Predicting Cyanobacterial Harmful Algal Blooms (CyanoHABs) in a Regulated River Using a Revised EFDC Model
Abstract
1. Introduction
- (1)
- To develop a Graphical User Interface (GUI) that automatically generates input data for EFDC-NIER modeling to improve the ease of prediction of CyanoHABs.
- (2)
- To predict CyanoHABs by applying the GUI and using the EFDC-NIER to the section between Hapcheon-Changnyeong Weir and Changnyeong-Haman Weir, where severe occurrences of HABs are observed.
- (3)
- To verify the accuracy of the prediction of CyanoHABs and suggest improvements to the Harmful Algae Alert System.
2. Materials and Methods
2.1. EFDC-NIER Model
2.2. Application of Input Values to the EFDC-NIER Model
2.2.1. Application of Equations for General Water Quality
2.2.2. Conversion of Chlorophyll-a Concentration to Carbon Content
- The 684 species of algae observed in the Nakdong River were classified into five algal groups and their carbon content per cell was determined (Table 2).
- The carbon content per liter was determined for each species. For example, for Asterionella spp., the number of observed cells was 240 cells/mL and the carbon content per cell was 125 pg C/cells. Therefore, the carbon content per liter was calculated as follows:240 cells/mL × 125 pg C/cells = 240 cells/mL × 125 × 10−9 mg C/cells = 0.00003 mg C/mL = 0.03 mg C/L.
- Based on the number of cells observed every week, the carbon occupancy rate was calculated for each of the five groups.
- The carbon occupancy proportions for each of the five groups per month were calculated (Table 3).
- Under the assumption that the carbon occupancy proportions of each harmful algal bloom prediction group observed in the main stream were identical to those in the tributaries, the chlorophyll-a observed in the tributaries was converted to a carbon content for each harmful algal bloom prediction group using the monthly carbon occupancy proportions and the carbon:chlorophyll-a ratio (β; see below).
2.2.3. Development of a GUI for Automatic Input Data Generation
- A storage module for storing the carbon occupancy proportions of each harmful algal bloom prediction group in each period.
- An input module for receiving the water quality data observed at the tributary endpoints, used for boundary conditions.
- A conversion module for converting the chlorophyll-a concentrations to carbon contents for each harmful algal bloom prediction group at the observation time (to enable modeling by matching these amounts with the carbon occupancy proportions of each harmful algal bloom prediction group according to the modeling period).
- A modeling module for 3D numerical modeling of each harmful algal bloom prediction group for all study areas based on the carbon content of each harmful algal bloom prediction group.
2.3. Building and Modeling of the EFDC-NIER Model
3. Application and Result
3.1. Prediction of Harmful Cyanobacteria
3.2. Applicability of the Model for Short-Term CyanoHABs Predictions
4. Discussion and Conclusions
- Harmful cyanobacteria occur in large amounts from June to August in Changnyeong-Haman Weir. According to National Institute on Environmental Research, the dominant algae observed from June to August in 2019 was Microcystis spp. Therefore, CyanoHABs are mainly caused by Microcystis spp. in South Korea. This phenomenon is demonstrated by the simulation results of harmful cyanobacteria in this study. The simulation focused on harmful cyanobacteria because it is the main cause of algal blooms. However, if the cell numbers of other relevant algal groups, such as diatoms and green algae, need to be predicted in the future, these algal groups can also be added. In addition, the carbon content (pgC/cell) simulated for each group and carbon content per unit cell in Table 2 can be converted to cell numbers. Therefore, detailed algal simulations for multiple species will be possible using the modeling method proposed in this study.
- The developed numerical tool was applied to the Hapcheon-Changnyeong Weir–Changnyeong-Haman Weir section of the Nakdong River, which experiences severe growth of HABs. The modified Harmful Algae Alert System subdivided the alert level (10,000–1,000,000 cells/mL) in existing Harmful Algae Alert System based on 100,000 cells/mL, which is a unsafe water quality when ingested by humans [25]. The total success rate for the prediction of harmful cyanobacteria was 62% (65% at level 3 and 4). The predictive power of the modified Harmful Algae Alert System presented in this study is slightly reduce, so it can be judged that its applicability is inferior. However, it is not true. For example, if the predicted number of harmful cyanobacteria cells was 900,000 cells/mL and the measured number was 20,000 cells/mL, the prediction is evaluated as successful in existing Harmful Algae Alert System. This is an overestimation of the predictive power due to the wide range of alert level in existing Harmful Algae Alert System. Because of these cases, predictive power should not be evaluated solely by predictive success rate. For this reason, it can be said that administrative power and budget were used inefficiently by over-reaction, even though it was not dangerous to humans. In other words, responding to the algal blooms problem by subdividing the sections according to severity like the modified Harmful Algae Alert System can prevent unnecessary administrative power and budget consumption, and manage algal blooms more efficiently. In terms of policy, more advanced algal blooms management will be possible if administrative power and budget wasted due to over-reaction are utilized elsewhere such as training experts, recruiting more researchers, increasing the algae measurement budget, and upgrading measurement and prediction equipment, etc. In this study, there is a limitation in that the sample size is small. Recently, algae are constantly being measured. In addition, the frequency of algae measurement has increased compared to before due to the advanced technique of estimating the concentration of harmful cyanobacteria using phycocyanin and the advancement of remote sensing such as hyperspectral image. For this reason, many high-quality data are being obtained. If high-quality data will be obtained more and more algal groups are considered in the future, the cell number simulation for multiple algal species as well as for harmful cyanobacteria will be possible, and it is foreseen that the success rate will also be improved.
Author Contributions
Funding
Institutional Review Board Statement
Informed Consent Statement
Data Availability Statement
Acknowledgments
Conflicts of Interest
Appendix A


| Month | Harmful Cyanobacteria (Cells/mL) | Chlorophyll-a of Water Body Mixing Average (mg/m3) |
|---|---|---|
| 1 | 95 | 19.1 |
| 2 | 167 | 25.6 |
| 3 | 161 | 29.7 |
| 4 | 190 | 22.2 |
| 5 | 1181 | 22.3 |
| 6 | 44,443 | 22.8 |
| 7 | 30,647 | 25.1 |
| 8 | 118,064 | 28.4 |
| 9 | 26,984 | 27.0 |
| 10 | 21,697 | 27.4 |
| 11 | 15,609 | 24.5 |
| 12 | 882 | 14.1 |

Appendix B
| 07.01.2019 | 14.01.2019 | 21.01.2019 | 28.01.2019 | 07.02.2019 | 11.02.2019 | 18.02.2019 | ||
|---|---|---|---|---|---|---|---|---|
| Codon M | 0.0000 | 0.0000 | 0.0000 | 0.0000 | 0.0000 | 0.0000 | 0.0000 | |
| Codon H1 | 0.0002 | 0.0000 | 0.0007 | 0.0039 | 0.0000 | 0.0010 | 0.0006 | |
| Codon P | 0.2836 | 0.2376 | 0.2276 | 0.2096 | 0.4900 | 0.6762 | 1.1559 | |
| Codon D | 1.0094 | 1.2031 | 1.0291 | 1.7233 | 1.4203 | 2.7011 | 3.8842 | |
| Codon G | 0.0000 | 0.0000 | 0.0022 | 0.0003 | 0.0000 | 0.0000 | 0.0005 | |
| Codon X2 | 0.1793 | 0.1886 | 0.3790 | 0.6776 | 0.4623 | 0.3472 | 0.2160 | |
| Codon J | 0.0005 | 0.0000 | 0.0000 | 0.0002 | 0.0000 | 0.0000 | 0.0009 | |
| Codon LO | 0.0000 | 0.0000 | 0.0000 | 0.0000 | 0.0000 | 0.0000 | 0.0224 | |
| Codon C | 0.3194 | 0.1573 | 0.2986 | 0.2077 | 0.1474 | 0.0454 | 0.0564 | |
| ETC | 0.0000 | 0.0000 | 0.0000 | 0.0000 | 0.0000 | 0.0000 | 0.0000 | |
| SUM | 1.7925 | 1.7866 | 1.9371 | 2.8226 | 2.5199 | 3.7708 | 5.3370 | |
| Codon M | 0.12 | 0.0000 | 0.0000 | 0.0000 | 0.0000 | 0.0000 | 0.0000 | 0.0000 |
| Codon H1 | 0.12 | 0.0017 | 0.0000 | 0.0060 | 0.0322 | 0.0000 | 0.0082 | 0.0051 |
| Codon P | 0.12 | 2.3633 | 1.9801 | 1.8963 | 1.7467 | 4.0832 | 5.6348 | 9.6327 |
| Codon D | 0.12 | 8.4115 | 10.0257 | 8.5754 | 14.3608 | 11.8356 | 22.5089 | 32.3683 |
| Codon G | 0.12 | 0.0000 | 0.0000 | 0.0181 | 0.0023 | 0.0000 | 0.0000 | 0.0045 |
| Codon X2 | 0.12 | 1.4942 | 1.5718 | 3.1581 | 5.6468 | 3.8521 | 2.8930 | 1.7998 |
| Codon J | 0.12 | 0.0046 | 0.0000 | 0.0000 | 0.0018 | 0.0000 | 0.0000 | 0.0076 |
| Codon LO | 0.12 | 0.0000 | 0.0000 | 0.0000 | 0.0000 | 0.0000 | 0.0000 | 0.1870 |
| Codon C | 0.12 | 2.6620 | 1.3108 | 2.4887 | 1.7309 | 1.2282 | 0.3783 | 0.4699 |
| Total algae | 14.94 | 14.89 | 16.14 | 23.52 | 21.00 | 31.42 | 44.48 |

References
- National Institute of Environmental Research. Operating Manual of Harmful Algae Alert System (2020); NIER: Incheon, Korea, 2020.
- Schmidt, J.R.; Shaskus, M.; Estenik, J.F.; Oesch, C.; Khidekel, R.; Boyer, G.L. Variations in the microcystin content of different fish species collected from a eutrophic lake. Toxins 2013, 5, 992–1009. [Google Scholar] [CrossRef]
- Pavagadhi, S.; Balasubramanian, R. Toxicological evaluation of microcystins in aquatic fish species: Current knowledge and future directions. Aq. Toxicol. 2013, 142–143, 1–16. [Google Scholar] [CrossRef] [PubMed]
- Preece, E.P.; Hardy, F.J.; Moore, B.C.; Bryan, M. A review of microcystin detections in Estuarine and Marine waters: Environmental implications and human health risk. Harmful Algae 2017, 61, 31–45. [Google Scholar] [CrossRef]
- Chung, S.W.; Lee, H.S. Analysis of Microcystis bloom in Daecheong Reservoir using ELCOM-CAEDYM. J. Korean Soc. Water Environ. 2011, 27, 73–87. [Google Scholar]
- Yajima, H.; Choi, J.K. Changes in Phytoplankton Biomass due to Diversion of an Inflow into the Urayama Reservoir. Ecol. Eng. 2013, 58, 180–191. [Google Scholar] [CrossRef]
- Reynolds, C.S. Ecology of Phytoplankton; Cambridge University Press: New York, NY, USA, 2006. [Google Scholar]
- Chung, S.W.; Imberger, J.; Hipsey, M.R.; Lee, H.S. The influence of physical and physiological processes on the spatial heterogeneity of a Microcystis bloom in a stratified reservoir. Ecol. Modell. 2014, 289, 133–149. [Google Scholar] [CrossRef]
- Bae, S.; Seo, D. Analysis and modeling of algal blooms in the Nakdong River, Korea. Ecol. Modell. 2018, 372, 53–63. [Google Scholar] [CrossRef]
- Gao, Q.; He, G.; Fang, H.; Bai, S.; Huang, L. Numerical simulation of water age and its potential effects on the water quality in Xiangxi Bay of Three Gorges Reservoir. J. Hydrol. 2018, 566, 484–499. [Google Scholar] [CrossRef]
- Gleitz, M.; Greossmann, S.; Scharekm, R.; Smetacek, V. Ecology of diatom and bacterial assemblages in water associated with melting summer sea ice in the Weddell sea, Antarctica. Antarct. Sci. 1996, 8, 135–146. [Google Scholar] [CrossRef]
- Millie, D.; Weckman, G.; Fahnenstiel, G.; Carrick, H.; Ardjmand, E.; Young, W.; Sayers, M.; Shuchman, R. Using artificial intelligence for CyanoHAB niche modeling: Discovery and visualization of Microcystis-environmental associations within western Lake Erie. Can. J. Fish Aquat. Sci. 2014, 71, 1642–1654. [Google Scholar] [CrossRef]
- Francy, D.S.; Graham, J.L.; Stelzer, E.A.; Ecker, C.D.; Brady, A.M.G.; Struffolino, P.; Loftin, K.A. Water Quality, Cyanobacteria, and Environmental Factors and Their Relations to Microcystin Concentrations for Use in Predictive Models at Ohio Lake Erie and Inland Lake Recreational Sites, 2013–14; Scientific Investigations Report Series; U.S. Geological Survey: Reston, VA, USA, 2015. [CrossRef]
- Rowe, M.D.; Anderson, E.J.; Wynne, T.T.; Stumpf, R.P.; Fanslow, D.L.; Kijanka, K.; Vanderploeg, H.A.; Strickler, J.R.; Davis, T.W. Vertical distribution of buoyant Microcystis blooms in a Lagrangian particle tracking model for short-term forecasts in Lake Erie. J. Geophys. Res. Oceans. 2016, 121, 5296–5314. [Google Scholar] [CrossRef]
- Francy, D.S.; Brady, A.M.G.; Ecker, C.D.; Graham, J.L.; Stelzer, E.A.; Struffolino, P.; Dwyer, D.F.; Loftin, K.A. Estimating microcystin levels at recreational sites in western Lake Erie and Ohio. Harmful Algae 2016, 58, 23–34. [Google Scholar] [CrossRef]
- Segura, A.M.; Piccini, C.; Nogueira, L.; Alcantara, I.; Calliari, D.; Kruk, C. Increased sampled volume improved Microcystis aeruginosa complex (MAC) colonies detection and prediction using Random Forests. Ecol. Indic. 2017, 79, 347–354. [Google Scholar] [CrossRef]
- Kim, Y.W.; Lee, J.H.; Park, T.J.; Byun, I.G. Variation of water environment and algae occurrence characteristics after Weirs construction at Mulgeum site in downstream of the Nakdong River. J. Korean Soc. Hazard Mitig. 2017, 17, 383–392. [Google Scholar] [CrossRef]
- Ahn, J.M.; Kim, B.; Jong, J.; Nam, G.; Park, L.J.; Park, S.; Kang, T.; Lee, J.-K.; Kim, J. Predicting Cyanobacterial Blooms Using Hyperspectral Images in a Regulated River. Sensors 2021, 21, 530. [Google Scholar] [CrossRef] [PubMed]
- National Institute of Environmental Research. Water Quality Model Factor Survey of Aquatic Ecosystem in the Nakdong River; NIER: Incheon, Korea, 2004.
- Reynolds, C.S.; Huszar, V.; Kruk, C.; Naselli-Flores, L.; Melo, S. Towards a functional classification of the freshwater phytoplankton. J. Plankton Res. 2002, 24, 417–428. [Google Scholar] [CrossRef]
- Water Environment Information System. Available online: http://water.nier.go.kr (accessed on 1 October 2020).
- Meteorological Data Open Portal. Available online: http://data.kma.go.kr (accessed on 1 October 2020).
- MyWater. Available online: https://www.water.or.kr (accessed on 1 October 2020).
- Water Resource Management Information System. Available online: http://wamis.go.kr (accessed on 1 October 2020).
- Watts, R.J.; Allan, C.; Bowmer, K.H.; Page, K.J.; Ryder, D.S.; Wilson, A.L. Pulsed flows: A review of environmental costs and benefits and best practice. In Waterlines Rep; National Water Commission: Canberra, Australia, 2009. [Google Scholar]









| Series | Water Quality Variable | Modeling Variable | Input Data Equations |
|---|---|---|---|
| Carbon | TOC | RPOC | =(DOC − OC) × 0.5 |
| LPOC | =(DOC − OC) × 0.5 | ||
| DOC | =(BOD − AOD5 − NOD5)/(1 − e−5 × Kdbot *) × (12/32) | ||
| Nitrogen | TN NH4-N NO3-N DTN | RPON | =(TN − Algae Nitrogen − DTN) × 0.5 |
| LPON | =(TN − Algae Nitrogen − DTN) × 0.5 | ||
| DON | =DTN − NH4 − NO3 | ||
| NH4 | =NH4 | ||
| NO3 | =NO3 | ||
| Phosphorous | TP PO4-P DTP | RPOP | =(TP − Algae Phosphorus − DTP) × 0.5 |
| LPOP | =(TP − Algae Phosphorus − DTP) × 0.5 | ||
| DOP | =DTP − PO4 | ||
| PO4 | =PO4 |
| Group | Species (pgC/cell) | |
|---|---|---|
| Cyano bacteria | Group M | Microcystis spp. (10.95) |
| Group H1 | Anabaena(=Dolichospermum) spp. (164.1), Aphanizomenon spp. (9.5) | |
| Diatoms | Nitzschia spp. (56.2), Skeletonema spp. (127.8), Stephanodiscus spp. (520.5), Synedra spp. (516.1), Aulacoseira spp. (201.3), Fragilaria spp. (68.9), Melosira spp. (705.1), Closteriopsis spp. (130.4), Closterium spp. (143.5), Staurastrum spp. (13,651.8), Asterionella spp. (125.2), Cyclotella spp. (301.5) | |
| Green algae | Chroomonas spp. (407.5), Cryptomonas spp. (407.5), Chlamydomonas spp. (446.5)Carteria spp. (27.1), Eudorina spp. (161.6), Pandorina spp. (204.4), Actinastrum spp. (9.3), Coelastrum spp. (123.4), Crucigenia spp. (12.9), Golenkinia spp. (54.7), Pediastrum spp. (8.5), Scenedesmus spp. (10.6), Tetraedron spp. (90.4), Tetrastrum spp. (6.4) | |
| Other algae | Ceratium spp. (361.8), Gymnodinium spp. (1,303.15), Peridinium spp. (2,244.5), Merismopedia spp. (0.4) | |
| Group | Jan | Feb | Mar | Apr | May | Jun | Jul | Aug | Sep | Oct | Nov | Dec |
|---|---|---|---|---|---|---|---|---|---|---|---|---|
| Group M * | 0.0 | 0.0 | 0.0 | 0.0 | 0.1 | 4.2 | 28.1 | 41.5 | 7.8 | 0.2 | 0.0 | 0.0 |
| Group H1 * | 0.0 | 0.0 | 0.0 | 0.0 | 3.8 | 1.1 | 3.0 | 1.2 | 3.1 | 1.2 | 0.7 | 0.4 |
| Diatoms | 72.7 | 85.0 | 89.6 | 50.3 | 41.9 | 76.8 | 34.6 | 21.7 | 36.7 | 24.4 | 63.7 | 62.9 |
| Green algae | 25.4 | 14.7 | 10.3 | 49.5 | 54.1 | 17.8 | 29.7 | 30.2 | 49.5 | 73.8 | 35.6 | 36.7 |
| Other algae | 1.9 | 0.3 | 0.1 | 0.2 | 0.0 | 0.1 | 4.6 | 5.4 | 3.0 | 0.4 | 0.0 | 0.0 |
| EFDC Parameter | Unit | Definition | Nakdong River | |
|---|---|---|---|---|
| PMx | Group M | d | Max. growth rate | 2.0 |
| Group H1 | 2.0 | |||
| Diatom | 2.0 | |||
| Green | 2.0 | |||
| Other | 2.0 | |||
| KHNx | Group M | mg/L | Nitrogen half-saturation | 0.25 |
| Group H1 | 0.25 | |||
| Diatom | 0.45 | |||
| Green | 0.45 | |||
| Other | 0.45 | |||
| KHPx | Group M | mg/L | Phosphorus half-saturation | 0.10 |
| Group H1 | 0.18 | |||
| Diatom | 0.006 | |||
| Green | 0.006 | |||
| Other | 0.10 | |||
| TMX1 | Group M | °C | Lower optimal temperature | 20.0 |
| Group H1 | 10.0 | |||
| Diatom | 2.0 | |||
| Green | 2.0 | |||
| Other | 20.0 | |||
| TMX2 | Group M | °C | Upper optimal temperature | 35.0 |
| Group H1 | 35.0 | |||
| Diatom | 15.0 | |||
| Green | 30.0 | |||
| Other | 35.0 | |||
| WQRHOMN | Group M | kg/m3 | Algae minimum density | 985 |
| Group H1 | 920 | |||
| Other | 970 | |||
| WQRHOMX | Group M | kg/m3 | Algae maximum density | 1005 |
| Group H1 | 1030 | |||
| Other | 1065 | |||
| WQCOEF1 | Group M | kg/m3/min | Rate constant of density increase | 0.030 |
| Group H1 | 0.070 | |||
| Other | 0.045 | |||
| WQCOEF2 | Group M | kg/m3/min | Rate constant of density decrease | 0.0013 |
| Group H1 | 0.001 | |||
| Other | 0.001 | |||
| WQCOEF3 | Group M | kg/ kg/m3/min | Minimum rate of density increase | 0.013 |
| Group H1 | 0.023 | |||
| Other | 0.011 | |||
| WQR | Group M | m | Algae effective radius | 0.00008 |
| Group H1 | 0.000005 | |||
| Other | 0.00025 | |||
| CChlx | mg C/μg Chl-a | Carbon-to-chlorophyll ratio for algae | 0.012 | |
| CIa, CIb, Clc | - | Weighting factor for solar radiationat 0, 1, and 2 d | 0.80, 0.15, 0.05 | |
| BMRx | /day | Basal metabolism rate for algae | 0.05–0.1 | |
| PRRx | /day | Predation rate on algae | 0.02 | |
| CPprm1 | g C/g P | Constant for algae phosphorus-to-carbon ratio | 40 | |
| CPprm2 | g C/g P | Constant for algae phosphorus-to-carbon ratio | 85 | |
| CPprm3 | /mg/L | Constant for algae phosphorus-to-carbon ratio | 200 | |
| ANCx | g N/g C | Nitrogen-to-carbon ratio for algae | 0.18 | |
| L_Factor1 | W/m2 | Convert light unit | 4.57 | |
| F_PAR | Temperature and light average time | 0.44 |
| Group | Water Level (m) | Water Temperature (°C) | BOD (mg/L) | TN (mg/L) | TP (mg/L) | Chl-a (mg/m3) |
|---|---|---|---|---|---|---|
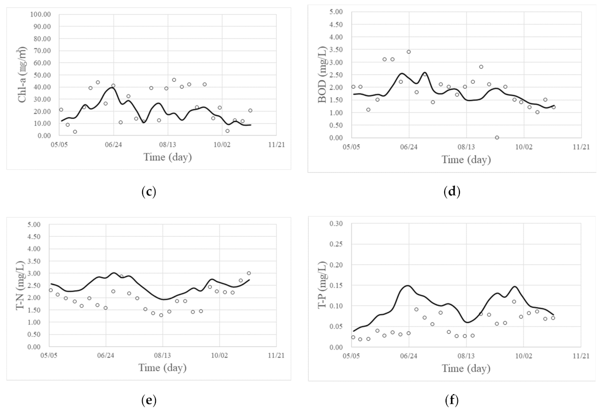
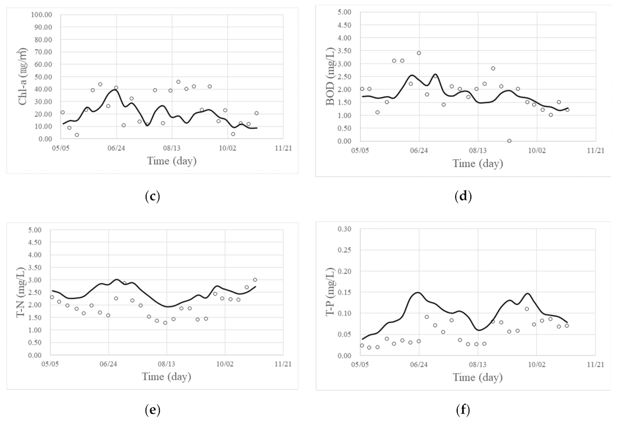
| MAE * | 0.15 | 0.58 | 0.42 | 0.55 | 0.04 | 10.80 |
| RMSE ** | 0.25 | 0.71 | 0.55 | 0.63 | 0.05 | 13.47 |
| Level | Harmful Cyanobacteria Range (cells/mL) | Occupancy Proportion (%) | Harmful Cyanobacteria Occupancy Number | |
|---|---|---|---|---|
| Cumulative | ||||
| 1 | <1000 | 51.9 | 51.9 | 177 |
| 2 | 1000–10,000 | 16.7 | 68.6 | 57 |
| 3 | 10,000–100,000 | 25.2 | 93.8 | 86 |
| 4 | 100,000–1,000,000 | 6.2 | 100.0 | 21 |
| 5 | >1,000,000 | 0.0 | 100.0 | 0 |
| Date | Harmful Cyanobacteria (cells/mL) | Harmful Algae Alert System | Modified Harmful Algae Alert System | |
|---|---|---|---|---|
| Observed Data | Predicted Data | |||
| 07.05.2019 | 0 | 2211 | Failure | Failure |
| 13.05.2019 | 490 | 3404 | Failure | Failure |
| 20.05.2019 | 282 | 3857 | Failure | Failure |
| 28.05.2019 | 75 | 5298 | Failure | Failure |
| 06.06.2019 | 3012 | 7661 | Success | Success |
| 10.06.2019 | 3461 | 10,877 | Failure | Failure |
| 17.06.2019 | 37,868 | 25,914 | Success | Success |
| 24.06.2019 | 50,432 | 35,339 | Success | Success |
| 01.07.2019 | 40,469 | 20,541 | Success | Success |
| 08.07.2019 | 59,526 | 118,145 | Failure | Success |
| 15.07.2019 | 223,562 | 115,711 | Success | Success |
| 22.07.2019 | 17,804 | 23,021 | Success | Success |
| 29.07.2019 | 11,540 | 58,737 | Success | Success |
| 05.08.2019 | 113,642 | 150,278 | Success | Success |
| 12.08.2019 | 66,145 | 117,259 | Failure | Success |
| 19.08.2019 | 194,924 | 131,850 | Success | Success |
| 26.08.2019 | 29,216 | 48,974 | Success | Success |
| 02.09.2019 | 24,274 | 54,836 | Success | Success |
| 09.09.2019 | 7573 | 17,010 | Failure | Failure |
| 16.09.2019 | 67,490 | 26,810 | Success | Success |
| 24.09.2019 | 777 | 10,542 | Failure | Failure |
| 30.09.2019 | 1738 | 10,305 | Failure | Failure |
| 07.10.2019 | 1738 | 3127 | Success | Success |
| 14.10.2019 | 1738 | 1429 | Success | Success |
| 21.10.2019 | 1738 | 1006 | Success | Success |
| 29.10.2019 | 1738 | 946 | Success | Success |
| Group | Predicted Data | |||||
|---|---|---|---|---|---|---|
| <1000 | 1000–10,000 | 10,000–100,000 | 100,000–1,000,000 | >1,000,000 | ||
| Observed Data | <1000 | A | - | - | - | - |
| 1000–10,000 | - | B | - | - | - | |
| 10,000–100,000 | - | - | C | - | - | |
| 100,000–1,000,000 | - | - | - | D | ||
| >1,000,000 | - | - | - | E | ||
Publisher’s Note: MDPI stays neutral with regard to jurisdictional claims in published maps and institutional affiliations. |
© 2021 by the authors. Licensee MDPI, Basel, Switzerland. This article is an open access article distributed under the terms and conditions of the Creative Commons Attribution (CC BY) license (http://creativecommons.org/licenses/by/4.0/).
Share and Cite
Ahn, J.M.; Kim, J.; Park, L.J.; Jeon, J.; Jong, J.; Min, J.-H.; Kang, T. Predicting Cyanobacterial Harmful Algal Blooms (CyanoHABs) in a Regulated River Using a Revised EFDC Model. Water 2021, 13, 439. https://doi.org/10.3390/w13040439
Ahn JM, Kim J, Park LJ, Jeon J, Jong J, Min J-H, Kang T. Predicting Cyanobacterial Harmful Algal Blooms (CyanoHABs) in a Regulated River Using a Revised EFDC Model. Water. 2021; 13(4):439. https://doi.org/10.3390/w13040439
Chicago/Turabian StyleAhn, Jung Min, Jungwook Kim, Lan Joo Park, Jihye Jeon, Jaehun Jong, Joong-Hyuk Min, and Taegu Kang. 2021. "Predicting Cyanobacterial Harmful Algal Blooms (CyanoHABs) in a Regulated River Using a Revised EFDC Model" Water 13, no. 4: 439. https://doi.org/10.3390/w13040439
APA StyleAhn, J. M., Kim, J., Park, L. J., Jeon, J., Jong, J., Min, J.-H., & Kang, T. (2021). Predicting Cyanobacterial Harmful Algal Blooms (CyanoHABs) in a Regulated River Using a Revised EFDC Model. Water, 13(4), 439. https://doi.org/10.3390/w13040439

