Comparison of Invasive Apple Snail (Pomacea canaliculata) Behaviors in Different Water Temperature Gradients
Abstract
1. Introduction
2. Materials and Methods
2.1. Test Organisms and Behavior Observation
2.2. Feeding
2.3. Data Analysis
3. Results
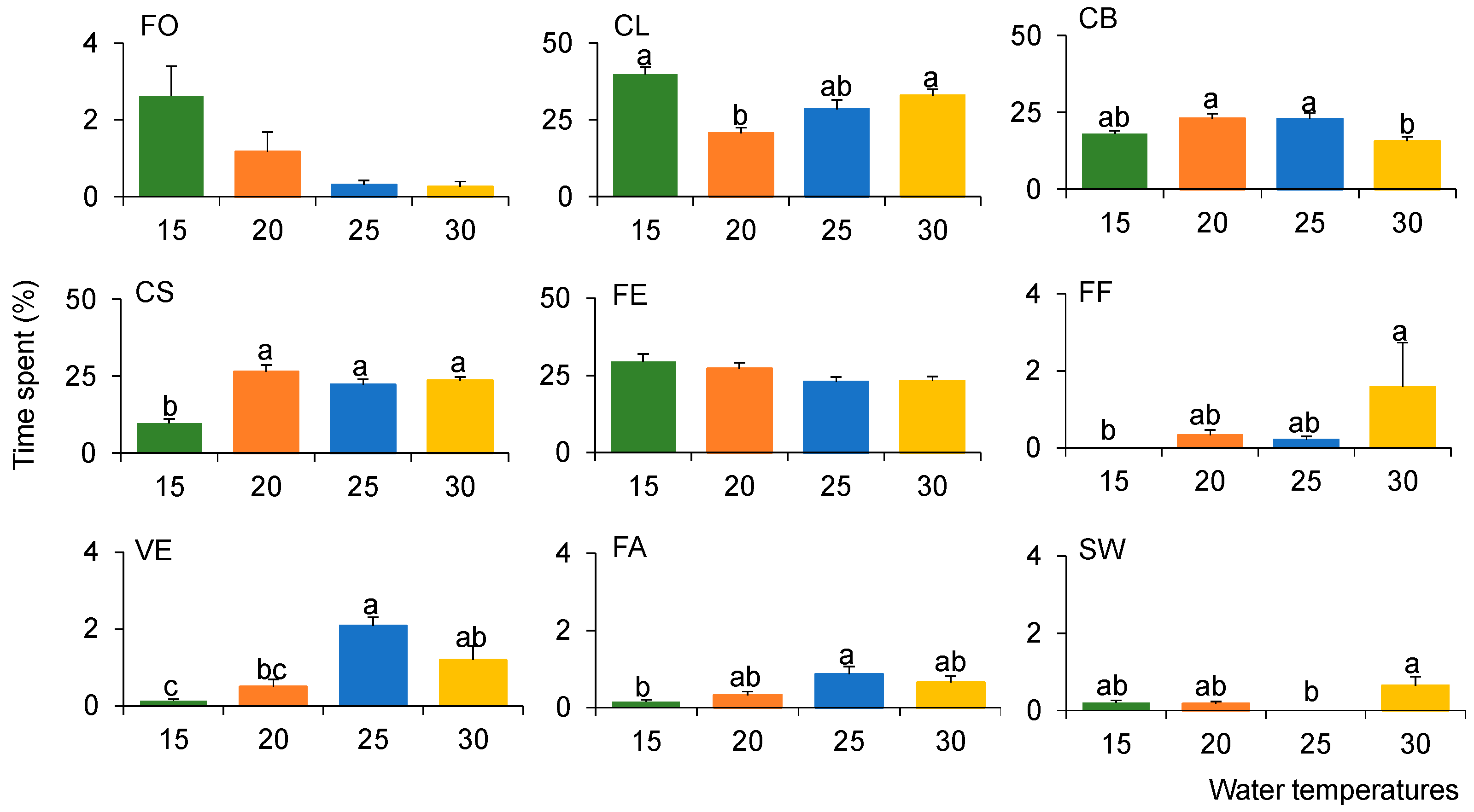
3.1. Comparion of Behavioral Differences in Different Temperature Conditions
3.2. Temporal Patterns of Behaviors in Different Temperature Regimes
3.3. Food Consumption
3.4. Characterization of Behavioral Patterns
4. Discussion
Supplementary Materials
Author Contributions
Funding
Institutional Review Board Statement
Informed Consent Statement
Data Availability Statement
Conflicts of Interest
References
- Martín, P.R.; Estebenet, A.L.; Cazzaniga, N.J. Factors affecting the distribution of Pomacea canaliculatac (Gastropoda: Ampullariidae) along its southernmost limit. Malacologia 2001, 43, 13–23. [Google Scholar]
- Cowie, R.H. Apple snails (Ampullariidae) as agricultural pests: Their biology, impacts and management. In Molluscs as Crop Pests; Barker, G.M., Ed.; CAB International: Wallingford, UK, 2002; pp. 145–192. [Google Scholar]
- Rawlings, T.A.; Hayes, K.A.; Cowie, R.H.; Collins, T.M. The identity, distribution, and impacts of non-native apple snails in the continental United States. BMC Evol. Biol. 2007, 7, 97. [Google Scholar] [CrossRef] [PubMed]
- Halwart, M. Fish as Biocontrol Agents in Rice: The Potential of Common Carp Cyprinus carpio (L.) and Nile Tilapia Oreochromis niloticus (L.); Margraf Verlag: Weikersheim, Germany, 1995; p. 169. [Google Scholar]
- Wada, T. Strategies for controlling the apple snails Pomacea canaliculata (Lamarck) (Gastropoda: Ampullariidae) in Japanese direct-sown paddy fields. JARQ 2004, 38, 75–80. [Google Scholar] [CrossRef]
- Cowie, R.H.; Hayes, K.A.; Thiengo, S.C. What are apple snails? Confused taxonomy and some preliminary resolution. In Global Advances in Ecology and Management of Golden Apple Snails; Joshi, R.C., Sebastian, L.S., Eds.; Philippine Rice Research Institute: Nueva Ecija, Philippines, 2006; pp. 3–24. [Google Scholar]
- Hayes, K.A.; Joshi, R.C.; Thiengo, S.C.; Cowie, R.H. Out of South America: Multiple origins of non-native apple snails in Asia. Divers. Distrib. 2008, 14, 701–712. [Google Scholar] [CrossRef]
- Carlsson, N.O.L.; Brönmark, C.; Hansson, L.A. Invading herbivory: The golden apple snail alters ecosystem functioning in Asian wetlands. Ecology 2004, 85, 1575–1580. [Google Scholar] [CrossRef]
- Lowe, S.; Browne, M.; Boudjelas, S.; De Poorter, M. 100 of the World’s Worst Invasive Alien Species—A selection from the Global Invasive Species Database; The Invasive Species Specialist Group (ISSG) a Specialist Group of the Species Survival Commission (SSC) of the World Conservation Union (IUCN): Auckland, New Zealand, 2000; 12p. [Google Scholar]
- Mendoza, R.; Aguilera, C.; Montemayor, J.; Rodriguez, G. Utilization of artificial diets and effect of protein/energy relationship on growth performance of the apple snails Pomacea bridgesi (Prosobranchia: Ampullariidae). Veliger 1999, 42, 101–111. [Google Scholar]
- Estebenet, A.L.; Martín, P.R. Pomacea canaliculata (Gastropoda: Ampullariidae): Life-history traits and their plasticity. Biocell 2002, 26, 83–89. [Google Scholar]
- Ramnarine, I.W. Quantitative protein requirements of the edible snail Pomacea urceus (Müller). J. World Aquacult. Soc. 2004, 35, 253–256. [Google Scholar] [CrossRef]
- Bae, M.J.; Chon, T.S.; Park, Y.-S. Modeling behavior control of golden apple snails at different temperatures. Ecol. Model. 2015, 306, 86–94. [Google Scholar] [CrossRef]
- Teo, S.S. Biology of the golden apple snail, Pomacea canaliculata (Lamarck, 1822), with emphasis on responses to certain environmental conditions in Sabah, Malaysia. Molluscan Res. 2004, 24, 139–148. [Google Scholar] [CrossRef]
- Estebenet, A.L.; Cazzaniga, N.J. Growth and demography of Pomacea canaliculata (Gastropoda: Ampullariidae) under laboratory conditions. Malacol. Rev. 1992, 25, 1–12. [Google Scholar]
- Lach, L.; Britton, D.K.; Rundell, R.J.; Cowie, R.H. Food preference and reproductive plasticity in an invasive freshwater snail. Biol. Invasion 2000, 2, 279–288. [Google Scholar] [CrossRef]
- Albrecht, E.A.; Carreño, N.B.; Castro-Vazquez, A. A study of environmental factors influencing the seasonal onset of reproductive behaviour in the South American apple-snail Pomacea canaliculata (Gastropoda: Ampullariidae). J. Molluscan Stud. 1999, 65, 241–250. [Google Scholar] [CrossRef]
- Seuffert, M.E.; Burela, S.; Martín, P.R. Influence of water temperature on the activity of the freshwater snail Pomacea canaliculata (Caenogastropoda: Ampullariidae) at its southernmost limit (Southern Pampas, Argentina). J. Therm. Biol. 2010, 35, 77–84. [Google Scholar] [CrossRef]
- Costil, K.; Bailey, S.E.R. Influence of water temperature on the activity of Planorbarius corneus (Pulmonata, Planorbidae). Malacologia 1998, 39, 141–150. [Google Scholar]
- Seuffert, M.E.; Martín, P.R. Thermal limits for the establishment and growth of populations of the invasive apple snail Pomacea canaliculata. Biol. Invasions 2017, 19, 1169–1180. [Google Scholar] [CrossRef]
- Oya, S.; Hirai, Y.; Miyahara, Y. Injuring habits of the apple snail, Ampullarius insularus D’Orbigny, to the young rice seedlings. Proc. Assoc. Kyushu Pl. Prot. Res. 1986, 32, 92–95. [Google Scholar] [CrossRef]
- Lv, S.; Zhou, X.N.; Zhang, Y.; Liu, H.X.; Zhu, D.; Yin, W.G.; Steinmann, P.; Wang, X.H.; Jia, T.W. The effect of temperature on the development of Angiostrongylus cantonensis (Chen 1935) in Pomacea canaliculata (Lamarck 1822). Parasitol. Res. 2006, 99, 583–587. [Google Scholar] [CrossRef]
- Bae, M.J.; Kwon, Y.S.; Park, Y.S. Effects of global warming on the distribution of overwintering Pomacea canaliculata (Gastropoda: Ampullariidae) in Korea. Korean J. Ecol. Environ. 2002, 45, 453–458. [Google Scholar]
- Lei, J.; Chen, L.; Li, H. Using ensemble forecasting to examine how climate change promotes worldwide invasion of the golden apple snail (Pomacea canaliculata). Environ. Monit. Assess. 2017, 189, 1–11. [Google Scholar] [CrossRef]
- Bae, M.J.; Park, Y.S. Characterizing the effects of temperature on behavioral periodicity in golden apple snails (Pomacea canaliculata). Ecol. Inform. 2015, 29, 130–138. [Google Scholar] [CrossRef]
- Seuffert, M.E.; Martín, P.R. Juvenile growth and survival of the apple snail Pomacea canaliculata (Caenogastropoda: Ampullariidae) reared at different constant temperatures. Springer Plus 2013, 2, 1–5. [Google Scholar] [CrossRef]
- Takeda, N. Histological studies on the maturation of the reproductive system in the apple snail, Pomacea canaliculata. J. Anal. Biosci. 1999, 22, 425–432. [Google Scholar]
- Estebenet, A.L.; Martín, P.R.; Burela, S. Conchological variation in Pomacea canaliculata and other South American Ampullariidae (Caenogastropoda, Architaenioglossa). Biocell 2006, 30, 329–335. [Google Scholar] [PubMed]
- Mathworks. Matlab. Available online: www.mathworks.com (accessed on 20 January 2014).
- Zar, J.H. Biostatistical Analysis; Prentice Hall: Hoboken, NJ, USA, 1999. [Google Scholar]
- Kohonen, T. Self-organized formation of topologically correct feature maps. Biol. Cybern. 1982, 43, 59–69. [Google Scholar] [CrossRef]
- Kohonen, T. Self-Organizing Maps, 3rd ed.; Springer: Berlin, Germany, 2001; 501p. [Google Scholar]
- Bae, M.J.; Kim, J.S.; Park, Y.S. Evaluation of changes in effluent quality from industrial complexes on the Korean nationwide scale using a self-organizing map. Int. J. Environ. Res. Public Health 2012, 9, 1182–1200. [Google Scholar] [CrossRef] [PubMed]
- Park, Y.S.; Chung, Y.J.; Moon, Y.S. Hazard ratings of pine forests to a pine wilt disease at two spatial scales (individual trees and stands) using self-organizing map and random forest. Ecol. Inform. 2013, 13, 40–46. [Google Scholar] [CrossRef]
- Ward, J.H. Hierarchical grouping to optimize an objective function. J. Am. Stat. Assoc. 1963, 58, 236–244. [Google Scholar] [CrossRef]
- McCune, B.; Mefford, M.J. PC-ORD: Multivariate Analysis of Ecological Data; Version 4 for Windows; [User’s Guide]. MjM Software Design; Gleneden Beach: Lincoln, OR, USA, 1999. [Google Scholar]
- StatSoft, M. Statistica for Windows; StatSoft: Tulsa, OK, USA, 2002. [Google Scholar]
- Lee, T.G.; Oh, K.C. Golden apple snails in Korea. In Global Advances in Ecology and Management of Golden Apple Snails; Joshi, R.C., Sebastian, L.S., Eds.; Philippine Rice Research Institute: Science City of Muñoz, Philippines, 2006; p. 588. [Google Scholar]
- Wada, T.; Yoshida, K. Burrowing by the apple snail, Pomacea canaliculata (Lamarck); daily periodicity and factors affecting burrowing. Kyushu Plant Prot. Res. 2000, 46, 88–93. [Google Scholar] [CrossRef]
- Heiler, K.C.M.; von Oheimb, P.V.; Ekschmitt, K.; Albrecht, C. Studies on the temperature dependence of activity and on the diurnal activity rhythm of the invasive Pomacea canaliculata (Gastropoda: Ampullariidae). Mollusca 2008, 26, 73–81. [Google Scholar]
- Seuffert, M.E.; Martín, P.R. Dependence on aerial respiration and its influence on microdistribution in the invasive freshwater snail Pomacea canaliculata (Caenogastropoda, Ampullariidae). Biol. Invasion 2010, 12, 1695–1708. [Google Scholar] [CrossRef]
- Freiburg, M.W.; Hazelwood, D.H. Oxygen consumption of two amphibious snails: Pomacea paludosa and Marisa cornuarietis (Prosobranchia: Ampullariidae). Malacologia 1977, 16, 541–548. [Google Scholar]
- Santos, C.A.Z.; Penteado, C.H.S.; Mendes, E.G. The respiratory responses of an amphibious snail Pomacea lineata (Spix, 1827), to temperature and oxygen tension variations. Comp. Biochem. Physiol. 1987, 86, 409–415. [Google Scholar] [CrossRef]
- Ramakrishnan, V. Salinity, pH, Temperature, Desiccation and Hypoxia Tolerance in the Invasive Freshwater Apple Snail Pomacea insularum. Ph.D. Thesis, University of Texas, Arlington, TX, USA, 2007. [Google Scholar]
- Stevens, A.J.; Welch, Z.C.; Darby, P.C.; Percival, H.F. Temperature effects on Florida applesnail activity: Implications for snail kite foraging success and distribution. Wildl. Soc. 2002, B35, 75–81. [Google Scholar]
- Potts, J.R.; Hillen, T.; Lewis, M.A. The “edge effect” phenomenon: Deriving population abundance patterns from individual animal movement decisions. Theor. Ecol. 2016, 9, 233–247. [Google Scholar] [CrossRef]
- Prabhakaran, G.; Bhore, S.J.; Ravichandran, M. Development of a bait carrier material for apple snail (Pomacea maculata) based on its feed preferences using snail attractant tracking device. J. Nat. Sci. Biol. Med. 2019, 10, 8–15. [Google Scholar] [CrossRef]
- Maldonado, M.A.; Martín, P.R. Dealing with a hyper-successful neighbor: Effects of the invasive apple snail Pomacea canaliculata on exotic and native snails in South America. Curr. Zool. 2018, 65, 225–235. [Google Scholar] [CrossRef] [PubMed]
- Joo, S.; Jung, S.; Lee, S.; Cowie, R.H.; Takagi, D. Freshwater snail feeding: Lubrication-based particle collection on the water surface. J. R. Soc. Interface 2020, 17, 20200139. [Google Scholar] [CrossRef] [PubMed]





| Experimental Temperature (°C) | Consumed Area (cm2) | ||
|---|---|---|---|
| Total | Day 1 | Day 2 | |
| 15 | 18.2 c | 26.1 * | 10.4 * |
| 20 | 22.5 bc | 26.1 * | 18.9 * |
| 25 | 39.9 ab | 42.7 | 37.2 |
| 30 | 60.9 a | 61.7 | 60.0 |
| Behavior Category | Cluster | ||||||
|---|---|---|---|---|---|---|---|
| 1 | 2 | 3 | 4 | 5 | 6 | 7 | |
| FO | 7.8 a** | 0.9 b | 0.5 b | 0.3 b | 0.4 b | 0.2 b | 0.1 b |
| (0.3) | (0.2) | (0.2) | (0.1) | (0.2) | (0.1) | (0.1) | |
| CL | 41.0 b | 14.7 d | 27.9 c | 28 c | 27.6 c | 24.8 c | 52.4 a |
| (1.1) | (0.7) | (1.2) | (0.7) | (1.7) | (0.7) | (0.8) | |
| CB | 16.0 cd | 35.6 a | 19.0 b | 20.6 b | 18.6 bc | 15.9 c | 14.1 d |
| (0.8) | (0.8) | (1.0) | (0.6) | (1.2) | (0.6) | (0.6) | |
| CS | 12.0 c | 22.1 b | 20.6 b | 13.3 c | 22.5 b | 37.7 a | 14.1 c |
| (0.9) | (0.7) | (1.1) | (0.5) | (1.3) | (0.6) | (0.6) | |
| FE | 22.7 b | 25.4 b | 22.9 b | 37.2 a | 21.0 bc | 20.5 c | 18.3 c |
| (0.8) | (0.9) | (1.0) | (0.7) | (1.3) | (0.6) | (0.7) | |
| FF | 0.1 b | 0.0 b | 0.1 b | 0.0 b | 7.6 a | 0.0 b | 0.1 b |
| (0.1) | (0.0) | (0.1) | (0.0) | (0.2) | (0.0) | (0.1) | |
| SW | 0.1 | 0.0 | 0.2 | 0.3 | 0.6 | 0.2 | 0.6 |
| (0.1) | (0.0) | (0.1) | (0.1) | (0.2) | (0.1) | (0.2) | |
| VE | 0.1 b | 0.0 b | 8.3 a | 0.0 b | 0.8 b | 0.0 b | 0.1 b |
| (0.1) | (0.0) | (0.2) | (0.0) | (0.3) | (0.0) | (0.1) | |
| FA | 0.2 | 1.3 | 0.5 | 0.3 | 0.9 | 0.6 | 0.2 |
| (0.1) | (0.3) | (0.2) | (0.1) | (0.3) | (0.1) | (0.1) | |
Publisher’s Note: MDPI stays neutral with regard to jurisdictional claims in published maps and institutional affiliations. |
© 2021 by the authors. Licensee MDPI, Basel, Switzerland. This article is an open access article distributed under the terms and conditions of the Creative Commons Attribution (CC BY) license (https://creativecommons.org/licenses/by/4.0/).
Share and Cite
Bae, M.-J.; Kim, E.-J.; Park, Y.-S. Comparison of Invasive Apple Snail (Pomacea canaliculata) Behaviors in Different Water Temperature Gradients. Water 2021, 13, 1149. https://doi.org/10.3390/w13091149
Bae M-J, Kim E-J, Park Y-S. Comparison of Invasive Apple Snail (Pomacea canaliculata) Behaviors in Different Water Temperature Gradients. Water. 2021; 13(9):1149. https://doi.org/10.3390/w13091149
Chicago/Turabian StyleBae, Mi-Jung, Eui-Jin Kim, and Young-Seuk Park. 2021. "Comparison of Invasive Apple Snail (Pomacea canaliculata) Behaviors in Different Water Temperature Gradients" Water 13, no. 9: 1149. https://doi.org/10.3390/w13091149
APA StyleBae, M.-J., Kim, E.-J., & Park, Y.-S. (2021). Comparison of Invasive Apple Snail (Pomacea canaliculata) Behaviors in Different Water Temperature Gradients. Water, 13(9), 1149. https://doi.org/10.3390/w13091149

