Abstract
In this work, we present the results of element content in river sediments and soil of the Rangárvellir river in southern Iceland as well as in the volcano ash from the Eyjafjallajökull eruption in 2010. Severe natural catastrophes have devastating impact on the environment. We selected the Rangárvellir area located in the vicinity of Mt Hekla, Iceland’s most active volcano, for our study. This study site is ideal to investigate wind and water erosion and sediment transport processes of two main glaciers rivers: the Eystri-Rangá and the Ytri-Rangá and the Hroarslækur River. Sediments of these rivers consist of volcano materials, ash and lava. In order to assess the sediment dynamics, we collected sediment, soil and volcanic ash. The fractioning of the elements was carried out using sequential extractions. The distribution of Si indicates that the sediments originate from the same geochemical basis. Li and partly B exist in the first phase of volcanic ash and river sediments but not in the mobile phases of soils. In the mobile phase of volcanic ash, P was found but it did not exist in the first phase of soil and sediments. These results suggest the different chemical fingerprints in the water sediments and surrounding soil.
1. Introduction
The origin of all Icelandic soils is volcanic with the largest area of Andosols in Europe, and >5% on the global level. Icelandic soils consisting mostly of volcanic glass are a mixture of tephra layers and eolian sediments. Because of the eolian deposition of andic materials content of C is higher than 20%. The allophane contents are up to 30%, ferrihydrite 5–15% of the soil and the contents of organic C are increasing due to both allophane and ferrihydrite decrease, but the Vitrisols as a desert soil characterised by low organic content [1] while the contents of Histosols is only 1% of Iceland [2]. Over 20,000 km2 of Iceland area is covered by sandy deserts consisting of volcanic materials where basaltic volcanic glass dominates. Severe wind erosion spread dust over wide areas of Iceland [3].
The chemical fingerprints of volcanic material show that TiO2, Al2O3 and Fe2O3 and MnO are the least mobile species while the mobile base cations MgO, CaO and Na2O are a result of chemical weathering during pedogenesis [4].
Knowledge of sediments dynamics process is still poor [5]. In recent years, some models of sediment transport have developed [6,7] and researchers’ attention to this problem has increased [8,9]. Dynamics of sediments transport helps to understand the land degradation processes [10,11,12] as well as nutrient redistribution [13]. Rivers are the prime carrier of sedimentary materials from continents to the ocean [14]. Sediments are the most important sink or source of heavy metals originating from natural or anthropogenic sources [15].
Tracers are recognised as useful tools to obtain spatially distributed soil erosion data and the relationships among soil detachment, transportation and deposition [16]. Many tracers are already used [5,17,18,19,20,21], however, each type of these tracers has its own limitation [22,23,24]. Ideal tracers are expected to provide highly contrasting values and be analysed efficiently and acquired cost-effectively [25].
The application of statistical methods on real data sets [26] can be suitable for the investigation of migration roads in sediments dynamic process.
The objectives of this study are to utilise the chemical forms of the elements Al, As, B, Ba, Be, Bi, C, Ca, Cd, Co, Cr, Cu, Fe, H, K, Li, Mg, Mn, N, Na, Ni, P, Pb, S, Sb, Si, Sr, V and Zn in river sediments in the river basins of south Icelandic area. Chemical characterisations of Icelandic soil has been described thoroughly [4,27], but fractioning of chemical elements present therein has never been done before. For this purpose, we selected a study area in southern Iceland named Rangárvellir. Rangárvellir is located in the vicinity of Mt Hekla, Iceland’s most active volcano, periodically supplying the area with volcanic ash. Accordingly, naturally occurring erosion processes are frequent and intense, making this study site ideal for our objectives. This method is suitable for the investigated area taking into account that anthropogenic contributions of the investigated elements are minimised or even do not exist.
Olafur et al. investigated carbon accumulation during the early stages of ecological restoration of a desertified area in Iceland and they found rapid carbon accumulation in sandy deserts following the onset of restoration efforts. Low initial carbon levels, andic soil properties and low temperatures are the most likely factors explaining the rapid carbon accumulation [28].
Volcanic eruptions release unstable sediments. Icelandic desert surfaces are divided into sand fields, sandy lavas and sandy lag gravel, each with separate Aeolian surface characteristics [29].
2. Materials and Methods
2.1. Subsection
Iceland is a volcanic island in the North Atlantic Ocean. It covers 103,000 km2 with approximately 12,000 km2 covered with glaciers [27]. The Rangárvellir area extends from the highlands between the ice caps of Hofsjökull and Vatnajökull, to the southern coast of Iceland. Almost the entirety of Rangárvellir is drained by two rivers, the Ytri Rangá in the west and the Eystri Rangá in the east (Figure 1). Spring-fed creeks, like the Hróarslækur located between the watersheds of Ytri- and Eystri Rangá, indicate that much of the rainfall infiltrates into the lava fields and emerges downstream at various water springs. The two main towns, Hella and Hvolsvöllur, accommodate a population of approximately ~1600 inhabitants. Mt. Hekla, one of Iceland’s most active volcanos which have erupted 23 times since the first settlements in 874 AD, lies near the geographic centre of Rangárvellir. Most of the eruptions were spatially limited to the mountain area itself; however, some fissure eruptions produced large-scale lava fields with significant tephra outfall [30]. Consequently, numerous lava fields of various ages have been identified around Mt Hekla, covering the entire northeastern part of the municipality [31]. In the 1950s over two-thirds of the area was almost completely barren, revealing only sandy and unvegetated landscapes [32].
Figure 1.
Rangárvellir study area. Black numbers indicate the location of collected sediment samples, white numbers indicate soil sampling location and the red number in the inlet map locates the ash sampling location (see Table 1 for further details).
Regardless of the severe degradation, frequent volcanic eruptions and harsh climatic conditions, the Rangárvellir area always remained inhabited. At the beginning of the 20th century, restoration projects were established throughout the area. Since then, continuous restoration efforts and numerous research projects have been carried out and today vegetation has been restored on large parts of the areas [32]. Striking examples of the drastic changes between the 1940s and today are the pictures of the farmstead Gunnarsholt. While most areas have been seeded and are dominated by grass, some areas represent the original birch or willow woodland, e.g., the vicinity of the spring of the Hróarslækur which was used as a drinking water source and has been protected from grazing.
2.2. Sampling Sites
We focused our analysis of heavy metals in soil and river sediment on the Rangárvellir area in southern Iceland. Sediment samples from the watershed of the three rivers, Ytri Rangá, Eystri Rangá and the Hroarslækur River, have been collected along a total length of 60 km (Figure 1, Table 1).
Table 1.
Location of samples collected in the Rangárvellir area.
Samples were collected so that the sources, the central parts of the stream and the mouth of these rivers were included. Furthermore, samples of river sediments and soil were taken from the Thvera (Þvera) River, the downstream river into which all three upstream rivers enter. Moreover, for comparison, a sample of primary ash from the 2010 eruption of the volcano Eyjafjallajökull was taken for chemical analysis.
The soil sample was taken using a soil corer. The core sample is 10 cm in length. Each soil sample was taken at a distance of 5 m from the riverbank, at the location where the river sediment was taken. The samples of surface river sediments were collected by a plastic scoop. A sample of volcanic ash was obtained from colleagues from Iceland. The whole sediment and soil sample were used for analysis. Only pebbles were removed from the samples. Sediment is collected and then homogenised by mixing the sample using a plastic spoon.
A total of 23 individual samples of river sediments and 9 composite soil samples were collected from the investigated area, and 1 sample of volcanic ash was obtained, as shown in Table 1. In the collected samples the following elements were analysed: Al, As, B, Ba, Be, Bi, C, Ca, Cd, Co, Cr, Cu, Fe, H, K, Li, Mg, Mn, N, Na, Ni, P, Pb, S, Sb, Si, Sr, V and Zn.
2.3. Determination of Element Concentrations and Quality Control
Sediments and soils were sequentially extracted according to the three-step sequential extraction procedure proposed by the Community Bureau of Reference (BCR) [33,34,35,36]. A description of this procedure is given below, and it is as follows:
- Step 1
- (Fraction soluble in acid—metals exchangeable or associated with carbonates): About 1 g of each sample was added to 40 mL of a 0.11 mol L−1 acetic acid solution, with agitation for 16 h at 22 °C. The extract was separated from the solid phase by centrifugation at 3000 rpm for 20 min, and the supernatant was stored for later analysis.
- Step 2
- (Reducible fraction—metals associated with oxides of Fe and Mn): Residue from Stage 1 was added to 40 mL of a 0.5 mol L−1 acid hydroxyl ammonium chloride solution (pH 1.5). The suspension was then agitated for 16 h at 22 °C. The extract was separated from the solid phase by centrifugation, as described in Stage 1.
- Step 3
- (Oxidizable fraction—metals associated with organic matter and sulphides): Residue from Stage 2 was added to 10 mL of 8.8 mol L−1 H2O2 solution (pH 2–3), and the mixture was left at room temperature for 1 h. It was then heated to 85 °C for 1 h in a water bath, until the volume was reduced to 2–3 mL. Another 10 mL portion of 8.8 mol L−1 H2O2 solution was added, and the mixture was heated to dryness at 85 °C for 1 h. After cooling, 50 mL of a 1.0 mol L−1 solution of ammonium acetate (pH 2) was added to the residue, followed by agitation for 16 h at 22 °C. The extract was separated from the solid phase by centrifugation, as above.
After the first three extraction steps, the extract was separated from solid residue by centrifugation at 3000× g for 10 min, supernatant decanted, diluted to 50 mL with 1M HNO3 and stored in a polyethylene bottle at 4 °C until metal analysis. The residue was washed with 20 mL deionized water and shaken for 15 min, followed by centrifugation for 10 min at 3000× g. The supernatant was decanted and discarded, acting cautiously not to discard any solid residues. In this way, the residue was prepared for the next BCR step [35].
- Step 4
- (Residual fraction—metals strongly associated with the crystalline structure of minerals): The Stage 3 residue was digested using a mixture of the acids (8 mL aqua regia, 3:1, v/v, HCl to HNO3) on water bath for 1 h at 85 °C, until the volume was reduced to 2–3 mL. Another 8 mL portion of aqua regia was added, and the mixture was heated to dryness at 85 °C for 1 h. The final residue was dissolved in 1M HNO3 and diluted to 50 mL and stored in a polyethylene bottle at 4 °C until metal analysis. Digestion of the residual material is not specified in the BCR protocol.
The inductively coupled plasma optical emission spectroscope (ICP/OES) iCAP-6500 Duo was used to determine the element concentrations. Certified reference material (BCR 701) was used for determination of the accuracy and precision of the obtained results. During all steps of the sequential extraction the acceptable accuracy of 80% up to 120% and sought precision of at most 20% for the metal concentrations is achieved. The total amount of elements in this paper is defined as the amounts extracted during sequential extraction [37]. The CHNS contents were estimated with the Vario EL III C, H, N, S/O elemental analyser (Elementar, Langenselbold, Germany).
2.4. Statistical Analyses
The application of statistical methods on real data sets [26] can be suitable for the investigation of migration roads in sediments dynamic process. Within the frames of the research presented in this study the descriptive data analyses of mean, median, standard deviation, maximum and minimum concentrations, PCA (principal component analysis) and CA (cluster analysis) were performed. PCA and CA were used in order to obtain information about the relationships and behaviour of the elements. PCA is used to explain the variances observed in the data and to understand the relationship between the different parameters. The rotation of the principal component was carried out by the Varimax normalised method. The Varimax rotation was performed to secure increased principal components of chemical/environmental significance.
Cluster analysis is defined as a general logical technique, procedure, which allows clustering variable objects into groups-clusters on the basis of similarity or dissimilarity. Cluster analysis involves computational procedures, whose purpose is to reduce a set of data on several relatively homogenous groups-clusters, while the condition of reduction is maximal and simultaneously minimal similarity of clusters. In this manuscript Hierarchical cluster analysis is applied. This is a clustering method that explores the organisation of samples in groups and among groups depicting a hierarchy.
The statistical analysis was done using IBM SPSS software, (IBM Corp., Armonk, NY, USA), version 21.0.
3. Results and Discussion
3.1. Total Contents of Elements in River Sediments and in Soil Samples
Descriptive statistics including mean, G mean, H mean, median, min, max, 10th percentile (10th P), 25th percentile (25th P), 75th percentile (75th P), 90th percentile (90th P) and standard deviation (SD) for total element content were present in Table 2. In general, the mean content of the examined elements in the soil is higher than in river sediments.
Table 2.
Descriptive statistics—river sediments and soils [mg kg−1].
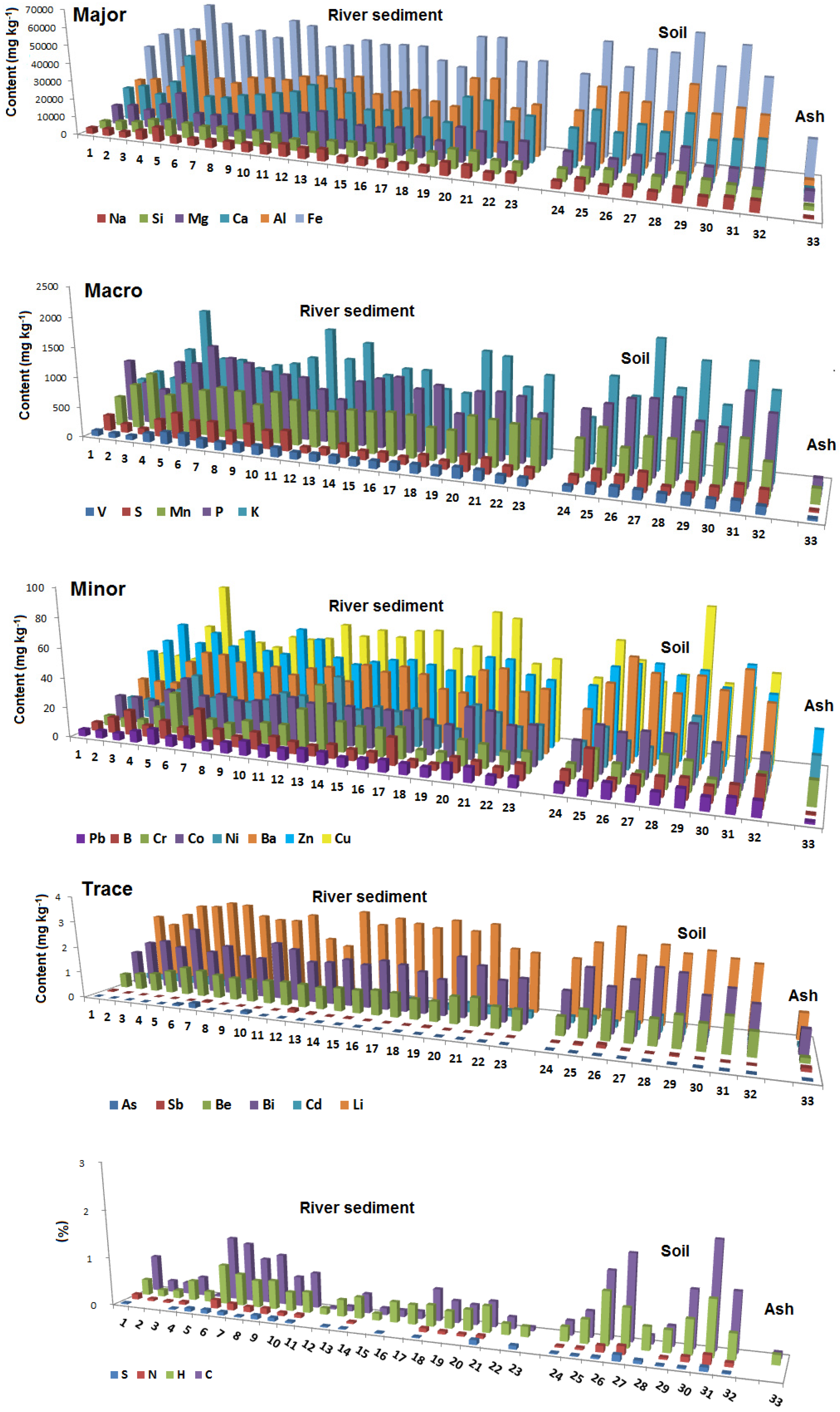
The values of total element contents in the studied river sediments and soils are shown in Figure 2. The investigated elements were divided into four groups depending on their content in soil and river sediments (Figure 2). The most abundant elements, ranging from about 0.5% to about 5% of the average content, are identified as major elements. These major elements are: Al with 2.89% in river sediment and 3.43% in soil, Fe; 5.14% and 5.51% in river sediment and soil respectively; Ca, 2.34% and 2.42% in river sediment and soil respectively; Mg, 1.41% and 1.35% in river sediment and soil respectively; Si, 0.77% and 0.78% in river sediment and soil respectively; and Na, 0.48% and 0.51% in river sediment and soil respectively. The second group of elements are identified as macro elements, with an average content ranging between 0.01% and 0.10%. The macro elements include K (0.12% and 0.14% in river sediment and soil respectively), P (0.10% and 0.11% in river sediment and soil respectively), Mn (with about 0.07% in river sediment and soil), S (0.02% in river sediment and soil) and V (0.01% in river sediment and soil).
Figure 2.
Level of concentrations of investigated element in river sediments and soil at different locations indicated on the Y-axis.
The third group of elements are minor elements with an average content of only a few ppm and include B, Ba, Co, Cr, Cu, Ni, Pb and Zn. The fourth group of elements consists of trace elements with only of few ppm (Li, Bi and Be) i.e., parts of ppm (As and Sb). Figure 2 also illustrates the results of the elemental analyses for C, H, N and S expressed in % values. Values of S and N are lower than 1% and some samples of river sediments lack S and N entirely, such as in the upper and middle parts of the Ytri and Eystri Rangá rivers and along the whole stream of the River Hroarslækur while both S and N in all samples of soil were present. Higher values of C and H are found in all investigated samples; H in the range of 0.5–1.0% while the content of C in some samples of soil had values over 2%. Soils release organic matter (OM) which is not significantly different from one soil to another [38]. About half of the eroded organic carbon oxidizes and releases to the atmosphere [39].
We calculated the Al/Fe ratios (elements with stable chemical forms) of river sediments and soil samples (Figure 3) [40,41]. The same ratios were calculated for the primary volcanic ash. Similar ratios of river sediments, soil and volcanic ash for the other elements (P/Al, Fe/Al, Mn/Al, Si/Al and Mg/Al) are illustrated in Figure 3. The results indicate that in volcano ash the aforementioned ratios are significantly higher than those in river sediments and soil while ratios K/Al and Ca/Fe found in volcano ash are lower than those in river sediments and soil.
Figure 3.
Characteristic ratios of sediment soil and volcanic ash samples.
In crustal material from Iceland the (Ca + Mg)/Fe ratio ranged from 0.5 to 1.0 with one outlier of 1.5 in river sediment and in volcano ash was around 0.3 while 0.03 < K/Al < 0.06 and Na/Al < 0.2 respectively.
The Fe/Al ratios in our sediment and soil samples are between 1.0 and 3.0 and in volcanic ash is around 7.0. The ratio Mn/Al in investigated samples is low and its value is about 0.03 and in some samples of river sediments it was approximately 0.06 while in volcano ash it was near 0.08. The ratio of P/Al does not exceed 0.1 [40,41] and our results have shown the range of 0.06 in river sediments and soil and 0.09 in volcano ash.
3.2. Statistical Analyses
3.2.1. Significant Correlations among Elements in the River Sediments and Soil
Correlations between elements in river sediments (Table S1) and in the soil (Table S2) are significant as illustrated in Figure 4. In particular, B and P are strongly correlated with each other but not with any other element in soil (Tables S1 and S2), indicating complex chemical interactions among elements in water/sediment system forming stable associations (B with Mn and Zn and P with Ba, Be, Li, V, C and H). Leaching of easily soluble fractions of metals in soil and sediments and their re-adsorbtion processes in physico-chemical interaction with sediment particles affect their redistribution in river sediments.
Figure 4.
The most significant bi-variant correlations among elements in river sediments and soil.
On the other hand, C—N correlation in soil (r = 0.981 and p = 0.01) is the strongest correlation taking into account all the existing correlations both in river sediments and soil indicating organic matter of animal origin. In general, correlations among C, H and N are better in soil compared to river sediments (Tables S1 and S2, Figure 4).
3.2.2. Principal Component Analyses of Heavy Metals and Trace Elements in River Sediments and Soil
The element contents in river sediments and soil were analysed by principal component analyses (PCA) using the SPSS software. Before applying the PCA model, the suitability of the data for factor analysis was assessed but the model did not provide a solution for any of the two investigated data sets, because of a large number of variables. For this reason, we divided the total data set into sub-data sets representing major, macro, minor and trace elements. The solutions for KMO (Kaiser–Meyer–Olkin) indicator which exceed the minimum recommended value of 0.6, and for Bartlett’s spherical test that reached high statistical significance (p < 0.001), indicate the convenience of correlation matrices for PCA analysis were taken into account. By analysing the main components, the Varimax-rotated factors for Eigenvalues above 1 were considered (Table 3).
Table 3.
Varimax-rotated factors for Eigenvalues (Ev) > 1.
Major elements in river sediments and in soil were grouped in only one factor (PCA1) with the eigenvalues of Ev = 4.80 and 4.56 and variance σ2 = 80.0 and 75.9 as total contribution to their contents in river sediments and soil respectively, indicating domination of their origin that is volcanic material. Macroelements in the sub-data set of river sediments were grouped in two factors; the first one (PCA1) with V, S, Mn and K (Ev = 2.57 and σ2 = 48.64) and the second one (PCA2) with P and K (Ev = 1.00 and σ2 = 22.81) but in sub-data set for soil these elements are still in one factor (Ev = 2.97 and σ2 = 59.44). The occurrence of K and P in river sediments indicates their leaching from the soil (P in total and K partial) and accumulation in sediments particles. More minor elements (B, Cu, Cr, Ni) for sub-data set of soil are in the second factor than in river sediments (B, Zn) indicating stronger geochemical structures of these elements, such as crystalline of Fe-Mn substrates or alumosilicates, which do not allow their easy leaching and migrating in the water/soil/sediment interaction. PCA analysis for sub-data sets of trace elements gave the results for river sediments but not for soil. Trace elements in river sediments are grouped in three factors where one predominantly contains Be, Bi and Cd, the second is characterised by Li—Sb association and the third by As—Li association. One of the reasons why trace elements are not grouped in the soil may be the fact that soil formation takes place after volcanic activity during which complex geochemical processes occur. Elements in river sediments are grouped in accordance with their similar behaviour.
3.2.3. Cluster Analyses in Q Mode of Heavy Metals and Trace Elements in River Sediments and Soil
A cluster analysis (CA) in Q mode, which represents cases that are locations in our research, was performed separately; for river sediments dataset and for soils dataset. The results are reported in Figure 5. More significant associations show the lower value is on the axis [42]. The clusters of strongest associations are grouped in the first stages.
Figure 5.
Cluster analyses in Q mode of heavy metals and trace elements in river sediments and soil.
CA analyses (Figure 5) applied on the cumulative data set for river sediments shows the dendrogram with several strong associations, among locations. The first agglomeration with the strongest association forms in the locations of Ytri Rangá (sample 3 at its mouth) and middle of the Þvera River (Figure 1 and Figure 5 and Table 1) indicating their similarity in the chemical pattern of elements. Both Ytri Rangá and Þvera River form Holsa River.
The second strong association is that of the Ytri Rangá at its mouth (sample 1) and the middle of the Eystri Rangá (sample 3) (Figure 1 and Figure 5 and Table 1). The Eystri Rangá is the tributary of the Þvera River which flows into the mouth of the Ytri Rangá.
The third strong association is formed by the Ytri Rangá (before the mouth of the Þvera River), the Eystri Rangá (middle sample 2) and both samples at the source of the Hroarslækur River (Figure 1 and Figure 5 and Table 1). The source of the Hroarslækur River is in the volcano area and between the Ytri Rangá and the Eystri Rangá. It is not possible to exchange sediments among these three rivers in this area, but spreading of volcanic material from Hekla shows the similarity in the chemical pattern of elements at these locations.
The fourth strong association is that of the Ytri Rangá (sample 2 from the middle and sample 2 from the mouth) and the Eystri Rangá (sample 1 from the middle). As in the previous case, the similarity in the chemical pattern of elements at these locations is caused by volcanic material from Hekla.
The most significant result of CA in Q mode is the association of the Ytri Rangá (samples 1 and 2 from the source) and the Holsa River near their mouth in the Atlantic Ocean, pointing to a direct connection between the chemical pattern of elements in the river sediments of theYtri Rangá at their source and the Holsa River near their mouth. The distance of these two locations is more than 50 km, but in the sediments transport process, the sediment material from the Ytri Rangá source has a significant influence on the Holsa River near their mouth in the Atlantic Ocean.
A cluster analysis (CA) in Q mode applied on soil dataset has shown two associations (Figure 5): The first is the Ytri Rangá (mouth), the Eystri Rangá (middle and middle before Hungurfit) and the Holsa River near their mouth in the Atlantic Ocean; and the second association consists of the Ytri Rangá (source and middle) and the Hroarslækur River (at source and before the mouth of the Ytri Rangá) indicating the similarity in two chemical patterns of the elements in the soil of the investigated region (Figure 1 and Figure 5, Table 1).
3.3. Fractionation of Elements in River Sediments Soils and Volcano Ash
The distributions of element contents by fractions are given in Figures S1–S4 and Table S3 (results are presented in the form of mean, max and min). Sequential extraction performed in this manuscript includes a three-step BCR procedure: the first step—acid soluble fraction (extraction with acetic acid solution); the second step—reducible fraction (extraction with hydroxyl ammonium chloride solution); the third step—oxidizable fraction (extraction with hydrogen peroxide solution); and additional, the fourth step, digestion of the residual material (extraction with aqua regia).
It is possible to notice that there are no significant differences in the distribution of elements in the fractions among the studied sediment and soil from the investigated region of Iceland. The elements in soils and sediments associated with the different fractions and results indicated that Al, B, Ba, Be, Ca, Co, Cr, Cu, Fe, K, Li, Mg, Mn, Na, Ni, P, Pb, Sr, V and Zn are significantly extracted in the fourth as a dominant and second fractions; for some of the elements, higher content was extracted in the third, and for some of the elements, the first fraction was significant. Cd from soils and sediments was dominantly extracted in the fourth fractions and lower content was extracted in the first and third. Sulphur is dominantly extracted in the fourth and third fractions and Si in the second and third. For most of the elements determined, the relevant bonding phase is a residual one, comprised of crystal forms of iron oxides (e.g., magnetite, hematite) and aluminosilicates. This observation indicates a dominant geochemical origin for most of the elements.
Fractionation of Cd, Co, Cr, Cu, Fe, Mn, Ni, Pb, Zn and V showed that the major portion of these elements was extracted in the residual fractions (>50% of extracted elements). Elements bound to residual fraction are ‘unreactive’. Elements bound to reducible Mn and amorphous/crystalline Fe oxides, extracted in the second fraction (mainly Co, Cr, Cu, Ni, Pb and Zn ≈ 20% of extracted content) can eventually become available under redox conditions. The results of fractionation suggest that only Mn extracted > 10% in the first fraction from sediments (mean value 14%). There was a possibility that Mn2+ in sediments precipitates as MnCO3.
Al, Fe, Mg, K, Si, Ca, Na, Sr, B, Ba and Be are dominantly lithogenous in origin. Contents of these elements are mainly controlled by continental weathering. Sulphur content is attributed to natural abundance, and also may be due to decomposition of organic matter. Significant sulphur extraction in the oxidizable fraction indicated that sulphur in studied soils and sediments is mainly present in the form of sulphides and organic matter. A negligible percentage of Mg and Ca extracted in the labile fractions indicates that these elements in the studied soil sediments do not originate from carbonates, but they are mostly of the aluminosilicate origin. In general, given the low content of the elements extracted in the first fraction, it can be assumed that studied soils and sediment from Iceland do not contain a significant proportion of carbonates. In addition to the oxides and aluminosilicates, which are important substrates of researched elements, organic matter and sulphides bound some of B, Cu, Si, Zn, Pb and Ni (5–21%).
In addition to determining distribution of toxic and potentially toxic elements, behaviour of matrix components was also observed. Results of fractionated elements were grouped according to the distributions and similarities of their chemical forms, so alkaline, alkaline earth, heavy metals and trace elements have similar percentage distributions in their chemical forms, respectively. Minor deviations come from smaller variations of their percentage shares primarily in river sediments and soil, but some elements show significant difference in percentage distributions of chemical forms of some elements in volcano ash. For example, crystalline form of K in volcano ash is lower than in river sediments and soil, but carbonate and organic-sulphides forms are higher. A similar distribution is also found for Na. Li shows absence of organic or sulphides form in all investigated crustal material. The percentage share of carbonate form for Ba is higher in volcanic ash than in river sediments and soil and contrary for Be. All contents of Bi in all samples are in crystalline form while almost all content of V is in crystalline form and a negligible part is associated to Fe-Mn stable oxide substrate. Mostly, the deviation from the main scheme is in volcano ash.
Arsenic was found only in three samples. All three samples (Table 1) are river sediments from the Ytri Rangá–middle (samples 1 and 2) and mouth (sample 2). Quantity of measured As is associated with organic or sulphides substrates. As and S may form very insoluble compounds, such as arsenopyrite [43]. Further impact of As to their contents in river sediments of other locations is not registered due to their extremely low contents in the river sediment.
The chemical forms for B have various distributions depending on the location. A higher percentage share of B in organic form is found in samples of river sediments and soil in the middle both in Ytri Rangá and the Eystri Rangá (Table 1). Some samples from Hungurfit and upper parts of the Eystri Rangá have only two chemical structures (Fe-Mn substrates and crystalline forms) and some in the middle of the Ytri Rangá have a significant share of carbonate form but in spring the carbonate form is missing.
All contents of B in volcano ash are in a strong crystalline structure. Interesting distribution of chemical forms shows P. None of the samples of river sediment and soil show carbonate form of P but almost 50% of P in volcano ash is in carbonate form. As with arsenic, Sb is not found in all samples and in some samples total content of Sb is in an organic substrate and in others it is in carbonate form. Total content of Sb was also very low.
4. Conclusions
In this work, we proposed chemical fingerprints approach with elements that already exist in soil and sediments when other approaches fail. We found that Al, Fe, Ca, Mg, Si and Na in investigated area are dominating. Much better correlations among heavy metals and trace elements were found in samples from river sediments indicating higher connectivity and suggesting stronger associations in sediments substrate indicating sediments dynamics and water/sediments physicochemical interactions as key processes. On the other hand, correlations among C, N and H were much better in soil. PCA analyses show that major elements originate only from one source, both in river sediments and soil while more factors were found among macro, minor and trace elements in river sediments as a consequence of the sediments dynamics and water/sediments interactions which connect them according to their physico-chemical properties. Characteristic ratios K/Al, Ca/Fe, P/Al, Fe/Al, Mn/Al, Si/Al and Mg/Al indicate that Fe/Al ratio is significantly higher than those found in African regions. Si/Al and Ca/Al ratios are significantly lower, but Mg/Al and P/Al are in the range found in African regions. The chemical patterns of investigated elements combined with CA statistical method have shown the strong influence of sediments that are transported from the source of the Ytri Rangá to the estuary in the Atlantic Ocean, more than 50 km away. These results suggest that chemical forms of the elements As, B, Cd, P, Sb etc., could be used as tracers for tracking sediment transport. Since each type of the naturally abundant tracer elements analysed in this study reveals the specific characteristic of sediments migration we conclude that our approach of chemical fingerprinting is a suitable method to identify sediment transport patterns and sediment connectivity.
Supplementary Materials
The following are available online at https://www.mdpi.com/article/10.3390/w13141928/s1. Figure S1: Distribution of elements (K, Li and Na) by fractions. Figure S2: Distribution of elements (Al, Bi, Co, Fe, Ni, Si, V, Zn) by fractions. Figure S3: Distribution of elements (As, B, Cd, Cr, Cu, Mn, P, Pb, S and Sb) by fractions. Figure S4: Distribution of elements (Ba, Be, Ca, Mg and Sr) by fractions. Table S1: Interelement correlation coefficients for the river sediment samples. Table S2: Interelement correlation coefficients for the soil samples. Table S3: Element contents in sediments and soils extracted using the BCR protocol.
Author Contributions
Conceptualisation, D.Đ.; methodology, D.Đ., S.S. and D.C.F.; sampling, D.Đ.; investigations, D.Đ. and S.S.; formal analysis, S.S., S.T. and S.Š.; writing—original draft preparation, D.Đ., S.S. and D.C.F.; writing—review and editing, D.Đ., S.S., S.T., D.Đ., S.Š. and D.C.F. All authors have read and agreed to the published version of the manuscript.
Funding
Please add: This study was funded by COST Action ES1306—Connecteur through a STSM (COST STSM Reference Number: COST-STSM-ES1306-34336, Grant holder Dragana Đorđević) and by the Ministry of Education, Science and Technological Development (project: ON172001 and Grant No: 451-03-9/2021-14/200026).
Institutional Review Board Statement
Not applicable.
Informed Consent Statement
Not applicable.
Data Availability Statement
The data presented in this study are available on request from the corresponding author.
Acknowledgments
The authors are also very grateful to the Soil Conservation Service of Iceland for field work support and for sample of primary ash from the 2010 eruption of the volcano Eyjafjallajökull, especially to Guðmundur Halldórsson for all the selfless help and to Þórunn Pétursdóttir.
Conflicts of Interest
The authors declare no conflict of interest.
References
- Arnalds, O. Volcanic soils of Iceland. Catena 2004, 56, 3–20. [Google Scholar] [CrossRef]
- Arnalds, O.; Gretarsson, E. Soil Map of Iceland, 2nd ed.; Agricultural Research Institute: Reykjavik, Iceland, 2011; Available online: www.rala.is/desert (accessed on 4 March 2021).
- Arnalds, O.; Gisladottir, F.O.; Orradottir, B. Determination of Aeolian transport rates of volcanic soil in Iceland. Geomorphology 2012, 167–168, 4–12. [Google Scholar] [CrossRef]
- Óskarsson, B.V.; Riishuus, M.S.; Arnalds, Ó. Climate-dependent chemical weathering of volcanic soils in Iceland. Geoderma 2012, 189–190, 635–651. [Google Scholar] [CrossRef]
- Bosnic, I.; Cascalho, J.; Taborda, R.; Drago, T.; Hermínio, J.; Rosa, M.; Dias, J.; Garel, E. Nearshore sediment transport: Coupling sand tracer dynamics with oceanographic forcing. Mar. Geol. 2017, 385, 293–303. [Google Scholar] [CrossRef]
- Viparelli, E.J.; Lauer, W.; Belmont, P.; Parker, G. A numerical model to develop long-term sediment budgets using isotopic sediment fingerprints. Comput. Geosci. 2013, 53, 114–122. [Google Scholar] [CrossRef]
- Shen, X.; Lampert, D.; Ogle, S.; Reible, D. A software tool for simulating contaminant transport and remedial effectiveness in sediment environments. Environ. Model. Softw. 2018, 109, 104–113. [Google Scholar] [CrossRef]
- Abril, J.M.; San Miguel, E.G.; Ruiz-Canovas, C.; Casas-Ruiz, M.; Bolívar, J.P. From floodplain to aquatic sediments: Radiogeochronological fingerprints in a sediment core from the mining impacted Sancho Reservoir (SW Spain). Sci. Total Environ. 2018, 631–632, 866–878. [Google Scholar] [CrossRef]
- Zang, Z.; Xue, Z.G.; Bao, S.; Chen, Q.; Walker, N.D.; Haag, A.S.; Ge, Q.; Yao, Z. Numerical study of sediment dynamics during hurricane Gustav. Ocean. Model. 2018, 126, 29–42. [Google Scholar] [CrossRef]
- Buendia, C.; Vericat, D.; Batalla, R.J.; Gibbins, C.N. Temporal Dynamics of Sediment Transport and Transient In-channel Storage in a Highly Erodible Catchment. Land Degrad. Dev. 2016, 27, 1045–1063. [Google Scholar] [CrossRef]
- Lang, K.A.; Ehlers, T.A.; Kamp, P.J.J.; Ring, U. Sediment storage in the Southern Alps of New Zealand: New observations from tracer thermochronology. Earth Planet. Sci. Lett. 2018, 493, 140–149. [Google Scholar] [CrossRef]
- Zhang, X.C.; Nearing, M.A.; Garbrecht, J.D. Gaining insights into interrill erosion processes using rare earth element tracers. Geoderma 2017, 299, 63–72. [Google Scholar] [CrossRef]
- Michaelides, K.; Lister, D.; Wainwright, J.; Parsons, A.J. Linking runoff and erosion dynamics to nutrient fluxes in a degrading dryland landscape. J. Geophys. 2012, 117, G00N15. [Google Scholar] [CrossRef]
- Shruti, V.C.; Jonathan, M.P.; Rodríguez-Espinosa, P.F.; Nagarajan, R.; Escobedo-Urias, D.C.; Morales-García, S.S.; Martínez-Tavera, E. Geochemical characteristics of stream sediments from an urban-volcanic zone, Central Mexico: Natural and man-made inputs. Chem. Erde Geochem. 2017, 77, 303–321. [Google Scholar] [CrossRef]
- Silva, Y.J.A.B.; Cantalice, J.R.B.; Nascimento, C.W.A.; Singh, V.P.; Silva, Y.J.A.B.; Silva, C.M.C.A.C.; Silva, M.O.; Guerra, S.M.S. Bedload as an indicator of heavy metal contamination in a Brazilian anthropized watershed. Catena 2017, 153, 106–113. [Google Scholar] [CrossRef]
- Zapata, F. The use of environmental radionuclides as tracers in soil erosion and sedimentation investigations: Recent advances and future developments. Soil Till Res. 2003, 69, 3–13. [Google Scholar] [CrossRef]
- Liu, P.; Tian, J.; Zhou, P.; Yang, M.; Shi, H. Stable rare earth element tracers to evaluate soil erosion. Soil Till Res. 2004, 76, 147–155. [Google Scholar] [CrossRef]
- Matisoff, G. 210Pb as a tracer of soil erosion, sediment source area identification and particle transport in the terrestrial environment. J. Environ. Radioact 2014, 138, 343–354. [Google Scholar] [CrossRef] [PubMed]
- Mabit, L.; Benmansour, M.; Abril, J.M.; Walling, D.E.; Meusburger, K.; Iurian, A.R.; Bernard, C.; Tarján, S.; Owens, P.N.; Blake, W.H.; et al. Fallout 210Pb as a soil and sediment tracer in catchment sediment budget investigations: A review. Earth-Sci. Rev. 2014, 138, 335–351. [Google Scholar] [CrossRef]
- Ventura, E.; Nearing, M.A.; Norton, L.D. Developing a magnetic tracer to study soil erosion. Catena 2001, 43, 277–291. [Google Scholar] [CrossRef]
- Ventura, E.; Nearing, M.A.; Amore, E.; Norton, L.D. The study of detachment and deposition on a hillslope using a magnetic tracer. Catena 2002, 48, 149–161. [Google Scholar] [CrossRef]
- Guzmán, G.; Barrón, V.; Gómez, J.A. Evaluation of magnetic iron oxides as sediment tracers in water erosion experiments. Catena 2010, 82, 126–133. [Google Scholar] [CrossRef]
- Guzmán, G.; Vanderlindenb, K.; Giráldezc, J.; Gómezd, J. Assessment of spatial variability in water erosion rates in an olive orchard at plot scale using a magnetic iron oxide tracer. Soil Sci. Soc. Am. J. 2013, 77, 350–361. [Google Scholar] [CrossRef]
- Armstrong, A.; Quinton, J.N.; Maher, B.A. Thermal enhancement of natural magnetism as a tool for tracing eroded soil. Earth Surf. Process. Landf. 2012, 37, 1567–1572. [Google Scholar] [CrossRef]
- Liu, L.; Huang, M.; Zhang, K.; Zhang, Z.; Yu, Y. Preliminary experiments to assess the effectiveness of magnetite powder as an erosion tracer on the Loess Plateau. Geoderma 2018, 310, 240–256. [Google Scholar] [CrossRef]
- Pulley, S.; Foster, I.; Collins, A.L. The impact of catchment source group classification on the accuracy of sediment fingerprinting outputs. J. Environ. Manag. 2017, 194, 16–26. [Google Scholar] [CrossRef] [Green Version]
- Jónsdóttir, V.; Smaradottir, B. Pollution in Water and Soil from the Eruption in Holuhraun, Iceland, Metal Concentration Analysis. Master’s Thesis, Department of Civil and Environmental Enfineering, Chalmers University of Technology, Göteborg, Sweden, 2015. [Google Scholar]
- Arnalds, O.; Orradottir, B. Carbon accumulation in Icelandic desert Andosols during early stages of restoration. Geomorphology 2013, 193–194, 172–179. [Google Scholar] [CrossRef]
- Arnalds, O.; Dagsson-Waldhauserova, P.; Olafsson, H. The Icelandic volcanic aeolian environment: Processes and impacts—A Review. Aeolian Res. 2016, 20, 176–195. [Google Scholar] [CrossRef] [Green Version]
- Thorarinsson, S. The application of tephrochronology in Iceland. In Tephra Studies; Self, S., Sparks, R.S.J., Eds.; Reidel: London, UK, 1981; pp. 109–134. [Google Scholar]
- Thordarson, T.; Höskuldsson, Á. Postglacial volcanism in Iceland. Jökull 2008, 58, 197–228. [Google Scholar]
- Crofts, R. Healing the land, the story of land reclamation and soil conservation in Iceland. In Restructured, Substantially Revised and Extended from an Original Icelandic Text Sáðmenn sandanna saga landgráðslu á Íslandi 1907–2007 by Friðric G. Olegersson; Soil Conservation Service of Iceland: Hella, Iceland, 2011; ISBN 978-9979-9295-5-0. [Google Scholar]
- Peng, J.F.; Song, Y.H.; Yuan, P.; Cui, X.Y.; Qiu, G.L. The remediation of heavy metals contaminated sediment. J. Hazard. Mater. 2009, 161, 633–640. [Google Scholar] [CrossRef]
- de Andrade Passos, E.; Alves, J.C.; dos Santos, I.S.; Alves, J.P.H.; Garcia, C.A.B.; Costa, C.S. Assessment of trace metals contamination in estuarine sediments using a sequential extraction technique and principal component analysis. Microchem. J. 2010, 96, 50–57. [Google Scholar] [CrossRef]
- Sutherland, R.A. BCR-701: A review of 10-years of sequential extraction analyses. Anal. Chim. Acta 2010, 680, 10–20. [Google Scholar] [CrossRef] [PubMed]
- Sakan, S.; Popović, A.; Anđelković, I.; Đorđević, D. Aquatic sediments pollution estimate using the metal fractionation, secondary phase enrichment factor calculation, and used statistical methods. Environ. Geochem. Health 2016, 38, 855–867. [Google Scholar] [CrossRef]
- Sakan, S.; Gržetić, I.; Ðorđević, D. Distribution and fractionation of heavy metals in the Tisza (Tisza) river sediments. Environ. Sci. Pollut. Res. 2007, 14, 229–236. [Google Scholar] [CrossRef]
- Boissier, J.M.; Fontvieille, D. Biololgical characteristics of forest soils and seepage waters during simulated rainfalls of high intensity. Soil Biol. Biochem. 1995, 27, 139–145. [Google Scholar] [CrossRef]
- Óskarsson, H.; Arnalds, Ó.; Gudmundsson, J.; Gudbergsson, G. Organic carbon in Icelandic Andosols: Geographical variation and impact of erosion. Catena 2004, 56, 225–238. [Google Scholar] [CrossRef]
- Kandler, K.; Benker, N.; Bundke, U.; Cuevas, E.; Ebert, M.; Knippertz, P.; Rodríguez, S.; Schütz, L.; Weinbruch, S. Chemical composition and complex refractive index of Saharan Mineral Dust at Izaña, Tenerife (Spain) derived by electronic microscopy. Atmosp. Environ. 2007, 41, 8058–8074. [Google Scholar] [CrossRef]
- Scheuvens, D.; Schütz, L.; Kandler, K.; Ebert, M.; Weinbruch, S. Review Bulk composition of northern African dust and its source sediments—A compilation. Earth Sci. Rev. 2013, 116, 170–194. [Google Scholar] [CrossRef]
- Facchinelli, A.; Sacchi, E.; Mallen, L. Multivariate statistical and GIS-based approach to identify heavy metal sources in soils. Environ. Pollut. 2001, 114, 313–324. [Google Scholar] [CrossRef]
- Gustafsson, J.P.; Tin, N.T. Arsenic and selenium in some Vietnamese acid sulphate soils. Sci. Total Environ. 1994, 151, 153–158. [Google Scholar] [CrossRef]
Publisher’s Note: MDPI stays neutral with regard to jurisdictional claims in published maps and institutional affiliations. |
© 2021 by the authors. Licensee MDPI, Basel, Switzerland. This article is an open access article distributed under the terms and conditions of the Creative Commons Attribution (CC BY) license (https://creativecommons.org/licenses/by/4.0/).




