Influence of Vegetation Coverage on Hydraulic Characteristics of Overland Flow
Abstract
1. Introduction
2. Materials and Methods
2.1. Experimental Design
2.2. Simulation Accuracy Evaluation Method
2.2.1. Nash–Sutcliffe Efficiency
2.2.2. Regression Analysis
2.2.3. Root Mean Square Error
2.2.4. Mean Absolute Error
3. Results
3.1. Hydraulic Parameters under Various Degrees of Vegetation Coverage
3.2. Influence of Vegetation Coverage on Water Path and Flow Velocity
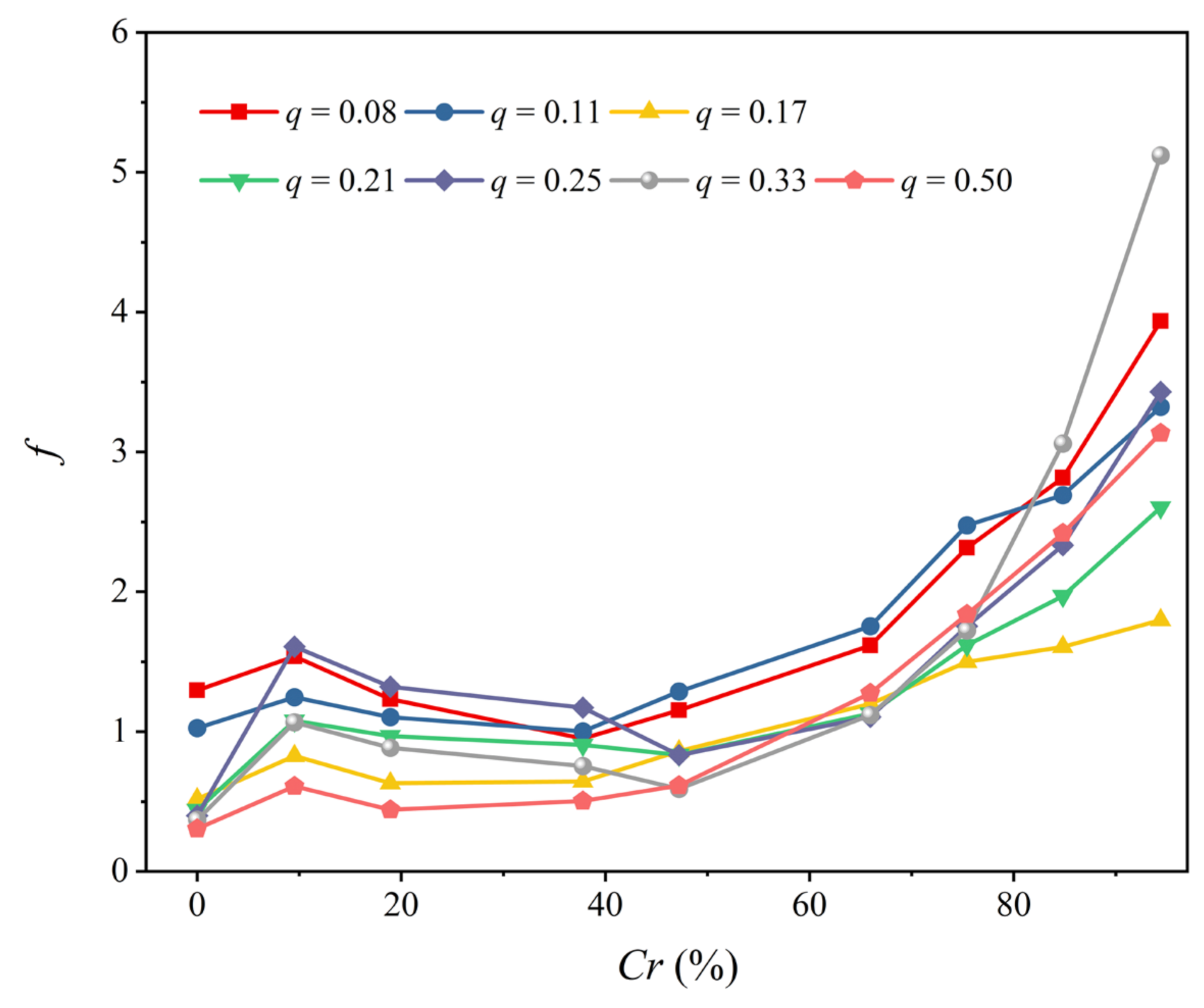
3.3. Relationship between Darcy Resistance Coefficient and Vegetation Coverage
3.4. Relationship between Manning Coefficient and Vegetation Coverage
3.5. Analysis of Darcy Resistance Coefficient
3.5.1. Relationship between Darcy Resistance Coefficient and Reynolds Number
3.5.2. Relationship between Darcy Resistance Coefficient and Submergence Degree
3.5.3. Influence of Flow Rate and Degree of Coverage on Ratio of Form Resistance
3.6. Empirical Formula for Resistance Coefficient
4. Discussion
4.1. Experimental Phenomena during Vegetation Submergence
4.2. Influence of Vegetation Coverage on Water Depth and Flow Velocity
4.3. Flow Regime of Overland Flow under Vegetation Cover
4.4. Resistance Generation Mechanism under Different Degrees of Vegetation Coverage
4.5. Effects of Vegetation Coverage Change on Surface Runoff
4.6. Evaluation and Analysis of Proposed Equation
5. Conclusions
Author Contributions
Funding
Institutional Review Board Statement
Informed Consent Statement
Data Availability Statement
Conflicts of Interest
Appendix A
Calculation of Hydraulic Parameters
References
- Fu, B.; Wang, S.; Liu, Y.; Liu, J.; Liang, W.; Miao, C. Hydrogeomorphic ecosystem responses to natural and anthropogenic changes in the Loess Plateau of China. Annu. Rev. Earth Planet. Sci. 2017, 45, 223–243. [Google Scholar] [CrossRef]
- Sun, W.; Shao, Q.; Liu, J. Soil erosion and its response to the changes of precipitation and vegetation coverage on the Loess Plateau. J. Geogr. Sci. 2013, 23, 1091–1106. [Google Scholar] [CrossRef]
- Chen, Y.; Wang, K.; Lin, Y.; Shi, W.; Song, Y.; He, X. Balancing green and grain trade. Nat. Geosci. 2015, 8, 739–741. [Google Scholar] [CrossRef]
- Zhang, K.D.; Wang, G.Q.; Sun, X.M.; Wang, J.J. Hydraulic characteristic of overland flow under different vegetation coverage. Adv. Water Sci. 2014, 25, 825–834. [Google Scholar]
- Zhao, C.H.; Gao, J.E.; Zhang, M.J.; Wang, F.; Zhang, T. Sediment deposition and overland flow hydraulics in simulated vegetative filter strips under varying vegetation covers. Hydrol. Process. 2016, 30, 163–175. [Google Scholar] [CrossRef]
- Srivastava, A.; Kumari, N.; Maza, M. Hydrological response to agricultural land use heterogeneity using variable infiltration capacity model. Water Resour. Manag. 2020, 34, 3779–3794. [Google Scholar] [CrossRef]
- Li, M.; Yao, W.Y.; Li, Z.B. Progress of the effect of grassland vegetation for conserving soil and water on loess plateau. Adv. Earth Sci. 2005, 20, 74–80. [Google Scholar]
- Foster, G.R.; Huggins, L.F.; Meyer, L.D. A laboratory study of rill hydraulics: I. Velocity relationships. Trans. ASAE 1984, 27, 790–796. [Google Scholar] [CrossRef]
- Foster, G.R.; Huggins, L.F.; Meyer, L.D. A Laboratory Study of Rill Hydraulics: II. Shear Stress Relationships. Trans. ASAE 1984, 27, 797–804. [Google Scholar] [CrossRef]
- Abrahams, A.D.; Li, G.; Parsons, A.J. Rill hydraulics on a semiarid hillslope, southern Arizona. Earth Surf. Process. Landf. 1996, 21, 35–47. [Google Scholar] [CrossRef]
- Selby, M.J. Hillslope Materials and Processes; Oxford University Press: Oxford, UK, 1993. [Google Scholar]
- Pute, W.; Peihua, Z. Research on the laminar flow type and erosion transportation manners on the slope surface. J. Soil Water. Conserv. 1992, 6, 16–24. [Google Scholar]
- Horton, R.E. Erosional development of streams and their drainage basins; Hydrophysical approach to quantitative morphology. Geol. Soc. Am. Bull. 1945, 56, 275–370. [Google Scholar] [CrossRef]
- Zhang, G. Study on hydraulic properties of shallow flow. Adv. Water Sci. 2002, 13, 159–165. [Google Scholar]
- Wu, Q.; Wu, F.; Wang, L. Hydrodynamic characteristics of overland flow under soil crusts condition. Trans. Chin. Soc. Agric. Eng. 2014, 30, 73–80. [Google Scholar]
- Pan, C.Z.; Shangguan, Z.P. Runoff hydraulic characteristics and sediment generation in sloped grassplots under simulated rainfall conditions. J. Hydrol. 2006, 331, 178–185. [Google Scholar] [CrossRef]
- Cao, Y.; Zhang, G.H.; Tang, K.M.; Luo, R. Experiment on the effect of simulated surface cover on the overland flow velocity. J. Mt. Sci. 2011, 29, 654–659. [Google Scholar]
- Järvelä, J. Flow resistance of flexible and stiff vegetation: A flume study with natural plants. J. Hydrol. 2002, 269, 44–54. [Google Scholar] [CrossRef]
- Ling, H.; Guo, B.; Xu, H.; Fu, J. Configuration of water resources for a typical river basin in an arid region of China based on the ecological water requirements (EWRs) of desert riparian vegetation. Glob. Planet. Change 2014, 122, 292–304. [Google Scholar] [CrossRef]
- Jiang, C.B.; Long, Y.N.; Hu, S.X.; Peng, Y.P. Recent progress in studies of overland flow resistance. J. Hydraul. Eng. 2012, 43, 189–197. [Google Scholar]
- Zhang, K.; Wang, Z.; Wang, G.; Sun, X.; Cui, N. Overland-flow resistance characteristics of nonsubmerged vegetation. J. Irrig. Drain. Eng. 2017, 143, 04017021. [Google Scholar] [CrossRef]
- Smith, M.W. Applying flow resistance equations to overland flows. Prog. Phys. Geogr. 2007, 31, 363–387. [Google Scholar] [CrossRef]
- Ogunlela, A.O.; Makanjuola, M.B. Hydraulic roughness of some African grasses. J. Agric. Eng. Res. 2000, 75, 221–224. [Google Scholar] [CrossRef]
- Wang, P.-F.; Wang, C.; Zhu, D.Z. Hydraulic resistance of submerged vegetation related to effective height. J. Hydrodyn. Ser. B 2010, 22, 265–273. [Google Scholar] [CrossRef]
- Chen, G.X.; Yao, W.Y. Effect of rainfall on hydraulic resistance of shallow flow. Adv. Water Sci. 1996, 7, 42–46. [Google Scholar]
- Noarayanan, L.; Murali, K.; Sundar, V. Performance of flexible emergent vegetation in staggered configuration as a mitigation for extreme coastal disasters. Nat. Hazards 2012, 62, 531–550. [Google Scholar] [CrossRef]
- Li, G. Preliminary study of the interference of surface objects and rainfall in overland flow resistance. Catena 2009, 78, 154–158. [Google Scholar] [CrossRef]
- Blöschl, G.; Bierkens, M.F.P.; Chambel, A.; Cudennec, C.; Destouni, G.; Fiori, A.; Kirchner, J.W.; McDonnell, J.J.; Savenije, H.H.G.; Sivapalan, M.; et al. Twenty-three unsolved problems in hydrology(UPH)-A community perspective. Hydrol Sci. J. 2019, 64, 1141–1158. [Google Scholar] [CrossRef]
- Paniconi, C.; Putti, M. Physically based modeling in catchment hydrology at 50: Survey and outlook. Water Resour. Res. 2015, 51, 7090–7129. [Google Scholar] [CrossRef]
- Paul, P.K.; Kumari, N.; Panigrahi, N.; Mishra, A.; Singh, R. Implementation of cell-to-cell routing scheme in a large scale conceptual hydrological model. Environ. Modell. Softw. 2018, 101, 23–33. [Google Scholar] [CrossRef]
- Che, T.; Li, X.; Liu, S.; Li, H.; Xu, J.; Tan, J.; Zhang, Y.; Ren, Z.; Xiao, L.; Jin, R.; et al. Integrated hydrometeorological, snow and frozen-ground observations in the alpine region of the Heihe River Basin, China. Earth Syst. Sci. Data 2019, 11, 1483–1499. [Google Scholar] [CrossRef]
- Cheng, G.; Li, X.; Zhao, W.; Xu, Z.; Feng, Q.; Xiao, S.; Xiao, H. Integrated study of the water-ecosystem-economy in the Heihe River Basin. Natl. Sci. Rev. 2014, 1, 413–428. [Google Scholar] [CrossRef]
- Pan, C.Z.; Shangguan, Z.P. Experimental study on influence of rainfall and slope gradient on overland shallow flow hydraulics. J. Basic Sci. Eng. 2009, 17, 843–851. [Google Scholar]
- Jiao, J.Y.; Wang, W.Z. Non-uniformity of spatial distribution of rainfall on the Loess Plateau. Hydrology 2001, 2, 20–24. [Google Scholar]
- Zhang, K.D.; Wang, G.Q.; Lv, H.X.; Wang, Z.L. Discussion on flow pattern determination method of shallow flow on the slope surface. J. Exp. Fluid Mech. 2011, 25, 67–73. [Google Scholar]
- Rauws, G. Laboratory experiments on resistance to overland flow due to composite roughness. J. Hydrol. 1988, 103, 37–52. [Google Scholar] [CrossRef]
- Zhao, C.H.; Gao, J.E.; Huang, Y.; Wang, G.; Zhang, M. Effects of vegetation stems on hydraulics of overland flow under varying water discharges. Land Degrad. Dev. 2016, 27, 748–757. [Google Scholar] [CrossRef]
- Yan, X.F.; Zhou, S.F.; Huang, E.; Liu, X.N.; Wang, X.K. Experimental study on the effects of vegetation on hydraulic characteristics of overland flow. J. Sichuan Univ. Eng. Sci. Edit. 2012, 44, 26–30. [Google Scholar]
- Lawrence, D.S.L. Macroscale surface roughness and frictional resistance in overland flow. Earth Surf. Process. Landf. 1997, 22, 365–382. [Google Scholar] [CrossRef]
- Zhang, G.; Liu, G.; Yi, L.; Zhang, P. Effects of patterned Artemisia capillaries on overland flow resistance under varied rainfall intensities in the Loess Plateau of China. J. Hydrol. Hydromech. 2014, 62, 334–342. [Google Scholar] [CrossRef]
- Wu, F.-C.; Shen, H.W.; Chou, Y.-J. Variation of Roughness Coefficients for Unsubmerged and Submerged Vegetation. J. Hydraul. Eng. 1999, 125, 934–942. [Google Scholar] [CrossRef]
- Ishikawa, Y.; Mizuhara, K.; Ashida, S. Effect of density of trees on drag exerted on trees in river channels. J. For. Res. 2000, 5, 271–279. [Google Scholar] [CrossRef]
- Tanino, Y.; Nepf, H.M. Laboratory investigation of mean drag in a random array of rigid, emergent cylinders. J. Hydraul. Eng. 2008, 134, 34–41. [Google Scholar] [CrossRef]
- Dunkerley, D.; Domelow, P.; Tooth, D. Frictional retardation of laminar flow by plant litter and surface stones on dryland surfaces: A laboratory study. Water Resour. Res. 2001, 37, 1417–1423. [Google Scholar] [CrossRef]
- Yi, L.; Ming’an, S. Hydro-dynamic parameters of overland flow during laboratory rainfall experiments under grass coverage. Trans. Chin. Soc. Agric. Eng. 2008, 10, 1–5. [Google Scholar]
- Wu, S.F.; Wu, P.T.; Feng, H.; Li, M. Effects of forage grass on the reduction of runoff and sediment and the hydrodynamic characteristic mechanism of slope runoff in the standard slope plot. J. Beijing For. Univ. 2007, 29, 99–104. [Google Scholar]
- Rujner, H.; Leonhardt, G.; Marsalek, J. High-resolution modelling of the grass swale response to runoff inflows with Mike SHE. J. Hydrol. 2018, 562, 411–422. [Google Scholar] [CrossRef]
- Guo, J.K.; Yu, B.Q.; Zhang, Y.; Che, S. Predicted models for potential canopy rainfall interception capacity of landscape trees in Shanghai, China. Eur. J. Forest. Res. 2017, 136, 387–400. [Google Scholar] [CrossRef]
- Espeland, E.K.; Emery, N.C.; Mercer, K.L.; Woolbright, S.A.; Kettenring, K.M.; Gepts, P.; Etterson, J.R. Evolution of plant materials for ecological restoration: Insights from the applied and basic literature. J. Appl. Ecol. 2017, 54, 102–115. [Google Scholar] [CrossRef]
- Sun, X.P.; Zhang, Y.L.; Shen, Y.; Randhir, T.O. Exploring ecosystem services and scenario simulation in the headwaters of Qiantang River watershed of China. Environ. Sci. Pollut. Res. 2019, 26, 1–19. [Google Scholar] [CrossRef]













| Coverage Treatment (%) | Unit Discharge (m2/s) | Water Depth (mm) | Flow Velocity (m/s) | Reynolds Number | Froude Number | Resistance Coefficient |
|---|---|---|---|---|---|---|
| 0 | 0.000278–0.00167 | 1.65–3.73 | 0.168–0.447 | 243.38–1460.31 | 1.32–2.34 | 0.30–0.95 |
| 9.76 | 0.000278–0.00167 | 1.76–4.22 | 0.158–0.395 | 243.38–1460.31 | 1.20–1.94 | 0.44–1.15 |
| 19.97 | 0.000278–0.00167 | 1.80–4.41 | 0.154–0.378 | 243.38–1460.31 | 1.16–1.80 | 0.50–1.23 |
| 38.78 | 0.000278–0.00167 | 1.83–4.70 | 0.152–0.355 | 243.38–1460.31 | 1.13–1.65 | 0.61–1.30 |
| 47.66 | 0.000278–0.00167 | 1.94–4.71 | 0.143–0.354 | 243.38–1460.31 | 1.03–1.64 | 0.61–1.54 |
| 66.42 | 0.000278–0.00167 | 1.97–6.01 | 0.141–0.277 | 243.38–1460.31 | 1.01–1.14 | 1.23–1.62 |
| 76.73 | 0.000278–0.00167 | 2.22–6.79 | 0.125–0.245 | 243.38–1460.31 | 0.84–0.95 | 1.84–2.31 |
| 85.72 | 0.000278–0.00167 | 2.37–7.44 | 0.117–0.224 | 243.38–1460.31 | 0.77–0.83 | 2.42–2.82 |
| 95.01 | 0.000278–0.00167 | 2.65–8.11 | 0.105–0.206 | 243.38–1460.31 | 0.65–0.73 | 3.13–3.94 |
| Study | Characteristic Lengths | Reynolds Number |
|---|---|---|
| Wu et al. 1999 | Normalized flow depth (D/T) a) Unsubmerged vegetation D/T = 0.6–1.0; b) submerged vegetation D/T = 1.0–7.4 | 20–3000 |
| Ishikawa et al. 2000 | Solid volume fraction () Laboratory measurements are presented for = 0.091 (Square);= 0.15 (Left triangle); = 0.20 (Cross);= 0.27 (Hexagram);= 0.35 (Circle) | 25–685 |
| Tanino and Nepf 2008 | Diameter of model tree (d) Model trees with different diameters (0.40 and 0.64) were used to set two different spacing (6.32 and 3.16) for comparison | <5000 |
| Coverage Degree (%) | Q/(L/min) | ||||||
|---|---|---|---|---|---|---|---|
| 5 | 6.4 | 10 | 12.5 | 15 | 20 | 30 | |
| 0 | 29.65 | 25.28 | 17.33 | 15.23 | 13.88 | 12.27 | 10.07 |
| 9.76 | 31.39 | 26.98 | 20.25 | 20.54 | 22.09 | 17.50 | 12.69 |
| 19.97 | 29.16 | 25.92 | 18.52 | 19.83 | 20.68 | 16.44 | 11.39 |
| 38.78 | 26.73 | 25.09 | 18.63 | 19.38 | 19.87 | 15.59 | 11.91 |
| 47.66 | 28.51 | 27.28 | 20.53 | 18.85 | 17.73 | 14.38 | 12.72 |
| 66.42 | 31.91 | 30.24 | 22.92 | 20.87 | 19.49 | 17.78 | 16.23 |
| 76.73 | 35.96 | 33.92 | 24.71 | 23.52 | 22.73 | 20.53 | 18.33 |
| 85.72 | 38.39 | 34.88 | 25.27 | 25.11 | 25.00 | 24.87 | 20.09 |
| 95.01 | 42.93 | 37.42 | 26.24 | 27.56 | 28.43 | 29.52 | 21.90 |
| Statistical Indicators | NSE | RMSE | MAE | |
|---|---|---|---|---|
| Calculation results | 0.734 | 0.731 | 0.344 | 0.290 |
Publisher’s Note: MDPI stays neutral with regard to jurisdictional claims in published maps and institutional affiliations. |
© 2021 by the authors. Licensee MDPI, Basel, Switzerland. This article is an open access article distributed under the terms and conditions of the Creative Commons Attribution (CC BY) license (https://creativecommons.org/licenses/by/4.0/).
Share and Cite
Cai, Z.; Wang, J.; Yang, Y.; Zhang, R. Influence of Vegetation Coverage on Hydraulic Characteristics of Overland Flow. Water 2021, 13, 1055. https://doi.org/10.3390/w13081055
Cai Z, Wang J, Yang Y, Zhang R. Influence of Vegetation Coverage on Hydraulic Characteristics of Overland Flow. Water. 2021; 13(8):1055. https://doi.org/10.3390/w13081055
Chicago/Turabian StyleCai, Zekang, Jian Wang, Yushuo Yang, and Ran Zhang. 2021. "Influence of Vegetation Coverage on Hydraulic Characteristics of Overland Flow" Water 13, no. 8: 1055. https://doi.org/10.3390/w13081055
APA StyleCai, Z., Wang, J., Yang, Y., & Zhang, R. (2021). Influence of Vegetation Coverage on Hydraulic Characteristics of Overland Flow. Water, 13(8), 1055. https://doi.org/10.3390/w13081055

