A Simple Method for the Control Time of a Pumping Station to Ensure a Stable Water Level Immediately Upstream of the Pumping Station under a Change of the Discharge in an Open Channel
Abstract
1. Introduction
2. One-Dimensional Hydrodynamic Model
2.1. Open Channel
2.2. Water Conveyance Structure
3. Determination of the Control Time of the Pumping Station
3.1. Theoretical Basis
- (1)
- An initial stable and non-uniform flow was assumed for the open channel.
- (2)
- The initial arrival time of the flow to the pumping station (t1) was determined when the discharge immediately upstream of the pumping station was increased by 1% of the variable discharge.
- (3)
- The complete arrival time of the flow to the pumping station (t3) was determined when the discharge immediately upstream of the pumping station was increased by 99% of the variable discharge.
- (4)
- The control time of the pumping station (t2): As the forebay of the pumping station has some storage capacity and the upstream flow is not affected by the pumping station, the same pumping volume in the same period will result in the same water level variation. Under ideal conditions, the ideal pumping volume ΔVI of the pumping station in the period of t1–t3 can be expressed as follows:
3.2. Experimental Verification
4. Case Study
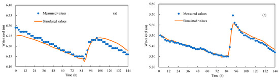
4.1. Verification of the Hydrodynamic Model
4.2. Verification of the Control Time of the Pumping Station
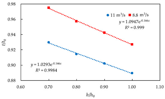
4.3. Factors Affecting the Control Time of the Pumping Station
4.3.1. Effects of the Initial Discharge
4.3.2. Effects of Variable Discharge
4.3.3. Effects of the Water Depth Immediately Upstream of the Pumping Station
4.4. Joint Control of the Cascade Pumping Stations
5. Conclusions
Author Contributions
Funding
Institutional Review Board Statement
Informed Consent Statement
Data Availability Statement
Conflicts of Interest
References
- Zhang, C.; Li, M.; Guo, P. An interval multistage joint-probabilistic chance-constrained programming model with left-hand-side randomness for crop area planning under uncertainty. J. Clean. Prod. 2017, 167, 1276–1289. [Google Scholar] [CrossRef]
- Wang, Y.; Li, Z.; Guo, S.; Zhang, F.; Guo, P. A risk-based fuzzy boundary interval two-stage stochastic water resources management programming approach under uncertainty. J. Hydrol. 2020, 582, 124553. [Google Scholar] [CrossRef]
- Kerim, E.D.; David, A.D. Drivers of interbasin transfers in the United States: Insights from sampling. J. Am. Water Resour. Assoc. 2019, 55, 1038–1052. [Google Scholar]
- Wang, L.; Yan, D.; Wang, H.; Yin, J.; Bai, Y. Impact of the Yalong-Yellow River water transfer project on the eco-environment in Yalong River basin. Sci. China Technol. Sci. 2013, 56, 831–842. [Google Scholar] [CrossRef]
- Xi, S.; Wang, B.; Liang, G.; Li, X.; Lou, L. Inter-basin water transfer-supply model and risk analysis with consideration of rainfall forecast information. Sci. China Technol. Sci. 2010, 53, 3316–3323. [Google Scholar] [CrossRef]
- Lu, L.; Tian, Y.; Lei, X.; Wang, H.; Qin, T.; Zhang, Z. Numerical analysis of the hydraulic transient process of the water delivery system of cascade pump stations. Water Sci. Technol. Water Suppl. 2018, 18, 1635–1649. [Google Scholar] [CrossRef]
- Abdallah, M.; Kapelan, Z. Iterative extended lexicographic goal programming method for fast and optimal pump scheduling in water distribution networks. J. Water Resour. Plan. Manag. 2017, 143, 04017066. [Google Scholar] [CrossRef]
- Bagirov, A.M.; Barton, A.F.; Mala-Jetmarova, H.; Al Nuaimat, A.; Ahmed, S.; Sultanova, N.; Yearwood, J. An algorithm for minimization of pumping costs in water distribution systems using a novel approach to pump scheduling. Math. Comput. Model. 2013, 57, 873–886. [Google Scholar] [CrossRef]
- Wu, P.; Lai, Z.N.; Wu, D.Z.; Wang, L. Optimization research of parallel pump system for improving energy efficiency. J. Water Resour. Plan. Manag. 2015, 141, 04014094. [Google Scholar] [CrossRef]
- Georgescu, S.C.; Georgescu, A.M. Application of HBMOA to pumping stations scheduling for a water distribution network with multiple tanks. Procedia Eng. 2014, 70, 715–723. [Google Scholar] [CrossRef]
- Iglesias-Rey, P.L.; Martínez-Solano, F.J.; Mora Meliá, D. Combining Engineering judgment and an optimization model to increase hydraulic and energy efficiency in water distribution networks. J. Water Resour. Plan. Manag. 2015, 142, C4015012. [Google Scholar] [CrossRef]
- Zhang, Z.; Lei, X.; Tian, Y.; Wang, L.; Wang, H.; Su, K. Optimized scheduling of cascade pumping stations in open-channel water transfer systems based on station skipping. J. Water Resour. Plan. Manag. 2019, 145, 05019011. [Google Scholar] [CrossRef]
- Boxall, J.B.; Mounce, S.R.; Ostojin, S. An artificial intelligence approach for optimizing pumping in sewer systems. J. Hydroinform. 2011, 13, 295–306. [Google Scholar]
- Nowak, D.; Krieg, H.; Bortz, M.; Geil, C.; Knapp, A.; Roclawski, H.; Böhle, M. Decision support for the design and operation of variable speed pumps in water supply systems. Water 2018, 10, 734. [Google Scholar] [CrossRef]
- Price, E.; Ostfeld, A. Optimal pump scheduling in water distribution systems using graph theory under hydraulic and chlorine constraints. J. Water Resour. Plan. Manag. 2016, 142, 04016037. [Google Scholar] [CrossRef]
- Petrollese, M.; Seche, P.; Cocco, D. Analysis and optimization of solar-pumped hydro storage systems integrated in water supply networks. Energy 2019, 189, 116176. [Google Scholar] [CrossRef]
- Sang, G.; Cao, S.; Guo, R.; Zhang, L. Optimization of cost per day of cascade pumping station water-delivery system. J. Drain. Irrig. Mach. Eng. 2013, 31, 688–695. [Google Scholar]
- Zheng, H.; Zhang, Z.; Wu, H.; Lei, X. Study on the daily optimized dis-patching and economic operation of cascade pumping stations in water conveyance system. J. Hydraul. Eng. 2016, 47, 1558–1565. [Google Scholar]
- Liu, X.; Tian, Y.; Lei, X.; Wang, H.; Liu, Z.; Wang, J. An improved self-adaptive grey wolf optimizer for the daily optimal operation of cascade pumping stations. Appl. Soft Comput. 2019, 75, 473–493. [Google Scholar] [CrossRef]
- Zhuan, X.; Zhang, L.; Li, W.; Yang, F. Efficient operation of the fourth huaian pumping station in east route of south-to-north water diversion project. Int. J. Electr. Power Energy Syst. 2018, 98, 399–408. [Google Scholar] [CrossRef]
- Gong, Y.; Cheng, J. Optimization of cascade pumping stations’ operations based on head decomposition–dynamic programming aggregation method considering water level requirements. J. Water Resour. Plan. Manag. 2018, 144, 04018034. [Google Scholar] [CrossRef]
- Malaterre, P.O.; Rogers, D.C.; Schuurmans, J. Classification of canal control algorithms. J. Irrig. Drain. Eng. 1998, 124, 3–10. [Google Scholar] [CrossRef]
- Bautista, E.; Clemmens, A.J. Volume compensation method for routing irrigation canal demand changes. J. Irrig. Drain. Eng. 2005, 131, 494–503. [Google Scholar] [CrossRef]
- Isapoor, S.; Montazar, A.; Van Overloop, P.J.; Van De Giesen, N. Designing and evaluating control systems of the Dez main canal. Irrig. Drain. 2011, 60, 70–79. [Google Scholar] [CrossRef]
- Malaterre P, O. Pilote: Linear quadratic optimal controller for irrigation canals. J. Irrig. Drain. Eng. 1998, 124, 187–194. [Google Scholar] [CrossRef]
- Tian, X.; van Overloop, P.; Negenborn, R.R.; Van De Giesen, N. Operational flood control of a low-lying delta system using large time step Model Predictive Control. Adv. Water Resour. 2015, 75, 1–13. [Google Scholar] [CrossRef]
- Wahlin, B.T.; Clemmens, A.J. Automatic downstream water-level feedback control of branching canal networks: Simulation results. J. Irrig. Drain. Eng. 2006, 132, 208–219. [Google Scholar] [CrossRef]
- Kong, L.; Lei, X.; Wang, H.; Long, Y.; Lu, L.; Yang, Q. A model predictive water-level difference control method for automatic control of irrigation canals. Water 2019, 11, 762. [Google Scholar] [CrossRef]
- García, L.; Barreiro-Gomez, J.; Escobar, E.; Téllez, D.; Quijano, N.; Ocampo-Martinez, C. Modeling and real-time control of urban drainage systems A review. Adv. Water Resour. 2015, 85, 120–132. [Google Scholar] [CrossRef]
- Chang, F.J.; Chang, K.Y.; Chang, L.C. Counterpropagation fuzzy-neural network for city flood control system. J. Hydrol. 2008, 358, 24–34. [Google Scholar] [CrossRef]
- Hsu, N.-S.; Huang, C.-L.; Wei, C.-C. Intelligent real-time operation of a pumping station for an urban drainage system. J. Hydrol. 2013, 489, 85–97. [Google Scholar] [CrossRef]
- Mullapudi, A.; Lewis, M.J.; Gruden, C.L.; Kerkez, B. Deep reinforcement learning for the real time control of stormwater systems. Adv. Water Res. 2020, 140, 103600. [Google Scholar] [CrossRef]
- Pereira, A.; Pinho, J.L.S.; Faria, R.; Vieira, J.M.P.; Costa, C. Improving operational management of wastewater systems. A case study. Water Sci. Technol. 2019, 80, 173–183. [Google Scholar] [CrossRef] [PubMed]
- Eker, I.; Kara, T. Operation and control of a water supply system. ISA Trans. 2003, 42, 1–13. [Google Scholar] [CrossRef]
- Abdulrahman, A.; Nasher, N. Water supply network system control based on model predictive control. J. King Saud Univ.—Eng. Sci. 2010, 22, 119–126. [Google Scholar] [CrossRef]
- Wu, Z.; Luo, H.; Liu, C.; Sun, L.; Zhao, P. Start-up time difference of pumping station of Nansi Lake in the South-to-North water transfer. South North Water Transf. Water Sci. Technol. 2008, 6, 77–80, 91. [Google Scholar]
- Gao, X.; Nie, X.; Sun, B.; Zhang, C. Study on opening time difference of the adjacent multi-stages pump stations in water transfer projects. J. Hydraul. Eng. 2016, 47, 1502–1509. [Google Scholar]
- Shang, Y.; Liu, R.; Li, T.; Zhang, C.; Wang, G. Transient flow control for an artificial open channel based on finite difference method. Sci. China Technol. Sci. 2011, 54, 781–792. [Google Scholar] [CrossRef]
- Lu, L.; Lei, X.; Tian, Y.; Wu, H. Research on the characteristic of hydraulic response in open channel of the cascade pumping station project in an emergent state. J. Basic Sci. Eng. 2018, 26, 263–275. [Google Scholar]
- Goodwin, P.; Lyn, D.A. Stability of a general preissmann scheme. J. Hydraul. Eng. 1987, 113, 16–28. [Google Scholar]
- Wang, C.; Yang, J.; Nilsson, H. Simulation of water level fluctuations in a hydraulic system using a coupled liquid-gas model. Water 2015, 7, 4446–4476. [Google Scholar] [CrossRef]
- Hu, J.; Yang, S.; Fu, X. Experimental investigation on propagating characteristics of sinusoidal unsteady flow in open-channel with smooth bed. Sci. China Technol. Sci. 2012, 55, 2028–2038. [Google Scholar] [CrossRef]
- Fan, J.; Wang, C.; Guan, G.; Cui, W. Study on the hydraulic reaction of unsteady flows in open channel. Adv. Water Sci. 2006, 17, 55–60. [Google Scholar]
- Li, K.; Shen, B.; Li, Z.; Hao, G. Open channel hydraulic response characteristics in irrigation area based on unsteady flow simulation analysis. Trans. Chin. Soc. Agric. Eng. 2015, 31, 107–114. [Google Scholar]











| Name | Length (m) | Number of Holes | Width (m) | Height (m) | Area (m2) | Area of Upstream Open Channel (m2) | Area Ratio | Area of Downstream Open Channel (m2) | Area Ratio |
|---|---|---|---|---|---|---|---|---|---|
| S1 | 94 | 2 | 2.5 | 2.5 | 12.5 | 25 | 0.5 | 25 | 0.5 |
| S2 | 421 | 2 | 3 | 3 | 18 | 25 | 0.72 | 33 | 0.55 |
| S3 | 85.5 | 2 | 3 | 3 | 18 | 33 | 0.55 | 33 | 0.55 |
| S4 | 161 | 2 | 3 | 3 | 18 | 33 | 0.55 | 33 | 0.55 |
| S5 | 235 | 2 | 3 | 3 | 18 | 31.25 | 0.58 | 23.75 | 0.76 |
| S6 | 447 | 2 | 3 | 3 | 18 | 23.75 | 0.76 | 23.75 | 0.76 |
| Initial Discharge (m3/s) | Channel Section | Water Depth (m) | Wetted Cross-Sectional Area (m2) | Flow Velocity (m/s) | Wave Velocity (m/s) | Propagation Velocity (m/s) | |
|---|---|---|---|---|---|---|---|
| 6.6 | Downstream of G1 | Before change | 1.46 | 11.53 | 0.57 | 3.78 | 4.35 |
| After change | 1.60 | 13.10 | 0.59 | 3.96 | 4.55 | ||
| Upstream of S1 | Before change | 1.79 | 15.39 | 0.43 | 4.19 | 4.62 | |
| After change | 1.94 | 17.19 | 0.45 | 4.36 | 4.81 | ||
| Downstream of U1 | Before change | 1.68 | 14.05 | 0.47 | 4.06 | 4.53 | |
| After change | 1.69 | 14.21 | 0.54 | 4.08 | 4.62 | ||
| Upstream of P1 | Before change | 1.94 | 17.23 | 0.38 | 4.36 | 4.74 | |
| After change | 1.94 | 17.23 | 0.45 | 4.36 | 4.81 | ||
| 8.8 | Downstream of G1 | Before change | 1.73 | 14.65 | 0.60 | 4.12 | 4.72 |
| After change | 1.86 | 16.17 | 0.61 | 4.27 | 4.88 | ||
| Upstream of S1 | Before change | 2.07 | 18.96 | 0.46 | 4.51 | 4.97 | |
| After change | 2.20 | 20.69 | 0.48 | 4.65 | 5.13 | ||
| Downstream of U1 | Before change | 1.71 | 14.40 | 0.61 | 4.10 | 4.71 | |
| After change | 1.73 | 14.60 | 0.68 | 4.12 | 4.80 | ||
| Upstream of P1 | Before change | 1.94 | 17.23 | 0.51 | 4.36 | 4.87 | |
| After change | 1.94 | 17.23 | 0.57 | 4.36 | 4.93 | ||
| 11 | Downstream of G1 | Before change | 1.98 | 17.68 | 0.62 | 4.40 | 5.02 |
| After change | 2.09 | 19.18 | 0.63 | 4.52 | 5.16 | ||
| Upstream of S1 | Before change | 2.32 | 22.40 | 0.49 | 4.77 | 5.26 | |
| After change | 2.44 | 24.09 | 0.50 | 4.89 | 5.39 | ||
| Downstream of U1 | Before change | 1.75 | 14.82 | 0.74 | 4.14 | 4.88 | |
| After change | 1.76 | 15.05 | 0.80 | 4.16 | 4.96 | ||
| Upstream of P1 | Before change | 1.94 | 17.23 | 0.64 | 4.36 | 5.00 | |
| Before change | 1.94 | 17.23 | 0.70 | 4.36 | 5.06 | ||
| 13.2 | Downstream of G1 | Before change | 2.20 | 20.67 | 0.64 | 4.64 | 5.28 |
| After change | 2.30 | 22.15 | 0.65 | 4.75 | 5.40 | ||
| Upstream of S1 | Before change | 2.55 | 25.77 | 0.51 | 5.00 | 5.51 | |
| After change | 2.66 | 27.43 | 0.52 | 5.11 | 5.63 | ||
| Downstream of U1 | Before change | 1.79 | 15.31 | 0.86 | 4.19 | 5.05 | |
| After change | 1.81 | 15.57 | 0.92 | 4.21 | 5.13 | ||
| Upstream of P1 | Before change | 1.94 | 17.23 | 0.77 | 4.36 | 5.13 | |
| Before change | 1.94 | 17.23 | 0.83 | 4.36 | 5.19 | ||
| 15.4 | Downstream of G1 | Before change | 2.41 | 23.62 | 0.65 | 4.86 | 5.51 |
| After change | 2.51 | 25.09 | 0.66 | 4.96 | 5.62 | ||
| Upstream of S1 | Before change | 2.76 | 29.08 | 0.53 | 5.21 | 5.74 | |
| After change | 2.86 | 30.72 | 0.54 | 5.30 | 5.84 | ||
| Downstream of U1 | Before change | 1.83 | 15.86 | 0.97 | 4.24 | 5.21 | |
| After change | 1.85 | 16.15 | 1.02 | 4.27 | 5.29 | ||
| Upstream of P1 | Before change | 1.94 | 17.23 | 0.89 | 4.36 | 5.25 | |
| Before change | 1.94 | 17.23 | 0.96 | 4.36 | 5.32 | ||
| Water Depth Upstream of P1 (m) | Channel Section | Water Depth (m) | Wetted Cross-Sectional Area (m2) | Flow Velocity (m/s) | Wave Velocity (m/s) | Propagation Velocity (m/s) | |
|---|---|---|---|---|---|---|---|
| 1.69 | Downstream of G1 | Before change | 1.98 | 17.69 | 0.62 | 4.40 | 5.02 |
| After change | 2.09 | 19.19 | 0.63 | 4.53 | 5.16 | ||
| Upstream of S1 | Before change | 2.32 | 22.42 | 0.49 | 4.77 | 5.26 | |
| After change | 2.44 | 24.11 | 0.50 | 4.89 | 5.39 | ||
| Downstream of U1 | Before change | 1.56 | 12.70 | 0.87 | 3.92 | 4.79 | |
| After change | 1.59 | 13.04 | 0.93 | 3.95 | 4.88 | ||
| Upstream of P1 | Before change | 1.69 | 14.16 | 0.78 | 4.07 | 4.85 | |
| After change | 1.69 | 14.16 | 0.85 | 4.07 | 4.93 | ||
| 1.94 | Downstream of G1 | Before change | 1.98 | 17.68 | 0.62 | 4.40 | 5.02 |
| After change | 2.09 | 19.18 | 0.63 | 4.53 | 5.16 | ||
| Upstream of S1 | Before change | 2.32 | 22.40 | 0.49 | 4.77 | 5.26 | |
| After change | 2.44 | 24.09 | 0.50 | 4.89 | 5.39 | ||
| Downstream of U1 | Before change | 1.75 | 14.82 | 0.74 | 4.14 | 4.88 | |
| After change | 1.76 | 15.06 | 0.80 | 4.16 | 4.96 | ||
| Upstream of P1 | Before change | 1.94 | 17.23 | 0.64 | 3.36 | 5.00 | |
| After change | 1.94 | 17.23 | 0.70 | 4.36 | 5.06 | ||
| 2.18 | Downstream of G1 | Before change | 1.97 | 17.66 | 0.62 | 4.40 | 5.02 |
| After change | 2.09 | 19.16 | 0.63 | 4.53 | 5.16 | ||
| Upstream of S1 | Before change | 2.32 | 22.37 | 0.49 | 4.77 | 5.26 | |
| After change | 2.44 | 24.06 | 0.50 | 4.89 | 5.39 | ||
| Downstream of U1 | Before change | 1.95 | 17.31 | 0.63 | 4.37 | 5.00 | |
| After change | 1.96 | 17.48 | 0.69 | 4.38 | 5.07 | ||
| Upstream of P1 | Before change | 2.18 | 20.40 | 0.54 | 4.62 | 5.16 | |
| After change | 2.18 | 20.40 | 0.59 | 4.62 | 5.21 | ||
| 2.42 | Downstream of G1 | Before change | 1.97 | 17.61 | 0.62 | 4.40 | 5.02 |
| After change | 2.08 | 19.11 | 0.63 | 4.52 | 5.15 | ||
| Upstream of S1 | Before change | 2.32 | 22.31 | 0.49 | 4.77 | 5.26 | |
| After change | 2.43 | 24.01 | 0.50 | 4.89 | 5.39 | ||
| Downstream of U1 | Before change | 2.16 | 20.18 | 0.54 | 4.61 | 5.15 | |
| After change | 2.17 | 20.30 | 0.60 | 4.62 | 5.22 | ||
| Upstream of P1 | Before change | 2.42 | 23.81 | 0.46 | 4.87 | 5.33 | |
| After change | 2.42 | 23.81 | 0.51 | 4.87 | 5.38 | ||
Publisher’s Note: MDPI stays neutral with regard to jurisdictional claims in published maps and institutional affiliations. |
© 2021 by the authors. Licensee MDPI, Basel, Switzerland. This article is an open access article distributed under the terms and conditions of the Creative Commons Attribution (CC BY) license (http://creativecommons.org/licenses/by/4.0/).
Share and Cite
Yan, P.; Zhang, Z.; Lei, X.; Zheng, Y.; Zhu, J.; Wang, H.; Tan, Q. A Simple Method for the Control Time of a Pumping Station to Ensure a Stable Water Level Immediately Upstream of the Pumping Station under a Change of the Discharge in an Open Channel. Water 2021, 13, 355. https://doi.org/10.3390/w13030355
Yan P, Zhang Z, Lei X, Zheng Y, Zhu J, Wang H, Tan Q. A Simple Method for the Control Time of a Pumping Station to Ensure a Stable Water Level Immediately Upstream of the Pumping Station under a Change of the Discharge in an Open Channel. Water. 2021; 13(3):355. https://doi.org/10.3390/w13030355
Chicago/Turabian StyleYan, Peiru, Zhao Zhang, Xiaohui Lei, Ying Zheng, Jie Zhu, Hao Wang, and Qiaofeng Tan. 2021. "A Simple Method for the Control Time of a Pumping Station to Ensure a Stable Water Level Immediately Upstream of the Pumping Station under a Change of the Discharge in an Open Channel" Water 13, no. 3: 355. https://doi.org/10.3390/w13030355
APA StyleYan, P., Zhang, Z., Lei, X., Zheng, Y., Zhu, J., Wang, H., & Tan, Q. (2021). A Simple Method for the Control Time of a Pumping Station to Ensure a Stable Water Level Immediately Upstream of the Pumping Station under a Change of the Discharge in an Open Channel. Water, 13(3), 355. https://doi.org/10.3390/w13030355

