Environmental Aspects of Historical Ferromanganese Tailings in the Šibenik Bay, Croatia
Abstract
:1. Introduction
2. Materials and Methods
2.1. Study Area and Environmental Conditions
2.2. Sampling
2.3. Sample Preparation
2.4. Grain Size Analysis
2.5. SEM-EDS Pretreatment
2.6. Analysis of Mineral Composition
2.7. Carbonate Content Analysis
2.8. BCR Sequential Analysis and Aqua Regia Control Analysis
2.9. Multielement Analysis by HR-ICP-MS
2.10. Total Analysis
3. Results
3.1. Grain Size Distribution
3.2. Mineral Composition
3.3. Carbonate Share in Samples
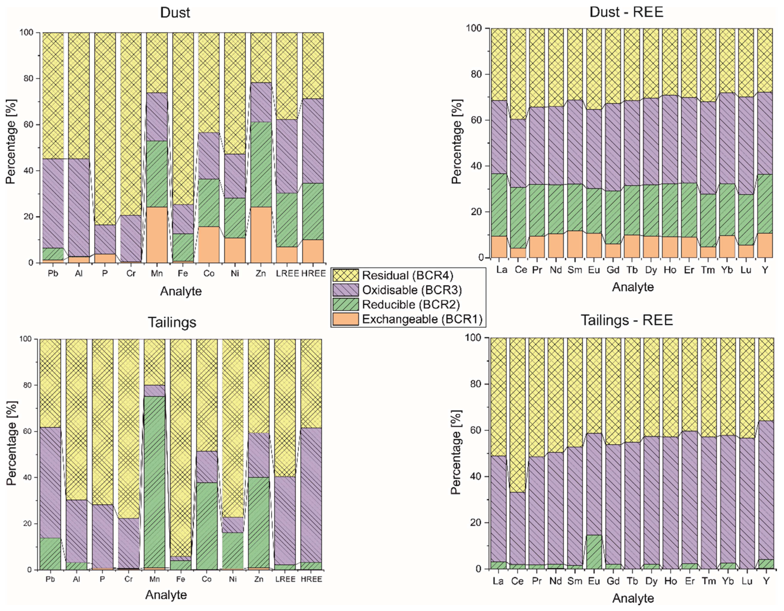
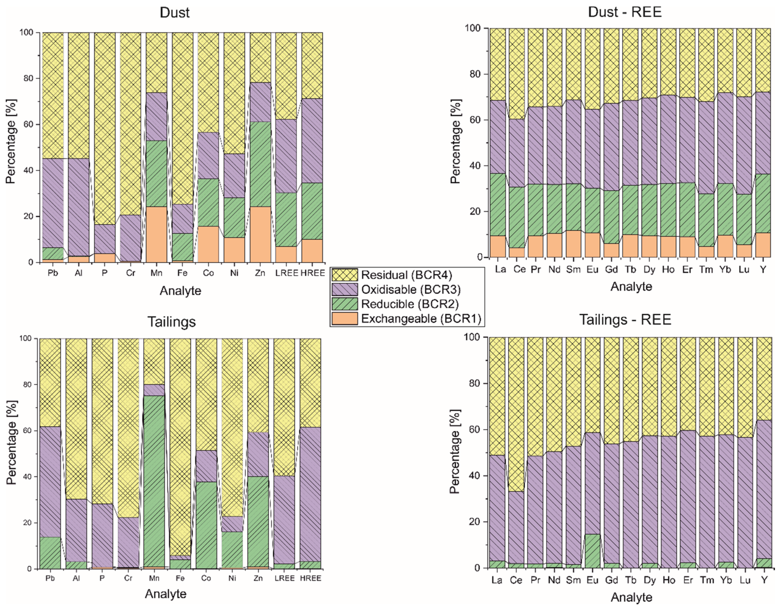
3.4. BCR Sequential Analysis and AR Control Analysis
3.5. Total Analysis
4. Discussion
4.1. Impact of the TEF Plant on the Environment
4.2. Tailings as Potential Recovery Material
4.3. Tailings and Dust Characteristics
5. Conclusions
Supplementary Materials
Author Contributions
Funding
Institutional Review Board Statement
Informed Consent Statement
Data Availability Statement
Acknowledgments
Conflicts of Interest
References
- Haynes, E.N.; Heckel, P.; Ryan, P.; Roda, S.; Leung, Y.K.; Sebastian, K.; Succop, P. Environmental manganese exposure in residents living near a ferromanganese refinery in Southeast Ohio: A pilot study. Neurotoxicology 2010, 31, 468–474. [Google Scholar] [CrossRef] [PubMed] [Green Version]
- Lucchini, R.G.; Albini, E.; Benedetti, L.; Borghesi, S.; Coccaglio, R.; Malara, E.C.; Parrinello, G.; Garattini, S.; Resola, S.; Alessio, L. High prevalence of Parkinsonian disorders associated to manganese exposure in the vicinities of ferroalloy industries. Am. J. Ind. Med. 2007, 50, 788–800. [Google Scholar] [CrossRef] [PubMed]
- Lucchini, R.G.; Guazzetti, S.; Zoni, S.; Donna, F.; Peter, S.; Zacco, A.; Salmistraro, M.; Bontempi, E.; Zimmerman, N.J.; Smith, D.R. Tremor, olfactory and motor changes in Italian adolescents exposed to historical ferro-manganese emission. Neurotoxicology 2012, 33, 687–696. [Google Scholar] [CrossRef] [Green Version]
- Lucas, E.L.; Bertrand, P.; Guazzetti, S.; Donna, F.; Peli, M.; Jursa, T.P.; Lucchini, R.; Smith, D.R. Impact of ferromanganese alloy plants on household dust manganese levels: Implications for childhood exposure. Environ. Res. 2015, 138, 279–290. [Google Scholar] [CrossRef] [PubMed] [Green Version]
- Rodrigues, J.L.; Araújo, C.F.; Dos Santos, N.R.; Bandeira, M.J.; Anjos, A.L.S.; Carvalho, C.F.; Lima, C.S.; Abreu, J.N.S.; Mergler, D.; Menezes-Filho, J.A. Airborne manganese exposure and neurobehavior in school-aged children living near a ferro-manganese alloy plant. Environ. Res. 2018, 167, 66–77. [Google Scholar] [CrossRef]
- Commission, E. Critical Raw Materials Resilience: Charting a Path towards Greater Security and Sustainability. Available online: https://ec.europa.eu/docsroom/documents/42849 (accessed on 1 November 2021).
- Malala, O.N.; Adachi, T. Japan’s critical metals in the medium term: A quasi-dynamic approach incorporating probability. Miner. Econ. 2021, 34, 1–15. [Google Scholar] [CrossRef]
- Zhang, W.; Cheng, C.Y. Manganese metallurgy review. Part I: Leaching of ores/secondary materials and recovery of electrolytic/chemical manganese dioxide. Hydrometallurgy 2007, 89, 137–159. [Google Scholar] [CrossRef]
- Institut Ruđer Bošković. Elaborat Stanja Okoliša-Plaža “Crnica”; Institut Ruđer Bošković: Zagreb, Croatia, 2011; Available online: https://www.sibenik.hr/upload/dokumenti/2011/Elaborat%20stanja%20okoli%C5%A1a%20na%20podru%C4%8Dju%20budu%C4%87e%20pla%C5%BEe%20na%20podru%C4%8Dju%20biv%C5%A1e%20Tvornice%20elektroda%20i%20ferolegura%20u%20%C5%A0ibeniku%20(TEF).pdf (accessed on 1 November 2021).
- Legović, T.; Gržetić, Z.; Smirčić, A. Effects of wind on a stratified estuary. Mar. Chem. 1991, 32, 153–161. [Google Scholar] [CrossRef]
- Pavilonis, B.T.; Lioy, P.J.; Guazzetti, S.; Bostick, B.C.; Donna, F.; Peli, M.; Zimmerman, N.J.; Bertrand, P.; Lucas, E.; Smith, D.R.; et al. Manganese concentrations in soil and settled dust in an area with historic ferroalloy production. J. Expo. Sci. Environ. Epidemiol. 2015, 25, 443–450. [Google Scholar] [CrossRef] [Green Version]
- Cheng, Z.; Luo, L.; Wang, S.; Wang, Y.; Sharma, S.; Shimadera, H.; Wang, X.; Bressi, M.; de Miranda, R.M.; Jiang, J.; et al. Status and characteristics of ambient PM2.5 pollution in global megacities. Environ. Int. 2016, 89–90, 212–221. [Google Scholar] [CrossRef]
- Selinus, O.; Alloway, B.J. Essentials of Medical Geology: Impacts of the Natural Environment on Public Health; Elsevier: Amsterdam, The Netherlands, 2005. [Google Scholar]
- Kero, I.T.; Eidem, P.A.; Ma, Y.; Indresand, H.; Aarhaug, T.A.; Grådahl, S. Airborne Emissions from Mn Ferroalloy Production. JOM 2019, 71, 349–365. [Google Scholar] [CrossRef] [Green Version]
- TEF History of Electrodes and Ferroalloy Plant (Povijest TEF-a). Available online: http://www.tef.hr/stranica/5/povijest-tef-a-stup-sibenskog-industrijskog-razvoja-u-20-stoljecu.html (accessed on 14 June 2021).
- Mamužić, P. Osnovna Geološka Karta SFRJ 1:100.000, List Šibenik K33–8; Zagreb (1962–1965); Institut za Geološka Istraživanja: Zagreb, Croatia; Savezni Geološki Institut: Beograd, Serbia, 1971.
- Marinčić, S.; Magaš, N.; Borović, I. Osnovna Geološka Karta SFRJ 1:100.000, List Primošten K33–20; Zagreb, (1968–1969); Institut za Geološka Istraživanja: Zagreb, Croatia, 1971. [Google Scholar]
- Vodovod i Odvodnja Šibenik d.o.o. Available online: http://www.vodovodsib.hr/ (accessed on 7 June 2021).
- Cukrov, N. Krka River Estuary, Trap for Radionuclides; University of Zagreb, Faculty of Science: Zagreb, Croatia, 2006. [Google Scholar]
- Cukrov, N.; Surić, M.; Fuček, L.; Ćosović, V.; Korbar, T.; Juračić, M. Geologija estuarija rijeke Krke (Geology of Krka River estuary). In Proceedings of the 4th Hrvatski Geološki Kongres (4th Croatian Geological Congress)—Šibenik 2010; Hrvatski Geološki Institut: Zagreb, Croatia; pp. 143–148. Available online: https://bib.irb.hr/datoteka/493808.2010_vodic_ekskurzije_B1_Cukrov_et_al.pdf (accessed on 1 November 2021).
- Cukrov, N. Metal Dynamics in the Sediments of the Krka River Estuary. Ph.D. Thesis, University of Zagreb, Faculty of Science, Zagreb, Croatia, 2020. [Google Scholar]
- Legović, T.; Petricioli, D.; Žutić, V. Hypoxia in a pristine stratified estuary (Krka, Adriatic Sea). Mar. Chem. 1991, 32, 347–359. [Google Scholar] [CrossRef]
- Bilinski, H.; Kozar, S.; Plavšić, M.; Kwokal, Ž.; Branica, M. Trace metal adsorption on inorganic solid phases under estuarine conditions. Mar. Chem. 1991, 32, 225–233. [Google Scholar] [CrossRef]
- Elbaz-Poulichet, F.; Ming Guan, D.; Martin, J.-M. Trace metal behaviour in a highly stratified Mediterranean estuary: The Krka (Yugoslavia). Mar. Chem. 1991, 32, 211–224. [Google Scholar] [CrossRef]
- Folk, R.L. The distinction between grain size and mineral composition in sedimentary rock nomenclature. J. Geol. 1954, 62, 344–359. [Google Scholar] [CrossRef]
- Wentworth, C.K. A scale of grade and class terms for clastic sediments. J. Geol. 1922, 30, 377–392. [Google Scholar] [CrossRef]
- Blott, S.J.; Pye, K. Gradistat: A grain size distribution and statistics package for the analysis of unconsolidated sediments. Earth Surf. Process. Landf. 2001, 26, 1237–1248. [Google Scholar] [CrossRef]
- Commeau, J.A.; Poppe, L.J.; Commea, R.F. Separation and Identification of the Silt-Sized Heavy-Mineral Fraction in Sediments; US Government Printing Office: Washington, DC, USA, 1992; Volume 1071. [CrossRef] [Green Version]
- Austrian Standards Institute. Chemische Bodenuntersuchungen—Bestimmung von Carbonat; Normungsinstitut, O., Ed.; Austrian Standards Institute: Wien, Austria, 2006; pp. 1–8. [Google Scholar]
- Kostanjšek, I. Karakterizacija Sedimentnog Okoliša i Plastičnog Otpada Morskog Sedimenta i Plaže u Uvali Stupica Mala (Otok Žirje). Master’s Thesis, University of Zagreb, Faculty of Science, Zagreb, Croatia, 2021. [Google Scholar]
- Fernández Alborés, A.; Pérez Cid, B.; Fernández Gómez, E.; Falqué López, E. Comparison between sequential extraction procedures and single extractions for metal partitioning in sewage sludge samples. Analyst 2000, 125, 1353–1357. [Google Scholar] [CrossRef]
- Hernández-Moreno, J.M.; Rodríguez-González, J.I.; Espino-Mesa, M. Evaluation of the BCR sequential extraction for trace elements in European reference volcanic soils. Eur. J. Soil Sci. 2007, 58, 419–430. [Google Scholar] [CrossRef]
- Rauret, G.; López-Sánchez, J.F.; Sahuquillo, A.; Rubio, R.; Davidson, C.; Ure, A.; Quevauviller, P. Improvement of the BCR three step sequential extraction procedure prior to the certification of new sediment and soil reference materials. J. Environ. Monit. 1999, 1, 57–61. [Google Scholar] [CrossRef]
- Pueyo, M.; Mateu, J.; Rigol, A.; Vidal, M.; López-Sánchez, J.F.; Rauret, G. Use of the modified BCR three-step sequential extraction procedure for the study of trace element dynamics in contaminated soils. Environ. Pollut. 2008, 152, 330–341. [Google Scholar] [CrossRef] [PubMed]
- Fiket, Z.; Mikac, N.; Kniewald, G. Mass Fractions of Forty-Six Major and Trace Elements, Including Rare Earth Elements, in Sediment and Soil Reference Materials Used in Environmental Studies. Geostand. Geoanalytical Res. 2016, 14, 123–135. [Google Scholar] [CrossRef]
- Trisnawati, I.; Prameswara, G.; Mulyono, P.; Prasetya, A.; Bayu Murti Petrus’, H.T. Sulfuric Acid Leaching of Heavy Rare Earth Elements (HREEs) from Indonesian Zircon Tailing. Int. J. Technol. 2020, 11, 804–816. [Google Scholar] [CrossRef]
- Tessier, A.; Campbell, P.G.C.; Bisson, M. Sequential extraction procedure for the speciation of particulate trace metals. Anal. Chem. 1979, 51, 844–851. [Google Scholar] [CrossRef]
- Croatian Geological Survey. Tumač Geološke Karte Republike Hrvatske 1:300.000; Velić, I., Vlahović, I., Eds.; Croatian Geological Survey: Zagreb, Croatia, 2009. [Google Scholar]
- Bilinski, H.; Kwokal, Ž.; Branica, M. Formation of some manganese minerals from ferromanganses factory waste disposed in the Krka River estuary. Wat. Res. 1996, 30, 495–500. [Google Scholar] [CrossRef]
- Dubinin, A.V. Geochemistry of rare earth elements in the ocean. Lithol. Miner. Resour. 2004, 39, 289–307. [Google Scholar] [CrossRef]
- European Union. Directive 2000/60/EC of the European Parliament and of the Council of 23 October 2000 Establishing a Framework for Community Action in the Field of Water Policy. Available online: https://eur-lex.europa.eu/legal-content/EN/TXT/HTML/?uri=CELEX:32000L0060&from=EN (accessed on 1 November 2021).
- European Union. Directive 2010/75/EU of the European Parliament and of the Council of 24 November 2010 on Industrial Emissions (Integrated Pollution Prevention and Control). Available online: https://eur-lex.europa.eu/LexUriServ/LexUriServ.do?uri=OJ:L:2010:334:0017:0119:en:PDF (accessed on 1 November 2021).
- Australian Government Initiative. Toxicant Default Guideline Values for Sediment Quality. Available online: https://www.waterquality.gov.au/anz-guidelines/guideline-values/default/sediment-quality-toxicants (accessed on 1 November 2021).
- Bakke, T.; Källqvist, T.; Ruus, A.; Breedveld, G.D.; Hylland, K. Development of sediment quality criteria in Norway. J. Soils Sediments 2010, 10, 172–178. [Google Scholar] [CrossRef]
- Pejman, A.; Nabi Bidhendi, G.; Ardestani, M.; Saeedi, M.; Baghvand, A. A new index for assessing heavy metals contamination in sediments: A case study. Ecol. Indic. 2015, 58, 365–373. [Google Scholar] [CrossRef]
- Cukrov, N.; Cmuk, P.; Mlakar, M.; Omanović, D. Spatial distribution of trace metals in the Krka River, Croatia: An example of the self-purification. Chemosphere 2008, 72, 1559–1566. [Google Scholar] [CrossRef] [PubMed]
- Hernroth, B.; Tassidis, H.; Baden, S.P. Immunosuppression of aquatic organisms exposed to elevated levels of manganese: From global to molecular perspective. Dev. Comp. Immunol. 2020, 104, 103536. [Google Scholar] [CrossRef]
- European Parliament. I Directive 2008/50/EC of the European Parliament and of the Council of 21 May 2008 on Ambient Air Quality and Cleaner Air for Europe. Available online: https://eur-lex.europa.eu/legal-content/EN/TXT/PDF/?uri=CELEX:02008L0050-20150918&from=DE (accessed on 1 November 2021).
- Croatian Government. Pravilnik o Praćenju Kakvoće Zraka. 2020. Available online: https://narodne-novine.nn.hr/clanci/sluzbeni/2020_06_72_1410.html (accessed on 1 November 2021).
- Zhang, X.; Tan, X.; Yi, Y.; Liu, W.; Li, C. Recovery of Manganese Ore Tailings by High-Gradient Magnetic Separation and Hydrometallurgical Method. Jom 2017, 69, 2352–2357. [Google Scholar] [CrossRef]
- Rao, G.V.; Mohapatra, B.K.; Tripathy, A.K. Enrichment of the manganese content by wet high intensity magnetic separation from Chikla manganese ore, India. Magn. Electr. Sep. 1998, 9, 69–82. [Google Scholar] [CrossRef]
- Falagán, C.; Grail, B.M.; Johnson, D.B. New approaches for extracting and recovering metals from mine tailings. Miner. Eng. 2017, 106, 71–78. [Google Scholar] [CrossRef]
- Dushyantha, N.; Batapola, N.; Ilankoon, I.M.S.K.; Rohitha, S.; Premasiri, R.; Abeysinghe, B.; Ratnayake, N.; Dissanayake, K. The story of rare earth elements (REEs): Occurrences, global distribution, genesis, geology, mineralogy and global production. Ore Geol. Rev. 2020, 122, 103521. [Google Scholar] [CrossRef]
- McLemore, V.T. Rare Earth elements (REE) deposits in New Mexico: Update. New Mex. Geol. 2015, 37, 59–69. [Google Scholar]
- Costis, S.; Mueller, K.K.; Coudert, L.; Neculita, C.M.; Reynier, N.; Blais, J.F. Recovery potential of rare earth elements from mining and industrial residues: A review and cases studies. J. Geochem. Explor. 2021, 221, 106699. [Google Scholar] [CrossRef]
- Jadrijević, A.; Bermanec, V.; Oršulić, D.; Gobac Žigovečki, Ž. Silicomanganese slag as aggregate for asphalt and concrete. Građevinar 2011, 63, 441–447. [Google Scholar]
- Hernández-Pellón, A.; Fernández-Olmo, I.; Ledoux, F.; Courcot, L.; Courcot, D. Characterization of manganese-bearing particles in the vicinities of a manganese alloy plant. Chemosphere 2017, 175, 411–424. [Google Scholar] [CrossRef] [Green Version]
- Kutchko, B.G.; Kim, A.G. Fly ash characterization by SEM-EDS. Fuel 2006, 85, 2537–2544. [Google Scholar] [CrossRef]
- Cukrov, N.; Barišić, D.; Juračić, M. Calculated sedimentation rate in the Krka River estuary using vertical distribution of 137Cs. In Proceedings of the Commission Internatinale pour l’Exploration scientifique de la Mer Mediterranee, Istanbul, Turkey, 9–13 April 2007; Volume 38, p. 81. [Google Scholar]
- Gennari, R.F.; Garcia, I.; Medina, N.H.; Silveira, M.A.G. Phosphogypsum analysis: Total content and extractable element concentration. In Proceedings of the 2011 International Nuclear Atlantic Conference—INAC 2011, Belo Horizonte, MG, Brazil, 24–28 October 2011. [Google Scholar]







| Sample | Carbonate Content |
|---|---|
| % | |
| Tailings * | 34.4 ± 0.9 |
| Tailings | 40.7 ± 0.1 |
| Dust | 7.72 ± 1.00 |
| MMART0-3 * | 77.9 ± 0.9 |
| MMART0-3 | 66.0 ± 1.0 |
| MMART5 * | 94.5 ± 2.3 |
| MMART5 | 71.4 ± 0.02 |
Publisher’s Note: MDPI stays neutral with regard to jurisdictional claims in published maps and institutional affiliations. |
© 2021 by the authors. Licensee MDPI, Basel, Switzerland. This article is an open access article distributed under the terms and conditions of the Creative Commons Attribution (CC BY) license (https://creativecommons.org/licenses/by/4.0/).
Share and Cite
Huljek, L.; Strmić Palinkaš, S.; Fiket, Ž.; Fajković, H. Environmental Aspects of Historical Ferromanganese Tailings in the Šibenik Bay, Croatia. Water 2021, 13, 3123. https://doi.org/10.3390/w13213123
Huljek L, Strmić Palinkaš S, Fiket Ž, Fajković H. Environmental Aspects of Historical Ferromanganese Tailings in the Šibenik Bay, Croatia. Water. 2021; 13(21):3123. https://doi.org/10.3390/w13213123
Chicago/Turabian StyleHuljek, Laura, Sabina Strmić Palinkaš, Željka Fiket, and Hana Fajković. 2021. "Environmental Aspects of Historical Ferromanganese Tailings in the Šibenik Bay, Croatia" Water 13, no. 21: 3123. https://doi.org/10.3390/w13213123
APA StyleHuljek, L., Strmić Palinkaš, S., Fiket, Ž., & Fajković, H. (2021). Environmental Aspects of Historical Ferromanganese Tailings in the Šibenik Bay, Croatia. Water, 13(21), 3123. https://doi.org/10.3390/w13213123

