Next Article in Journal
The Use of Constructed Wetland for Mitigating Nitrogen and Phosphorus from Agricultural Runoff: A Review
Next Article in Special Issue
Assessing Progress towards Sustainable Development Goals through Nexus Planning
Previous Article in Journal
An Overview of Flood Risk Analysis Methods
Previous Article in Special Issue
Infrastructure Shaming and Consequences for Management of Urban WEF Security Nexus in China and India
 
 
Font Type:
Arial Georgia Verdana
Font Size:
Aa Aa Aa
Line Spacing:
Column Width:
Background:
Article

Pre-Warning Measurement of Water Resources Security in the Yangtze River Basin from the Perspective of Water-Energy-Food Symbiosis

1
College of Economics and Management, Nanjing Forestry University, Nanjing 210037, China
2
Academy of Chinese Ecological Progress and Forestry Development Studies, Nanjing Forestry University, Nanjing 210037, China
*
Author to whom correspondence should be addressed.
Water 2021, 13(4), 475; https://doi.org/10.3390/w13040475
Submission received: 7 December 2020 / Revised: 25 January 2021 / Accepted: 9 February 2021 / Published: 12 February 2021
(This article belongs to the Special Issue Management of Water-Energy-Food Security Nexus)

Abstract

The Yangtze River Basin is a resource axis represented by hydropower resources, bulk agricultural products, and mining resources. However, with rapid socio-economy development, the balance between water, energy, and food elements in the region has become more fragile. As the core element of the water-energy-food nexus, it is necessary to study water resources security and give effective pre-warning of possible water safety problems from the perspective of water-energy-food symbiosis. In this paper, we introduce the “symbiosis theory” to build a regional water-energy-food nexus symbiosis framework. Then, we establish a Lotka–Volterra symbiotic evolution model to calculate the symbiotic security index. Finally, we judge the water security state and pre-warning level and analyze the causes of water security problems by the inverse decoupling of the indicator-index. The results show that the spatial differentiation of water security in the Yangtze River Basin is obvious from the perspective of water-energy-food symbiosis. The state of water security in the middle and upper reaches of the Yangtze River Basin is better than that in the lower reaches. Specifically, the water resources security levels in the upstream hydropower energy enrichment regions are generally low. By contrast, the water systems of some downstream socio-economically developed provinces have certain risks. Therefore, each province needs to find out the key factors that hinder the healthy development of the water resources system based on combining the evolution mechanism and symbiotic state of water-energy-food so that water security can be managed in a targeted manner.

1. Introduction

In the context of rapid global socio-economic development and population growth, as important basic resources for human development and the key to socio-economic development, there is an inexhaustible connection between water, energy, and food. Furthermore, these three elements coordinate and restrict each other and have a fragile relationship, and together they constitute a multivariable coupled mutual-fed dynamic system. However, excessive intervention in any field will affect or even destroy this fragile balance between water, energy, and food, which will lead to serious consequences. As the core element of the water-energy-food nexus, water is inseparable from energy and food production. Specifically, water can provide support for the development of energy and food industries, while the development and utilization of water resources needs support from energy. Therefore, it is necessary to deeply study the important relationship and symbiotic evolution mechanism between water resources development and utilization, energy production, and food planting to study water resources security from the perspective of water-energy-food symbiosis and give effective pre-warning of possible safety problems of water resources so as to realize the sustainable development of water resources under the background of water-energy-food symbiosis.
Regarding the research on water resources security, academic circles have launched multi-angle research in recent years, mainly from the perspective of the quantity and quality of water resources. In terms of water scarcity research, a global water scarcity assessment has been proposed, which has studied the impact of socio-economic development on water scarcity [1]. In terms of water quality research, the precautionary method and the comprehensive evaluation method of river basins are used in the research of water resources quality and its influencing factors [2,3]. In addition, the research methods of water resources security evaluation are mainly embodied in the construction of an evaluation indicator system, the determination of indicator weights, and the design of evaluation models. Moreover, the research methods have a great influence on the results of water resources security evaluation. Because water resources security is a comprehensive concept, it is restricted by itself and by multiple factors related to the external environment such as society, economy, and ecology. Using the “indicator system method” to establish a multi-level indicator system to evaluate water resources security can overcome the one-sidedness of selecting a few indicators to evaluate water resources security. At present, the water resources security evaluation indicator system is mainly constructed from the perspectives of quantity-quality-region-flow and driving force-pressure-state-influence-response (DPSIR) [4,5]. Evaluation models mainly include the water footprint method, the new comprehensive evaluation model, and the dynamic coupling coordination model [6,7,8]. In terms of water resources pre-warning methods and models, methods based on logical curves and total pre-warning indexes are applied [9]. Moreover, operational uncertainty has also been applied to the design and optimization of water resources security pre-warning systems [10].
Since the concept of water-energy-food nexus was proposed and the importance of the relationship between the three was clarified at the Bonn 2011 conference: The water, energy, and food security nexus: green economic path [11], many scholars have combined the research of water resources with energy and food, and the water-energy-food nexus has been deeply studied in relation to different aspects, such as qualitative and quantitative ones. These not only studied the internal relationship of the water-energy-food nexus, but also extended to the external relationship between society, economy, and ecology. In terms of qualitative research, many well-known nexus frameworks have also been proposed in the analysis of the connotation and operating mechanism of the water-energy-food nexus [12,13,14]. In terms of quantitative research, pressure-state-response (PSR) technology, the matter-element model, step-by-step methodology, and the non-linear optimization model are applied in the sustainability research of the water-energy-food nexus [15,16,17,18]: The structure path analysis method and the data envelopment analysis method have been carried out to study the input-output efficiency of water, energy, and food [19,20,21]; Technologies such as remote sensing and integrated resource management are used in the research of safety and risk control of the water-energy-food nexus system [22]; The system dynamics model has been proposed for simulating the interaction between water, energy, and food [23,24]; The principle of synergy has also been widely used in the study of the water-energy-food nexus [25,26,27]; In order to deal with the uncertainties in water-energy-food management, some studies have proposed multi-stage fuzzy stochastic models [28,29,30].
Current academic research on water resources security only focuses on evaluating the security of a single resource: water resources. However, they rarely consider the symbiosis and synergy between other resources and water resources. Additionally, the impact of this symbiosis on water resources security is often overlooked. As a result, this static way of thinking has a large lag, which is not conducive to timely and effective pre-warning of water resources security. Therefore, energy and food, which are closely related to water resources and have a certain impact on water resources security, need to be included in the water resources security measurement and pre-warning system, and water resources security should be considered from the perspective of water-energy-food symbiosis. In other words, we should first use symbiosis theory and the system analysis method to analyze the interaction mechanism of water, energy, and food in the social, economic, and ecological external environment. At present, the academic circle has not applied the symbiosis theory to the research of the water-energy-food nexus. Symbiosis theory [31], the basic ecological principle that describes the nutritional connection of living organisms, has been introduced by researchers into the field of socio-economic research to describe social, economic, and ecological relationships [32,33]. In addition, the water resources security measurement method needs to be further improved. Additionally, the indicator system method and the characteristic index method need to be further connected. It is not only necessary to establish a scientific indicator system for water resources security measurement, but also to study the comprehensive characteristic index that can reflect the connotation of water resources and the symbiotic relationship between water, energy, and food. What is more, the linkage relationship between the indicator system and the characteristic index should be established to overcome their respective drawbacks and achieve complementary advantages by the synthesis and integration of the two types of method.
According to the above analysis, we introduce the symbiosis theory into the water-energy-food nexus and build a regional water-energy-food nexus symbiosis framework. Based on this framework, a Lotka–Volterra symbiotic evolution model of the water-energy-food symbiosis system is built, which is used to measure the water, energy, and food security of the Yangtze River Basin to judge the water security state and pre-warning level from the perspective of water-energy-food symbiosis. Finally, by indicator-index reverse decoupling, water resources security issues are analyzed to provide support for the management and regulation of water resources security in each region of the Yangtze River Basin.

2. Methods

According to the technical conception of this article, the research method of this article includes four main steps. First of all, we introduce the “symbiosis theory” to build a regional water-energy-food nexus symbiosis framework, and we then measure and evaluate the water resources security state comprehensively on the basis of considering the symbiosis of water, energy, and food. Secondly, we construct a driving force-pressure-state-influence-response (DPSIR) theoretical structure model to establish an indicator system based on the qualitative analysis of the influence of social progress, economic development, and the ecological environment on the water-energy-food symbiosis system’s structure and interaction mechanism, and then use the criteria importance though intercriteria correlation (CRITIC) method to determine the indicators’ weight and calculate the basic characteristic index in the water-energy-food symbiosis system. Thirdly, we use the Lotka–Volterra symbiotic evolution model to calculate the symbiotic security index including the symbiotic stress index and the symbiotic index. Finally, we judge the water security state and pre-warning level from the perspective of water-energy-food symbiosis based on the calculation results of the symbiotic security index. The research method and technical route of this study are shown in Figure 1.

2.1. Framework Construction and Theoretical Analysis

In this paper, the ecological symbiosis theory proposed by Lynn Margulis is applied to the construction of the water-energy-food symbiosis system framework. By this method, it can be clearly reflected that development of each symbiosis unit of the water-energy-food nexus is nested in the symbiotic environment. The specific structure is shown in Figure 2. The water-energy-food symbiosis system is composed of three levels: microsystem, mesosystem, and macrosystem. Firstly, microsystem refers to the most direct environment in which the symbiotic unit is located. The microsystems in this research include water, energy, and food microsystem. The quantity, quality, structure, fragility, and carrying capacity of the resources in these microsystems are all important conditions for the stability and balance of the entire nexus symbiosis system. Secondly, the mesosystem refers to the synthesis of the symbiotic relationship formed by the symbiotic units that exist in the macroscopic symbiotic environment in a certain way. In this study, there is a close relationship between water, energy, and food. Specifically, energy production requires water for cooling, and food production also needs water for irrigation; the production and transportation of water and food need to be supported by energy; and food production requires the input of water and energy, and part of the food can also be converted into bioenergy. These close connections together form a stable water-energy-food mesosystem. Strong and positive connections between microsystems are important foundations for the optimization of the entire nexus symbiosis system’s development. Thirdly, macrosystem refers to the total external symbiotic environment such as the social, economic, and natural environment where all microsystems coexist. The adaptability of the microsystems to the macrosystems and the sustainable security of the macrosystems themselves are important guarantees for the stability and balance of the entire symbiosis system. The macrosystem is the link and bridge for coordinating the water, energy, and food microsystem. Furthermore, the macrosystem is the bridge for coordinating the water microsystem, energy microsystem, and food microsystem. The more stable the outer systems are, the higher the level of macrosystem security will be, and then the mesosystem formed by the symbiosis of water, energy, and food will develop in the direction of healthy, stable, and safe interaction.
Based on the close connection between water, energy, and food, the relationship between them is similar to the symbiosis and competition between populations. Specifically, the symbiosis between water, energy, and food microsystem originates from the distribution of water, energy, and food. Additionally, the symbiosis is manifested in the tradeoffs and potential conflicts in the process of using and managing resources. Firstly, in terms of a single resource, its allocation affects the relationship between the other two resources. For example, water weights between energy and food in the following way: The construction of a dam realizes the distribution of water in rivers between energy and food production, which effectively increases energy supply. However, it poses a threat to the river’s ecological environment and food production in the downstream area of the dam [34,35,36,37]. Secondly, in terms of the two resources, there are tradeoffs between the conversion, consumption, and transportation of the two resources, which conflicts with future sustainable development. For instance, although the conversion between food and bioenergy is conducive to environmental protection and increased energy supply, it poses a threat to food security. Thirdly, in terms of the relationship between the mesosystem and the macrosystem, the external symbiotic environment will directly worsen the symbiotic relationship between water, energy, and food. For example, climate change will affect food production, and urbanization will increase energy demand [38].

2.2. Assessment Indicator System

In this paper, we analyze the internal structure and operating mechanism of the water-energy-food symbiosis system by constructing a water-energy-food symbiosis system framework based on symbiosis theory. On this basis, we rationally integrate and improve the existing pressure-state-response (PSR), drivers-pressure-engineering water shortage-state-ecological basis-response (DPESBR), and other models according to the specific characteristics and requirements of water, energy, and food security measurement [39,40]. Then, this research establishes a water-energy-food symbiosis system DPSIR structure model (hereinafter referred to as the WEF-DPSIR structure model), which includes five subsystem structures: socioeconomic driving force subsystem (WEF-D), socioeconomic pressure subsystem (WEF-P), microsystem situation subsystem (WEF-S), environmental impact subsystem (WEF-I), and human social response subsystem (WEF-R). Afterward, considering the principles of quantification, simplification, data availability, and consistency of each indicator, we analyze assessment indicators in each subsystem to adjust and optimize the indicators and form an overall DPSIR structure model. The specific WEF-DPSIR structure and its substructures are shown in Figure 3.
In the WEF-DPSIR structural model, factors such as social progress, economic development, technological innovation, and industrial structure optimization in the macrosystem composed of society, economy, and ecology will generate driving forces. Under the action of these driving forces, the macrosystem will produce certain pressures, such as social pressure, economic pressure, and environmental pressure. Then, these pressures force the basic state and symbiotic relationship state of the water-energy-food nexus to change. The basic state includes water microsystem state, energy microsystem state, and food microsystem state, reflecting the quantity, quality, structure, function, and carrying capacity of the internal resources of the microsystem. What is more, the symbiotic relationship state includes water-energy, water-food, and energy-food symbiotic relationships, reflecting the degree of dependence of one microsystem on another. Then, changes in the state of each microsystem have an impact on the natural environment in the macrosystem, such as climate change, air pollution, and soil erosion. These impacts prompt humans to make direct or indirect responses to alleviate the pressure on the macrosystem by improving the state of the water-energy-food mesosystem.
According to the water-energy-food symbiosis relationship and the WEF-DPSIR structure model, we extract elements from the socioeconomic driving force subsystem and the socioeconomic pressure subsystem to construct an assessment indicator system for measuring the social development level index, H, and the economic development level index, I. Afterward, we extract elements from the microsystem state subsystem to construct an assessment indicator system for measuring the water microsystem security index, W, energy microsystem security index, E, and food microsystem security index, F. Then, we extract elements from the environmental impact subsystem and the human social response subsystem to construct an assessment indicator system for measuring the ecological level index, J. Finally, the water-energy-food symbiosis system assessment indicator system is constructed by integrating six assessment indicator systems for measuring the above six basic indexes, which is shown in Table 1.

2.3. Symbiotic Security Index Calculation

2.3.1. Basic Characteristic Index Calculation

Based on the standardization of relevant data, we adopt a CRITIC weighting method that comprehensively determines the objective weight of indicators based on the conflict between contrast intensity and assessment indicators to determine indicator weights [41]. The main steps are listed as follows.
Step 1: Perform dimensionless standardization on the original matrix, Y = ( y i j ) m × n , to eliminate the influence of the dimension and its unit.
Step 2: Calculate the contrast intensity of the evaluation indicators. The calculation formula of the standard deviation of the j-th index is as follows: S j = i = 1 n ( x i j ¯ x j ) / ( n 1 ) . In the formula, ¯ x j = 1 / n i = 1 n x i j .
Step 3: Calculate the conflict between the evaluation indicators. The calculation formula of the correlation coefficient is as follows: R j = i = 1 n ( 1 r i j ) . In the formula, r i j represents the correlation coefficient between evaluation indicators i and j.
Step 4: Calculate the information amount of the evaluation indicator. The calculation formula is as follows: C i = S j t = 1 n ( 1 r r j ) = S j * R j . In the formula, t = 1 n ( 1 r r j ) is the conflicting quantitative index between the j-th indicator and the other indicators.
Step 5: Calculate the objective weight, ω j . The calculation formula is as follows: ω j = C j / j = 1 m C i .
Then, six basic characteristic indexes of the water-energy-food symbiosis system are calculated: water microsystem security level index, W ( t ) , energy microsystem security level index, E ( t ) , food microsystem security level index, F ( t ) , social development level index, H ( t ) , economic development level index, I ( t ) , and ecological level index, J ( t ) . Among them, W ( t ) , E ( t ) and F ( t ) reflect the internal security and stability of each microsystem. In addition, the symbiotic environment index, S E I ( t ) , for the macrosystem reflects the security of the macrosystem on which water microsystem, energy microsystem, and food microsystem co-exist and depend. Additionally, S E I ( t ) is an index to measure the degree of adaptation and interactive effect between the mesosystem and the macrosystem, which is calculated by the social development level index, H ( t ) , the economic development level index, I ( t ) , and the ecological level index, J ( t ) .
The final comprehensive assessment value of the six basic indexes is calculated by using the standardized values of related indexes and the weight of each index in the assessment indicator system of water-energy-food symbiosis system. The calculation formula, which is a general formula that can be used to calculate the six basic indexes, is as follows:
Z i = j = 1 n ( w k X i j )
where Z represents the social development level index, H, economic development level index, I, water microsystem security index, W, energy microsystem security index, E, food microsystem security index, F, and ecological level index J; w k is the weight of each index and X i j is the value of the j-th index of the i-th region after non-dimensional standardization.

2.3.2. Lotka–Volterra Symbiotic Evolution Model

Similar to the general symbiosis system, the water-energy-food symbiosis system has the characteristics of multi-agent, interrelation, and resource restriction. First, the water-energy-food symbiosis system has multiple subjects, that is, water, energy, and food form different “populations”. Second, there are interrelationships and interactions between the various subjects in the water-energy-food symbiosis system, that is, there is competition, predation, cooperation, and other interrelationships between water, energy, and food. Moreover, the external social-economic-ecology becomes the carrier of competition. Third, the number and influence of different subjects in the water-energy-food symbiosis system are inconsistent, which will also make them tradeoffs and potential conflicts in the process of resource use and management, thereby forming a “quasi-ecological” process in the social-economic-ecological external environment. In principle, the “quasi-ecological” process conforms to the Lotka–Volterra symbiotic evolution model, which is a differential equation dynamic system model of the interspecific symbiotic relationship between two species populations constructed by the American ecologist A.J. Lotka and the Italian mathematician V. Volterra [42].
Based on the above analysis, we establish the Lotka–Volterra symbiotic evolution model of the water-energy-food symbiosis system (hereinafter referred to as the “WEF L-V symbiotic evolution model”). Specifically, focusing on the pre-warning target water microsystem, water security is measured from two different perspectives, namely, water-energy symbiosis and water-food symbiosis. Then, we establish a water-energy symbiotic evolution model (see Equation (2)) and a water-food symbiotic evolution model (see Equation (3)):
d W t d t = f 1 W , E = r W t W t S E I t W t + S W E t E t S E I t d E t d t = f 2 W , E = r E t E t S E I t E t + S E W t W t S E I t
d W t d t = f 1 W , F = r W t W t S E I t W t + S W F t F t S E I t d F t d t = f 2 W , F = r F t F t S E I t F t + S F W t W t S E I t
where r W t , r E t , and r F t are the security and stability growth rates of the water microsystem, energy microsystem, and food microsystem in the t-th year, respectively; S W E t is the stress index of the water microsystem under the symbiotic effect of the energy microsystem; S W F t is the stress index of the water microsystem under the symbiotic effect of the food microsystem; S E W t is the stress index of the energy microsystem under the symbiotic effect of the water microsystem; and S F W t is the stress index of the food microsystem under the symbiotic effect of the water microsystem. A positive symbiotic stress index indicates promotion, whereas a negative symbiotic stress index indicates inhibition.

2.3.3. Symbiotic Stress Index Calculation

In the water-energy-food symbiosis system, the living conditions of the water microsystem, the energy microsystem, and the food microsystem are the macrosystem that includes the social, economic, and ecological environment. The three microsystems have the characteristics of resource competition and, at the same time, there are mutual forces among the three microsystems. The symbiotic stress index is used to reflect the coordination of the interaction between the water, energy, and food microsystems, which is an indicator to measure the resource allocation and utilization efficiency in the conversion process of water-energy, water-food, and energy-food. In order to solve the symbiotic stress indexes, S W E t , S W F t , S E W t , and S F W t , between any pair in the water-energy-food nexus, the continuous variables W ( t ) , E ( t ) , and F ( t ) in Equations (2) and (3) need to be discretized at t=k into Equations (4) and (5):
W k + 1 W k = W k W k 1 W k 1 W k S E I k W k + S W E k E k S E I k E k + 1 E k = E k E k 1 E k 1 E k S E I k E k + S E W k W k S E I k
W k + 1 W k = W k W k 1 W k 1 W k S E I k W k + S W F k F k S E I k F k + 1 F k = F k F k 1 F k 1 F k S E I k F k + S F W k W k S E I k
Then, symbiotic stress indexes are calculated accord to Equations (6)–(9) transformed from Equations (4) and (5).
S W E k = W k + 1 W k W k W k 1 W k W k 1 1 S E I k + W k E k
S W F k = W k + 1 W k W k W k 1 W k W k 1 1 S E I k + W k F k
S E W k = E k + 1 E k E k E k 1 E k E k 1 1 S E I k + E k W k
S F W k = F k + 1 F k F k F k 1 F k F k 1 1 S E I k + F k W k

2.3.4. Symbiotic Index Calculation

In order to quantitatively measure the security of the water-energy-food symbiosis system, we use the symbiotic stress index to study and construct the symbiotic index between the water microsystem and the energy (or food) microsystem. Among them, the symbiotic index, S 1 k , between the water microsystem and the energy microsystem is calculated according to Equation (10):
S 1 k = S W E k + S E W k S W E 2 k + S E W 2 k
Furthermore, the symbiotic index, S 2 k , between the water microsystem and the food microsystem is calculated according to Equation (11):
S 2 k = S W F k + S F W k S W F 2 k + S F W 2 k
When S W E k and S E W k are not equal to 0, the symbiotic index, S 1 k , reflects the pros and cons of the symbiotic relationship between water microsystem and energy microsystem. When S W F k and S F W k are not equal to 0, the symbiotic index, S 2 k , reflects the pros and cons of the symbiotic relationship between water microsystem and food microsystem. At this time, all indexes have clear economic significance.
In this paper, the symbiotic stress indexes, S W E t , S W F t , S E W t , and S F W t , and the symbiotic indexes, S 1 k and S 2 k , are collectively called the symbiotic security index for judging water security state and pre-warning level.

2.4. Judgement of Water Security State and Pre-Warning Level

In the water-energy-food symbiosis system, the water microsystem and the energy (or food) microsystem are interrelated and interact with each other directly or indirectly by occupying a common social-economic-ecological environment macrosystem, so as to realize the coupling symbiosis. For the entire water-energy-food symbiosis system, once a microsystem’s development oppresses or hinders the development of another microsystem, it causes that other microsystem to be damaged or even decline. As a result, it will be difficult for the entire system to achieve a balanced development, which also makes it impossible to achieve mutually beneficial and symbiotic development between the water microsystem and the energy (or food) microsystem. Under the guidance of this idea, the model of symbiotic coordination relationship between water microsystem and energy or food microsystem is designed on the basis of symbiotic stress indexes S W E t , S W F t , S E W t , and S F W t . We can then judge whether the water-energy-food symbiosis system will move toward a benign interaction and a common coordinated development direction and judge the pattern of the symbiotic relationship between the water microsystem and the energy (or food) microsystem according to the positive or negative symbiotic stress index. The model of symbiotic coordination relationship between water microsystem and energy or food microsystem is shown in Figure 4.
Due to the high complexity of the water-energy-food symbiosis system involved in water security, we cannot quantitatively judge the pros and cons of a symbiosis relationship with a single symbiotic security index, and we need to introduce another symbiotic security index, symbiotic index S i k , to comprehensively judge the water security state of the basin from the perspective of water-energy-food symbiosis (see Figure 5 for details). According to Equations (10) and (11), combined with the arithmetic mean and geometric mean inequality, the value range of the symbiotic index S i k is 2 , 2 . Moreover, the larger the value of S i k , the better the symbiotic state will be, and then the symbiotic relationship will tend towards a mutually beneficial symbiotic state; the smaller the value of S i k , the worse the symbiotic state will be, and then the symbiotic relationship will tend towards a competition state. When S i k = 1 , the symbiotic relationship is in a favorable symbiotic state. At this time, the contour of the symbiotic index S i k = 1 is the threshold line of symbiotic security, which is the threshold for entering the symbiotic green security zone; when S i k = 0 , the symbiotic units are in a state of unprofitability. At this time, the contour of symbiotic index S i k = 0 is the bottom line of symbiotic security, which is the threshold for entering the safe zone. According to the model of symbiotic coordination relationship between water microsystem and energy or food microsystem, the pattern that is only beneficial to the water microsystem will become the pattern that is only beneficial to the water microsystem strongly after entering the safe zone ( S i k     ( 0 , 2 ) , that is, S W N k + S N W k 0 ). The pattern that is only harmful to the water microsystem will become the pattern that is only harmful to the water microsystem weakly after entering the safe zone. The pattern that is only beneficial to the water microsystem will become the pattern that is only beneficial to the water microsystem weakly after entering the risk zone ( S i k     [ 2 , 0 ) , that is, S W N k + S N W k 0 ). The pattern that is only harmful to the water microsystem will become the pattern that is only harmful to the water microsystem strongly after entering the risk zone. What is more, whether the pattern that is only beneficial to the water microsystem is strong or weak depends on the size relationship between the positive effect of the other microsystem on the water microsystem and the negative effect of the water microsystem on the other microsystem. It is strong if the former is greater than the latter, otherwise it is weak. Similarly, whether the pattern that is only harmful to the water microsystem is strong or weak depends on the size relationship between the positive effect of the water microsystem on the other microsystem and the negative effect of the other microsystem on the water microsystem. It is weak if the former is greater than the latter, otherwise it is strong. What’s more, the judgment criteria of water security state and pre-warning level from the perspective of water-energy symbiosis and water-food symbiosis is shown in Table 2.

3. Results

3.1. Study Area

The Yangtze River Basin refers to the vast area through which the mainstream and tributaries of the Yangtze River flow. Furthermore, it spans three major economic zones of eastern, central, and western China. The basin covers an area of about 1.8 million km2, accounting for 18.8% of China’s land area (data from Yangtze River Water Conservancy Net at http://www.cjw.gov.cn/zjzx/lypgk/ (accessed on 1 December 2020)). In addition, the Yangtze River Basin is a resource axis represented by bulk agricultural products, mining resources, and hydropower resources [43]. In terms of water resources, the Yangtze River Basin is a strategic water source area for China’s water resources allocation, whose water resources are relatively abundant. The average water resources of the Yangtze River Basin for many years has been 995.9 billion m³, and the annual water supply of the Yangtze River exceeds 200 billion m3. However, the distribution of time and space is uneven, and the water supply projection is insufficient. What is more, there are many problems in the development and utilization of water resources: The contradiction of water demand and supply in some areas is prominent; engineering, resource, and water quality shortages coexist; water use efficiency is not high and water resources use methods are extensive; and the overall water quality compliance rate of the basin is low. In terms of energy, the Yangtze River Basin is the main base for implementing the energy strategy and the key area for the development of new energy in China, which is rich in hydropower and mineral resources. Among them, the theoretical reserves of water resources in the Yangtze River Basin reach 300,500 MW, and the annual power generation is 2.67 trillion kWh, accounting for about 40% of the total in China. In terms of agriculture, the areas along the Yangtze River have had superior agricultural resources since ancient times, which are China’s important food production bases with concentrated arable land, sufficient irrigation water, and fertile land. Specifically, the arable land area is 462 million mu and the grain output is 1.63 tons, accounting for 32.5% of the national grain output.
In this research, we study the water security pattern in the Yangtze River Basin from the perspective of water-energy-food symbiosis, taking into account the social, economic, and ecological environment of water resources development in the Yangtze River Basin. Therefore, the scope of the study area is based on the Yangtze River Basin, including 11 provinces or municipalities: Shanghai, Jiangsu, Zhejiang, Anhui, Jiangxi, Hubei, Hunan, Chongqing, Sichuan, Guizhou, and Yunnan (see Figure 6 for details). Among them, Shanghai, Jiangsu, Zhejiang, and Anhui belong to the lower reaches of the Yangtze River Basin; Jiangxi, Hubei, and Hunan belong to the middle reaches of the Yangtze River Basin; and Chongqing, Sichuan, Guizhou, and Yunnan belong to the upper reaches of the Yangtze River Basin.

3.2. Data Resource

Most of the data in this study come from the “China Statistical Yearbook” (2016–2018) and the statistical yearbooks of various provinces and municipalities. Some data for the water microsystem refer to the “China Environmental Statistical Yearbook” (2016–2018), the “China Soil and Water Conservation Bulletin” (2016–2018), and the water resources bulletins and environmental status bulletins of various provinces and municipalities. Some data of energy microsystem refer to the “China Energy Statistical Yearbook” (2016–2018). Some data for the food microsystem refer to the “China Rural Statistical Yearbook” (2016–2018) and some data for the natural environment refer to the “China Statistical Yearbook on Environment” (2016–2018).

3.3. Calculation Results of Basic Characteristic Index

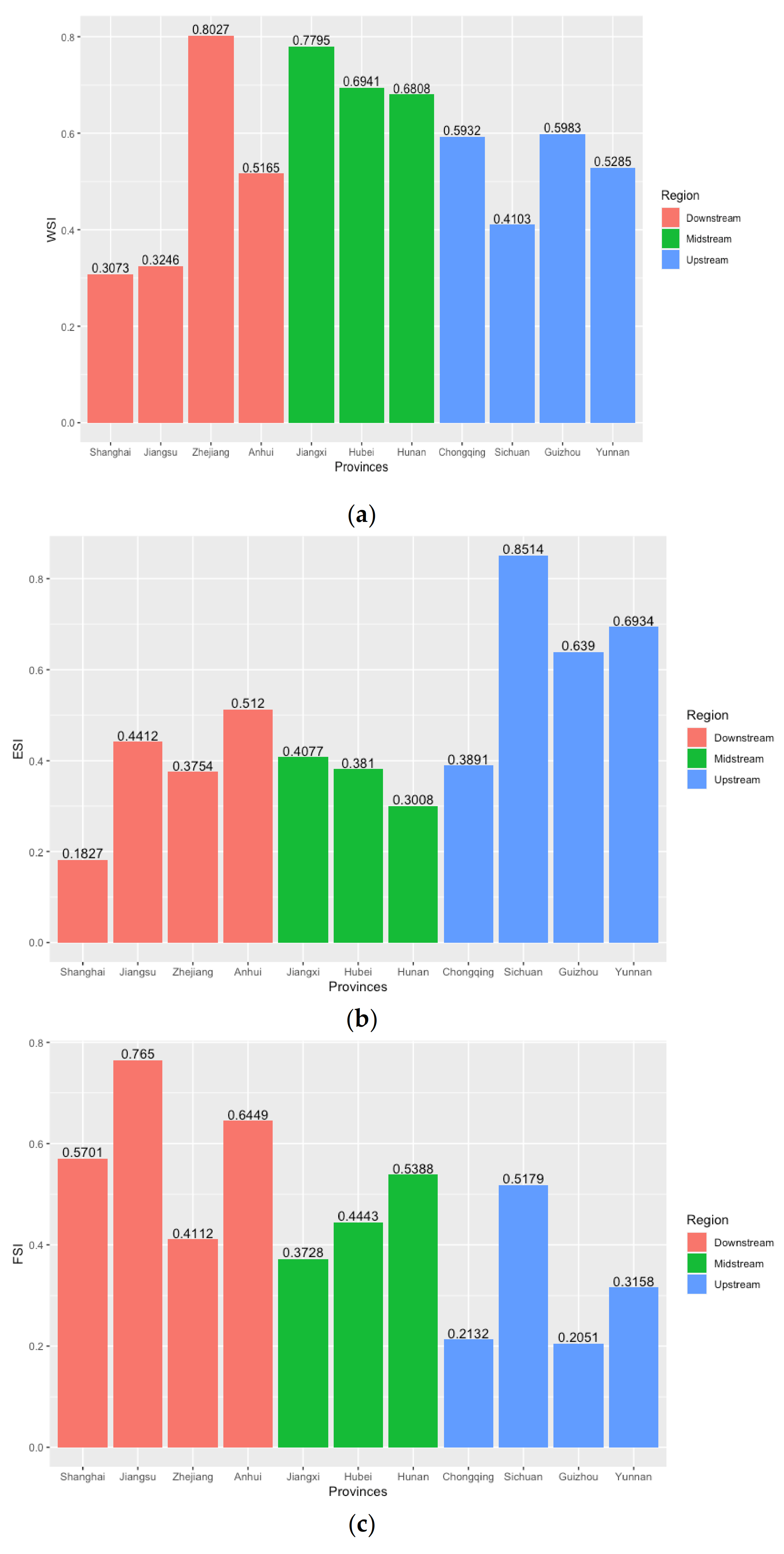
According to the above-mentioned water-energy-food symbiosis system assessment indicator system based on the DPSIR model, the CRITIC method is used to give weight to each selected index. To conserve space, the weight results calculated by the CRITIC method are shown in Figure 7. We then used Equation (1) to calculate the water microsystem security index, energy microsystem security index, food microsystem security index, and symbiotic environment index for each province. Among them, the symbiotic environment index consists of the social development index, economic development index, and ecological index. The specific values of each basic characteristic index for each province are shown in Figure 8.

3.4. Calculation Results of Symbiotic Security Index

On the basis of the above research, the six basic characteristic index values of 11 provinces or municipalities in the Yangtze River Basin are substituted into the above-mentioned related formulas for the calculation of symbiotic stress indexes and symbiotic indexes, including S W E t , S W F t , S E W t , S F W t , S 1 k , and S 2 k . The calculation results are shown in Table 3 and Table 4.

3.5. Evaluation Results of Water Security State and Pre-Warning Levels

According to the judgment criteria of the water security situation and pre-warning levels from the perspective of water-energy-food symbiosis, the water security levels and pre-warning levels of 11 provinces or municipalities in the Yangtze River Basin are defined. The specific results are shown in Table 3 and Table 4. The spatial distribution of water security is as follows (see Figure 9 for details): Firstly, the state of water security in the lower reaches of the Yangtze River Basin is complicated. From the perspective of water-energy-food symbiosis, water security of Zhejiang is the best and is in a state of green security; Shanghai’s water microsystem is positively affected by the symbiotic stress of energy and food systems; Anhui’s water security is in low recovery state; and the state of water security in Jiangsu Province is the worst. From the perspective of water-food symbiosis, the water security state of Jiangsu Province is in a danger state. Secondly, the water microsystems of all three provinces in the middle reaches of the Yangtze River are all positively affected by the symbiotic stress of energy and food systems, and the overall water security is relatively good. Among them, the water security state of Jiangxi Province is classed as at risk, and the water resources security level of Hubei and Hunan are healthy or sub-healthy. Thirdly, in the upper reaches of the Yangtze River Basin, Chongqing, Guizhou, and Yunnan have good states of water security; their pre-warning levels of water security are healthy or sub-healthy. However, Sichuan Province has a poorer state of water security. Sichuan’s water security state is classed as at risk, and its pre-warning level is yellow. In summary, the state of water security in the middle and upper reaches of the Yangtze River Basin is better than that in the lower reaches.

4. Discussion

In this section, we conduct a further analysis of the region’s water security state and security pre-warning level, discuss the reasons for the emergence of pre-warning, and carry out accurate pre-warning and effective regulation of water security in various provinces and municipalities by using an indicator retrospective method. According to the judgment criteria of water security state and pre-warning level from the perspective of water-energy-food symbiosis, this section discusses the issues from the following six perspectives: green security area analysis, blue pre-warning area analysis, yellow pre-warning area analysis, orange pre-warning area analysis, red pre-warning area analysis, and transitional rehabilitation area analysis.

4.1. Green Security Area Analysis

The water-energy-food symbiotic pattern of orange pre-warning area is a mutualism pattern in which the water microsystem and energy or food microsystem promote each other. Specifically, when they are in symbiosis, each party can get benefits from the other, and the two parties are in a state of benign interaction. Moreover, the two parties support each other, and they develop together to achieve a win-win situation. According to the evaluation results of water security state and pre-warning levels, Zhejiang, Hunan, Guizhou, and Yunnan belong to the green security pattern from the perspective of water-energy symbiosis. Furthermore, Zhejiang and Hubei belong to this pattern from the perspective of water-food symbiosis. Among them, the water security state of Zhejiang is green security in any perspective.
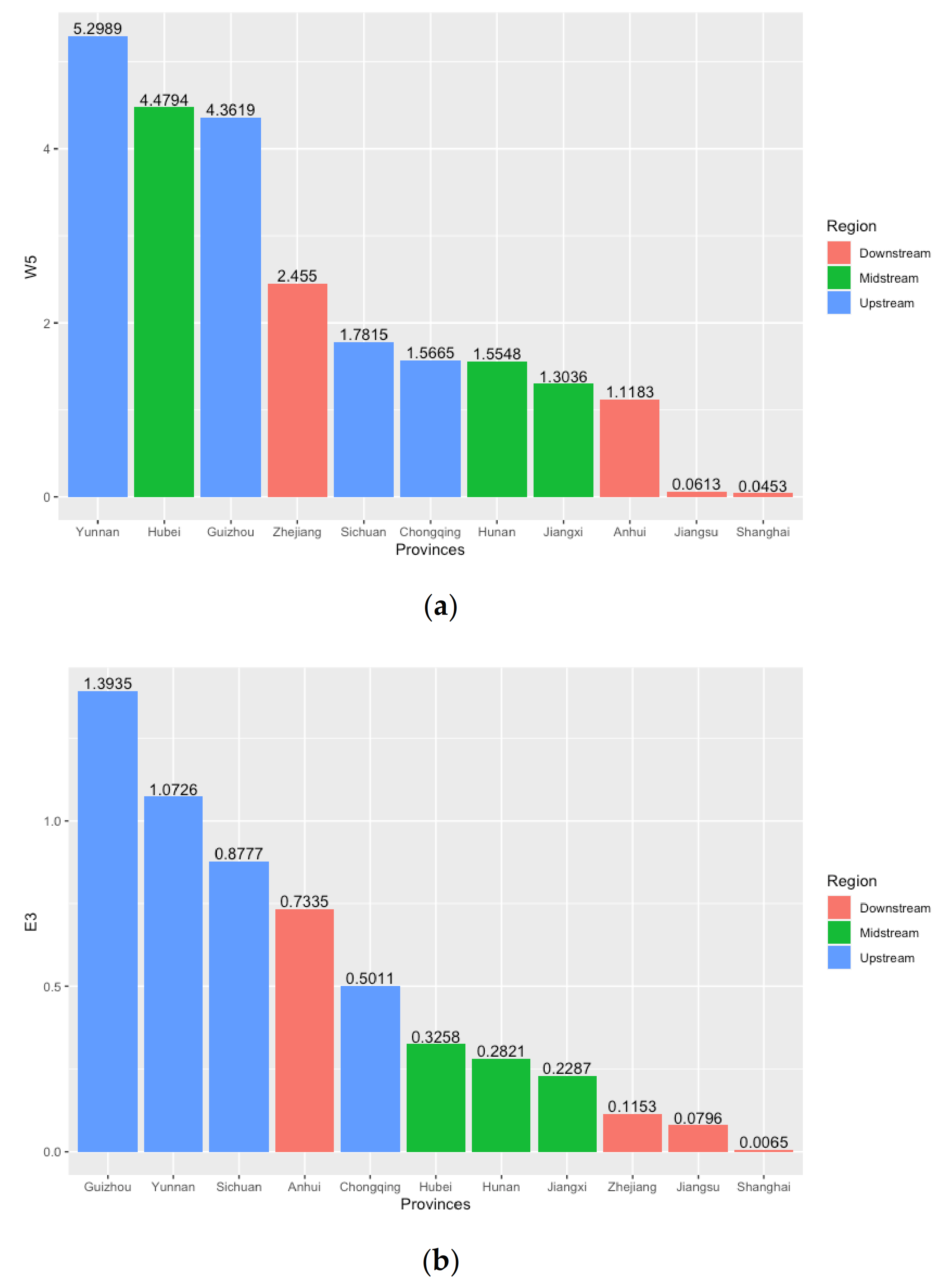
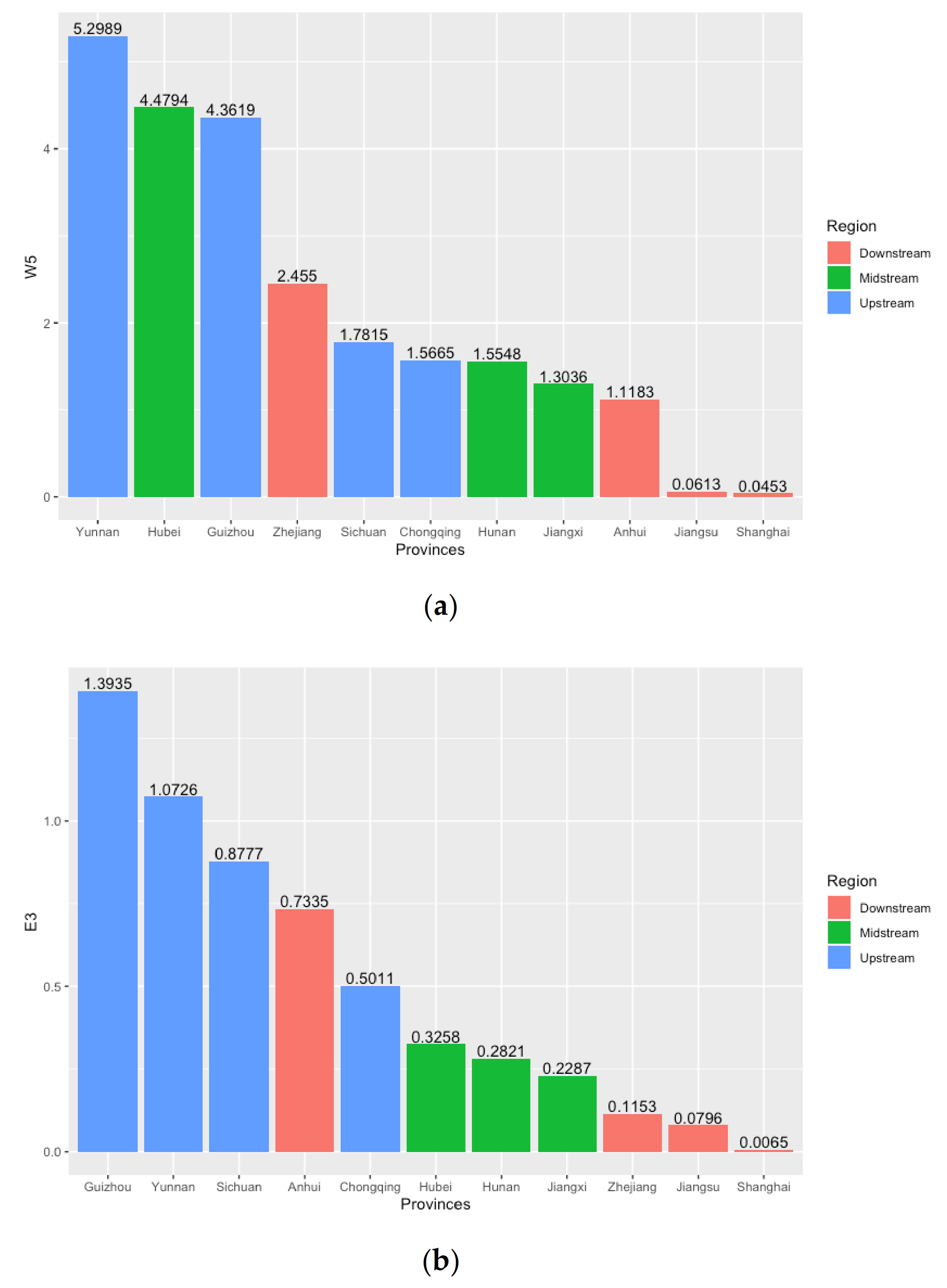
From the perspective of water-energy symbiosis, provinces such as Guizhou and Yunnan, whose water microsystems are in a green security state, are located in the main hydropower energy enrichment areas of China. In these areas, the water system is stable, the capacity of water conservancy projects is strong, the energy resources are abundant, and the self-sufficiency rate is high (see Figure 10 for details). In particular, because of the effective development and utilization of superior resources, these regions’ water resource and energy conversion rates are high, and the coordination of water system and energy system is better than other provinces. From the perspective of water-food symbiosis, Zhejiang’s water microsystem is in a green security state. Zhejiang is a province that is located in the Yangtze River Delta with a more suitable climate and is nourished by eight major water systems, including the Qiantang River. In particular, the water microsystem and the food microsystem in this region have good symbiotic coordination. What is more, the two systems have a benign interaction, mutual promotion, and common development.

4.2. Blue Pre-Warning Area Analysis

The water-energy-food symbiotic pattern of blue pre-warning areas is the pattern that is only strongly beneficial to the water microsystem but harmful to the energy or food microsystem. Specifically, although the energy or food microsystem is restrained by the water microsystem, the beneficial value of the water microsystem exceeds the harmful value of the energy or food microsystem, so that the overall symbiosis system is in a security symbiosis state. At this time, water security is relatively healthy. According to the evaluation results of water security state and pre-warning levels, Shanghai, Hubei, and Chongqing belong to this pattern from the perspective of water-energy symbiosis. Furthermore, Hunan, Chongqing, Guizhou, and Yunnan belong to this pattern from the perspective of water-food symbiosis.
Combining the above analysis of green security areas, it can be found that the water security level of Shanghai in the Yangtze River Delta region is either healthy or sub-healthy from the perspective of water-energy and water-food symbiosis. Shanghai, in the Yangtze River Delta region, pays more attention to the development of regional synergy economy and park economy to enhance industrial agglomeration and scale effect. Moreover, the industrial structure is continuously optimized, and the proportion of tertiary industry keeps increasing, which means that resource utilization efficiency is correspondingly improved. At the same time, this region’s resource system conversion rate is high and resource system has good coordination. Moreover, the added value generated by resource consumption is high, which makes the water environment pollution caused by energy-related and food-related production relatively small. Based on the above reasons, the water microsystems of provinces or municipalities in this region are in a healthy or sub-healthy state.
From the perspective of water-food symbiosis and from the perspective of geographical distribution, the provinces whose water security levels are at risk are mainly concentrated in the upper reaches of the Yangtze River. The topography of this area is relatively complex, almost all of it consisting of plateau and mountainous areas. Chongqing’s, Guizhou’s, and Yunnan’s utilization rates of water resources are 12.81%, 9.41%, and 7.20%, respectively, ranking them last in the Yangtze River Basin provinces, and far behind the provinces in the middle and lower reaches of the Yangtze River. In addition, the effective irrigation index is 0.1918, 0.1944, and 0.2526, respectively, which lags behind the Yangtze River Basin, as shown in Figure 11. By the index retrospective method, it can be seen that, although the total amount of water resources in the upper reaches of the Yangtze River are abundant, the level of water resource utilization is insufficient, and there are obvious inefficiencies and wastes. In addition, water conservancy facilities are incomplete, and water security for grain planting is low. As a result, the actual utilization of water for grain planting still cannot meet the demand for grain production, and the development of grain production is still restricted and inhibited by the input of water resources. In summary, the water security in the region is in security state, but the food microsystem is restrained by the water microsystem. Although the food microsystem has a certain damage value, the profit value of the water microsystem exceeds the damage value of the energy or food microsystem, so that the symbiotic system of water and food is in a state of safe symbiosis.

4.3. Yellow Pre-Warning Area Analysis

The water-energy-food symbiotic pattern of yellow pre-warning areas is the pattern that is only weakly beneficial to the water microsystem but harmful to the energy or food microsystem. Specifically, although the water microsystem is in healthy and positive development state, the energy or food microsystem is under the negative force of the water microsystem; the harmful value of the water microsystem exceeds the beneficial value of the energy or food microsystem so that the symbiotic index has dropped to a negative value. According to the evaluation results of water security state and pre-warning levels, Jiangxi belongs to this pattern from the perspective of water-energy symbiosis. Furthermore, Shanghai and Jiangxi belong to this pattern from the perspective of water-food symbiosis. Among them, the water security state of Jiangxi is classed as at risk in any perspective.
Taking Jiangxi Province as an example, by the index retrospective method, it can be seen that the ratio of primary and secondary industry production value to GDP in Jiangxi Province is 0.5803, which is second only to Anhui Province and ranks second in the Yangtze River Basin. It can be seen that the proportion of the primary and secondary industries in Jiangxi Province is still relatively large. In addition, Jiangxi Province is rich in mineral resources and has a relatively high degree of supporting mineral resources. What is more, Jiangxi Province is an important heavy industrial base with many high water-consuming and high-polluting industries, and industrial production has increased demand for water resources. However, due to the inefficient use of water resources and the low storage capacity of water conservancy projects, the energy microsystem is restrained by the water resources system. Furthermore, the damage value of the energy microsystem is so large that the symbiotic index of the water microsystem and the energy microsystem in this region is negative.

4.4. Orange Pre-Warning Area Analysis

The water-energy-food symbiotic pattern of orange pre-warning area is a competition pattern in which the water microsystem and energy or food microsystem compete with each other. Specifically, when the water microsystem and the energy or food microsystem are in symbiosis, neither party can get benefits from the other and the two parties are in a competitive relationship with each other. Moreover, the two parties inhibit each other, harm each other’s interests, and ultimately lose both. According to the evaluation results of water security state and pre-warning levels, Jiangsu and Sichuan belong to this model from the water-energy symbiotic perspective. Furthermore, only Sichuan belongs to this pattern from the perspective of water-food symbiosis. Among them, the water security level of Sichuan is high-risk level, and their pre-warning levels are all orange from any perspective. In terms of water resources, as China’s densely populated and economically developed provinces, these provinces have a higher demand for water-related products and services, compared with other provinces in the Yangtze River Basin. Furthermore, energy industry and food planting in these provinces also require a large amount of water resources. Considering the limited amount of water resources, high water supply pressure of the water microsystem restricts the water use for energy and food production in these provinces, so that the water microsystem has a certain inhibitory effect on the energy microsystem and the food microsystem.

4.5. Red Pre-Warning Area Analysis

The water-energy-food symbiotic pattern of red pre-warning areas is the pattern that is only strongly harmful to the water microsystem but beneficial to the energy or food microsystem. Specifically, although the energy or food microsystem is in a healthy and positive development state, the harmful value of the water microsystem has exceeded the beneficial value of the energy or food system, so that the overall symbiosis system has shown a negative development. According to the evaluation results of water security state and pre-warning levels, only Jiangsu Province belongs to this pattern from the perspective of water-food symbiosis. As very densely populated provinces in China, in order to meet the needs of local residents for food-related products and services, Jiangsu Province not only needs to consume a lot of water resources in the process of food production, but also requires a lot of energy products, such as chemical fertilizers, to ensure the quality of food, which increases the pressure on water supply and makes the pollution of farmland tail water to the water environment more serious. It can be seen that the energy microsystems of these provinces negatively inhibit the development of water microsystems.

4.6. Transitional Rehabilitation Area Analysis

The water-energy-food symbiotic pattern of transitional rehabilitation area is the pattern that is only weakly harmful to the water microsystem but beneficial to the energy or food microsystem. Specifically, although the energy or food microsystem inhibits the water microsystem, considering that there is a certain complementarity between the water microsystem and the energy or food microsystem in a specific time and space in the short term, the damage value of the water microsystem does not exceed the beneficial value of the energy or food microsystem. As a result, the symbiosis system composed of water, energy, and food is in a green security state, and water security has not broken the bottom line of security. Moreover, if the restraining effect of the energy or food microsystem on the water microsystem is weakened and turned to gain state, then the water security of the region can enter green security state. According to the evaluation results of water security state and pre-warning levels, only Anhui Province belongs to this pattern from the water-energy symbiotic perspective. As an important province in the hinterland of the Yangtze River Delta, Anhui Province owns many large and important industrial enterprise groups in the field of coal, non-ferrous metals, and steel. Comparing the energy data of each province in the Yangtze River Basin, it can be seen that the primary energy production in Anhui Province ranks only second to the major energy provinces in the upper reaches of the Yangtze River, and it is far ahead in the middle and lower reaches of the Yangtze River, which shows the depth of its heavy industrialization. In the integration process of the Yangtze River Delta, with the further deepening of its heavy industrialization, the continuous transfer of the low-end and high-energy-consuming industrial chain from Jiangsu, Zhejiang, and Shanghai has increased the consumption of water resources in Anhui Province, which is a raw material supply area. In addition, the efficiency of water resources utilization is not high, and pollution is increasing in the process of energy production. Therefore, the water microsystem of Anhui Province is more obviously restrained by the energy system. However, due to the mutual complementarity between the water microsystem and the energy microsystem in the short term, water security has not broken the bottom line.

5. Conclusions

In this paper, firstly, we introduced the “symbiosis theory” into the water-energy-food nexus to build a regional water-energy-food nexus symbiosis framework. Secondly, we established a WEF L-V symbiotic evolution model on the basis of the method of indicator-index coupling. Thirdly, we calculated the symbiotic security index including symbiotic stress index and symbiotic index. Fourthly, we judged the water security state and pre-warning level from the perspective of water-energy-food symbiosis. Finally, the causes of water security problems were analyzed by the inverse decoupling of indictor-index.
Many conclusions can be drawn from our research. Firstly, from the perspective of the spatial distribution of water security, the state of water security in the middle and upper reaches of the Yangtze River Basin is better than that in the lower reaches. Specifically, the water resources security levels in the upstream hydropower energy enrichment regions are generally high. Most of the provinces in the upper reaches of the Yangtze River Basin have good states of water security and their pre-warning levels of water security are healthy or sub-healthy. Moreover, the water resources systems of all three provinces in the middle reaches of the Yangtze River are all positively affected by the symbiotic stress of energy and food systems, and the overall water security is relatively good. By contrast, the state of water security in the lower reaches of the Yangtze River Basin is complicated. The level of water security varies across provinces and municipalities, and even the water resources systems of certain downstream socio-economically developed provinces have certain risks. Secondly, through the backtracking of the indicators, we can find the reasons for the different water security states of various regions in the Yangtze River Basin. The developed provinces in the lower reaches of the Yangtze River pay attention to regional coordinated development, with a higher water resource system conversion rate and better resource coordination. Some major industrial provinces in the middle and lower reaches of the Yangtze River have more energy-intensive and highly polluting energy industries and are very densely populated. Additionally, the demand for water resources is large, the utilization efficiency is low, and the environmental pollution is serious, which leads to a certain degree of security problem in the water microsystem. There is a stable water microsystem, strong water conservancy projects with strong storage capacity, abundant energy resources, and high self-sufficiency rates in the provinces of the lower reaches of the Yangtze River. What is more, the effective development and utilization of superior resources can make the region’s water resources and energy coordinated better. However, in some downstream provinces, the effective irrigation index is low, and the utilization rate of water resources is not high. Additionally, there are obvious inefficiencies and wastes in the use of water resources in the process of food production. Therefore, there are certain hidden dangers in water security in these provinces.
In this paper, there are possible improvements, characteristics, and advantages in terms of theoretical framework, measurement threshold, measurement scale, judgment criteria, and cause analysis. Firstly, from the perspective of theoretical framework and measurement, we shift from the “single resource” security research of water resources to the “multi-resource” collaborative security of water-energy-food by introducing the ecological symbiosis theory and the Lotka–Volterra symbiotic evolution model into the research of water-energy-food symbiosis for studying regional water resources security state and pre-warning levels from the perspective of water-energy-food symbiosis. Secondly, in terms of measuring scale and judgment standard, traditional methods use weighted summation methods to synthesize comprehensive evaluation values for water resources related indicators, which used to be the only judgment standard. The method mentioned above is likely to result in the bad consequence that some areas whose water microsystems have not actually reached the level of green security can also get high comprehensive evaluation values [44]. In this paper, the symbiotic security index calculated by the WEF L-V symbiotic evolution model was used to obtain the judgment standard of security state and pre-warning level to judge the security state of the regional water microsystem. Thirdly, in terms of cause analysis, the WEF L-V symbiotic evolution model integrates the index system method and the characteristic indicator method, which has the advantage of effectively tracing the cause. The original value of each individual indicator can be traced back by decoupling to deeply analyze the specific causes of water security problems.
In this paper, the WEF L-V symbiotic evolution model was used to measure the symbiotic security index to judge the water security state and pre-warning level of the Yangtze River Basin. The research focused on the study of water security in the basin from the perspective of water-energy-food symbiosis. In order to conduct a specific empirical analysis of the internal operation mechanism of the water-energy-food symbiosis system, we will further apply ecosystem theory, symbiosis theory, and evolutionary game theory to analyze the operating mechanism of the water-energy-food symbiosis system, discuss the stability of the water-energy-food symbiosis system, and study the co-evolution strategy of the water-energy-food symbiosis system.

Author Contributions

Conceptualization, Y.C.; methodology, Y.C. and W.C.; validation, Y.C. and W.C.; investigation, Y.C. and W.C.; writing—original draft preparation, Y.C. and W.C.; writing—review and editing, Y.C. and W.C.; visualization, W.C.; funding acquisition, Y.C. All authors have read and agreed to the published version of the manuscript.

Funding

This work was supported by the Humanities and Social Science Foundation of the Chinese Ministry of Education (grant No. 20YJA630006) and the National Natural Foundation for Young Scholars (grant No. 71403122).

Institutional Review Board Statement

Not applicable.

Informed Consent Statement

Not applicable.

Data Availability Statement

Not applicable.

Conflicts of Interest

The authors declare no conflict of interest.

References

  1. Veldkamp, T.I.; Wada, Y.; De Moel, H.; Kummu, M.; Eisner, S.; Aerts, J.C.; Ward, P.J. Changing mechanism of global water scarcity events: Impacts of socioeconomic changes and inter-annual hydro-climatic variability. Glob. Environ. Chang. 2015, 32, 18–29. [Google Scholar] [CrossRef]
  2. Thakur, N.; Rishi, M.; Sharma, D.A.; Keesari, T. Quality of water resources in Kullu Valley in Himachal Himalayas, India: Perspective and prognosis. Appl. Water Sci. 2018, 8, 20. [Google Scholar] [CrossRef]
  3. Re, V.; Thin, M.M.; Setti, M.; Comizzoli, S.; Sacchi, E. Present status and future criticalities evidenced by an integrated as-sessment of water resources quality at catchment scale: The case of Inle Lake (Southern Shan state, Myanmar). Appl. Geochem. 2018, 92, 82–93. [Google Scholar] [CrossRef]
  4. Yu, H.; Li, L.; Li, J. Evaluation of water resources carrying capacity in the Beijing-Tianjin-Hebei Region based on quantity-quality-water bodies-flow. Res. Sci. 2020, 42, 358–371. [Google Scholar] [CrossRef]
  5. Gari, S.R.; Guerrero, C.E.O.; Bryann, A.; Icely, J.D.; Newton, A. A DPSIR-analysis of water uses and related water quality issues in the Colombian Alto and Medio Dagua Community Council. Water Sci. 2018, 32, 318–337. [Google Scholar] [CrossRef]
  6. Cai, J.; He, Y.; Xie, R.; Liu, Y. A footprint-based water security assessment: An analysis of Hunan province in China. J. Clean. Prod. 2020, 245, 118485. [Google Scholar] [CrossRef]
  7. Yao, J.; Wang, G.; Xue, B.; Xie, G.; Peng, Y. Identification of regional water security issues in China, using a novel water security comprehensive evaluation model. Hydrol. Res. 2020, 51, 854–866. [Google Scholar] [CrossRef]
  8. Cheng, K.; Yao, J.; Ren, Y. Evaluation of the coordinated development of regional water resource systems based on a dynamic coupling coordination model. Water Supply 2018, 19, 565–573. [Google Scholar] [CrossRef]
  9. Chen, M.; Jin, J.; Ning, S.; Zhou, Y.; Udmale, P. Early Warning Method for Regional Water Resources Carrying Capacity Based on the Logical Curve and Aggregate Warning Index. Int. J. Environ. Res. Public Health 2020, 17, 2206. [Google Scholar] [CrossRef]
  10. Sankary, N.; Ostfeld, A. Incorporating operational uncertainty in early warning system design optimization for water distri-bution system security. Procedia Eng. 2017, 186, 160–167. [Google Scholar] [CrossRef]
  11. Hoff, H. Understanding the Nexus. In Proceedings of the Water, Energy and Food Security Nexus, Bonn, Germany, 16–18 November 2011; Stockholm Environment Institute: Stockholm, Sweden, 2011. [Google Scholar]
  12. Feng, M.; Liu, P.; Li, Z.; Zhang, J.; Liu, D.; Xiong, L. Modeling the nexus across water supply, power generation and envi-ronment systems using the system dynamics approach: Hehuang Region, China. J. Hydrol. 2016, 543, 344–359. [Google Scholar] [CrossRef]
  13. Khan, H.F.; Yang, Y.C.E.; Xie, H.; Ringler, C. A coupled modeling framework for sustainable watershed management in transboundary river basins. Hydrol. Earth Syst. Sci. 2017, 21, 6275–6288. [Google Scholar] [CrossRef]
  14. Wicaksono, A.; Jeong, G.; Kang, D. Water–energy–food Nexus simulation: An optimization approach for resource security. J. Water 2019, 11, 667. [Google Scholar] [CrossRef]
  15. Wang, Q.; Li, S.; He, G.; Li, R.; Wang, X. Evaluating sustainability of water-energy-food (WEF) nexus using an improved matter-element extension model: A case study of China. J. Clean. Prod. 2018, 202, 1097–1106. [Google Scholar] [CrossRef]
  16. Chen, J.; Yu, X.; Qiu, L.; Deng, M.; Dong, R. Study on Vulnerability and Coordination of Water-Energy-Food System in Northwest China. Sustainability 2018, 10, 3712. [Google Scholar] [CrossRef]
  17. Yi, J.; Guo, J.; Ou, M.; Pueppke, S.G.; Ou, W.; Tao, Y.; Qi, J. Sustainability assessment of the water-energy-food nexus in Jiangsu Province, China. Habitat Int. 2020, 95, 102094. [Google Scholar] [CrossRef]
  18. Chamas, Z.; Najm, M.; Al-Hindi, M.; Yassine, A.; Khattar, R. Sustainable Resource Optimization under Wa-ter-Energy-Food-Carbon Nexus. J. Cleaner Prod. 2020, 278, 123894. [Google Scholar] [CrossRef]
  19. Deng, H.-M.; Wang, C.; Cai, W.-J.; Liu, Y.; Zhang, L.-X. Managing the water-energy-food nexus in China by adjusting critical final demands and supply chains: An input-output analysis. Sci. Total Environ. 2020, 720, 137635. [Google Scholar] [CrossRef] [PubMed]
  20. Zheng, J.; Wang, W.; Chen, D.; Cao, X.; Xing, W.; Ding, Y.; Dong, Q.; Zhou, T. Exploring the water–energy–food nexus from a perspective of agricultural production efficiency using a three-stage data envelopment analysis modelling evaluation method: A case study of the middle and lower reaches of the Yangtze River, China. Hydrol. Res. 2018, 21, 49–72. [Google Scholar] [CrossRef]
  21. Sanders, K.T.; Masri, S.F. The energy-water agriculture nexus: The past, present and future of holistic resource management via remote sensing technologies. J. Clean. Prod. 2016, 117, 73–88. [Google Scholar] [CrossRef]
  22. Sun, C.; Yan, X.; Zhao, L. Coupling efficiency measurement and spatial correlation characteristic of water–energy–food nexus in China. Resour. Conserv. Recycl. 2021, 164, 105151. [Google Scholar] [CrossRef]
  23. Chen, Y.; Chen, W. Simulation Study on the Different Policies of Jiangsu Province for a Dynamic Balance of Water Resources under the Water–Energy–Food Nexus. Water 2020, 12, 1666. [Google Scholar] [CrossRef]
  24. Wu, L.; Elshorbagy, A.; Pande, S.; Zhuo, L. Trade-offs and synergies in the water-energy-food nexus: The case of Saskatchewan, Canada. Resour. Conserv. Recycl. 2021, 164, 105192. [Google Scholar] [CrossRef]
  25. Han, D.; Yu, D.; Cao, Q. Assessment on the features of coupling interaction of the food-energy-water nexus in China. J. Clean. Prod. 2020, 249, 119379. [Google Scholar] [CrossRef]
  26. Xu, S.; He, W.; Shen, J.; Degefu, D.M.; Yuan, L.; Kong, Y. Coupling and coordination degrees of the core water–energy–food nexus in China. Int. J. Environ. Res. Public Health 2019, 16, 1648. [Google Scholar] [CrossRef]
  27. Li, M.; Fu, Q.; Singh, V.P.; Ji, Y.; Liu, D.; Zhang, C.; Li, T. An optimal modelling approach for managing agricultural wa-ter-energy-food nexus under uncertainty. Sci. Total Environ. 2019, 651, 1416–1434. [Google Scholar] [CrossRef] [PubMed]
  28. Ji, L.; Wu, T.; Xie, Y.; Huang, G.; Sun, L. A novel two-stage fuzzy stochastic model for water supply management from a water-energy nexus perspective. J. Clean. Prod. 2020, 277, 123386. [Google Scholar] [CrossRef]
  29. Ji, L.; Zhang, B.; Huang, G.; Lu, Y. Multi-stage stochastic fuzzy random programming for food-water-energy nexus manage-ment under uncertainties. Resour. Conserv. Recycl. 2020, 155, 104665. [Google Scholar] [CrossRef]
  30. Li, L.; Lei, L.; Zheng, M.; Borthwick, A.; Ni, J. Stochastic Evolutionary-Based Optimization for Rapid Diagnosis and Ener-gy-Saving in Pilot-and Full-Scale Carrousel Oxidation Ditches. J. Environ. Inf. 2020, 35, 81–93. [Google Scholar]
  31. Quispel, A. Some theoretical aspects of symbiosis. Antonie Van Leeuwenhoek 1951, 17, 69–80. [Google Scholar] [CrossRef]
  32. Zhang, Z. Measuring model and criterion of forestry ecological security by symbiotic coupling method. China. Popul. Resour. Environ. 2014, 24, 90–99. [Google Scholar] [CrossRef]
  33. Yang, C.; Huang, J.; Lin, Z.; Zhang, D.; Zhu, Y.; Xu, X.; Chen, M. Evaluating the symbiosis status of tourist towns: The case of Guizhou Province, China. Ann. Tour. Res. 2018, 72, 109–125. [Google Scholar] [CrossRef]
  34. Chang, Y.; Li, G.; Yao, Y.; Zhang, L.; Yu, C. Quantifying the Water-Energy-Food Nexus: Current Status and Trends. Energies 2016, 9, 65. [Google Scholar] [CrossRef]
  35. Hellegers, P.J.G.J.; Zilberman, D.; Steduto, P.; McCornick, P.G. Interactions between water, energy, food and environment: Evolving perspectives and policy issues. Hydrol. Res. 2008, 10, 1–10. [Google Scholar] [CrossRef]
  36. Bazilian, M.; Rogner, H.; Howells, M.; Hermann, S.; Arent, D.; Gielen, D.; Steduto, P.; Mueller, A.; Komor, P.; Tol, R.S.; et al. Considering the energy, water and food nexus: Towards an integrated modelling approach. Energy Policy 2011, 39, 7896–7906. [Google Scholar] [CrossRef]
  37. Gulati, M.; Jacobs, I.; Jooste, A.; Naidoo, D.; Fakir, S. The Water–energy–food Security Nexus: Challenges and Opportunities for Food Security in South Africa. Aquat. Procedia 2013, 1, 150–164. [Google Scholar] [CrossRef]
  38. Rasul, G.; Sharma, B. The nexus approach to water–energy–food security: An option for adaptation to climate change. Clim. Policy 2016, 16, 682–702. [Google Scholar] [CrossRef]
  39. Hazbavi, Z.; Sadeghi, S.H.; Gholamalifard, M.; Davudirad, A.A. Watershed health assessment using the pressure–state–response (PSR) framework. Land Degrad. Dev. 2020, 31, 3–19. [Google Scholar] [CrossRef]
  40. Peng, T.; Deng, H. Comprehensive evaluation on water resource carrying capacity based on DPESBR framework: A case study in Guiyang, southwest China. J. Clean. Prod. 2020, 268, 122235. [Google Scholar] [CrossRef]
  41. Diakoulaki, D.; Mavrotas, G.; Papayannakis, L. Determining objective weights in multiple criteria problems: The critic method. Comput. Oper. Res. 1995, 22, 763–770. [Google Scholar] [CrossRef]
  42. Zhang, Z. A method of indicator-index coupling chain for two-step measurement of the threshold value and green degree of ecological civilization. China Popul. Resour. Environ. 2017, 27, 212–224. [Google Scholar] [CrossRef]
  43. Duan, X.; Zou, H.; Chen, W.; Wang, Y.; Ye, L. Formation and change of the Yangtze River Economic Belt from a geographical perspective. Geogr. Sci. Prog. 2019, 38, 1217–1226. [Google Scholar] [CrossRef]
  44. Lu, J.; Cui, X.; Chen, X. Assessment of water resource security in Poyang Lake watershed based on composite index method . Resour. Environ. Yangtze Basin 2015, 24, 212–218. [Google Scholar] [CrossRef]
Figure 1. Flow chart of pre-warning measurement of water resources security in the Yangtze River Basin from the perspective of water-energy-food symbiosis. Note: DPSIR = driving force-pressure-state-influence-response.
Figure 1. Flow chart of pre-warning measurement of water resources security in the Yangtze River Basin from the perspective of water-energy-food symbiosis. Note: DPSIR = driving force-pressure-state-influence-response.
Water 13 00475 g001
Figure 2. Water-energy-food symbiosis system framework. Note: the WEF in the picture is the abbreviation of water-energy-food, W-E means that water acts on energy, E-W means that energy acts on water, W-F means that water acts on food, F-W means that food acts on water, E-F means that energy acts on food, F-E means that food acts on energy.
Figure 2. Water-energy-food symbiosis system framework. Note: the WEF in the picture is the abbreviation of water-energy-food, W-E means that water acts on energy, E-W means that energy acts on water, W-F means that water acts on food, F-W means that food acts on water, E-F means that energy acts on food, F-E means that food acts on energy.
Water 13 00475 g002
Figure 3. Water-energy-food driving force-pressure-state-influence-response (WEF-DPSIR) structural model. Note: WEF-D = socioeconomic driving force subsystem, WEF-P = socioeconomic pressure subsystem, WEF-S = microsystem situation subsystem, WEF-I = environmental impact subsystem, WEF-R = human social response subsystem.
Figure 3. Water-energy-food driving force-pressure-state-influence-response (WEF-DPSIR) structural model. Note: WEF-D = socioeconomic driving force subsystem, WEF-P = socioeconomic pressure subsystem, WEF-S = microsystem situation subsystem, WEF-I = environmental impact subsystem, WEF-R = human social response subsystem.
Water 13 00475 g003
Figure 4. The model of symbiotic coordination relationship between water microsystem and energy or food microsystem.
Figure 4. The model of symbiotic coordination relationship between water microsystem and energy or food microsystem.
Water 13 00475 g004
Figure 5. Dual feature judgment matrix of water security level. Note: GS = green security, BP = blue pre-warning, YP = yellow pre-warning, OP = orange pre-warning, RP = red pre-warning, TOP = transition orange pre-warning, TYP = transition yellow pre-warning, TBP = transition blue pre-warning.
Figure 5. Dual feature judgment matrix of water security level. Note: GS = green security, BP = blue pre-warning, YP = yellow pre-warning, OP = orange pre-warning, RP = red pre-warning, TOP = transition orange pre-warning, TYP = transition yellow pre-warning, TBP = transition blue pre-warning.
Water 13 00475 g005
Figure 6. The Study area.
Figure 6. The Study area.
Water 13 00475 g006
Figure 7. The weights of index system for evaluating the water-energy-food symbiotic security.
Figure 7. The weights of index system for evaluating the water-energy-food symbiotic security.
Water 13 00475 g007
Figure 8. Calculation results of basic characteristic index: (a) water microsystem security index; (b) energy microsystem security index; (c) food microsystem security index; (d) symbiosis environment index.
Figure 8. Calculation results of basic characteristic index: (a) water microsystem security index; (b) energy microsystem security index; (c) food microsystem security index; (d) symbiosis environment index.
Water 13 00475 g008aWater 13 00475 g008b
Figure 9. Evaluation results of the water security situation and pre-warning levels from the perspective of water-energy and water-food symbiosis: (a) from the perspective of water-energy; (b) from the perspective of water-food.
Figure 9. Evaluation results of the water security situation and pre-warning levels from the perspective of water-energy and water-food symbiosis: (a) from the perspective of water-energy; (b) from the perspective of water-food.
Water 13 00475 g009aWater 13 00475 g009b
Figure 10. Comparison chart of key indicators of green security areas: (a) comparison of water conservancy project storage capacity (W5); (b) comparison of energy self-sufficiency rate (E3).
Figure 10. Comparison chart of key indicators of green security areas: (a) comparison of water conservancy project storage capacity (W5); (b) comparison of energy self-sufficiency rate (E3).
Water 13 00475 g010
Figure 11. Comparison chart of key indicators of yellow pre-warning area: (a) comparison of water resources development and utilization rate (W2); (b) comparison of effective irrigation index (F4).
Figure 11. Comparison chart of key indicators of yellow pre-warning area: (a) comparison of water resources development and utilization rate (W2); (b) comparison of effective irrigation index (F4).
Water 13 00475 g011aWater 13 00475 g011b
Table 1. Assessment indicator system of the water-energy-food symbiosis system.
Table 1. Assessment indicator system of the water-energy-food symbiosis system.
ObjectiveIndexCriterionIndicatorAttribute 1
Water-Energy-Food Symbiotic SecurityHSocial Driving ForcePopulation Density H1Negative
Urbanization Rate H2Positive
Social PressureDomestic Water per Capita H3Negative
Electricity Consumption per Capita H4Negative
Food Consumption per Capita H5Negative
IEconomic Driving ForceGDP Per Capita I1Positive
Ratio of Tertiary Industry Production Value to GDP I2Positive
The Ratio of R&D Expenditure To GDP I3Positive
Economic PressureWater Consumption per Unit GDP I4Negative
Energy Consumption per Unit GDP I5Negative
WWater StateWater Production Modulus W1Positive
Water Resources Development and Utilization Rate W2Negative
Proportion of Water Quality Sections Above Class III W3Positive
Water Production Coefficient W4Positive
Water Conservancy Project Storage Capacity W5Positive
EEnergy StatePrimary Energy Production E1Positive
Power Generation Installed Capacity E2Positive
Energy Self-Sufficiency Rate E3Positive
Energy Market Liquidity E4Positive
Energy Industry Investment E5Positive
FFood StateFood Yield Index F1Positive
Food Disaster Resistance Index F2Positive
Food Sown Area F3Positive
Effective Irrigation Index F4Positive
Total Power of Agricultural Machinery F5Positive
JImpact on EnvironmentWastewater Discharge per Unit GDP J1Negative
Waste Gas Emission per Unit GDP J2Negative
Human Social ResponseAfforestation Area J3Positive
Ratio of Environmental Pollution Control to GDP J4Positive
Soil Erosion Control Area J5Positive
1 The attribute indicates the nature of the indicator’s influence on the evaluation object. The positive indicator indicates that the larger the value of the evaluation index, the higher the safety level; the negative indicator indicates that the smaller the value of the evaluation index, the lower the safety level.
Table 2. The judgment criteria of water security state and pre-warning level from the perspective of water-energy symbiosis and water-food symbiosis.
Table 2. The judgment criteria of water security state and pre-warning level from the perspective of water-energy symbiosis and water-food symbiosis.
SWE/WF (k)S1/2 (k)W-E/W-F
Symbiotic Relationship
Security StatePre-Warning Level
0 ,   + 1 ,   2 mutualismhealthyGS
0 ,   + 0 ,   1 only beneficial to water stronglysub-healthyBP
0 ,   + 1 ,   0 only beneficial to water weaklyat riskYP
,   0 2 ,   1 competitionhigh-riskOP
,   0 1 ,   0 only harmful to water stronglyin dangerRP
,   0 0 ,   1 / 3 only harmful to water weaklylow recoveryTOP
,   0 1 / 3 ,   2 / 3 only harmful to water weaklymiddle recoveryTYP
,   0 2 / 3 ,   1 only harmful to water weaklyhigh recoveryTBP
Table 3. Results of symbiotic security index from the perspective of water-energy symbiosis.
Table 3. Results of symbiotic security index from the perspective of water-energy symbiosis.
RegionsSWE (K)SEW (K)S1 (K)Security StatePre-Warning Level
Shanghai28.3346−0.87570.9686sub-healthyBP
Jiangsu−1.7486−2.1125−1.4080high-riskOP
Zhejiang5.238615.73711.2647healthyGS
Anhui−0.67291.19590.3811low recoveryTOP
Jiangxi0.3938−1.1814−0.6324at riskYP
Hubei0.6350−0.19710.6587sub-healthyBP
Hunan1.78070.48051.2260healthyGS
Chongqing2.2673−0.65020.6856sub-healthyBP
Sichuan−51.0395−0.0978−1.0019high-riskOP
Guizhou14.91771.48781.0943healthyGS
Yunnan3.65011.21051.2639healthyGS
Table 4. Results of symbiotic security index from the perspective of water-food symbiosis.
Table 4. Results of symbiotic security index from the perspective of water-food symbiosis.
RegionsSWF (K)SFW (K)S2 (K)Security StatePre-Warning Level
Shanghai9.0816−9.6591−0.0436at riskYP
Jiangsu−1.00850.6128−0.3354in dangerRP
Zhejiang4.78263.20511.3874healthyGS
Anhui−0.53420.63470.1211low recoveryTOP
Jiangxi0.4307−0.7468−0.3667at riskYP
Hubei0.54450.19401.2776healthyGS
Hunan0.9943−0.30310.6649sub-healthyBP
Chongqing4.1377−0.92620.7574sub-healthyBP
Sichuan−83.9029−0.6971−1.0083high-riskOP
Guizhou46.4745−0.24960.9946sub-healthyBP
Yunnan8.0129−0.31390.9601sub-healthyBP
Publisher’s Note: MDPI stays neutral with regard to jurisdictional claims in published maps and institutional affiliations.

Share and Cite

MDPI and ACS Style

Chen, W.; Chen, Y. Pre-Warning Measurement of Water Resources Security in the Yangtze River Basin from the Perspective of Water-Energy-Food Symbiosis. Water 2021, 13, 475. https://doi.org/10.3390/w13040475

AMA Style

Chen W, Chen Y. Pre-Warning Measurement of Water Resources Security in the Yangtze River Basin from the Perspective of Water-Energy-Food Symbiosis. Water. 2021; 13(4):475. https://doi.org/10.3390/w13040475

Chicago/Turabian Style

Chen, Weizhong, and Yan Chen. 2021. "Pre-Warning Measurement of Water Resources Security in the Yangtze River Basin from the Perspective of Water-Energy-Food Symbiosis" Water 13, no. 4: 475. https://doi.org/10.3390/w13040475

APA Style

Chen, W., & Chen, Y. (2021). Pre-Warning Measurement of Water Resources Security in the Yangtze River Basin from the Perspective of Water-Energy-Food Symbiosis. Water, 13(4), 475. https://doi.org/10.3390/w13040475

Note that from the first issue of 2016, this journal uses article numbers instead of page numbers. See further details here.

Article Metrics

Back to TopTop