Improving the 2D Numerical Simulations on Local Scour Hole around Spur Dikes
Abstract
1. Introduction
2. Numerical Model
2.1. Flow Module
2.2. Sediment Transport Module
3. Bed Geometry Adjustment Mechanism for a Local Scour Hole
4. Case Study
4.1. Initial and Boundary Conditions for the Experimental Case
4.2. Parameters for the Case Study
4.3. Flowchart of Model Calibration and Validation
5. Results
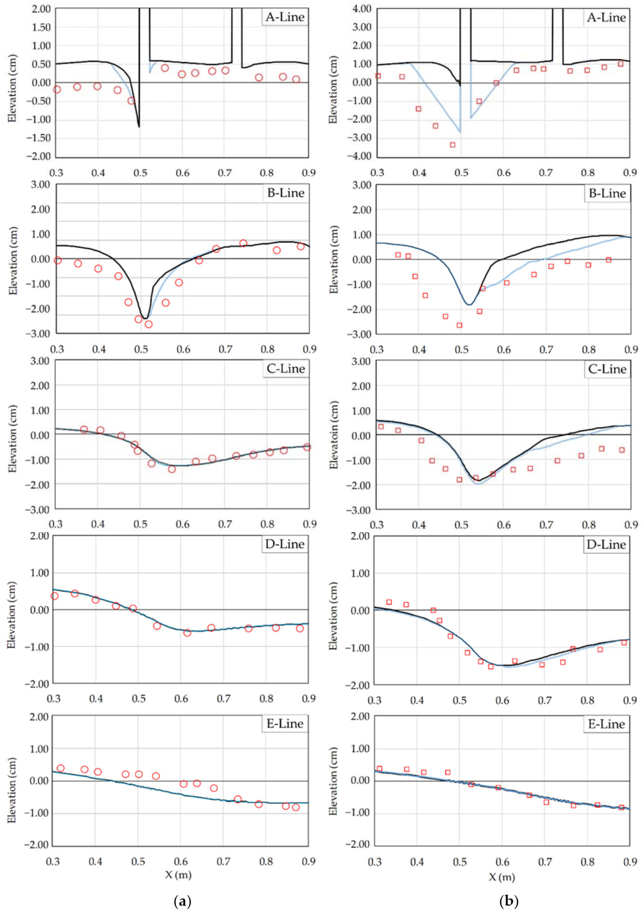
5.1. Simulation Results for the Experimental Case, Obtained Using the Original Model
5.2. Simulated Bed Changes in the Original and Adjusted Model
6. Discussion and Conclusions
6.1. Discussion
6.2. Conclusions
Author Contributions
Funding
Institutional Review Board Statement
Informed Consent Statement
Acknowledgments
Conflicts of Interest
Abbreviations
| Axy | turbulence viscosity coefficient |
| B | channel width |
| C | depth-integrated sediment concentration |
| Ck | concentration of the k-th size class |
| C*k | concentration of the k-th size class corresponding transport capacity |
| Cs | integration constant |
| cbk | sediment load of the k-th size class |
| D25 | particle size at which 25% by weight of the bed materials is finer |
| D50 | mean diameter |
| D75 | particle size at which 75% by weight of the bed materials is finer |
| Di | mean diameter of bed material at computational node i |
| E | scour depth |
| fCor | Coriolis parameter |
| Fr | Froude number |
| g | gravitational acceleration |
| h | water depth |
| i | computational node |
| k | number of sediment size class |
| L | distance of spur dike vertical to flume wall |
| depth integrated mixing length | |
| Lp | length of dike |
| Lsa | distance from the head of spur dike to the upstream side of scour hole |
| Lsb | distance from the head of spur dike to the lateral side of scour hole |
| Lsc | distance from the head of spur dike to the downstream side of scour hole |
| Lt | adaptation length for bed load |
| n | total number of nodes along the longitudinal bed profile |
| p’ | porosity of bed material |
| q | discharge per unit width |
| qb*k | bed load transport capacity |
| q*k | bed load transport rate |
| qbxk | bed load transport rate components in x direction |
| qbyk | bed load transport rate components in y direction |
| Q | discharge |
| S | downhill or uphill bed slope between two nodes calculated by the bed geometry |
| t | time in governing equations |
| U | total velocity |
| u | depth-integrated velocity component in x direction |
| u* | shear velocity |
| v | depth-integrated velocity component in y direction |
| V | averaged velocity |
| x | direction along the longitudinal bed profile |
| y | direction along the lateral bed profile |
| Zbk | bed change |
| bed elevation at computational node i modified by the angle of repose | |
| measured bed changes at computational node i | |
| simulated bed changes at computational node i | |
| coefficient of Neill (1980) [22] | |
| αs | adaptation coefficient for suspended load |
| β | coefficient to convert the turbulence eddy viscosity to eddy diffusivity for sediment |
| Δx | distance from computational node i to i + 1 |
| δb | thickness of bed layer |
| εs | eddy diffusivity of sediment |
| κ | von Karman’s constant |
| ρ | density of water |
| η | water surface elevation |
| θ | angle calculated based on the mesh nodes and the elevation of bed geometry |
| relative depth of the flow | |
| υt | eddy viscosity coefficient |
| τxx | depth integrated Reynolds stress in x direction at a plane perpendicular to x direction |
| τxy | depth integrated Reynolds stress in y direction at a plane perpendicular to x direction |
| τyx | depth integrated Reynolds stress in x direction at a plane perpendicular to y direction |
| τyy | depth integrated Reynolds stress in y direction at a plane perpendicular to y direction |
| τbx | shear stresses on the bed and flow interface in x direction |
| τby | shear stresses on the bed and flow interface in y direction |
| angle of repose at computational node i | |
| ωsk | settling velocity of k-th size class sediment particle |
References
- Guney, M.S.; Aksoy, A.O.; Bombar, G. Experimental study of local scour versus time around circular bridge pier. In Proceedings of the 6th International Advanced Technologies Symposium (IATS’11), Elazığ, Turkey, 16–18 May 2011; Firat University: Elazver, Turkey, 2011. [Google Scholar]
- Jia, Y.; Wang Sam, S.Y. CCHE2D: Two-Dimensional Hydrodynamic and Sediment Transport Model for Unsteady Open Channel Flows Over Loose Bed; Technical Report No. NCCHE-TR-2001-1; National Center for Computational Hydroscience and Engineering, The University of Mississippi: Oxford City, MS, USA, 2001. [Google Scholar]
- Jia, Y.; Wang Sam, S.Y. CCHE2D Verification and Validation Tests Documentation; Technical Report No. NCCHE-TR-2001-2; National Center for Computational Hydroscience and Engineering, The University of Mississippi: Oxford City, MS, USA, 2001. [Google Scholar]
- Lai, Y.G.; Greimann, B.P.; Wu, K. Soft bedrock erosion modeling with a two-dimensional depth-averaged model. J. Hydraul. Eng. 2011, 137, 804–814. [Google Scholar] [CrossRef]
- Liao, C.T.; Yeh, K.C.; Huang, M.W. Development and application of 2-D mobile-bed model with bedrock river evolution mechanism. J. Hydro-Environ. Res. 2014, 8, 210–222. [Google Scholar] [CrossRef]
- Juez, C.; Murillo, J.; García-Navarro, P. Numerical assessment of bed-load discharge formulations for transient flow in 1D and 2D situations. J. Hydroinform. 2013, 15, 1234–1257. [Google Scholar] [CrossRef]
- Juez, C.; Murillo, J.; García-Navarro, P. A 2D weakly-coupled and efficient numerical model for transient shallow flow and movable bed. Adv. Water Resour. 2014, 55, 93–109. [Google Scholar] [CrossRef]
- Juez, C.; Soares-Frazao, S.; Murillo, J.; García-Navarro, P. Experimental and numerical simulation of bed load transport over steep slopes. J. Hydraul. Res. 2017, 55, 455–469. [Google Scholar] [CrossRef]
- Horvat, Z.; Isic, M.; Spasojevic, M. Two dimensional river flow and sediment transport model. Environ. Fluid Mech. 2015, 15, 595–625. [Google Scholar] [CrossRef]
- Jia, Y.; Wang, S.S.Y. Simulation of horse-shoe vortex around a bridge pier. In Proceedings of the ASCE International Conference on Water Resource Engineering, Seattle, WA, USA, 8–12 August 1999. [Google Scholar]
- Nagata, N.; Hosoda, T.; Nakato, T.; Muramoto, Y. Three-dimensional numerical model for flow and bed deformation around river hydraulic structures. J. Hydraul. Eng. 2005, 131, 1074–1087. [Google Scholar] [CrossRef]
- Burkow, M.; Griebel, M. A full three dimensional numerical simulation of the sediment transport and the scouring at a rectangular obstacle. Comput. Fluids 2016, 125, 1–10. [Google Scholar] [CrossRef]
- Castillo, L.G.; Carrillo, J.M. Scour, velocities and pressures evaluations produced by spillway and outlets of dam. Water 2016, 8, 68. [Google Scholar] [CrossRef]
- Jia, Y.; Altinakar, M.; Guney, M.S. Three-dimensional numerical simulations of local scouring around bridge piers. J. Hydraul. Res. 2017. [CrossRef]
- Yang, F.G.; Liu, X.N.; Yang, K.J.; Cao, S.Y. Study on the angle of repose of nonuniform sediment. J. Hydrodyn. 2009, 21, 685–691. [Google Scholar] [CrossRef]
- Meng, Z.; Wang, H.; Yang, W. Experiment on angle of repose and angle of surface friction of cohesionless sediment. J. Tianjin Univ. Sci. Technol. 2015, 48, 11. [Google Scholar]
- Al-Hashemi, H.M.B.; Al-Amoudi, O.S.B. A review on the angle of repose of granular materials. Powder Technol. 2018, 330, 297–417. [Google Scholar] [CrossRef]
- Jhong, R.K. Study on Local Scour and Sediment Exchange around Spur Dikes. Ph.D. Thesis, Department of Civil Engineering, National Chiao Tung University, Hsinchu City, Taiwan, 2017. [Google Scholar]
- Jia, Y.; Wang, S.S.Y. Numerical model for channel flow and morphological change studies. J. Hydraul. Eng. ASCE 1999, 125, 924–933. [Google Scholar] [CrossRef]
- Jia, Y.; Wang, S.Y.Y.; Xu, Y. Validation and application of a 2D model to channels with complex geometry. Int. J. Comput. Eng. Sci. 2002, 3, 57–71. [Google Scholar] [CrossRef]
- Wu, W.M. CCHE2D Sediment Transport Model; Technical Report No. NCCHE-TR-2001-3; National Center for Computational Hydroscience and Engineering, The University of Mississippi: Oxford City, MS, USA, 2001. [Google Scholar]
- Copeland, R.R. Bank Protection Techniques Using Spur Dikes; Hydraulics Laboratory, U.S. Army Engineer Waterways Experiment Station: Vicksburg, MS, USA, 1983.
- Liu, H.K.; Chang, F.M.; Skinner, M.M. Effect of bridge construction on scour and backwater. In CER 60 HKL 22; Colorado State University Civil and Environmental Engineering Section: Fort Collins, CO, USA, 1961. [Google Scholar]
- Gill, M.A. Erosion of sand beds around spur dikes. J. Hydraul. Div. 1972, 98, 1587–1602. [Google Scholar] [CrossRef]
- Neill, C.R. River-Bed Scour—A Review for Engineers; Technical Publication No. 23; Canadian Good Roads Association: Ottawa, ON, Canada, 1964. [Google Scholar]


















| Case No. | Q (m3/s) | V (m/s) | h (m) | Fr |
|---|---|---|---|---|
| G4a | 0.0018 | 0.166 | 0.027 | 0.32 |
| G5a | 0.0023 | 0.17 | 0.033 | 0.30 |
| Parameters | Values | |
|---|---|---|
| Computational mesh | Total grids (lateral × longitudinal) | 63 × 337 |
| Minimum lateral mesh size (cm) | 0.5 | |
| Maximum lateral mesh size (cm) | 2.0 | |
| Minimum longitudinal mesh size (cm) | 0.5 | |
| Maximum longitudinal mesh size (cm) | 2.0 | |
| Flow module | Time step (s) | 0.1 |
| Total simulation time (s) | 18,000 | |
| Turbulence model | Mixing length model | |
| Turbulence viscosity coefficient | 2 | |
| Wall slipness coefficient | 1 | |
| Sediment transport module | Sediment transport formula | Wu et al. [21] |
| Minimum mixing layer thickness (m) | 0.01 | |
| Adaptation length for bed load transport (m), Lt | 0.4 | |
| Adaptation factor for suspended load, αs | 0.5 | |
| Bed material size class 1 (mm) | 0.149 | |
| Bed material size class 2 (mm) | 0.42 | |
| Bed material size class 3 (mm) | 0.84 |
| Case No. | Non-Dimensional Distance | |||
|---|---|---|---|---|
| Lsa/L | Lsb/L | Lsc/L | ||
| G4a | Measured | 0.98 | 1.17 | 2.21 |
| Original Model | 0.41 | 0.96 | 1.90 | |
| Adjusted Model | 0.62 | 1.15 | 1.92 | |
| Improved (%) | 21.43 | 16.24 | 0.90 | |
| G5a | Measured | 1.34 | 1.54 | 3.12 |
| Original Model | 0.78 | 1.02 | 2.16 | |
| Adjusted Model | 1.02 | 1.32 | 2.36 | |
| Improved (%) | 17.91 | 19.48 | 6.41 | |
| Case No. | Bed Profiles | |||||
|---|---|---|---|---|---|---|
| A-Line | B-Line | C-Line | D-Line | E-Line | ||
| G4a | MRE (cm)-Original | 0.247 | 0.335 | 0.056 | 0.092 | 0.190 |
| MRE (cm)-Adjusted | 0.226 | 0.319 | 0.056 | 0.092 | 0.190 | |
| G4a | RMSE (cm)-Original | 0.255 | 0.422 | 0.123 | 0.125 | 0.240 |
| RMSE (cm)-Adjusted | 0.244 | 0.403 | 0.123 | 0.125 | 0.240 | |
| G5a | MRE (cm)-Original | 0.436 | 0.347 | 0.306 | 0.270 | 0.292 |
| MRE (cm)-Adjusted | 0.195 | 0.296 | 0.284 | 0.268 | 0.292 | |
| G5a | RMSE (cm)-Original | 0.776 | 0.370 | 0.368 | 0.379 | 0.322 |
| RMSE (cm)-Adjusted | 0.347 | 0.351 | 0.342 | 0.313 | 0.322 | |
| Measurement, Numerical Model, and Empirical Formula for Calculating the Head Scouring Depth | Scour Depth (cm) | |
|---|---|---|
| Experimental Measurement | - | 2.00 |
| Original Model | - | 0.41 |
| Adjusted Model | - | 2.25 |
| Liu et al. [23] (1961) | 7.54 | |
| Gill [24] (1972) | 12.02 | |
| Neill [25] (1964) | 7.06–10.07 | |
Publisher’s Note: MDPI stays neutral with regard to jurisdictional claims in published maps and institutional affiliations. |
© 2021 by the authors. Licensee MDPI, Basel, Switzerland. This article is an open access article distributed under the terms and conditions of the Creative Commons Attribution (CC BY) license (https://creativecommons.org/licenses/by/4.0/).
Share and Cite
Liao, C.-T.; Yeh, K.-C.; Lan, Y.-C.; Jhong, R.-K.; Jia, Y. Improving the 2D Numerical Simulations on Local Scour Hole around Spur Dikes. Water 2021, 13, 1462. https://doi.org/10.3390/w13111462
Liao C-T, Yeh K-C, Lan Y-C, Jhong R-K, Jia Y. Improving the 2D Numerical Simulations on Local Scour Hole around Spur Dikes. Water. 2021; 13(11):1462. https://doi.org/10.3390/w13111462
Chicago/Turabian StyleLiao, Chung-Ta, Keh-Chia Yeh, Yin-Chi Lan, Ren-Kai Jhong, and Yafei Jia. 2021. "Improving the 2D Numerical Simulations on Local Scour Hole around Spur Dikes" Water 13, no. 11: 1462. https://doi.org/10.3390/w13111462
APA StyleLiao, C.-T., Yeh, K.-C., Lan, Y.-C., Jhong, R.-K., & Jia, Y. (2021). Improving the 2D Numerical Simulations on Local Scour Hole around Spur Dikes. Water, 13(11), 1462. https://doi.org/10.3390/w13111462
