Next Article in Journal
Fresh- and Brackish-Water Cold-Tolerant Species of Southern Europe: Migrants from the Paratethys That Colonized the Arctic
Next Article in Special Issue
Effects of Soil Bulk Density and Moisture Content on the Physico-Mechanical Properties of Paddy Soil in Plough Layer
Previous Article in Journal
Pharmaceutical and Personal Care Products in Different Matrices: Occurrence, Pathways, and Treatment Processes
Previous Article in Special Issue
SHETRAN and HEC HMS Model Evaluation for Runoff and Soil Moisture Simulation in the Jičinka River Catchment (Czech Republic)
 
 
Font Type:
Arial Georgia Verdana
Font Size:
Aa Aa Aa
Line Spacing:
Column Width:
Background:
Article

Effects of Clay Content on Pore Structure Characteristics of Marine Soft Soil

1
College of Civil Engineering and Architecture, Guangxi University, Nanning 530004, China
2
Guangxi Key Laboratory of Disaster Prevention and Engineering Safety, Guangxi University, Nanning 530004, China
*
Author to whom correspondence should be addressed.
Water 2021, 13(9), 1160; https://doi.org/10.3390/w13091160
Submission received: 15 March 2021 / Revised: 20 April 2021 / Accepted: 20 April 2021 / Published: 22 April 2021
(This article belongs to the Special Issue Soil Science and Hydrology: Water at the Crossroad of Two Disciplines)

Abstract

This study investigates the pore structure characteristics of a marine soft soil of the Beibu Gulf, Guangxi Province, China and its variation with clay content. Pore-size distribution was measured by Mercury intrusion porosimetry (MIP) and analyzed based on fractal theory. The analysis of the results relies on the distinction of several types of pores: micropores, small pores, mesopores and macropores, separated by the critical pore diameters of 0.02 μm, 0.18 μm and 0.78 μm, respectively. Mesopores and small pores were dominant, accounting for more than 75% of the total pore volume. Small pore volume increases with clay content at the expense of the mesopore volume. Between 22.31% and 32.31% clay, the connectivity of pores improves with clay content, while the tortuosity of pores increases from 22.31% to 32.31% of clay and then decreases between 32.31% and 37.31% clay. Marine soft soil in the Beibu Gulf is characterized by multiple fractal dimensions. Macropores had a large (close to 3) fractal dimension, independent of clay content. Mesopores and small pores had a smaller fractal dimension comprised between 2.1 and 2.4, while the fractal dimension of micropores did not exceed 1.5. The fractal dimension of mesopores and micropores are influenced significantly by the clay content. The study of the porosity of the marine soft soil of the Beibu Gulf could serve as a useful basis for the prediction of its hydraulic properties.

1. Introduction

In recent years, several high-rise buildings, high-speed highways and docks have been built on marine soft soil in offshore areas. Marine soft soil is a kind of soil with strong structure. Its porosity, complexity of particle arrangement and degree of cementation between particles are the important reasons for its high-water content, structural sensitivity and remarkable creep. Significant attention is paid to the deformation, strength and stability of these structures owing to the influence of waves, tides, underground water and other environmental factors [1,2,3,4]. The deformation and strength characteristics of soil under stress conditions are a result of changes in pores and inter-particle connections. From this perspective, the changes in pores have the most direct and significant influence [5,6]. Predicting and analyzing the development and damage trends of macroscopic deformation characteristics based on the variation laws of pore characteristic parameters is essential in monitoring the deformation and stability of a structure. Therefore, systematic and in-depth study of the porosity of marine soft soils has a very practical importance.
Scanning electron microscopy (SEM) is the most common method in China to study pores in soil. In past research, SEM images have been binarized using computer software and statistically analyzed, allowing researchers to obtain the size, quantity and distribution morphologies of pores in soil [7,8,9,10]. Although SEM can be used to acquire the morphological features of pores, it has some disadvantages, especially the subjectivity of threshold values [11,12]. These lead to inevitable errors in analyses. Moreover, it is difficult to use SEM to describe accurately the distribution features of pore-size distribution in soils. Mercury intrusion porosimetry (MIP) has been applied to analyze pore sizes and pore volumes in soil and assess the pore size distribution effectively [13,14,15].
Several studies have been conducted on pore-size distribution features in soil, including qualitative descriptions of pore distribution of soils under different consolidation pressures [16,17,18,19] and pore connectivity in soil [20,21]. Soil permeability is closely related to pore connectivity and tortuosity and connected pores are important in the exploitation of certain reservoirs (e.g., gas shales). Therefore, characterizing pore connectivity and tortuosity is useful in implementing technological solutions associated with stable foundations, soil improvement and oil–gas reservoir exploitation.
Owing to the complexity of soil porosity, it is difficult to study and describe them using traditional geometric methods. Hence, results, including pore size distributions, are usually analyzed using fractal theory [22,23,24,25,26]. The fractal dimension of a pore volume can be viewed as a synthetic parameter of pore types and their spatial distribution.
Due to the long coastline and long-term influence of tides and waves in Beibu Gulf, the clay content of marine soft soil varies greatly in each area. In order to explore the pore structure characteristics of soil with different clay content, MIP and fractal analysis were used to characterize the porosity of this soil. The aims of this study are: (1) ascertaining the pore-size distribution features in soils; (2) characterizing pore connectivity and tortuosity; (3) determining the fractal features of pores.

2. Materials and Methods

2.1. Soil Samples

Soil samples were collected from a sea reclamation area of Beibu Gulf (Figure 1). The samples were grayish-brown and black and contained some organic humus and marine biological impurities. The physical indexes, particle size distribution and mineral compositions are shown in Table 1, Table 2 and Table 3, respectively. The soil has high natural moisture content and high void ratio and is defined as mucky clay. Kaolinite and Illite are the major components of the clay minerals.

2.2. Sample Preparation

Soil particles smaller than 0.005 mm were extracted from the original soils through hydrostatic settlement [27,28] and then added into the original soils (S1) according to certain proportions, to prepare four groups of soil samples with different particle-size distributions. In these four groups, the clay contents were 22.31%, 27.31%, 32.31% and 37.31%, respectively. The four groups of soil samples were measured using a laser particle size analyzer, the results of which are shown in Table 4. It can be seen from Table 4 that the measured values are basically consistent with the design values, verifying the accuracy of sample preparation.
A certain mass of soil samples was collected and distilled water was added to it. Four groups of soil samples were prepared, with 22.5% of moisture content (moisture content near the plastic limit). They were then stirred uniformly and sealed using a preservation film for 24 h. The dry density (1.68 g/cm3) was used as the target value and 38 × 76 mm cylindrical samples were prepared using the static pressure method (standard soil test methods (GB/T 50123-1999)). In this way, four groups of cylindrical soil samples with the same moisture content and dry density were obtained and cured in a moisturizing tank for 7 days. Subsequently, 1 cm3 cubes were cut using a thin fret saw and then dried via liquid nitrogen freeze-drying for MIP. Each group of samples include two replicated samples. One cube was cut from each of the two samples in each group for MIP and the mean value was used as final output.
Clay content is the only variable, so it is necessary to ensure that four groups of different soil samples have the same initial conditions, that is, the initial moisture content and dry density are the same. The optimum moisture content of 22.5% and the maximum dry density of 1.68 g/cm3 were set as the initial conditions.

2.3. Mercury Intrusion Porosimetry

MIP is based on the principle that external pressure must be applied to make mercury enter the pores. The larger the external pressure, the smaller the radius of the pore into which mercury can enter. The pore volume of a pore size category can be obtained by measuring the amount of mercury entering the pore when varying the external pressure. MIP views porous bodies as a series of capillary pores of different sizes. The relationship between pore size and mercury intrusion pressure can be obtained using the Washburn formula [29]:
P = 2 σ cos θ r
where P is the absolute pressure, r is the radius of the pores, σ is the surface tension and θ is the contact angle between the liquid and solid.
The AutoPore IV 9500 full-automatic mercury intrusion apparatus, made by Micromeritics (Norcross, GA, USA), was used in the study.

3. Test Results and Discussion

3.1. Pore-Size Distribution

3.1.1. Cumulative Pore-Volume Curve

The cumulative pore-volume percentage p d can be found using the following equation:
p ( d ) = V ( d ) V Z × 100 %
where V d is the cumulative pore volume with pore diameter larger than d m L / g and V Z is the total volume of the pores m L / g .
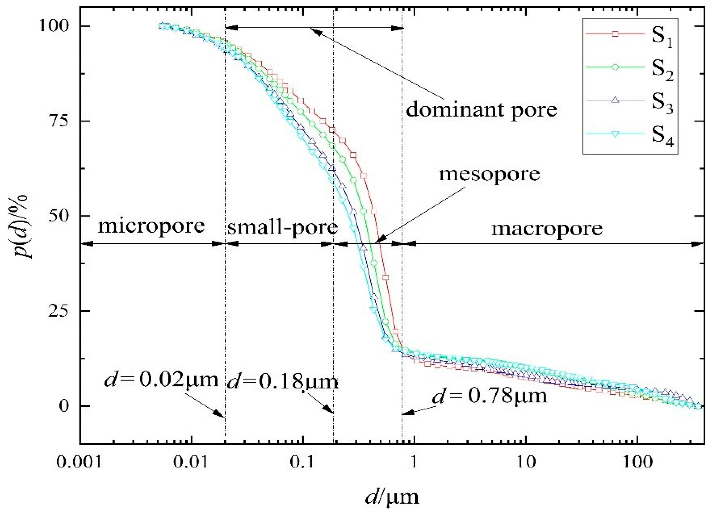
For the convenience of analyzing the distribution of pore characteristics in marine soft soil-according to the pore size division theory [17,30,31] and the characteristics of the relationship curve between the cumulative mercury content and pore size in this experiment (Figure 2)—the pores of soil are divided into macropores (d > 0.78 μm), mesopores (0.18 μm < d ≤ 0.78 μm), small pores (0.02 μm < d ≤ 0.18 μm) and micropores (d ≤ 0.02 μm).
It can be seen from Figure 2 that the cumulative pore-volume curves of soil samples with different clay contents exhibit similar trends. They are all S-shaped—flat at two ends and steep in the middle—indicating that high amounts of mercury flow into mesopores and small pores in the middle region. Moreover, mesopores and small pores, with a diameter range of 0.02–0.78 μm form a high proportion of the overall pores in the soil samples. Within the range of these dominant pores, the inflection points of the curves generally move toward the small pore diameter with increasing clay content, indicating that mesopores transform into small pores. In other words, the clay content has a significant influence on the mesopores and small pores of soil samples, but it influences micropores and macropores slightly. Further, it can be seen from Figure 2 that the total cumulative pore-volume of the four soil samples are the same. This is because the four groups of soil samples with different clay contents have the same initial porosity ratios, which verifies the accuracy of MIP. Figure 3 clearly shows that the volume of small pores and mesopores in soils accounts for more than 75% of the total pore volume, while macropores and micropores occupy only a small proportion. With increases in clay content, the proportion of macropores and micropores remains basically unchanged. However, the proportion of mesopores decreases gradually, while the proportion of small pores increases gradually. Further, mesopores gradually transform into small pores. The pore group having the largest volumes adapt first to the variations in clay content. This differs from the previous understanding that change in soil-structure under the influence of the external environment always concerns macropores first. It is also found that the volume contents of mesopores and small pores have an approximately linear relationship with clay content.

3.1.2. Mercury Inflow—Outflow Curve

It can be seen from Figure 4 that the mercury inflows in soil samples with different clay contents have some common features: the mercury inflow curve is typically S-shaped. When the mercury inflow pressure is 0.5–234 psia (1 psia = 6.895 kPa), the mercury inflow curve is gentle and presents approximately linear changes. At 234–986 psia, the cumulative mercury inflow increases significantly. Here, the slope of the mercury inflow curve is the largest, indicating that the pore content reaches its peak in this pressure region. The inflection point of the curves moves toward the relatively higher mercury inflow pressure, which implies that the mesopores transform into small pores gradually. When the mercury inflow pressure continues to increase to 986–8573 psia, the cumulative mercury inflow decreases gradually and the mercury inflow curve flattens; the slope of the curve decreases accordingly. When the mercury inflow pressure is 8573 psia, the cumulative mercury inflow remains basically unchanged and the curve is approximately straight. In summary, the mesopores and small pores play a dominant role in soft soil. Moreover, the mesopores change into small pores with increases in clay content.
Furthermore, the mercury inflow—outflow curves do not overlap. This indicates that there are “ink-bottle-shaped” pores in soil samples and mercury enters into narrow pores. However, mercury outflow faces a bottleneck effect [32,33]. Hence, some mercury is retained in the pores, resulting in the phenomenon of mercury inflow–outflow hysteresis. The mercury inflow—outflow curves of soil samples with different clay contents generally present the same shape. Differences in clay content lead to changes in the proportions of mesopores and small pores in soil, influencing the mercury removal efficiency.

3.1.3. Pore-Size Distribution Curve

The pore-size distribution refers to the volume distributions of different types of pores in soil. It influences the deformation characteristics, permeability and thermal conductivity of soil; therefore, it is an important feature to analyze [34,35]. Pore diameters corresponding to the peak of the pore-size distribution curve indicate the most abundant pore-size (dm). Physically, dm is the pore diameter with the highest occurrence in porous materials [36,37]. The functional formula of the pore-size distribution is as follows [38]:
f ( log d i ) = d V i dlog d i
where V is the pore volume, d i is the diameter of the pores and i is a pressure stage of MIP.
It can be seen from Figure 5 that the pore-size distribution curves of soil samples with different clay contents have similar characteristics. Moreover, the pore-size range of effective pores (the effective pores discussed here refer to the pores that account for 90% of the total pore volume) in four groups of soil samples with different clay contents is 0.02–1 μm. The peaks of the four groups of soil samples are 0.364 mL/g, 0.332 mL/g, 0.267 mL/g and 0.245 mL/g, respectively; the most abundant pore-size of the four groups are 0.554 μm, 0.435 μm, 0.350 μm and 0.290 μm, respectively. With increases in clay content, the pore-size distribution curve moves toward to the left. The most abundant pore-size—corresponding to the dominant pores—decreases gradually and the peaks also decline. This reflects the fact that mesopores tend to disappear to the benefit of small pores. Nevertheless, the effective pore range is neither expanded nor narrowed with changes in clay content. This further proves that clay content primarily influences mesopores and small pores in soils, but not macropores. It can be seen from Figure 6 that the most abundant pore-size (dm) presents an approximately linear relationship with the clay content.

3.1.4. Cumulative Specific Surface Area of Pore

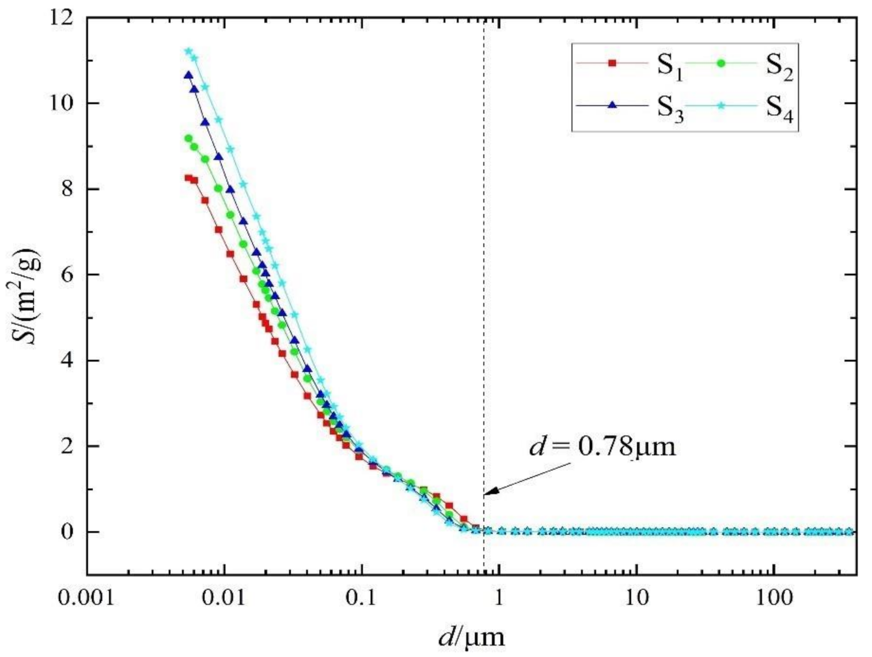
Based on the hypothesis of cylindrical pores [39], the specific surface area (S) of all pores filled by mercury under a certain mercury inflow pressure can be found using the following formula:
S = 1 r cos θ 0 V p d V
It can be seen from Figure 7 that the slope of the curve is nearly 0 when d > 0.78 μm. When d < 0.78 μm, the cumulative specific surface area increases significantly. In summary, macropores have a small contribution to the specific surface area of pores—mesopores, small pores and micropores are major contributors to the specific surface area of pores in soil samples, particularly small pores and micropores. It can be seen clearly from Figure 8 that the sum of the cumulative specific surface areas of mesopores, micropores and small pores accounts for 95% of the total specific surface area of pores in soils. This is mainly because only a few macropores exist in soil samples. Generally speaking, the specific surface area is larger when the pore size is smaller. Hence, the specific surface area of macropores is very small. Further, the total specific surface area of pores is positively related to the clay content. This is mainly because the mesopores are changed into small pores gradually with increases in clay content, increasing the number of small pores. Figure 9 shows that the total cumulative specific surface area of pores (ST) has an approximately linear relationship with clay content.

3.2. Connectivity and Tortuosity of Pores

Pore structure characteristics influence the connectivity and tortuosity of soils directly, affecting their strength and deformation [40,41]. In this study, the mercury removal efficiency and tortuosity factor were used to characterize the connectivity and tortuosity of pores.

3.2.1. Mercury Removal Efficiency

Pores in soils are mainly irregular, coarse and fine. The coarse parts are the pore belly, while the fine parts are the pore throat. The ratio of the radii of the pore belly and pore throat is called pore–throat ratio [42,43,44]. The pore–throat ratio is an important parameter that reflects the pore shape. The higher the pore–throat ratio is, the more difficult it is for the fluid to run through soil. Since the pore–throat ratio is difficult to determine, it can be inferred from the mercury removal efficiency. he mercury removal efficiency refers to the ratio of the total mercury outflow volume and the total mercury inflow volume under the same pressure range when the injection pressure decreases from the peak to the minimum during MIP. It has been found that the mercury removal efficiency decreases with increases in the pore–throat ratio [45]. When the mercury removal efficiency is the higher, the pore–throat ratio is smaller and the pore connectivity in soils is improved. The mercury removal efficiency (W) can be expressed as:
W = S max S r S max × 100 %
where S m a x is the total volume of mercury injected into the soil at maximum pressure, S r is the total volume of mercury remaining in the soil when the maximum pressure drops to 0.1 MPa.
Figure 10 shows that the mercury removal efficiency first decreases and then stabilizes with changes in clay content. When the clay content gradually increases from 22.31% to 32.31%, the mercury removal efficiency increases. This demonstrates that the pore–throat ratio decreases gradually and the pore connectivity improves. The mercury removal efficiency changes only slightly when the clay content is larger than 32.31%.

3.2.2. Tortuosity Factor

The tortuosity of pores reflects the complexity of the pore system. For soils with the same pore volume, a higher tortuosity implies a longer and more bending pore channel on the surface, which decreases the permeability of soils. The tortuosity factor (τ) of pores refers to the ratio of the straight line between the practical length of the seepage channel and seepage media (Figure 11). The tortuosity factor is an important parameter that describes the seepage channel of fluids and can be expressed as follows:
τ = L i L 0
where L i is the actual length and L 0 is the apparent length.
The seepage model based on porous media hypothesizes that pores in porous media—in a fractal distribution—can be represented as a beam of the bending channel. According to the generalized Hagen–Poiseulle equation [46], the flow rate per unit volume is as follows:
q r = n A π 8 Δ P L t r 4 μ
where q r is the flow rate of a bundle of n tubes of size r. n is the number of tubes per unit area, A is the sectional area, r is the radius of a single tube, μ is the viscosity coefficient of the fluid and Δ P is the pressure gradient.
According to Darcy’s law:
q = K A Δ P μ L 0
where K is the permeability.
The porosity is the volumetric ratio between the pore and porous media.
ϕ = n π r 2 L t L 0
Based on the above formula:
τ 2 = ϕ r 2 8 K
The mean pore diameter or mean capillary radius ( r ) can use the mean hydraulic radius ( R h ) to replace the radius of the tube [47,48]:
R h = S Z = π r 2 2 π r = r 2
R h = ϕ D p 6 1 ϕ
where S is the total sectional area that the fluid runs through, Z is the total circumference of the particles and D p is the mean particle size.
By substituting Equations (11) and (12) into Equation (10), the following can be obtained:
τ = ϕ 2 K ϕ D p 6 1 ϕ
It can be seen from Equation (13) that the tortuosity factor is a function of the permeability, porosity and mean particle size. All of these physical indexes can be obtained through MIP and SEM.
It can be seen from Figure 12 that the tortuosity factor of pores in soils increases first and then decreases with increases in clay content. The tortuosity increases when the clay content increases from 22.31 to 32.31%. When the clay content is higher than 32.31%, the tortuosity decreases. This is mainly because the mesopores are changed into small pores, resulting in increased tortuosity of the whole pore system.

3.3. Fractal Features of the Pore

3.3.1. Fractal Model of the Pore Structure in Soil

The pore structures of soils exhibit fractal features [49,50,51,52,53,54]. Researchers have proposed many fractal models of soil particles or pores [55,56,57,58]. On this basis, the permeability, connectivity and structural constitutive relations of rocks and soils have been studied. Based on fractal theory, higher fractal dimensions have larger heterogeneity in pore size and the spatial distribution state of the internal pores is more complex. In this study, the pore volume fractal model proposed by Tao [50] was applied. The pore volume fractal model can be expressed as follows:
V > d i = V a 1 ( d i L 0 ) 3 D
where V > d i is the total soil volume with pore diameters larger than d i , V a is the total volume of the soil samples, L 0 is the size of the study area and D is the fractal dimension of the pore volume.
According to Equation (14):
φ > d i = 1 - V > d i V v d i L 3 D
where φ > d i is the percentage of soil volume with a pore diameter larger than d i .
Equation (15) can be rewritten as:
φ d i = V d i V v d i 3 D
where φ < d i is the percentage of soil volume with pore diameters smaller than or equal to d i , V v is the total pore volume in soil.
The following can be obtained after taking the logarithm of both sides of Equation (16):
lg φ d i = lg V d i V v 3 D lg d i
According to Equation (17), the slope of the percentage of cumulative volume with a pore diameter smaller than d and the pore diameter d in log—log coordinates is k . Then, the fractal dimension of the pore volume is D = 3 k . The high fractal dimension indicates the high irregularity and complexity of the pore volume.
It can be seen from Figure 13 that
(1)
The overall curve comprises multiple broken lines. This reflects the fact that soil pores are not single fractal features, but exhibit multi-fractal properties. Pores in the scale range of each broken line have similar characteristics. There are several broken lines, indicating several fractals of the structural layers in pores.
(2)
The inflection points of each broken line are limits that characterize changes in pore properties. The pores at two sides of the inflection point have different structural features. The pore diameter corresponding to the inflection point can comprehensively characterize the features of pores on different layers. The pore diameter corresponding to the inflection point can be used as a division standard for the pore diameter. There are three inflection points for the marine soft soil samples in this study: 0.02 μm, 0.18 μm and 0.78 μm. These are consistent with the pore diameter divisions in Section 3.1.
(3)
According to fractal curve features, the curve is divided into four broken lines. Each broken line has approximately linear characteristics. With increases in pore diameter, the slope of the curve decreases gradually. The slopes of curves in the region II and III were consistent, indicating the ambiguous boundary between mesopores and small pores.
When triaxial test and permeability test were carried out later, it was found that the permeability and mechanical properties of the samples are clearly related to the fractal dimension of pores. When mesopores and small pores are classified into one category, it was found that there is no good match between the fractal dimension and the permeability and mechanical properties of soil samples. However, when the mesopores and small pores are discussed separately, it is found that the fractal dimensions of mesopore and small pore have good relationship with the permeability and mechanical properties of samples. Therefore, we considered the mesopores and small pores separately.

3.3.2. Effects of Clay Content on the Fractal Features of Pores

It can be seen from Figure 14 that the fractal dimension of macropores ranges between 2.9724–2.9793 and changes only slightly. This is because the clay content has an extremely small influence on the cumulative volume of macropores. Therefore, the fractal features of macropores do not change much with changes in clay content. The fractal dimension of mesopores ranges between 2.1462–2.4086. As clay content increases, the fractal dimension decreases first and then increases. The fractal dimension of small pores is in the range of 2.1812–2.2324 and is only slightly influenced by clay content. The fractal dimension of micropores is 1.2185–1.4308. The smaller fractal dimension of micropore may be due to the following two reasons: (a) micropores are formed by very small clay particles, mostly extended in two dimensions, with little difference in shape; (b) the determination of pore size distribution of materials by MIP is based on Washburn equation and the basic theoretical model is cylindrical pore model. The shape of micropores is quite different from that of the cylindrical pore model. When the clay content is smaller than 32.31%, the difference in the fractal dimension between mesopores and small pores is only slight, indicating the insignificant boundaries between mesopores and small pores; further, the fractal features of pores tend to be consistent. When the clay content is higher than 32.31%, the fractal dimension of mesopores increases, while the fractal dimension of small pores remains basically constant. This demonstrates that the differences in fractal features between mesopores and small pores are gradually increasing.
It is clear that the fractal dimensions of macropores and small pores are influenced by clay content only slightly. Therefore, the pore morphology and spatial distribution of macropores and small pores are relatively stable. The fractal dimension of mesopores decreases first and then increases with increases in clay content. When the clay content is higher than 32.31%, the structural morphology of mesopores becomes more complex. When the clay content is lower than 32.31%, the fractal features of mesopores and small pores tend to be consistent. When the clay content is higher than 32.31%, the difference in fractal features between mesopores and small pores is gradually increasing.

4. Conclusions

This study investigates the pore-size distribution features and fractal features of marine soft soil at various clay contents. The main findings are as follows:
(1)
According to the pore-size distribution and fractal features, pores in marine soft soil in Beibu Gulf can be divided into macropores, mesopores, small pores and micropores by using 0.02 μm, 0.18 μm and 0.78 μm as the critical pore diameters.
(2)
The volumes of mesopores and small pores account for more than 75% of the total pore volume. The sensitivity of different pore groups to clay content is positively related to the pore volume. The pore group with the highest volume percentage adjusts its structure first when the clay content changes, rather than the macropores being adjusted first. The sum of the cumulative specific surface area of mesopores, small pores and micropores accounts for 95% of the total specific surface area of the pores. Mesopores, small pores and micropores are major contributors to the specific surface area of pores.
(3)
The mercury removal efficiency and tortuosity factor can characterize the connectivity and tortuosity of pores in soil well. As the clay content increases, the mercury removal efficiency increases gradually, indicating that the connectivity of pores is improving. With increases in clay content, the tortuosity first increases and then decreases.
(4)
There are multiple fractal features for marine soft soil in Beibu Gulf. Macropores and small pores have strong fractal features and their fractal dimension is influenced only slightly by clay content. When the clay content is higher than 27.31%, the fractal dimension of mesopores is positively related to the clay content. The pore structure becomes more and more complex when the clay content increases. When the clay content is lower than 32.31%, the fractal features of mesopores and small pores are similar. When the clay content is higher than 32.31%, the difference in fractal features between mesopores and small pores increases.

Author Contributions

Conceptualization, W.J. and D.Z.; methodology, W.J.; software, W.J.; validation, W.J., D.Z. and Y.W.; formal analysis, W.J.; investigation, D.Z.; resources, D.Z.; data curation, W.J.; writing—original draft preparation, W.J.; writing—review and editing, W.J., D.Z. and Y.W.; visualization, D.Z.; supervision, D.Z.; project administration, D.Z.; funding acquisition, D.Z. All authors have read and agreed to the published version of the manuscript.

Funding

This study was supported by the National Natural Science Foundation of China (Grant Nos. 40772190, 51178124 and 42067045).

Institutional Review Board Statement

Not applicable.

Informed Consent Statement

Not applicable.

Data Availability Statement

The data presented in this study are available on request from the corresponding author. The data are not publicly available due to privacy or ethical restrictions.

Acknowledgments

All authors contributed equally to this study, including the preparation of the manuscript; their support is gratefully acknowledged.

Conflicts of Interest

The authors declare no conflict of interest.

References

  1. Phetchuay, C.; Horpibulsuk, S.; Arulrajah, A.; Suksiripattanapong, C.; Udomchai, A. Strength development in soft marine clay stabilized by fly ash and calcium carbide residue based geopolymer. Appl. Clay Sci. 2016, 127–128, 134–142. [Google Scholar] [CrossRef]
  2. Mesri, G.; Kane, T. Discussion of “New approach of vacuum preloading with booster prefabricated vertical drains (PVDs) to improve deep marine clay strata”. Can. Geotech. J. 2019, 56, 1–2. [Google Scholar] [CrossRef]
  3. Yaolin, Y.; Gu, L.; Liu, S. Microstructural and mechanical properties of marine soft clay stabilized by lime-activated ground granulated blastfurnace slag. Appl. Clay Sci. 2015, 103, 71–76. [Google Scholar]
  4. Emmanuel, E.; Lau, C.C.; Anggraini, V.; Pasbakhsh, P. Stabilization of a soft marine clay using halloysite nanotubes: A multi-scale approach. Appl. Clay Sci. 2019, 173, 65–78. [Google Scholar] [CrossRef]
  5. Schlüter, S.; Sammartino, S.; Koestel, J. Exploring the relationship between soil structure and soil functions via pore-scale imaging. Geoderma 2020, 370, 114370. [Google Scholar] [CrossRef]
  6. Daly, K.R.; Roose, T. Determination of macro-scale soil properties from pore-scale structures: Model derivation. Proc. R. Soc. A Math. Phys. Eng. Sci. 2018, 474, 20170141. [Google Scholar] [CrossRef] [PubMed]
  7. Vishal, V.; Chandra, D.; Bahadur, J.; Sen, D.; Hazra, B.; Mahanta, B.; Mani, D. Interpreting Pore Dimensions in Gas Shales Using a Combination of SEM Imaging, Small-Angle Neutron Scattering, and Low-Pressure Gas Adsorption. Energy Fuels 2019, 33, 4835–4848. [Google Scholar] [CrossRef]
  8. Deirieh, A.; Casey, B.; Germaine, J.T.; Xu, G. The integration of magnifications: A novel approach to obtain representative information about the pore space of mudrocks from SEM images. Appl. Clay Sci. 2018, 154, 73–82. [Google Scholar] [CrossRef]
  9. Gaboreau, S.; Robinet, J.-C.; Prêt, D. Optimization of pore-network characterization of a compacted clay material by TEM and FIB/SEM imaging. Microporous Mesoporous Mater. 2016, 224, 116–128. [Google Scholar] [CrossRef]
  10. Quang, N.D.; Chai, J.C. Permeability of lime-and cement-treated clayey soils. Can. Geotech. J. 2015, 52, 1221–1227. [Google Scholar] [CrossRef]
  11. Shen, K.; Houli, F.U.; Qin, Z.; Wang, Q.; Zhang, L. The Influence of the Binaryzation Threshold on Fractal Dimension of SEM Images for Granite. Geol. Explor. 2019, 55, 87–94. [Google Scholar]
  12. Li, D.; Wang, Y. Application of an improved threshold segmentation method in SEM material analysis. IOP Conf. Ser. Mater. Sci. Eng. 2018, 322, 022057. [Google Scholar] [CrossRef]
  13. Wong, J.T.F.; Chen, Z.; Wong, A.Y.Y.; Ng, C.W.W.; Wong, M.H. Effects of biochar on hydraulic conductivity of compacted kaolin clay. Environ. Pollut. 2018, 234, 468–472. [Google Scholar] [CrossRef]
  14. Zhou, J.; Tang, Y. Experimental inference on dual-porosity aggravation of soft clay after freeze-thaw by fractal and probability analysis. Cold Reg. Sci. Technol. 2018, 153, 181–196. [Google Scholar] [CrossRef]
  15. Pedarla, A.; Puppala, A.J.; Hoyos, L.R.; Chittoori, B. Evaluation of Swell Behavior of Expansive Clays from Internal Specific Surface and Pore Size Distribution. J. Geotech. Geoenviron. Eng. 2016, 142. [Google Scholar] [CrossRef]
  16. Li, P.; Shao, S.; Vanapalli, S.K. Characterizing and modeling the pore-size distribution evolution of a compacted loess during consolidation and shearing. J. Soils Sediments 2020, 20, 2855–2867. [Google Scholar] [CrossRef]
  17. Griffiths, F.J.; Joshi, R.C. Discussion: Change in pore size distribution due to consolidation of clays. Géotechnique 1990, 40, 303–309. [Google Scholar] [CrossRef]
  18. Jia-Ding, W.; Li, P.; Ma, Y.; Vanapalli, S.K. Evolution of pore-size distribution of intact loess and remolded loess due to consolidation. J. Soils Sediments 2019, 19, 1226–1238. [Google Scholar]
  19. Khalid, U.; Ye, G.-L.; Yadav, S.K.; Zhou, A.; Gu, L. Consolidation Pressure Consequences on the Soil Structure of Artificial Structured Marine Clay: Macro and Micro Evaluation. Geotech. Geol. Eng. 2021, 39, 247–263. [Google Scholar] [CrossRef]
  20. Boulin, P.F.; Angulo-Jaramillo, R.; Daian, J.-F.; Talandier, J.; Berne, P. Pore gas connectivity analysis in Callovo-Oxfordian argillite. Appl. Clay Sci. 2008, 42, 276–283. [Google Scholar] [CrossRef]
  21. Carson, J.K.; Gonzalez-Quiñones, V.; Murphy, D.V.; Hinz, C.; Shaw, J.A.; Gleeson, D.B. Low Pore Connectivity Increases Bacterial Diversity in Soil. Appl. Environ. Microbiol. 2010, 76, 3936–3942. [Google Scholar] [CrossRef]
  22. Mandelbrot, B.B.; Benoit, B.B. The Fractal Geometry of Nature. Am. J. Phys. 1998, 51, 468. [Google Scholar] [CrossRef]
  23. Perfect, E.; Kay, B.D. Fractal Theory Applied to Soil Aggregation. Soil Sci. Soc. Am. J. 1991, 55, 1552–1558. [Google Scholar] [CrossRef]
  24. Liu, K.; Ostadhassan, M. Multi-scale fractal analysis of pores in shale rocks. J. Appl. Geophys. 2017, 140, 1–10. [Google Scholar] [CrossRef]
  25. Shao, X.; Pang, X.; Jiang, F.; Li, L.; Huyan, Y.; Zheng, D. Reservoir Characterization of Tight Sandstones Using Nuclear Magnetic Resonance and Incremental Pressure Mercury Injection Experiments: Implication for Tight Sand Gas Reservoir Quality. Energy Fuels 2017, 31, 10420–10431. [Google Scholar] [CrossRef]
  26. Yu, K.; Ju, Y.; Qi, Y.; Qiao, P.; Huang, C.; Zhu, H.; Feng, H. Fractal Characteristics and Heterogeneity of the Nanopore Structure of Marine Shale in Southern North China. Minerals 2019, 9, 242. [Google Scholar] [CrossRef]
  27. Marshall, T.J.; Holmes, J.W. Soil Physics; Cambridge University Press: Cambridge, UK, 1981. [Google Scholar]
  28. MacKenzie, R.; Mitchell, B. Clay mineralogy. Earth-Sci. Rev. 1966, 2, 47–91. [Google Scholar] [CrossRef]
  29. Washburn, E.W. Note on a Method of Determining the Distribution of Pore Sizes in a Porous Material. Proc. Natl. Acad. Sci. USA 1921, 7, 115–116. [Google Scholar] [CrossRef]
  30. Horpibulsuk, S.; Rachan, R.; Chinkulkijniwat, A.; Raksachon, Y.; Suddeepong, A. Analysis of strength development in cement-stabilized silty clay from microstructural considerations. Constr. Build. Mater. 2010, 24, 2011–2021. [Google Scholar] [CrossRef]
  31. Shear, D.L.; Olsen, H.W.; Nelson, K.R. Effects of Desiccation on the Hydraulic Conductivity Versus Void Ratio Relationship for a Natural Clay; Transportation Research Board: Washington, DC, USA, 1992. [Google Scholar]
  32. Moro, F.; Hni, H.B. Ink-Bottle Effect in Mercury Intrusion Porosimetry of Cement-Based Materials. J. Colloid Interface Sci. 2002, 246, 135–149. [Google Scholar] [CrossRef] [PubMed]
  33. Diamond, S. Mercury porosimetry: An inappropriate method for the measurement of pore size distributions in cement-based materials. Cem. Concr. Res. 2000, 30, 1517–1525. [Google Scholar] [CrossRef]
  34. Wang, M.; Pande, G.N.; Kong, L.W.; Feng, Y.T. Comparison of Pore-Size Distribution of Soils Obtained by Different Methods. Int. J. Géoméch. 2017, 17, 06016012. [Google Scholar] [CrossRef]
  35. Atahan, H.N.; Oktar, O.N.; Taşdemir, M.A. Effects of water–cement ratio and curing time on the critical pore width of hardened cement paste. Constr. Build. Mater. 2009, 23, 1196–1200. [Google Scholar] [CrossRef]
  36. Kumar, R.; Bhattacharjee, B. Study on some factors affecting the results in the use of MIP method in concrete research. Cem. Concr. Res. 2003, 33, 417–424. [Google Scholar] [CrossRef]
  37. Yang, J.U.; Liu, H.; Tian, K.; Liu, J.; Wang, L.; Ge, Z. An investigation on micro pore structures and the vapor pressure mechanism of explosive spalling of RPC exposed to high temperature. Sci. China Technol. Sci. 2013, 56, 458–470. [Google Scholar]
  38. Juang, C.H.; Holtz, R.D. A prebabilistic permeability model andthe pore-sized density function. Int. J. Numer. Anal. Methods Geomech. 1986, 10, 543–553. [Google Scholar] [CrossRef]
  39. Das, B.; Kondraivendhan, B. Implication of pore size distribution parameters on compressive strength, permeability and hydraulic diffusivity of concrete. Constr. Build. Mater. 2012, 28, 382–386. [Google Scholar] [CrossRef]
  40. Yang, Y.; Ju, Y.; Liu, H.; Wang, H. Influence of porous structure properties on mechanical performances of rock. Yanshilixue Yu Gongcheng Xuebao/Chin. J. Rock Mech. Eng. 2009, 28, 2031–2038. [Google Scholar]
  41. Atkinson, J.A.; Hawkesford, M.J.; Whalley, W.R.; Zhou, H.; Mooney, S.J. Soil strength influences wheat root interactions with soil macropores. Plant Cell Environ. 2020, 43, 235–245. [Google Scholar] [CrossRef] [PubMed]
  42. Li, Y.; Wardlaw, N.C. The influence of wettability and critical pore-throat size ratio on snap—off. J. Colloid Interface Sci. 1986, 109, 461–472. [Google Scholar]
  43. Nelson, P.H. Pore-throat sizes in sandstones, tight sandstones, and shales. AAPG Bull. 2009, 93, 329–340. [Google Scholar] [CrossRef]
  44. Klaver, J.; Desbois, G.; Urai, J.L.; Littke, R. BIB-SEM study of the pore space morphology in early mature Posidonia Shale from the Hils area, Germany. Int. J. Coal Geol. 2012, 103, 12–25. [Google Scholar] [CrossRef]
  45. Cai, J.; Zhang, Z.; Wei, W.; Guo, D.; Li, S.; Zhao, P. The critical factors for permeability-formation factor relation in reservoir rocks: Pore-throat ratio, tortuosity and connectivity. Energy 2019, 188, 116051. [Google Scholar] [CrossRef]
  46. Denn, M. Process Fluid Mechanics; Prentice-Hall: Hoboken, NJ, USA, 1980. [Google Scholar]
  47. Bear, J. Dynamics of Fluids in Porous Media; American Elsevier Pub. Co.: Amsterdam, The Netherlands, 1972. [Google Scholar]
  48. Jin-Sui, W.U.; De-Zhi, H.U.; Jun-Zhong, G.; Hao-Yu, C. Study on the relationship between tortuosity and permeability in porous media. J. North China Inst. Sci. Technol. 2016, 13, 56–59. [Google Scholar]
  49. Tyler, S.W.; Wheatcraft, S.W. Fractal processes in soil water retention. Water Resour. Res. 1990, 26, 1047–1054. [Google Scholar] [CrossRef]
  50. Rieu, M.; Sposito, G. Fractal Fragmentation, Soil Porosity, and Soil Water Properties: I. Theory. Soil Sci. Soc. Am. J. 1991, 55, 1231–1238. [Google Scholar] [CrossRef]
  51. Baveye, P.; Boast, C.W.; Ogawa, S.; Parlange, J.; Steenhuis, T. Influence of image resolution and thresholding on the apparent mass fractal characteristics of preferential flow patterns in field soils. Water Resour. Res. 1998, 34, 2783–2796. [Google Scholar] [CrossRef]
  52. Perrier, E.; Rieu, M.; Sposito, G.; De Marsily, G. Models of the water retention curve for soils with a fractal pore size distribution. Water Resour. Res. 1996, 32, 3025–3031. [Google Scholar] [CrossRef]
  53. Oleschko, K.; Figueroa, S.B.; Miranda, M.; Vuelvas, M.; E Solleiro, R. Mass fractal dimensions and some selected physical properties of contrasting soils and sediments of Mexico. Soil Tillage Res. 2000, 55, 43–61. [Google Scholar] [CrossRef]
  54. Wang, J.; Qin, Q.; Guo, L.; Feng, Y. Multi-fractal characteristics of three-dimensional distribution of reconstructed soil pores at opencast coal-mine dump based on high-precision CT scanning. Soil Tillage Res. 2018, 182, 144–152. [Google Scholar] [CrossRef]
  55. Crawford, J.W.; Matsui, N. Heterogeneity of the pore and solid volume of soil: Distinguishing a fractal space from its non-fractal complement. Geoderma 1996, 73, 183–195. [Google Scholar] [CrossRef]
  56. Xu, Y. Calculation of unsaturated hydraulic conductivity using a fractal model for the pore-size distribution. Comput. Geotech. 2004, 31, 549–557. [Google Scholar] [CrossRef]
  57. Tao, G.; Zhang, J. Two categories of fractal models of rock and soil expressing volume and size-distribution of pores and grains. Sci. Bull. 2009, 54, 4458–4467. [Google Scholar] [CrossRef]
  58. Perrier, E.; Baveye, P.C.; Garnier, P. To what extent can multifractal measures provide an accurate model of the porosity of soils? Eur. J. Soil Sci. 2021, 72, 510–526. [Google Scholar] [CrossRef]
Figure 1. Location of the reclaimed land (Beibu Gulf).
Figure 1. Location of the reclaimed land (Beibu Gulf).
Water 13 01160 g001
Figure 2. Relationship between the pore-volume and pore diameter.
Figure 2. Relationship between the pore-volume and pore diameter.
Water 13 01160 g002
Figure 3. Relationship between pore volume and clay content.
Figure 3. Relationship between pore volume and clay content.
Water 13 01160 g003
Figure 4. Mercury inflow–outflow curves.
Figure 4. Mercury inflow–outflow curves.
Water 13 01160 g004
Figure 5. Curves of pore-size distribution.
Figure 5. Curves of pore-size distribution.
Water 13 01160 g005
Figure 6. Relationship between the most probable pore-size and clay content.
Figure 6. Relationship between the most probable pore-size and clay content.
Water 13 01160 g006
Figure 7. Relationship between cumulative specific surface area and pore diameter.
Figure 7. Relationship between cumulative specific surface area and pore diameter.
Water 13 01160 g007
Figure 8. Relationship between the specific surface area of each group pores and clay content.
Figure 8. Relationship between the specific surface area of each group pores and clay content.
Water 13 01160 g008
Figure 9. Relationship between the total specific surface area of pores and clay content.
Figure 9. Relationship between the total specific surface area of pores and clay content.
Water 13 01160 g009
Figure 10. Relationship between mercury removal efficiency and clay content.
Figure 10. Relationship between mercury removal efficiency and clay content.
Water 13 01160 g010
Figure 11. Fluid running through soil.
Figure 11. Fluid running through soil.
Water 13 01160 g011
Figure 12. Relationship between tortuosity factor and clay content.
Figure 12. Relationship between tortuosity factor and clay content.
Water 13 01160 g012
Figure 13. Fractal feature curves of pores in soil samples with clay contents. (a) Clay content is 22.31%; (b) Clay content is 27.31%; (c) Clay content is 32.31%; (d) Clay content is 37.31%.
Figure 13. Fractal feature curves of pores in soil samples with clay contents. (a) Clay content is 22.31%; (b) Clay content is 27.31%; (c) Clay content is 32.31%; (d) Clay content is 37.31%.
Water 13 01160 g013aWater 13 01160 g013b
Figure 14. Fractal dimensions of various types of each group pores with clay content.
Figure 14. Fractal dimensions of various types of each group pores with clay content.
Water 13 01160 g014
Table 1. Physical properties of the soil samples.
Table 1. Physical properties of the soil samples.
Moisture Content W (%)Void Ratio e Specific Gravity of Soil Particles G S Liquid Limit W L   ( % ) Plastic Limit W P   ( % ) Plasticity Index I P   ( % ) Organic Matter (%)pHSoluble Salt Content (%)
54.41.4792.72044.220.124.12.7016.71.51
Table 2. Particle size distribution of the soil samples.
Table 2. Particle size distribution of the soil samples.
Particle Size (mm)SandSiltClay
>0.0750.005–0.075<0.005
Content (%)8.0869.6122.31
Table 3. Mineral composition of the soil (wt.%).
Table 3. Mineral composition of the soil (wt.%).
QuartzKaoliniteIlliteMuscoviteChloriteFeldsparTourmalineZirconCalcitePyrite
50.0522.3713.563.242.175.61<1<1<1<1
Table 4. Four groups of soil samples with different particle-size distributions.
Table 4. Four groups of soil samples with different particle-size distributions.
Sample No.ComparisonGrain Composition (%)
>0.075 mm0.005–0.075 mm<0.005 mm
S1Theoretical8.0869.6122.31
Measured8.0869.6122.31
S2Theoretical7.5665.1327.31
Measured7.5965.1127.30
S3Theoretical7.0460.6532.31
Measured7.2660.7731.97
S4Theoretical6.5256.1737.31
Measured6.4656.1637.38
Publisher’s Note: MDPI stays neutral with regard to jurisdictional claims in published maps and institutional affiliations.

Share and Cite

MDPI and ACS Style

Jiao, W.; Zhou, D.; Wang, Y. Effects of Clay Content on Pore Structure Characteristics of Marine Soft Soil. Water 2021, 13, 1160. https://doi.org/10.3390/w13091160

AMA Style

Jiao W, Zhou D, Wang Y. Effects of Clay Content on Pore Structure Characteristics of Marine Soft Soil. Water. 2021; 13(9):1160. https://doi.org/10.3390/w13091160

Chicago/Turabian Style

Jiao, Wencan, Dong Zhou, and Yetian Wang. 2021. "Effects of Clay Content on Pore Structure Characteristics of Marine Soft Soil" Water 13, no. 9: 1160. https://doi.org/10.3390/w13091160

APA Style

Jiao, W., Zhou, D., & Wang, Y. (2021). Effects of Clay Content on Pore Structure Characteristics of Marine Soft Soil. Water, 13(9), 1160. https://doi.org/10.3390/w13091160

Note that from the first issue of 2016, this journal uses article numbers instead of page numbers. See further details here.

Article Metrics

Back to TopTop