Bivariate Frequency of Meteorological Drought in the Upper Minjiang River Based on Copula Function
Abstract
1. Introduction
2. Data and Method
2.1. Data and Study Area
2.2. Method
2.2.1. Meteorological Drought Index Spi and Drought Characteristics
- Drought duration (D): The duration of SPI ≤ −0.5;
- Drought severity (S): The absolute value of the accumulated SPI value over the duration of the drought;
- Drought peak (P): The absolute value of the minimum SPI value during the duration of the drought.
- Small drought events with drought duration of only 1 month and severity less than 1 were not included in the drought event sample;
- When the non-drought duration between two drought events is 1 unit period and the drought severity is less than −0.2, the two adjacent drought events will be merged into one drought event.
2.2.2. Mann-Kendall Test
2.2.3. Marginal Distribution
2.2.4. Chi-Square Test
2.2.5. Copula Function
2.2.6. Function Evaluation
2.2.7. Return Period
3. Results and Discussion
3.1. Temporal and Spatial Trend of Drought Situation
3.2. Meteorological Drought Assessment
- Impact on humans: it has caused difficulties in drinking water for humans and animals; the dry-flow area of the Minjiang River cuts off the sources of income for residents in nearby areas who feed on and wash cars along the way; frequent “dehydration” in several sections of the Minjiang River directly affects humans when it comes to urban and rural life and industrial and agricultural production that rely on the Minjiang River for water supply;
- Impact on agriculture: the continuous drought has caused the crops grown by local residents to turn yellow and reduce production, the supply of agricultural products is insufficient, and the price rises;
- Impact on wild and rare animals: The construction of water conservancy projects in the UMR has changed the natural properties of the runoff and has caused a serious impact on the aquatic animals and plants of the Minjiang River. The fish species in the UMR have dropped from 40 species in the 1950s to 16 species today;
- Impact on the environment: continuous drought has reduced the capacity of the water environment, which has aggravated the water pollution of the Minjiang River and the deterioration of the water environment. These adverse effects of drought disasters in the UMR are recorded in the above-mentioned reports.
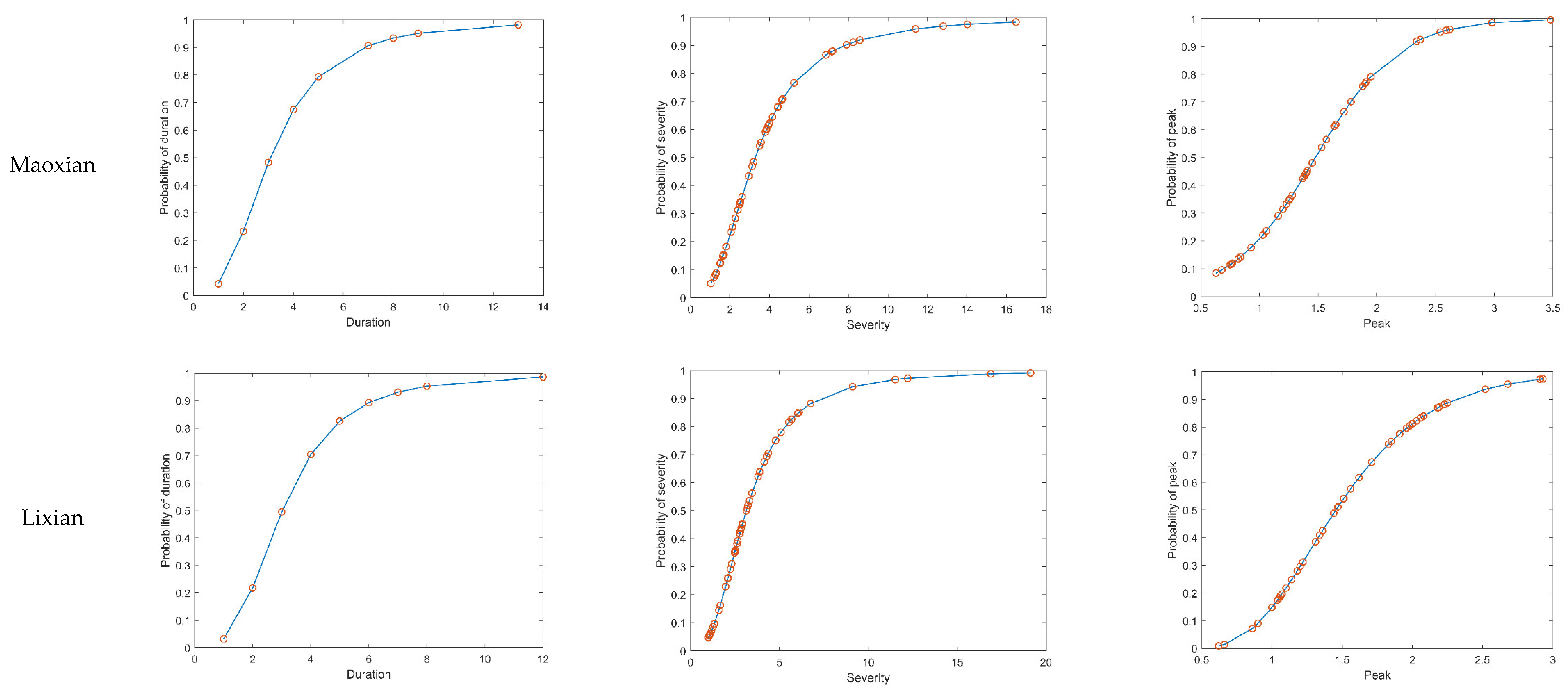
3.3. Marginal Distribution
3.4. Joint Distribution of Drought Characteristics
3.5. Frequency Analysis of Drought Characteristics in Univariate and Bivariate
3.6. Return Period Analysis
4. Conclusions and Suggestions
4.1. Conclusions
4.2. Suggestions
Author Contributions
Funding
Institutional Review Board Statement
Informed Consent Statement
Data Availability Statement
Acknowledgments
Conflicts of Interest
References
- Ali, Z.; Almanjahie, I.M.; Hussain, I.; Ismail, M.; Faisal, M. A novel generalized combinative procedure for Multi-Scalar standardized drought Indices-The long average weighted joint aggregative criterion. Tellus Ser. A Dyn. Meteorol. Oceanogr. 2020, 72, 1–23. [Google Scholar] [CrossRef]
- Dai, A.; Trenberth, K.E.; Qian, T.T. A global dataset of Palmer Drought Severity Index for 1870–2002: Relationship with soil moisture and effects of surface warming. J. Hydrometeorol. 2004, 5, 1117–1130. [Google Scholar] [CrossRef]
- Yang, J.; Chang, J.; Wang, Y.; Li, Y.; Hu, H.; Chen, Y.; Huang, Q.; Yao, J. Comprehensive drought characteristics analysis based on a nonlinear multivariate drought index. J. Hydrol. 2018, 557, 651–667. [Google Scholar] [CrossRef]
- Duan, K.; Mei, Y. Comparison of Meteorological, Hydrological and Agricultural Drought Responses to Climate Change and Uncertainty Assessment. Water Resour. Manag. 2014, 28, 5039–5054. [Google Scholar] [CrossRef]
- Nabaei, S.; Sharafati, A.; Yaseen, Z.M.; Shahid, S. Copula based assessment of meteorological drought characteristics: Regional investigation of Iran. Agric. For. Meteorol. 2019, 276, 107611. [Google Scholar] [CrossRef]
- Tosunoglu, F.; Can, I. Application of copulas for regional bivariate frequency analysis of meteorological droughts in Turkey. Nat. Hazards 2016, 82, 1457–1477. [Google Scholar] [CrossRef]
- Pei, Z.; Fang, S.; Wang, L.; Yang, W. Comparative Analysis of Drought Indicated by the SPI and SPEI at Various Timescales in Inner Mongolia, China. Water 2020, 12, 1925. [Google Scholar] [CrossRef]
- McKee, T.; Doesken, J.; Kleist, J. The Relationship of Drought Frequency and Duration to Time Scales. In Proceedings of the 8th Conference on Applied Climatology, Anaheim, CA, USA, 17–22 January 1993; pp. 179–184. [Google Scholar]
- Shukla, S.; Wood, A.W. Use of a standardized runoff index for characterizing hydrologic drought. Geophys. Res. Lett. 2008, 35, L02405. [Google Scholar] [CrossRef]
- Vicente-Serrano, S.M.; Begueria, S.; Lopez-Moreno, J.I. A Multiscalar Drought Index Sensitive to Global Warming: The Standardized Precipitation Evapotranspiration Index. J. Clim. 2010, 23, 1696–1718. [Google Scholar] [CrossRef]
- Sharma, T.C.; Panu, U.S. Analytical procedures for weekly hydrological droughts: A case of Canadian rivers. Hydrol. Sci. J. 2010, 55, 79–92. [Google Scholar] [CrossRef]
- Park, S.; Im, J.; Jang, E.; Rhee, J. Drought assessment and monitoring through blending of multi-sensor indices using machine learning approaches for different climate regions. Agric. For. Meteorol. 2016, 216, 157–169. [Google Scholar] [CrossRef]
- Gurrapu, S.; Chipanshi, A.; Sauchyn, D.J.; Howard, A. Comparison of the SPI and SPEI on predicting drought conditions and streamflow in the Canadian Prairies. In Proceedings of the 28th Conference on Hydrology, Atlanta, GA, USA, 2–6 February 2014. [Google Scholar]
- Das, J.; Jha, S.; Goyal, M.K. Non-stationary and copula-based approach to assess the drought characteristics encompassing climate indices over the Himalayan states in India. J. Hydrol. 2020, 580, 124356. [Google Scholar] [CrossRef]
- Bhunia, P.; Das, P.; Maiti, R. Meteorological Drought Study Through SPI in Three Drought Prone Districts of West Bengal, India. Earth Syst. Environ. 2020, 4, 43–55. [Google Scholar] [CrossRef]
- Khadr, M.; Morgenschweis, G.; Schlenkhoff, A. Analysis of Meteorological Drought in the Ruhr Basin by Using the Standardized Precipitation Index. World Acad. Sci. Eng. Technol. 2009, 57, 607–616. [Google Scholar]
- Pontes Filho, J.D.; Souza Filho, F.d.A.; Passos Rodrigues Martins, E.S.; de Carvalho Studart, T.M. Copula-Based Multivariate Frequency Analysis of the 2012-2018 Drought in Northeast Brazil. Water 2020, 12, 834. [Google Scholar] [CrossRef]
- Zhang, L.; Singh, V.P. Gumbel-Hougaard copula for trivariate rainfall frequency analysis. J. Hydrol. Eng. 2007, 12, 409–419. [Google Scholar] [CrossRef]
- Weng, B.; Zhang, P.; Li, S. Drought risk assessment in China with different spatial scales. Arab. J. Geosci. 2015, 8, 10193–10202. [Google Scholar] [CrossRef]
- Ganguli, P.; Ganguly, A.R. Space-time trends in U.S. meteorological droughts. J. Hydrol. Reg. Stud. 2016, 8, 235–259. [Google Scholar] [CrossRef]
- Requena, A.I.; Flores, I.; Mediero, L.; Garrote, L. Extension of observed flood series by combining a distributed hydro-meteorological model and a copula-based model. Stoch. Environ. Res. Risk Assess. 2016, 30, 1363–1378. [Google Scholar] [CrossRef][Green Version]
- Wahl, T.; Plant, N.G.; Long, J.W. Probabilistic assessment of erosion and flooding risk in the northern Gulf of Mexico. J. Geophys. Res. Ocean. 2016, 121, 3029–3043. [Google Scholar] [CrossRef]
- Zhu, Y.; Liu, Y.; Wang, W.; Singh, V.P.; Ma, X.; Yu, Z. Three dimensional characterization of meteorological and hydrological droughts and their probabilistic links. J. Hydrol. 2019, 578, 124016. [Google Scholar] [CrossRef]
- Xu, J.; Lv, C.; Yao, L.; Hou, S. Intergenerational equity based optimal water allocation for sustainable development: A case study on the upper reaches of Minjiang River, China. J. Hydrol. 2019, 568, 835–848. [Google Scholar] [CrossRef]
- Zhou, H. Study on Mineral Elements and Drought Resistance of Dominant Shrubs in Dry Valleys of the Upper Minjiang River. Master’s Thesis, Sichuan Normal University, Chengdu, China, 2019. [Google Scholar]
- Hou, J.; Ye, A.; You, J.; Ma, F.; Duan, Q. An estimate of human and natural contributions to changes in water resources in the upper reaches of the Minjiang River. Sci. Total Environ. 2018, 635, 901–912. [Google Scholar] [CrossRef] [PubMed]
- Ma, K.; Huang, X.; Guo, B.; Wang, Y.; Gao, L. Land Use/Land Cover Changes and Its Response to Hydrological Characteristics in the Upper Reaches of Minjiang River. In Proceedings of the International Association of Hydrological Sciences 379, Beijing, China, 6–9 November 2018. [Google Scholar]
- Vicente-Serrano, S.M.; Dominguez-Castro, F.; Murphy, C.; Hannaford, J.; Reig, F.; Pena-Angulo, D.; Tramblay, Y.; Trigo, R.M.; Mac Donald, N.; Luna, M.Y.; et al. Long-term variability and trends in meteorological droughts in Western Europe (1851–2018). Int. J. Climatol. 2021, 41, E690–E717. [Google Scholar] [CrossRef]
- Yang, X.; Li, Y.P.; Liu, Y.R.; Gao, P.P. A MCMC-based maximum entropy copula method for bivariate drought risk analysis of the Amu Darya River Basin. J. Hydrol. 2020, 590, 125502. [Google Scholar] [CrossRef]
- Yevjevich, V. An Objective Approach to Definitions and Investigations of Continental Hydrologic Droughts. Ph.D. Thesis, Colorado State University, Fort Collins, CO, USA, 1967. [Google Scholar]
- Kumar, S.; Merwade, V.; Kam, J.; Thurner, K. Streamflow trends in Indiana: Effects of long term persistence, precipitation and subsurface drains. J. Hydrol. 2009, 374, 171–183. [Google Scholar] [CrossRef]
- Ye, X.; Li, X.; Xu, C.-Y.; Zhang, Q. Similarity, difference and correlation of meteorological and hydrological drought indices in a humid climate region–The Poyang Lake catchment in China. Hydrol. Res. 2016, 47, 1211–1223. [Google Scholar] [CrossRef]
- De Luca, D.L.; Petroselli, A.; Galasso, L. A Transient Stochastic Rainfall Generator for Climate Changes Analysis at Hydrological Scales in Central Italy. Atmosphere 2020, 11, 1292. [Google Scholar] [CrossRef]
- Can, I.; Tosunoglu, F. Estimating T-year flood confidence intervals of rivers in Coruh basin, Turkey. J. Flood Risk Manag. 2013, 6, 186–196. [Google Scholar] [CrossRef]
- Sklar, A. Fonctions de Repartition a n Dimensions et Leurs Marges. Publ. Inst. Statist. Univ. Paris 1959, 8, 229–231. [Google Scholar]
- Nelsen, R.B. Copulas and quasi-copulas: An introduction to their properties and applications. In Logical, Algebraic, Analytic and Probabilistic Aspects of Triangular Norms; Elsevier Science BV: Amsterdam, The Netherlands, 2005; pp. 391–413. [Google Scholar]
- Saghafian, B.; Mehdikhani, H. Drought characterization using a new copula-based trivariate approach. Nat. Hazards 2014, 72, 1391–1407. [Google Scholar] [CrossRef]
- Rauf, U.F.A.; Zeephongsekul, P. Copula based analysis of rainfall severity and duration: A case study. Theor. Appl. Climatol. 2014, 115, 153–166. [Google Scholar] [CrossRef]
- Mirabbasi, R.; Fakheri-Fard, A.; Dinpashoh, Y. Bivariate drought frequency analysis using the copula method. Theor. Appl. Climatol. 2012, 108, 191–206. [Google Scholar] [CrossRef]
- Joe, H. Multivariate Models and Multivariate Dependence Concepts; CRC Press: Boca Raton, FL, USA, 1997. [Google Scholar]
- Hsu, K.L.; Gupta, H.V.; Sorooshian, S. Artificial Neural Network Modeling of the Rainfall-Runoff Process. Water Resour. Res. 1995, 31, 2517–2530. [Google Scholar] [CrossRef]
- Shiau, J.T. Fitting drought duration and severity with two-dimensional copulas. Water Resour. Manag. 2006, 20, 795–815. [Google Scholar] [CrossRef]
- Qian, W.H.; Zhang, Z.J. Planetary scale and regional scale anomaly signals for persistent drought events over Southwest China. Chin. J. Geophys. 2012, 55, 1462–1471. [Google Scholar]








| Index Value | Class |
|---|---|
| SPI > −0.5 | No drought |
| −0.5 ≥ SPI > −1.0 | Mild drought |
| −1 ≥ SPI > −1.5 | Moderately drought |
| −1.5 ≥ SPI > −2.0 | Very drought |
| SPI ≤ −2.0 | Extremely drought |
| Region | SPI | Z-Score | Slope | Change Trend |
|---|---|---|---|---|
| Songpan | SPI1 | 2.3816 | 0.0005 | Significant upward trend |
| SPI3 | 2.4775 | 0.0005 | Significant upward trend | |
| SPI12 | 0.6296 | 0.0001 | Unsignificant upward trend | |
| Heishui | SPI1 | 4.0134 | 0.0009 | Significant upward trend |
| SPI3 | 4.2551 | 0.001 | Significant upward trend | |
| SPI12 | 2.0592 | 0.0005 | Significant upward trend | |
| Maoxian | SPI1 | 0.0895 | 0 | Unsignificant upward trend |
| SPI3 | 0.2036 | 0 | Unsignificant upward trend | |
| SPI12 | −4.6733 | −0.0011 | Significant downward trend | |
| Lixian | SPI1 | −0.5414 | −0.0001 | Unsignificant downward trend |
| SPI3 | −1.3265 | −0.0003 | Unsignificant downward trend | |
| SPI12 | −2.1939 | −0.0005 | Significant downward trend |
| Region | The Beginning and End of the Drought | Severity of Drought (S) |
|---|---|---|
| Songpan | February to July 1968 | S = 12.64 |
| December 1968 to April 1969 | S = 11.46 | |
| June to December 1970 | S = 12.07 | |
| September 1986 to April 1987 | S = 12.92 | |
| Heishui | May 1970 to March 1971 | S = 16.08 |
| September 1986 to May 1987 | S = 11.99 | |
| July to November 1997 | S = 9.84 | |
| June to December 2002 | S = 13.5 | |
| Maoxian | June 1985 to June 1986 | S = 16.48 |
| January 1997 to January 1998 | S = 12.79 | |
| July 2006 to February 2007 | S = 11.4 | |
| July 2008 to February 2009 | S = 14.02 | |
| Lixian | July 1966 to June 1967 | S = 19.13 |
| May to December 2000 | S = 12.22 | |
| January to September 2006 | S = 14.65 | |
| April to October 2009 | S = 11.52 |
| Region | Drought Duration | Parameter | Drought Severity | Parameter | Drought Peak | Parameter |
|---|---|---|---|---|---|---|
| Songpan | exp | μ = 3.4583 | logn | μ = 1.2298 | logn | μ = 0.3538 |
| σ = 0.7807 | σ = 0.4053 | |||||
| Heishui | logn | μ = 1.0577 | log-logistic | μ = 1.2213 | logn | μ = 0.4216 |
| σ = 0.5916 | σ = 0.3970 | σ = 0.3603 | ||||
| Maoxian | log-logistic | μ = 1.1237 | log-logistic | μ = 1.1868 | log | μ = 1.4769 |
| σ = 0.3614 | σ = 0.3955 | σ = 0.3550 | ||||
| Lixian | log-logistic | μ = 1.1060 | log-logistic | μ = 1.1455 | logn | μ = 0.3749 |
| σ = 0.3238 | σ = 0.3813 | σ = 0.3595 |
| Region | D-S | D-P | S-P | |||
|---|---|---|---|---|---|---|
| Spearman (ρ) | Kendall (τ) | Spearman (ρ) | Kendall (τ) | Spearman (ρ) | Kendall (τ) | |
| Songpan | 0.851 ** | 0.757 ** | 0.640 ** | 0.458 ** | 0.807 ** | 0.614 ** |
| Heishui | 0.886 ** | 0.757 ** | 0.424 ** | 0.318 ** | 0.740 ** | 0.556 ** |
| Maoxian | 0.857 ** | 0.727 ** | 0.342 * | 0.247 * | 0.721 ** | 0.530 ** |
| Lixian | 0.851 ** | 0.732 ** | 0.590 ** | 0.463 ** | 0.864 ** | 0.691 ** |
| Region | D-S | D-P | S-P | |||
|---|---|---|---|---|---|---|
| Copula | AIC Value | Copula | AIC Value | Copula | AIC Value | |
| Songpan | t Student | −28.2717 | t Student | −10.7198 | t Student | −46.2465 |
| Gaussian | −27.6555 | Gaussian | −13.1397 | Gaussian | −48.1792 | |
| Clayton | −15.7287 | Clayton | −3.3449 | Clayton | −32.6926 | |
| Frank | −31.5535 | Frank | −15.8140 | Frank | −46.4643 | |
| Gumbol | 98.6545 | Gumbol | −14.7983 | Gumbol | −46.8826 | |
| Heishui | t Student | −69.6858 | t Student | −3.2975 | t Student | −30.5845 |
| Gaussian | −71.6859 | Gaussian | −5.2975 | Gaussian | −32.5845 | |
| Clayton | −47.6935 | Clayton | −1.4329 | Clayton | −24.5563 | |
| Frank | −63.0136 | Frank | −4.8052 | Frank | −30.1821 | |
| Gumbol | 90.2540 | Gumbol | −4.9524 | Gumbol | −29.6669 | |
| Maoxian | t Student | −70.0885 | t Student | −4.2993 | t Student | −32.0909 |
| Gaussian | −72.0882 | Gaussian | −6.2992 | Gaussian | −34.0903 | |
| Clayton | −49.3726 | Clayton | −1.2425 | Clayton | −30.0014 | |
| Frank | −61.1346 | Frank | −5.1332 | Frank | −33.1516 | |
| Gumbol | 73.1808 | Gumbol | −5.4247 | Gumbol | −26.4213 | |
| Lixian | t Student | −76.8539 | t Student | −15.7463 | t Student | −53.7382 |
| Gaussian | −78.3507 | Gaussian | −17.7463 | Gaussian | −55.7379 | |
| Clayton | −56.7514 | Clayton | −4.4238 | Clayton | −27.8824 | |
| Frank | −66.0320 | Frank | −16.5257 | Frank | −54.2777 | |
| Gumbol | 82.8494 | Gumbol | −22.8013 | Gumbol | −57.3134 | |
| Region | D-S | D-P | S-P | |||
|---|---|---|---|---|---|---|
| Copula | Parameter | Copula | Parameter | Copula | Parameter | |
| Songpan | Frank | 6.9027 | Frank | 4.7848 | Gaussian | 0.8053 |
| Heishui | Gaussian | 0.8898 | Gaussian | 0.3792 | Gaussian | 0.7219 |
| Maoxian | Gaussian | 0.8907 | Gaussian | 0.4016 | Gaussian | 0.7320 |
| Lixian | Gaussian | 0.8987 | Gaussian | 0.5760 | Gaussian | 0.8324 |
| Region | T/(a) | D/(m) | S | P | D-S | D-P | S-P | |||
|---|---|---|---|---|---|---|---|---|---|---|
| T/a | T’/a | T/a | T’/a | T/a | T’/a | |||||
| Songpan | 2 | 2.2395 | 3.2300 | 1.3825 | 2.4418 | 1.6936 | 2.6271 | 1.6146 | 2.467 | 1.6804 |
| 5 | 4.4017 | 6.4254 | 1.9702 | 8.1839 | 3.5996 | 9.7694 | 3.3598 | 7.6023 | 3.7249 | |
| 10 | 6.7901 | 9.0771 | 2.3645 | 23.3260 | 6.3642 | 29.1736 | 6.0342 | 17.4178 | 7.0132 | |
| 20 | 8.7848 | 12.0887 | 2.7801 | 74.0559 | 11.5611 | 98.0556 | 11.1356 | 39.5149 | 13.3881 | |
| 50 | 12.4807 | 15.7218 | 3.3386 | −398.1203 | 26.2751 | 540.3061 | 26.2129 | 115.6114 | 31.8976 | |
| Heishui | 2 | 2.7375 | 3.1812 | 1.4701 | 2.3226 | 1.7561 | 3.0589 | 1.4857 | 2.5768 | 1.6342 |
| 5 | 4.6431 | 5.6618 | 2.0244 | 7.0912 | 3.9849 | 14.4479 | 3.0983 | 9.0435 | 3.5538 | |
| 10 | 5.9894 | 7.8725 | 2.3855 | 14.7355 | 7.5679 | 37.7339 | 5.7637 | 20.1849 | 6.6464 | |
| 20 | 7.6368 | 10.7294 | 2.7262 | 32.0018 | 14.5451 | 108.3952 | 11.0163 | 47.6709 | 12.6546 | |
| 50 | 9.7106 | 15.5482 | 3.1969 | 88.3791 | 34.8613 | 427.4921 | 26.5528 | 147.4754 | 30.1031 | |
| Maoxian | 2 | 2.9060 | 3.0720 | 1.4188 | 2.3205 | 1.7573 | 3.0238 | 1.4941 | 2.5618 | 1.6403 |
| 5 | 4.9202 | 5.5221 | 1.9341 | 6.6997 | 3.9882 | 12.5709 | 3.1206 | 8.3238 | 3.5732 | |
| 10 | 6.7365 | 7.5708 | 2.2566 | 14.6717 | 7.5849 | 35.9097 | 5.8088 | 19.8023 | 6.6889 | |
| 20 | 8.6969 | 10.46945 | 2.4997 | 31.9433 | 14.5572 | 101.4634 | 11.0933 | 46.5004 | 12.7397 | |
| 50 | 12.5496 | 14.9461 | 2.8703 | 88.1931 | 34.8903 | 391.3169 | 26.7062 | 142.9931 | 30.2969 | |
| Lixian | 2 | 2.9797 | 3.0913 | 1.4401 | 2.3289 | 1.7525 | 2.8477 | 1.5412 | 2.4470 | 1.6911 |
| 5 | 4.7525 | 5.2891 | 1.9535 | 6.6645 | 4.0008 | 10.3043 | 3.3008 | 7.3706 | 3.7832 | |
| 10 | 6.1348 | 7.3876 | 2.3063 | 14.5214 | 7.6257 | 26.5472 | 6.1602 | 16.6493 | 7.1461 | |
| 20 | 7.8213 | 9.7371 | 2.6239 | 31.4066 | 14.6714 | 67.9017 | 11.7271 | 37.2396 | 13.6711 | |
| 50 | 11.2152 | 14.3690 | 3.0104 | 86.6317 | 35.1409 | 232.1980 | 28.0164 | 106.4765 | 32.6709 | |
Publisher’s Note: MDPI stays neutral with regard to jurisdictional claims in published maps and institutional affiliations. |
© 2021 by the authors. Licensee MDPI, Basel, Switzerland. This article is an open access article distributed under the terms and conditions of the Creative Commons Attribution (CC BY) license (https://creativecommons.org/licenses/by/4.0/).
Share and Cite
Qin, F.; Ao, T.; Chen, T. Bivariate Frequency of Meteorological Drought in the Upper Minjiang River Based on Copula Function. Water 2021, 13, 2056. https://doi.org/10.3390/w13152056
Qin F, Ao T, Chen T. Bivariate Frequency of Meteorological Drought in the Upper Minjiang River Based on Copula Function. Water. 2021; 13(15):2056. https://doi.org/10.3390/w13152056
Chicago/Turabian StyleQin, Fangling, Tianqi Ao, and Ting Chen. 2021. "Bivariate Frequency of Meteorological Drought in the Upper Minjiang River Based on Copula Function" Water 13, no. 15: 2056. https://doi.org/10.3390/w13152056
APA StyleQin, F., Ao, T., & Chen, T. (2021). Bivariate Frequency of Meteorological Drought in the Upper Minjiang River Based on Copula Function. Water, 13(15), 2056. https://doi.org/10.3390/w13152056
