3,5-trinitro-1,3,5-triazine) in the northern bob white (Colinus virginianus). Environ. Toxicol. Chem. Int. J. 2009, 28, 1266–1270. [Google Scholar] [CrossRef]
- Williams, L.R.; Wong, K.; Stewart, A.; Suciu, C.; Gaikwad, S.; Wu, N.; DiLeo, J.; Grossman, L.; Cachat, J.; Hart, P.; et al. Behavioral and physiological effects of RDX on adult zebrafish. Comp. Biochem. Physiol. Part C Toxicol. Pharmacol. 2012, 155, 33–38. [Google Scholar] [CrossRef]
- Zhang, B.; Pan, X. RDX induces aberrant expression of microRNAs in mouse brain and liver. Environ. Health Perspect. 2009, 117, 231–240. [Google Scholar] [CrossRef]
- Lee, S.H.; Jeong, W.Y.; Nyande, B.W.; Park, J.S.; Moon, I.; Oh, M. CFD simulation for demilitarization of RDX in a rotary kiln by thermal decomposition. J. Eng. Sci. Technol. 2017, 12, 1662–1676. [Google Scholar]
- Bulusu, S.; Behrens, R., Jr. A Review of the Thermal Decomposition Pathways in RDX, HMX and Other Closely Related Cyclic Nitramines. Def. Sci. J. 1996, 46, 347. [Google Scholar] [CrossRef]
- Mahbub, P.; Nesterenko, P.N. Application of photo degradation for remediation of cyclic nitramine and nitroaromatic explosives. RSC Adv. 2016, 6, 77603–77621. [Google Scholar] [CrossRef]
- Wildman, M.J.; Alvarez, P.J. RDX degradation using an integrated Fe(0)-microbial treatment approach. Water Sci. Technol. 2001, 43, 25–33. [Google Scholar] [CrossRef]
- Zhao, J.S.; Halasz, A.; Paquet, L.; Beaulieu, C.; Hawari, J. Biodegradation of hexahydro-1,3,5-trinitro-1,3,5-triazine and its mononitroso derivative hexahydro-1-nitroso-3,5-dinitro-1,3,5-triazine by Klebsiella pneumoniae strain SCZ-1 isolated from an anaerobic sludge. Appl. Environ. Microbiol. 2002, 68, 5336–5341. [Google Scholar] [CrossRef]
- Stahl, J.D.; Aken, B.V.; Cameron, M.D.; Aust, S.D. Hexahydro-1,3,5-trinitro-1,3,5-triazine (RDX) biodegradation in liquid and solid-state matrices by Phanerochaete Chrysosporium. Bioremed. J. 2001, 5, 13–25. [Google Scholar] [CrossRef]
- Fournier, D.; Halasz, A.; Spain, J.; Spanggord, R.J.; Bottaro, J.C.; Hawari, J. Biodegradation of the hexahydro-1,3,5-trinitro-1,3,5-triazine ring cleavage product 4-nitro-2,4-diazabutanal by Phanerochaete chrysosporium. Appl. Environ. Microbiol. 2004, 70, 1123–1128. [Google Scholar] [CrossRef] [PubMed]
- Zhao, J.S.; Paquet, L.; Halasz, A.; Hawari, J. Metabolism of hexahydro-1,3,5-trinitro-1,3,5-triazine through initial reduction to hexahydro-1-nitroso-3,5-dinitro-1,3,5-triazine followed by denitration in Clostridium bifermentans HAW-1. Appl. Microbiol. Biotechnol. 2003, 63, 187–193. [Google Scholar] [CrossRef]
- Makela, M. Experimental design and response surface methodology in energy applications: A tutorial review. Energy Convers. Manag. 2017, 151, 630–640. [Google Scholar] [CrossRef]
- Bezerra, M.A.; Santelli, R.E.; Oliveira, E.P.; Villar, L.S.; Escaleira, L.A. Response surface methodology (RSM) as a tool for optimization in analytical chemistry. Talanta 2008, 76, 965–977. [Google Scholar] [CrossRef]
- Myers, R.H.; Montgomery, D.C.; Anderson-Cook, C.M. Response Surface Methodology; John Wiley & Sons: Hoboken, NJ, USA, 2002. [Google Scholar]
- Draper, N.R.; John, J.A. Response-surface designs for quantitative and qualitative variables. Technometrics 1998, 30, 423–428. [Google Scholar] [CrossRef]
- Sharma, K.; Sharma, P.; Celin, S.M.; Rai, P.K.; Sangwan, P. Degradation of high energetic material hexahydro-1,3,5-trinitro-1,3,5-triazine (RDX) by a microbial consortium using response surface methodological approach. SN Appl. Sci. 2021, 3, 1–8. [Google Scholar] [CrossRef]
- Meda, A.; Sangwan, P.; Bala, K. Optimization of process parameters for degradation of HMX with Bacillus toyonensis using response surface methodology. Int. J. Environ. Sci. Technol. 2020, 17, 4601–4610. [Google Scholar] [CrossRef]
- Sangwan, P.; Mary, C.S.; Hooda, L. Response surface methodological approach for optimizing process variables for biodegradation of 2, 4, 6-trinitrotoluene using Acinetobacter noscomialis. Eur. J. Adv. Eng. Technol. 2015, 2, 51–56. [Google Scholar]
- Kiran, B.; Kaushik, A.; Kaushik, C.P. Response surface methodological approach for optimizing removal of Cr (VI) from aqueous solution using immobilized cyanobacterium. Chem. Eng. J. 2007, 126, 147–153. [Google Scholar] [CrossRef]
- Cook, A.M.; Huetter, R. s-Triazines as nitrogen sources for bacteria. J. Agric. Food Chem. 1981, 29, 1135–1143. [Google Scholar] [CrossRef]
- Lamba, J.; Anand, S.; Dutta, J.; Chatterjee, S.; Nagar, S.; Celin, S.M.; Rai, P.K. Study on aerobic degradation of 2,4,6-trinitrotoluene (TNT) using Pseudarthrobacter chlorophenolicus collected from the contaminated site. Environ. Monit. Assess. 2021, 193, 1–11. [Google Scholar] [CrossRef] [PubMed]
- Nagar, S.; Shaw, A.K.; Anand, S.; Celin, S.M.; Rai, P.K. Aerobic biodegradation of HMX by Planomicrobium flavidum. 3 Biotech 2018, 3, 455. [Google Scholar] [CrossRef] [PubMed]
- Environmental Protection Agency (EPA). Validated Method 8330A: Nitroaromatics, Nitramines, and Nitrate Esters by High Performance Liquid Chromatography (HPLC); Environmental Protection Agency: Washington, DC, USA, 2007.
- Mercimek, H.A.; Dincer, S.; Guzeldag, G.; Ozsavli, A.; Matyar, F. Aerobic biodegradation of 2,4,6-trinitrotoluene (TNT) by Bacillus cereus isolated from contaminated soil. Microb. Ecol. 2013, 66, 512–521. [Google Scholar] [CrossRef]
- Fuller, M.E.; Perreault, N.; Hawari, J. Microaerophilic degradation of hexahydro-1,3,5-trinitro-1,3,5-triazine (RDX) by three Rhodococcus strains. Lett. Appl. Microbiol. 2010, 51, 313–318. [Google Scholar] [CrossRef] [PubMed]
- Nagar, S.; Shaw, A.K.; Anand, S.; Celin, S.M.; Rai, P.K. Biodegradation of octogen and hexogen by Pelomonas aquatica strain WS2-R2A-65 under aerobic condition. Environ. Technol. 2020, 1–10. [Google Scholar] [CrossRef]
- Mohanty, S.S.; Jena, H.M. Process optimization of butachlor bioremediation by Enterobacter cloacae using Plackett Burman design and response surface methodology. Process Saf. Environ. Prot. 2018, 119, 198–206. [Google Scholar] [CrossRef]
- Fournier, D.; Halasz, A.; Spain, J.; Fiurasek, P.; Hawari, J. Determination of key metabolites during biodegradation of hexahydro-1,3,5-trinitro-1,3,5-triazine with Rhodococcus sp. strain DN22. Appl. Environ. Microbiol. 2002, 68, 166–172. [Google Scholar] [CrossRef] [PubMed]
- Singh, R.; Soni, P.; Kumar, P.; Purohit, S.; Singh, A. Biodegradation of high explosive production effluent containing RDX and HMX by denitrifying bacteria. World J. Microbiol. Biotechnol. 2009, 25, 269–275. [Google Scholar] [CrossRef]
- Zoh, K.D.; Stenstrom, M.K. Fenton oxidation of hexahydro-1,3,5-trinitro-1,3,5-triazine (RDX) and octahydro-1,3,5,7-tetranitro-1,3,5,7-tetrazocine (HMX). Water Res. 2002, 36, 1331–1341. [Google Scholar] [CrossRef]
- Chaudhary, P.; Beniwal, V.; Kaur, R.; Kumar, R.; Kumar, A.; Chhokar, V. Efficacy of Aspergillus fumigatus MCC 1175 for bioremediation of Tannery Wastewater. Clean Soil Air Water 2019, 47, 1900131. [Google Scholar] [CrossRef]
- Garg, S.K.; Tripathi, M.; Lal, N. Response surface methodology for optimization of process variable for reactive orange 4 dye discoloration by Pseudomonas putida SKG-1 strain and bioreactor trial for its possible use in large-scale bioremediation. Desalin. Water Treat. 2015, 54, 3122–3133. [Google Scholar] [CrossRef]
- Indest, K.J.; Jung, C.M.; Chen, H.P.; Hancock, D.; Florizone, C.; Eltis, L.D.; Crocker, F.H. Functional characterization of pGKT2, a 182-kilobase plasmid containing the xpl A B gene, which are involved in the degradation of hexahydro-1,3,5-trinitro-1,3,5-triazine by Gordonia sp. strain KTR9. Appl. Environ. Microbiol. 2010, 76, 6329–6337. [Google Scholar] [CrossRef] [PubMed]
- Bhatt, M.; Zhao, J.S.; Halasz, A.; Hawari, J. Biodegradation of hexahydro-1,3,5-trinitro-1,3,5-triazine by novel fungi isolated from unexploded ordnance contaminated marine sediment. J. Ind. Microbiol. Biotechnol. 2006, 33, 850. [Google Scholar] [CrossRef] [PubMed]
- Sheremata, T.W.; Hawari, J. Mineralization of RDX by the white rot fungus Phanerochaete chrysosporium to carbon dioxide and nitrous oxide. Environ. Sci. Technol. 2000, 34, 3384–3388. [Google Scholar] [CrossRef]
- Thompson, K.T.; Crocker, F.H.; Fredrickson, H.L. Mineralization of the cyclic nitramine explosive hexahydro-1,3,5-trinitro-1,3,5-triazine by Gordonia and Williamsia spp. Appl. Environ. Microbiol. 2005, 71, 8265–8272. [Google Scholar] [CrossRef]
- Bernstein, A.; Ronen, Z. Biodegradation of the explosives TNT, RDX and HMX. In Microbial Degradation of Xenobiotics; Springer: Berlin/Heidelberg, Germany, 2012; pp. 135–176. [Google Scholar]
- Halasz, A.; Hawari, J. Degradation routes of RDX in various redox systems. In Aquatic Redox Chemistry, American Chemical Society; ACS Publications: Washington, DC, USA, 2011; pp. 441–462. [Google Scholar]
Publisher’s Note: MDPI stays neutral with regard to jurisdictional claims in published maps and institutional affiliations. |
© 2021 by the authors. Licensee MDPI, Basel, Switzerland. This article is an open access article distributed under the terms and conditions of the Creative Commons Attribution (CC BY) license (https://creativecommons.org/licenses/by/4.0/).







