Use of Aloe vera as an Organic Coagulant for Improving Drinking Water Quality
Abstract
:1. Introduction
2. Materials and Methods
2.1. Analytical Methods
2.2. Preparation of the Bio-Coagulant
2.3. Characterization of Aloe vera
2.3.1. Fourier-Transform Infrared Spectrophotometry (FTIR)
2.3.2. XRD Analysis
2.4. Experimental Procedure
3. Results and Discussion
3.1. Effect of Bio-Coagulant Dosage on Water Turbidity Removal
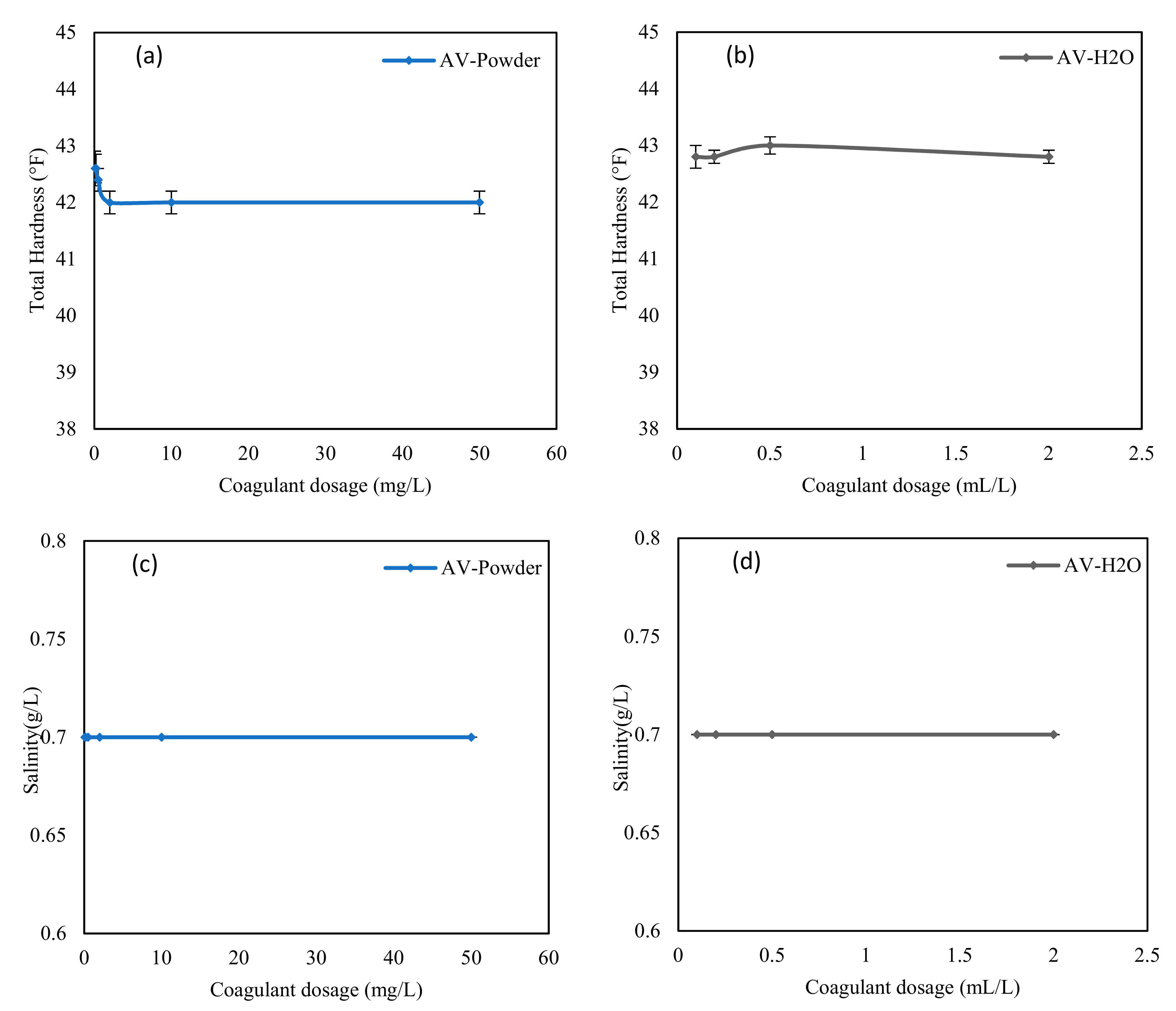
3.2. Effect of Bio-Coagulant Dosage on Water pH, Total Alkalinity, Total Hardness, and Salinity
3.3. Effect of Bio-Coagulant Dosage on Organic Matter Concentration
3.4. Effect of pH on the Water Turbidity Reduction
4. Conclusions
Author Contributions
Funding
Institutional Review Board Statement
Informed Consent Statement
Conflicts of Interest
Abbreviations
| Al(OH)3 | Aluminum hydroxide |
| Al2(SO4)3 | Aluminium sulphate |
| Al3+ | Aluminum Ion |
| AV | Aloe vera |
| COD | Chemical Oxygen Demand |
| Fe(OH)3 | Ferric hydroxide |
| Fe3+ | Ferric ion |
| FeCl3 | Ferric chloride |
| FTIR | Fourier-Transform Infrared Spectrophotometry |
| HCl | Hydrochloric acid |
| NaOH | Sodium hydroxide |
| NTU | Nephelometric Turbidity Unit |
| PTEs | Potential Toxic Elements |
| Rpm | Revolutions per minute |
References
- Desjardins, R. Traitement Des Eaux, 2nd ed.; Presses Polytechnique de de Montréal: Montréal, QC, Canada, 1997. [Google Scholar]
- Zekker, I.; Raudkivi, M.; Artemchuk, O.; Rikmann, E.; Priks, H.; Jaagura, M.; Tenno, T. Mainstream-sidestream wastewater switching promotes anammox nitrogen removal rate in organic-rich, low-temperature streams. Environ. Technol. 2020, 1–23. [Google Scholar] [CrossRef]
- Mandel, A.; Zekker, I.; Jaagura, M.; Tenno, T. Enhancement of anoxic phosphorus uptake of denitrifying phosphorus removal process by biomass adaption. Int. J. Environ. Sci. Technol. 2019, 16, 5965–5978. [Google Scholar] [CrossRef]
- Bouchareb, E.M.; Kerroum, D.; Bezirhan Arikan, E.; Isik, Z.; Dizge, N. Production of bio-hydrogen from bulgur processing industry wastewater. Energy Sources Part A Recovery Util. Environ. Eff. 2021, 1–14. [Google Scholar] [CrossRef]
- Rokaya, B.; Kerroum, D.; Hayat, Z.; Panico, A.; Ouafa, A.; Pirozzi, F. Biogas production by an anaerobic digestion process from orange peel waste and its improvement by limonene leaching: Investigation of H2O2 pre-treatment effect. Energy Sources Part A Recovery Util. Environ. Eff. 2019, 1–9. [Google Scholar] [CrossRef]
- Kamyab, H.; Ravi, A.V.; Chelliapan, S.; Tin, C. Fabrication of nanocomposites mediated from aluminium nanoparticles/Moringa oleifera gum activated carbon for effective photocatalytic removal of nitrate and phosphate in aqueous solution. J. Clean. Prod. 2020, 124553. [Google Scholar] [CrossRef]
- Suresh, G.; Balasubramanian, B.; Ravichandran, N.; Ramesh, B.; Kamyab, H.; Velmurugan, P.; Siva, G.V.; Ravi, A.V. Bioremediation of hexavalent chromium-contaminated wastewater by Bacillus thuringiensis and Staphylococcus capitis isolated from tannery sediment. Biomass Convers. Biorefin. 2021, 11, 383–391. [Google Scholar] [CrossRef]
- Alam, S.; Khan, M.S.; Bibi, W.; Zekker, I.; Burlakovs, J.; Ghangrekar, M.M.; Bhowmick, G.D.; Kallistova, A.; Pimenov, N.; Zahoor, M. Preparation of activated carbon from the wood of paulownia tomentosa as an efficient adsorbent for the removal of acid red 4 and methylene blue present in wastewater. Water 2021, 13, 1453. [Google Scholar] [CrossRef]
- Valiron, F. Gestion Des Eaux; Alimentation En Eau—Assainissement; ENPC Ed.: Paris, France, 1989; ISBN 2859781315. [Google Scholar]
- HDR Engineering Inc. Handbook of Public Water Systems, 2nd ed.; John Wiley & Sons, Inc.: New York, NY, USA, 2001. [Google Scholar]
- Degrémont, S.A. Mémento Technique De L’eau, 10th ed.; Degrémont Ed.: Paris, France, 2005; ISBN 9782743007171. [Google Scholar]
- Benalia, A.; Derbal, K.; Panico, A.; Pirozzi, F. Use of Acorn Leaves as a Natural Coagulant in a Drinking Water Treatment Plant. Water Res. 2019, 11, 57. [Google Scholar] [CrossRef] [Green Version]
- Benalia, A.; Derbal, K. Etude Expérimentale et Modélisation du Processus de la Coagulation Floculation: Application Aux Eaux Destinée a la Consommation; Université Constantine 3: El Khroub, Algeria, 2015. [Google Scholar]
- Matilainen, A.; Lindqvist, N.; Tuhkanen, T. Comparison of the Effiency of Aluminium and Ferric Sulphate in the Removal of Natural Organic Matter During Drinking Water Treatment Process. Environ. Technol. 2005, 26, 867–875. [Google Scholar] [CrossRef]
- Desjardins, C. Simulation et Étude en Laboratoire de la Floculation Lestée (Actiflo) a L’aide D’une Procédure Modifiée de Jar Test; Université de Montréal: Montréal, QC, Canada, 1999. [Google Scholar]
- Benalia, A.; Derbal, K. Comparative Study between Aluminum Sulfate and Ferric Chloride in Water Treatment: Turbidity Removal. 2015. Available online: https://stars.library.ucf.edu/cgi/viewcontent.cgi?referer=&httpsredir=1&article=3434&context=etd (accessed on 22 July 2021).
- Exley, C. La toxicité de l’aluminium chez l’homme. Morphologie 2016, 100, 51–55. [Google Scholar] [CrossRef]
- Rondeau, V.; Commenges, D.; Jacqmin-Gadda, H.; Dartigues, J. Relation between Aluminum Concentrations in Drinking Water and Alzheimer’s Disease: An 8-year Follow-up Study. Am. J. Epidemiol. 2000, 152, 59–66. [Google Scholar] [CrossRef] [Green Version]
- Zengjin, W.; Xiaomin, W.; Junlin, Y.; Jinning, S.; Jingyi, C.; Xianchen, L.; Zhao, X. Chronic exposure to aluminum and risk of Alzheimer’s disease: A metal-analysis. Neurosci. Lett. 2016, 610, 200–206. [Google Scholar] [CrossRef]
- Narasiah, K.S. Quality of Water Treated By Coagulation Using Moringa Oleifera Seeds. Water Res. 1998, 32, 781–791. [Google Scholar] [CrossRef]
- Megersa, M.; Beyene, A.; Ambelu, A.; Triest, L. Comparison of purified and crude extracted coagulants from plant species for turbidity removal. Int. J. Environ. Sci. Technol. 2019, 16, 2333–2342. [Google Scholar] [CrossRef]
- Bouchareb, R.; Derbal, K.; Özay, Y.; Bilici, Z.; Dizge, N. Combined natural/chemical coagulation and membrane filtration for wood processing wastewater treatment. J. Water Process Eng. 2020, 37, 101521. [Google Scholar] [CrossRef]
- Pandey, P.; Khan, F.; Mishra, R.; Singh, S.K. Elucidation of the potential of Moringa oleifera leaves extract as a novel alternate to the chemical coagulant in water treatment process. Water Environ. Res. 2020, 92, 1051–1056. [Google Scholar] [CrossRef]
- Singh, G.; Patidar, S.K. Water quality restoration by harvesting mixed culture microalgae using Moringa oleifera. Water Environ. Res. 2020, 92, 1268–1282. [Google Scholar] [CrossRef]
- Adelodun, B.; Ogunshina, M.S.; Ajibade, F.O.; Abdulkadir, T.S.; Bakare, H.O.; Choi, K.S. Kinetic and prediction modeling studies of organic pollutants removal from municipal wastewater using Moringa oleifera biomass as a coagulant. Water 2020, 12, 2052. [Google Scholar] [CrossRef]
- Maran, J.P.; Manikandan, S.; Mekala, V. Modeling and optimization of betalain extraction from Opuntia ficus-indica using Box—Behnken design with desirability function. Ind. Crops Prod. 2013, 49, 304–311. [Google Scholar] [CrossRef]
- Antov, M.G.; Šć, M.B.; Prodanovi, J.M.; Kuki, D.V.; Vasi, V.M.; Tatjana, R.Đ.; Milo, M.M. Industrial Crops & Products Common oak (Quercus robur) acorn as a source of natural coagulants for water turbidity removal. Ind. Crops Prod. 2018, 117, 340–346. [Google Scholar] [CrossRef]
- Fard, M.B.; Hamidi, D.; Yetilmezsoy, K.; Alavi, J.; Hosseinpour, F. Utilization of Alyssum mucilage as a natural coagulant in oily-saline wastewater treatment. J. Water Process Eng. 2021, 40, 101763. [Google Scholar] [CrossRef]
- Dollah, Z.; Abdullah, A.R.C.; Hashim, N.M.; Albar, A.; Badrealam, S.; Zaki, M. Citrus fruit peel waste as a source of natural coagulant for water turbidity removal. J. Phys. Conf. Ser. 2019, 1349, 012011. [Google Scholar] [CrossRef]
- Marina, B.S.; Prodanovi, J.M.; Dragana, V.K.; Aleksandra, N.T.; Mirjana, A.V. Extracts of fava bean (Vicia faba L.) seeds as natural coagulants. Ecol. Eng. 2015, 84, 229–232. [Google Scholar] [CrossRef]
- Subramonian, W.; Wu, T.Y.; Chai, S. A comprehensive study on coagulant performance and floc characterization of natural Cassia obtusifolia seed gum in treatment of raw pulp and paper mill effluent. Ind. Crops Prod. 2014, 61, 317–324. [Google Scholar] [CrossRef] [Green Version]
- Daverey, A.; Tiwari, N.; Dutta, K. Utilization of extracts of Musa paradisica (banana) peels and Dolichos lablab (Indian bean) seeds as low-cost natural coagulants for turbidity removal from water. Environ. Sci. Pollut. Res. 2019, 26, 34177–34183. [Google Scholar] [CrossRef] [PubMed]
- Chua, S.C.; Malek, M.A.; Chong, F.K.; Sujarwo, W.; Ho, Y.C. Red lentil (Lens culinaris) extract as a novel natural coagulant for turbidity reduction: An evaluation, characterization and performance optimization study. Water 2019, 11, 1686. [Google Scholar] [CrossRef] [Green Version]
- Ang, W.L.; Mohammad, A.W. State of the art and sustainability of natural coagulants in water and wastewater treatment. J. Clean. Prod. 2020, 20, 121267. [Google Scholar] [CrossRef]
- Saleem, M.; Bachmann, R.T. A Contemporary Review on Plant-Based Coagulants for Applications in Water Treatment. J. Ind. Eng. Chem. 2018, 72, 281–297. [Google Scholar] [CrossRef]
- Bratby, J. Coagulation and Flocculation with an Emphasis on Water and Wastewater Treatment; Uplands Press Ltd.: Craydon, UK, 1980. [Google Scholar]
- République Algérienne Démocratique et Populaire. Conventiont et accords internationaux-Lois et decrets arretes, decisions, avis, communications et annonces. J. Off. Repub. Alger. 2006, 26, 1–27. [Google Scholar]
- Standard Methods for the Examination of Water and Wastewater, 22nd ed.; Rice, E.W.; Baird, R.B.; Eaton, A.D.; American Public Health Association (APHA) (Eds.) American Water Works Association (AWWA); Water Environment Federation (WEF): Washington, DC, USA, 2012; ISBN 9780875530130. [Google Scholar]
- Freitas, T.; Oliveira, V.M.; de Souza, M.T.F.; Geraldino, H.C.L.; Almeida, V.C.; Fávaro, S.L.; Garcia, J.C. Optimization of coagulation-flocculation process for treatment of industrial textile wastewater using okra (A. esculentus) mucilage as natural coagulant. Ind. Crops Prod. 2015, 76, 538–544. [Google Scholar] [CrossRef]
- Luz, D.; Pablo, J.; Baracaldo, D.; Andr, J.; Muñoz, E. Using Co ff ee Pulp as Bioadsorbent for the Removal of Manganese (Mn (II)) from Synthetic Wastewater. Water 2020, 12, 2500. [Google Scholar] [CrossRef]
- Bougeard, D. Infrared and Raman Spectroscopy: Methods and Applicaitons; Schrader, B., Ed.; VCH Verlagsgesellschaft mbH, Weinheini (Federal Republic of Germany): Berlin, Germany, 1995; ISBN 3527264469. [Google Scholar]
- Brian, A.; Choong, L.; Peter, A.P. Treatment of palm oil mill effluent (POME) using chickpea (Cicer arietinum) as a natural coagulant and flocculant: Evaluation, process optimization and characterization of chickpea powder. J. Environ. Chem. Eng. 2018, 6, 6243–6255. [Google Scholar] [CrossRef]
- Abonele, M.; Chidi, A.; Ifedi, O.; Okoye, P. Equilibrium Dynamics of m-Xylene Removal from Aqueous Solution by Organoclay. Iran. J. Sci. Technol. Trans. A Sci. 2019, 43, 119–125. [Google Scholar] [CrossRef]
- Fatombi, J.K.; Lartiges, B.; Aminou, T.; Barres, O.; Caillet, C. A natural coagulant protein from copra (Cocos nucifera): Isolation, characterization, and potential for water purification. Sep. Purif. Technol. 2013, 116, 35–40. [Google Scholar] [CrossRef]
- Yin, C. Emerging usage of plant-based coagulants for water and wastewater treatment. Process Biochem. 2010, 45, 1437–1444. [Google Scholar] [CrossRef] [Green Version]
- Nharingo, T.; Moyo, M. Application of Opuntia ficus-indica in bioremediation of wastewaters. A critical review. J. Environ. Manag. 2016, 166, 55–72. [Google Scholar] [CrossRef]
- Araújo, C.S.T.; Carvalho, D.C.; Rezende, H.C.; Almeida, I.L.S.; Coelho, L.M.; Coelho, N.M.M.; Marques, T.L.; Alves, V.N. Bioremediation of Waters Contaminated with Heavy Metals Using Moringa oleifera Seeds as Biosorbent. Appl. Bioremediat. Act. Passiv. Approaches 2013, 23, 227–255. [Google Scholar]
- Bouchareb, R.; Derbal, K.; Benalia, A. Optimization of active coagulant agent extraction method from Moringa Oleifera seeds for municipal wastewater treatment. Water Sci. Technol. 2021. [Google Scholar] [CrossRef]
- Kebede, T.G.; Dube, S.; Mhuka, V.; Nindi, M.M. Toxic/Hazardous Substances and Environmental Engineering Bioremediation of Cd (II), Pb (II) and Cu (II) from industrial effluents by Moringa stenopetala seed husk. J. Environ. Sci. Health Part A 2019, 54, 337–351. [Google Scholar] [CrossRef]
- Nath, A.; Mishra, A.; Prakash, P. Materials Today: Proceedings A review natural polymeric coagulants in wastewater treatment. Mater. Today Proc. 2020. [Google Scholar] [CrossRef]
- Padhiyar, H.; Thanki, A.; Kumar, N.; Pandey, S.; Yadav, M. Parametric and kinetic investigations on segregated and mixed textile e ffl uent streams using Moringa oleifera seed powders of different sizes. J. Water Process Eng. 2020, 34, 101159. [Google Scholar] [CrossRef]
- Gandiwa, B.I.; Moyo, L.B.; Ncube, S.; Mamvura, T.A.; Hlabangana, N. Optimisation of using a blend of plant based natural and synthetic coagulants for water treatment: (Moringa Oleifera-Cactus Opuntia-Alum Blend). S. Afr. J. Chem. Eng. 2020, 34, 158–164. [Google Scholar] [CrossRef]
- Camacho, F.P.; Sousa, V.S.; Bergamasco, R.; Teixeira, M.R. The use of Moringa oleifera as a natural coagulant in surface water treatment. Chem. Eng. J. 2017, 313, 226–237. [Google Scholar] [CrossRef]
- Arnoldsson, E.; Bergman, M.; Matsinhe, N.; Persson, K.M. Assessment of drinking water treatment using Moringa Oleifera natural coagulant. Vatten 2008, 64, 137–150. [Google Scholar]
- Chu, T.; Manaf, S.; Matar, A.; Makky, E.A.; Ali, E.N. The use of Moringa oleifera seed as a natural coagulant for wastewater treatment and heavy metals removal. Appl. Water Sci. 2017, 7, 1369–1376. [Google Scholar] [CrossRef]
- Villarreal, J.S.; Pico, M.M.; Esteban, N. Experimental evaluation of crushed Moringa oleifera Lam. seeds and powder waste during coagulation-flocculation processes. J. Environ. Chem. Eng. 2018, 6, 5443–5451. [Google Scholar] [CrossRef]
- Nacoulma, G.; Piro, J.; Ali, B. Etude de l’activité floculante d’un complexe protéine-mucilage végétal dans la clarification des eaux brutes. J. Société Ouest Afr. Chim. 2000, 9, 43–57. [Google Scholar]
- Jacques, F.K.; Josse, R.G.; Mama, D.; Aminou, T. Étude de l’activité floculante de la caséine acide extraite de la crème de Cocos nucifera dans la clarification des eaux de surface. Rev. Sci. L’eau 2009, 22, 93–101. [Google Scholar] [CrossRef] [Green Version]
- Hussain, S.; Sattar, A.; Ahmad, A. Pine cone extract as natural coagulant for purification of turbid water. Heliyon 2019, 5, e01420. [Google Scholar] [CrossRef] [Green Version]
- Tie, J.; Jiang, M.; Li, H.; Zhang, S.; Zhang, X. A comparison between Moringa oleifera seed presscake extract and polyaluminum chloride in the removal of direct black 19 from synthetic wastewater. Ind. Crops Prod. 2015, 74, 530–534. [Google Scholar] [CrossRef]
- Saritha, V.; Karnena, M.K.; Dwarapureddi, B.K. “Exploring natural coagulants as impending alternatives towards sustainable water clarification”—A comparative studies of natural coagulants with alum. J. Water Process Eng. 2019, 32, 100982. [Google Scholar] [CrossRef]
- Choudhary, M.; Ray, M.B.; Neogi, S. Evaluation of the Potential Application of Cactus (Opuntia ficus-indica) as a Bio-coagulant for Pre-treatment of Oil Sands Process-Affected Water. Sep. Purif. Technol. 2019, 209, 714–724. [Google Scholar] [CrossRef]
- Bouaouine, O.; Baudu, M.; Khalil, F.; Chtioui, H.; Zaitan, H. Comparative study between Moroccan cactus and chemicals coagulants for textile effluent treatment. J. Mater. Environ. Sci. 2017, 2, 2687–2693. [Google Scholar]
- Asrafuzzaman, M.; Fakhruddin, A.N.M.; Hossain, A. Reduction of Turbidity of Water Using Locally Available Natural Coagulants. Int. Sch. Res. Netw. ISRN Microbiol. 2011, 19, 7–12. [Google Scholar] [CrossRef] [Green Version]
- Abidin, Z.Z.; Mohd, N.S.; Madehi, N.; Sobri, S. Optimisation of a method to extract the active coagulant agent from Jatropha curcas seeds for use in turbidity removal. Ind. Crops Prod. 2013, 41, 319–323. [Google Scholar] [CrossRef]
- Pritchard, M.; Craven, T.; Mkandawire, T.; Edmondson, A.S.; Neill, J.G.O. A comparison between Moringa oleifera and chemical coagulants in the purification of drinking water—An alternative sustainable solution for developing countries. Phys. Chem. Earth 2010, 35, 798–805. [Google Scholar] [CrossRef]
- Kakoi, B.; Wambua, J.; Ndiba, P.; Thiong, G. Banana pith as a natural coagulant for polluted river water. Ecol. Eng. 2016, 95, 699–705. [Google Scholar] [CrossRef]
- Hussain, G.; Haydar, S. Exploring potential of pearl millet (Pennisetum glaucum) and black-eyed pea (Vigna unguiculata subsp. unguiculata) as bio-coagulants for water treatment. Desalination Water Treat. 2019, 143, 184–191. [Google Scholar] [CrossRef]
- Birima, A.H.; Hammad, H.A.; Desa, M.N.M.; Mudam, Z.C. Extraction of natural coagulant from peanut seeds for treatment of turbid water. Earth Environ. Sci. Open 2013, 16, 012065. [Google Scholar] [CrossRef]









| Parameters | Measurement Instrument or Method | Raw Water | Algerian Standards [37] |
|---|---|---|---|
| Turbidity (NTU) | Turbidimeter (HANNA Code: HI 98713, Hanna instruments, Cluj-Napoca, Romania) | 13 | 5 |
| pH | Multi-parameters instrument (Jenway model 3540, Camlab, Cambridge, United Kingdom) | 7.94 | 6.5–9 |
| Salinity (g/L) | 0.7 | / | |
| Alkalinity (F°), Hardness (F°) and Organics content (mgO2/L) | Standard titrimetric methods [38] | 16, 34.6 and 2.1 | 20, 50 and 5 |
| Coagulant | Optimal Dosage | Initial Turbidity (NTU) | Removal Turbidity (%) | Year | References |
|---|---|---|---|---|---|
| Aloe vera Powder Aloe vera Liquid | 10 mg/L 0.1 mL/L | 13 13 | 28.23 87.47 | - - | Current study Current study |
| Pine cones | 0.1 mL/L 0.5 mL/L 0.5 mL/L | 13 67 75 | 84.77 55 62 | 2019 2019 2019 | [12] [59] [59] |
| Cactus | 1500 mg/L 33 mg/L 10 mg/L 6 mg/L 1 mL/L 55 mg/L | 500 214 160 9.5 9.5 29 | 97 96 84.43 49.78 53.05 89.4 | 2018 2017 2015 2015 2015 2020 | [62] [63] [13] [13] [13] [52] |
| Dolichos lablab | 100 mg/L 100 mg/L 0.6 mL/L | 100 35 62 | 88.9 60.85 98.84 | 2011 2011 2018 | [64] [64] [32] |
| Fava bean | 0.25 mL/L 0.25 mL/L | 20 45 | 38 54 | 2015 2015 | [30] [30] |
| Jatropha curcas seeds | 120 mg/L | 500 | 99 | 2013 | [65] |
| Moringa Oleifera | 100 mg/L 100 mg/L 50 mg/L 50 mg/L 50 mg/L | 100 25 146 131 29 | 94.1 60 83.7 84.9 88.7 | 2011 2011 2010 2010 2020 | [64] [64] [66] [66] [52] |
| Banana pith | 0.1 kg/m3 0.6 mL/L | 279 62 | 98.56 98.14 | 2016 2018 | [67] [32] |
| pearl millet (Pennisetum glaucum) | 80 mg/L | 200 | 99.2 | 2019 | [68] |
| black-eyed pea (Vigna unguiculata) | 20 mg/L | 200 | 97.6 | 2019 | [68] |
| Citrus Microcarpa | 30 mg/L | 29.8 | 75.6 | 2019 | [29] |
| Citrus Aurantiifolia | 60 mg/L | 20.1 | 74 | 2019 | [29] |
| Cicer arietinum | 100 mg/L 100 mg/L | 95 31 | 95.89 71.29 | 2011 2011 | [64] [64] |
| Peanut seeds | 20 mg/L | 200 | 31.5 | 2013 | [69] |
Publisher’s Note: MDPI stays neutral with regard to jurisdictional claims in published maps and institutional affiliations. |
© 2021 by the authors. Licensee MDPI, Basel, Switzerland. This article is an open access article distributed under the terms and conditions of the Creative Commons Attribution (CC BY) license (https://creativecommons.org/licenses/by/4.0/).
Share and Cite
Benalia, A.; Derbal, K.; Khalfaoui, A.; Bouchareb, R.; Panico, A.; Gisonni, C.; Crispino, G.; Pirozzi, F.; Pizzi, A. Use of Aloe vera as an Organic Coagulant for Improving Drinking Water Quality. Water 2021, 13, 2024. https://doi.org/10.3390/w13152024
Benalia A, Derbal K, Khalfaoui A, Bouchareb R, Panico A, Gisonni C, Crispino G, Pirozzi F, Pizzi A. Use of Aloe vera as an Organic Coagulant for Improving Drinking Water Quality. Water. 2021; 13(15):2024. https://doi.org/10.3390/w13152024
Chicago/Turabian StyleBenalia, Abderrezzaq, Kerroum Derbal, Amel Khalfaoui, Raouf Bouchareb, Antonio Panico, Corrado Gisonni, Gaetano Crispino, Francesco Pirozzi, and Antonio Pizzi. 2021. "Use of Aloe vera as an Organic Coagulant for Improving Drinking Water Quality" Water 13, no. 15: 2024. https://doi.org/10.3390/w13152024
APA StyleBenalia, A., Derbal, K., Khalfaoui, A., Bouchareb, R., Panico, A., Gisonni, C., Crispino, G., Pirozzi, F., & Pizzi, A. (2021). Use of Aloe vera as an Organic Coagulant for Improving Drinking Water Quality. Water, 13(15), 2024. https://doi.org/10.3390/w13152024

