Investigating the Effects of Agricultural Water Management in a Mediterranean Coastal Aquifer under Current and Projected Climate Conditions
Abstract
1. Introduction
2. Materials and Methods
2.1. Study Area Description
2.2. Modeling
2.3. Data Collection
2.4. Climate Change Impacts
3. Results
3.1. SWAT Model Application
3.2. SEAWAT Model Application
3.3. Water Budget of PRDP Aquifer under Projected Climate Conditions
3.4. Groundwater Chloride Concentration in PRDP Aquifer under Projected Climate Conditions
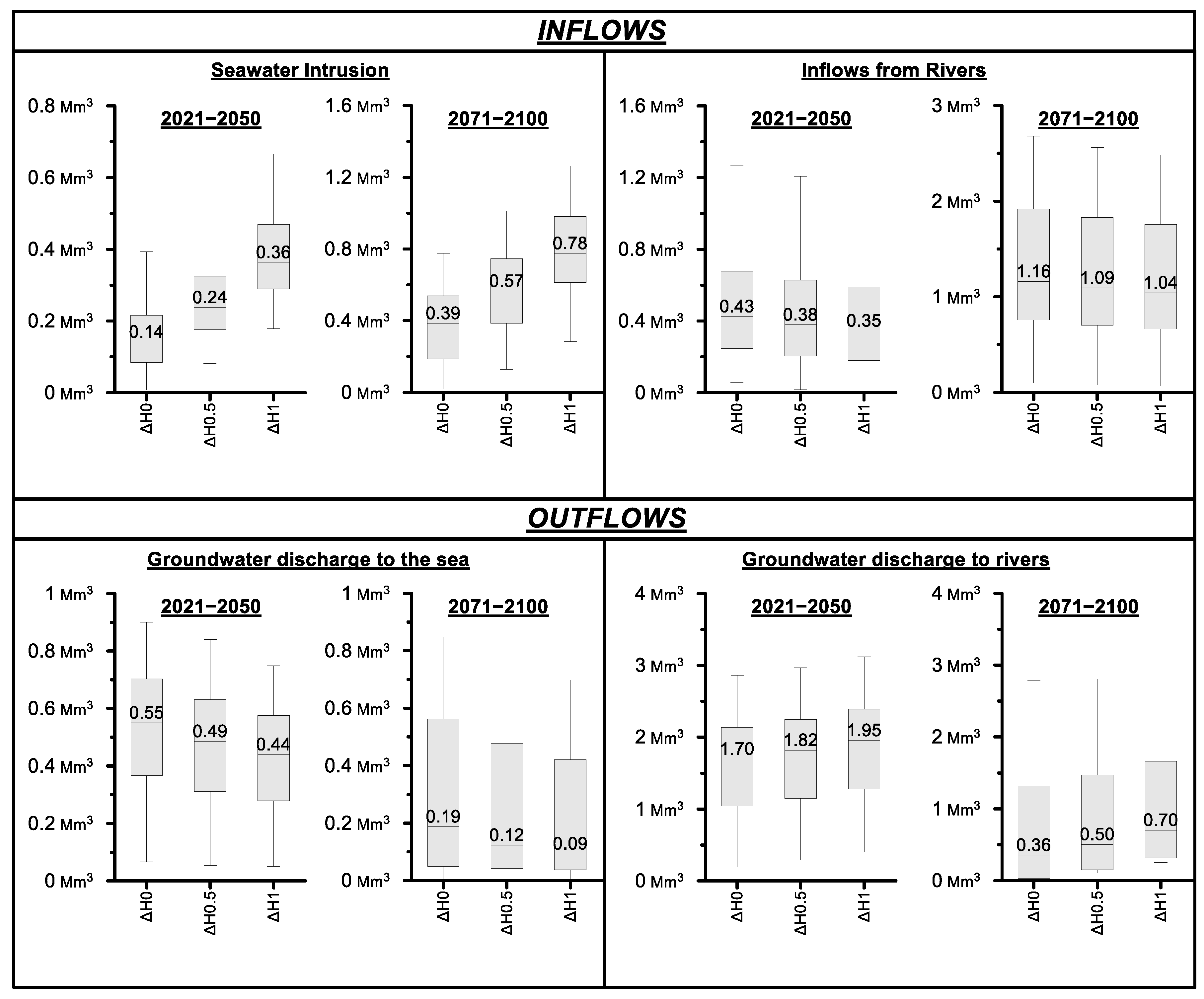
3.5. Effects of Sea Level Rise Scenarios on Water Budget and Groundwater Chloride Concentration
4. Discussion and Conclusions
4.1. Models Application
4.2. Water Budget under Current Climate Conditions
4.3. Projected Climate Change Impacts
5. Conclusions
Author Contributions
Funding
Institutional Review Board Statement
Informed Consent Statement
Data Availability Statement
Acknowledgments
Conflicts of Interest
References
- Shiklomanov, I.A.; Rodda, J.C. World Water Resources at the Beginning of the Twenty-First Century; Cambridge University Press: Cambridge, UK, 2003; ISBN 9780521617222. [Google Scholar]
- Rost, S.; Gerten, D.; Bondeau, A.; Lucht, W.; Rohwer, J.; Schaphoff, S. Agricultural Green and Blue Water Consumption and Its Influence on the Global Water System. Water Resour. Res. 2008, 44, 44. [Google Scholar] [CrossRef]
- Thivet, G.; Fernandez, S. Water Demand Management: The Mediterranean Experience; Global Water Partnership (GWP): Stockholm, Sweden, 2012; ISBN 9185321885. [Google Scholar]
- Bates, B.C.; Kundzewicz, Z.; Wu, S.; Palutikof, J. Climate Change and Water, IPCC Technical Paper VI; Intergovernmental Panel on Climate Change (IPCC): Geneva, Switzerland, 2008; ISBN 9789291691234. [Google Scholar]
- Alpert, P.; Hemming, D.; Jin, F.; Kay, G.; Kitoh, A.; Mariotti, A. The Hydrological Cycle of the Mediterranean; Springer Science and Business Media: Berlin/Heidelberg, Germany, 2013; Volume 50, pp. 201–239. [Google Scholar]
- Mariotti, A.; Zeng, N.; Yoon, J.-H.; Artale, V.; Navarra, A.; Alpert, P.; Li, L.Z.X. Mediterranean Water Cycle Changes: Transition to Drier 21st Century Conditions in Observations and CMIP3 Simulations. Environ. Res. Lett. 2008, 3, 044001. [Google Scholar] [CrossRef]
- De Fraiture, C.; Wichelns, D. Satisfying Future Water Demands for Agriculture. Agric. Water Manag. 2010, 97, 502–511. [Google Scholar] [CrossRef]
- Molden, D. Water for Food, Water for Life: A Comprehensive Assessment of Water Management in Agriculture; Earthscan: London, UK, 2007; ISBN 9781844073979. [Google Scholar]
- Olesen, J.; Trnka, M.; Kersebaum, K.; Skjelvåg, A.; Seguin, B.; Peltonensainio, P.; Rossi, F.; Kozyra, J.; Micale, F. Impacts and Adaptation of European Crop Production Systems to Climate Change. Eur. J. Agron. 2011, 34, 96–112. [Google Scholar] [CrossRef]
- Garrote, L.; Iglesias, A.; Granados, A.; Mediero, L.; Martín-Carrasco, F. Quantitative Assessment of Climate Change Vulnerability of Irrigation Demands in Mediterranean Europe. Water Resour. Manag. 2014, 29, 325–338. [Google Scholar] [CrossRef]
- Garrido, A.; Iglesias, A. Groundwater’s Role in Managing Water Scarcity in the Mediterranean Region. In Proceedings of the International Symposium on Groundwater Sustainability (ISGWAS), Alicante, Spain, 24–27 January 2006; pp. 113–138. [Google Scholar]
- Fornés, J.M.; La Hera, Á.; Llamas, M.R. The Silent Revolution in Groundwater Intensive Use and Its Influence in Spain. Hydrol. Res. 2005, 7, 253–268. [Google Scholar] [CrossRef]
- Mazi, A.; Koussis, A.D.; Destouni, G. Intensively Exploited Mediterranean Aquifers: Resilience to Seawater Intrusion and Proximity to Critical Thresholds. Hydrol. Earth Syst. Sci. 2014, 18, 1663–1677. [Google Scholar] [CrossRef]
- Nixon, S.; Trent, Z.; Marcuello, C.; Lallana, C. Europe’s Water: An Indicator-Based Assessment; European Environment Agency: Copenhagen, Denmark, 2003. [Google Scholar]
- Stigter, T.Y.; Nunes, J.P.; Pisani, B.J.; Fakir, Y.; Hugman, R.; Li, Y.; Tome, S.M.; Ribeiro, L.F.; Samper, J.; Oliveira, R.; et al. Comparative Assessment of Climate Change and Its Impacts on Three Coastal Aquifers in the Mediterranean. Reg. Environ. Chang. 2014, 14, 41–56. [Google Scholar] [CrossRef]
- Haj-Amor, Z.; Acharjee, T.K.; Dhaouadi, L.; Bouri, S. Impacts of Climate Change on Irrigation Water Requirement of Date Palms under Future Salinity Trend in Coastal Aquifer of Tunisian Oasis. Agric. Water Manag. 2020, 228, 105843. [Google Scholar] [CrossRef]
- Werner, A.D.; Bakker, M.; Post, V.E.A.; Vandenbohede, A.; Lu, C.; Ataie-Ashtiani, B.; Simmons, C.T.; Barry, D. Seawater Intrusion Processes, Investigation and Management: Recent Advances and Future Challenges. Adv. Water Resour. 2013, 51, 3–26. [Google Scholar] [CrossRef]
- Alcolea, A.; Contreras, S.; Hunink, J.E.; García-Aróstegui, J.L.; Jimenez-Martinez, J. Hydrogeological Modelling for the Watershed Management of the Mar Menor Coastal Lagoon (Spain). Sci. Total. Environ. 2019, 663, 901–914. [Google Scholar] [CrossRef] [PubMed]
- Voss, C.I.; Provost, A.M. SUTRA: A model for 2D or 3D Saturated-Unsaturated, Variable-Density Ground-Water Flow with Solute or Energy Transport. Water-Resour. Investig. Rep. 2002, 4231. [Google Scholar] [CrossRef]
- Hugman, R.; Stigter, T.Y.; Costa, L.; Monteiro, J.-P. Numerical Modelling Assessment of Climate-Change Impacts and Mitigation Measures on the Querença-Silves Coastal Aquifer (Algarve, Portugal). Hydrogeol. J. 2017, 25, 2105–2121. [Google Scholar] [CrossRef]
- Siarkos, I.; Latinopoulos, P. Modeling Seawater Intrusion in Overexploited Aquifers in the Absence of Sufficient Data: Application to the Aquifer of Nea Moudania, Northern Greece. Hydrogeol. J. 2016, 24, 2123–2141. [Google Scholar] [CrossRef]
- Abd-Elhamid, H.F.; Abdelaty, I.; Sherif, M. Evaluation of Potential Impact of Grand Ethiopian Renaissance Dam on Seawater Intrusion in the Nile Delta Aquifer. Int. J. Environ. Sci. Technol. 2019, 16, 2321–2332. [Google Scholar] [CrossRef]
- Khadra, W.M.; Stuyfzand, P.J. Simulation of Saltwater Intrusion in a Poorly Karstified Coastal Aquifer in Lebanon (Eastern Mediterranean). Hydrogeol. J. 2018, 26, 1839–1856. [Google Scholar] [CrossRef]
- Romanazzi, A.; Gentile, F.; Polemio, M. Modelling and Management of a Mediterranean Karstic Coastal Aquifer under the Effects of Seawater Intrusion and Climate Change. Environ. Earth Sci. 2015, 74, 115–128. [Google Scholar] [CrossRef]
- Romanazzi, A.; Polemio, M. Modellazione Degli Acquiferi Carsici Costieri a Supporto Della Gestione: IL Caso Del Salento (PUGLIA). Ital. J. Eng. Geol. Environ. 2013, 2013, 65–83. [Google Scholar] [CrossRef]
- Arnold, J.G.; Srinivasan, R.; Muttiah, R.S.; Williams, J.R. Large Area Hydrologic Modeling and Assessment Part I: Model Development. JAWRA J. Am. Water Resour. Assoc. 1998, 34, 73–89. [Google Scholar] [CrossRef]
- Arnold, J.G.; Kiniry, J.R.; Srinivasan, R.; Williams, J.R.; Haney, E.B.; Neitsch, S.L. Soil and Water Assessment Tool, Input/Output Documentation—Version 2012; Texas Water Resources Institute: College Station, TX, USA, 2012; Available online: https://swat.tamu.edu/media/69296/swat-io-documentation-2012.pdf. (accessed on 31 December 2020).
- Langevin, C.D.; Thorne Jr., D.T.; Dausman, A.M.; Sukop, M.C.; Guo, W. SEAWAT Version 4: A Computer Program. for Simulation of Multi-Species Solute and Heat Transport. Tech. Methods 2008, 6. [Google Scholar] [CrossRef]
- Katsikatsios, G.; Migiros, G. Rapsani Sheet—Geological Map in Scale 1:50,000; Institute of Geology and Mineral Exploration: Athens, Greece, 1982. [Google Scholar]
- Alexopoulos, J.; Matiatos, J.; Dilalos, S.; Vassilakis, E.; Panagopoulos, A.; Ghionis, G.; Poulos, S. Investigation of the Phreatic Aquifer Development at the Pinios Delta Basin (Thessaly), through a Combination of Geophysical and Hydrogeological Data. In Proceedings of the 10th Congress of the Hellenic Geographical Society, Mytilene, Greece, 22–24 October 2014; pp. 1130–1139. [Google Scholar]
- McDonald, M.G.; Harbaugh, A.W. A Modular Three-Dimensional Finite-Difference Ground-Water Flow Model; U.S. Department of Energy Office of Scientific and Technical Information: Oak Ridge, TN, USA, 1988. [Google Scholar]
- Zheng, C.; Wang, P.P. MT3DMS: A Modular Three-Dimensional Multispecies Transport Model for Simulation of Advection, Dispersion and Chemical Reactions of Contaminants in Groundwater Systems, Documentation and User’s Guide; Engineer Research and Development Center: Washington, DC, USA, 1999. [Google Scholar]
- Srinivasan, R.; Zhang, X.; Arnold, J.G. SWAT Ungauged: Hydrological Budget and Crop Yield Predictions in the Upper Mississippi River Basin. Trans. ASABE 2010, 53, 1533–1546. [Google Scholar] [CrossRef]
- Neitsch, S.L.; Arnold, J.G.; Kiniry, J.R.; Williams, J.R. Soil and Water Assessment Tool, Theoritical Documentation; Version 2009; Texas A&M University: College Station, TX, USA, 2011. [Google Scholar]
- Monteith, J.L. Climate and the Efficiency of Crop Production in Britain. Philos. Trans. R. Soc. Lond. B 1977, 281, 277–294. [Google Scholar] [CrossRef]
- Šimůnek, J.; Šejna, M.; Saito, H.; Sakai, M.; van Genuchten, M.T. The HYDRUS-1D Software Package for Simulating the One-Dimensional Movement of Water, Heat, and Multiple Solutes in Variably-Saturated Media; Department of Environmental Sciences, University of California: Riverside, CA, USA, 2009. [Google Scholar]
- Akhtar, F.; Tischbein, B.; Awan, U.K. Optimizing Deficit Irrigation Scheduling Under Shallow Groundwater Conditions in Lower Reaches of Amu Darya River Basin. Water Resour. Manag. 2013, 27, 3165–3178. [Google Scholar] [CrossRef]
- Awan, U.K.; Tischbein, B.; Martius, C. A GIS—Based Approach for Up-Scaling Capillary Rise from Field to System Level under Soil-Crop-Groundwater MIX. Irrig. Sci. 2014, 32, 449–458. [Google Scholar] [CrossRef]
- Khakbaz, B.; Imam, B.; Hsu, K.; Sorooshian, S. From Lumped to Distributed via Semi-distributed: Calibration Strategies for Semi-distributed Hydrologic Models. J. Hydrol. 2012, 61–77. [Google Scholar] [CrossRef]
- Chang, S.W.; Nemec, K.; Kalin, L.; Clement, T.P. Impacts of Climate Change and Urbanization on Groundwater Resources in a Barrier Island. J. Environ. Eng. 2016, 142, 4016001. [Google Scholar] [CrossRef]
- Toulios, L.; Lelentzis, T.; Lipimenou, E. Soil Survey of Pinios River Delta; Hellenic National Research Foundation: Larisa, Greece, 1997. [Google Scholar]
- Van Meijgaard, E.; Van Ulft, L.H.; Van De Berg, W.J.; Bosveld, F.C.; Van Den Hurk, B.J.J.M.; Lenderink, G.; Siebesma, A.P. The KNMI Regional Atmospheric Climate Model RACMO Version 2.1; Koninklijk Nederlands Meteorologisch Instituut: De Bilt, The Netherlands, 2008. [Google Scholar]
- Karali, A.; Hatzaki, M.; Giannakopoulos, C.; Roussos, A.; Xanthopoulos, G.; Tenentes, V. Sensitivity and Evaluation of Current Fire Risk and Future Projections Due to Climate Change: The Case Study of Greece. Nat. Hazards Earth Syst. Sci. 2014, 14, 143–153. [Google Scholar] [CrossRef]
- ENSEMBLES RCM—Specific Weights Based on Their Ability to Simulate the Present Climate Calibrated for the ERA40-Based Simulations; Deliverable 3.2.2 of ENSEMBEL Project; ENSEMBLES RCM: Cincinnati, OH, USA, 2009.
- Deidda, R.; Marrocu, M.; Caroletti, G.N.; Pusceddu, G.; Langousis, A.; Lucarini, V.; Puliga, M.; Speranza, A. Regional Climate Models’ Performance in Representing Precipitation and Temperature over Selected Mediterranean Areas. Hydrol. Earth Syst. Sci. 2013, 17, 5041–5059. [Google Scholar] [CrossRef]
- Kostopoulou, E.; Giannakopoulos, C.; Hatzaki, M.; Tziotziou, K. Climate Extremes in the NE Mediterranean: Assessing the E-OBS Dataset and Regional Climate Simulations. Clim. Res. 2012, 54, 249–270. [Google Scholar] [CrossRef]
- Arampatzis, G.; Panagopoulos, A.; Pisinaras, V.; Tziritis, E.; Wendland, F. Identifying Potential Effects of Climate Change on the Development of Water Resources in Pinios River Basin, Central Greece. Appl. Water Sci. 2018, 8, 51. [Google Scholar] [CrossRef]
- Pisinaras, V.; Wei, Y.; Bärring, L.; Gemitzi, A. Conceptualizing and Assessing the Effects of Installation and Operation of Photovoltaic Power Plants on Major Hydrologic Budget Constituents. Sci. Total. Environ. 2014, 493, 239–250. [Google Scholar] [CrossRef] [PubMed]
- Pisinaras, V. Assessment of Future Climate Change Impacts in a Mediterranean Aquifer. Glob. NEST J. 2016, 18, 119–130. [Google Scholar] [CrossRef]
- IPCC. Climate Change 2014: Synthesis Report. In Contribution of Working Groups I, II and III to the Fifth Assessment Report of the Intergovernmental Panel on Climate Change; IPCC: Geneva, Switzerland, 2014. [Google Scholar]
- Rahmstorf, S. A Semi-Empirical Approach to Projecting Future Sea-Level Rise. Science 2007, 315, 368–370. [Google Scholar] [CrossRef] [PubMed]
- Hansen, E.J. Scientific Reticence and Sea Level Rise. Environ. Res. Lett. 2007, 2, 024002. [Google Scholar] [CrossRef]
- Ketabchi, H.; Mahmoodzadeh, D.; Ataie-Ashtiani, B.; Simmons, C.T. Sea-Level Rise Impacts on Seawater Intrusion in Coastal Aquifers: Review and Integration. J. Hydrol. 2016, 535, 235–255. [Google Scholar] [CrossRef]
- Gitau, M.W.; Chaubey, I. Regionalization of SWAT Model Parameters for Use in Ungauged Watersheds. Water 2010, 2, 849–871. [Google Scholar] [CrossRef]
- Omani, N.; Srinivasan, R.; Lee, T. Estimating Sediment. and Nutrient Loads of Texas Coastal Watersheds with SWAT A Case Study of Galveston Bay and Matagorda Bay; Final Report for the Texas Water Development Board; Texas A&M University: College Station, TX, USA, 2012. Available online: https://www.twdb.texas.gov/publications/reports/contracted_reports/doc/1004831012_SWAT.pdf (accessed on 31 December 2020).
- Prabhanjan, A.; Rao, E.P.; Eldho, T. Application of SWAT Model and Geospatial Techniques for Sediment-Yield Modeling in Ungauged Watersheds. J. Hydrol. Eng. 2015, 20, 6014005. [Google Scholar] [CrossRef]
- Monteith, J.L. Evaporation and Environment. Symp. Soc. Exp. Biol. 1965, 19, 205–234. [Google Scholar]
- Jensen, M.E. Water Consumption by Agricultural Plants (Chapter 1). In Water Deficits and Plant Growth; Kozlowski, T.T., Ed.; Academic Press: New York, NY, USA, 1968; pp. 1–22. [Google Scholar]
- Doorenbos, J.; Pruitt, W.O. Guidelines for Predicting Crop Water Requirements, FAO Irrigation and Drainage Paper No. 24; Food and Agriculture Organization (FAO): Rome, Italy, 1977; ISBN 9251002797. [Google Scholar]
- Allen, R.G.; Pereira, L.S.; Raes, D.; Smith, M. Crop. Evapotranspiration: Guidelines for Computing Crop Water Requirements. FAO Irrigation and Drainage Paper 56; Food and Agriculture Organization of the United Nations: Rome, Italy, 1998; ISBN 9251042195. [Google Scholar]
- Papazafeiriou, Z. Crop. Irrigation Needs; Zitis Publishing: Thessaloniki, Greece, 1999; ISBN 960-431-580-3. (In Greek) [Google Scholar]
- Galanopoulou-Sendouka, S. Industrial Crops; Stamoulis Publishing: Athens, Greece, 2002. [Google Scholar]
- Cobaner, M.; Yurtal, R.; Dogan, A.; Motz, L.H. Three Dimensional Simulation of Seawater Intrusion in Coastal Aquifers: A Case Study in the Goksu Deltaic Plain. J. Hydrol. 2012, 2012, 262–280. [Google Scholar] [CrossRef]
- Datta, B.; Vennalakanti, H.; Dhar, A. Modeling and Control of Saltwater Intrusion in a Coastal Aquifer of Andhra Pradesh, India. Hydro. Res. 2009, 3, 148–159. [Google Scholar] [CrossRef]
- Nofal, E.; Amer, M.; El-Didy, S.; Fekry, A.M. Delineation and Modeling of Seawater Intrusion into the Nile Delta Aquifer: A New Perspective. Water Sci. 2015, 29, 156–166. [Google Scholar] [CrossRef]
- Chang, Y.; Hu, B.X.; Xu, Z.; Li, X.; Tong, J.; Chen, L.; Zhang, H.; Miao, J.; Liu, H.; Ma, Z. Numerical Simulation of Seawater Intrusion to Coastal Aquifers and Brine Water/Freshwater Interaction in South Coast of Laizhou Bay, China. J. Contam. Hydrol. 2018, 215, 1–10. [Google Scholar] [CrossRef] [PubMed]
- Mansour, A.Y.S.; Baba, A.; Gunduz, O.; Şimşek, C.; Elçi, A.; Murathan, A.; Sözbilir, H. Modeling of Seawater Intrusion in a Coastal Aquifer of Karaburun Peninsula, Western Turkey. Environ. Earth Sci. 2017, 76, 775. [Google Scholar] [CrossRef]
- Zhao, J.; Lin, J.; Wu, J.; Yang, Y.; Wu, J. Numerical Modeling of Seawater Intrusion in Zhoushuizi District of Dalian City in Northern China. Environ. Earth Sci. 2016, 75, 1–18. [Google Scholar] [CrossRef]
- Zeng, X.; Wu, J.; Wang, D.; Zhu, X. Assessing the Pollution Risk of a Groundwater Source Field at Western Laizhou Bay under Seawater Intrusion. Environ. Res. 2016, 148, 586–594. [Google Scholar] [CrossRef]
- Emam, A.R.; Kappas, M.; Linh, N.H.K.; Renchin, T. Hydrological Modeling and Runoff Mitigation in an Ungauged Basin of Central Vietnam Using SWAT Model. Hydrology 2017, 4, 16. [Google Scholar] [CrossRef]
- Immerzeel, W.W.; Gaur, A.; Zwart, S.J. Integrating Remote Sensing and a Process-Based Hydrological Model to Evaluate Water Use and Productivity in a South Indian Catchment. Agric. Water Manag. 2008, 95, 11–24. [Google Scholar] [CrossRef]
- Cheema, M.J.M.; Immerzeel, W.; Bastiaanssen, W. Spatial Quantification of Groundwater Abstraction in the Irrigated Indus Basin. Ground Water 2014, 52, 25–36. [Google Scholar] [CrossRef]
- Matiatos, I.; Paraskevopoulou, V.; Lazogiannis, K.; Botsou, F.; Dassenakis, M.; Ghionis, G.; Alexopoulos, J.D.; Poulos, S.E. Surface–Ground Water Interactions and Hydrogeochemical Evolution in a Fluvio-Deltaic Setting: The Case Study of the Pinios River Delta. J. Hydrol. 2018, 561, 236–249. [Google Scholar] [CrossRef]
- Panagopoulos, A.; Kotsopoulos, S.; Kalfountzos, D.; Alexiou, I.; Evangelopoulos, A.; Belesis, A. Supplementary Environmental Acts of Reg. 2078/92/EU-Study of Natural Resources and Factors Influencing the Yield and the Quality Characteristics of Agricultural Areas in Thessaly; Hellenic National Research Foundation: Thessaloniki, Greece, 2001. [Google Scholar]
- Lambrakis, N.J.; Voudouris, K.; Tiniakos, L.N.; Kallergis, G.A. Impacts of Simultaneous Action of Drought and Overpumping on Quaternary Aquifers of Glafkos Basin (Patras region, western Greece). Environ. Earth Sci. 1997, 29, 209–215. [Google Scholar] [CrossRef]
- Pisinaras, V.; Petalas, C.; Tsihrintzis, V.A.; Karatzas, G.P. Integrated Modeling as a Decision-Aiding Tool for Groundwater Management in a Mediterranean Agricultural Watershed. Hydrol. Process. 2013, 27, 1973–1987. [Google Scholar] [CrossRef]
- Soppe, R.; Ayars, J. Characterizing Ground Water Use by Safflower Using Weighing Lysimeters. Agric. Water Manag. 2003, 60, 59–71. [Google Scholar] [CrossRef]
- Kahlown, M.; Ashraf, M.; Haq, Z.-U. Effect of Shallow Groundwater Table on Crop Water Requirements and Crop Yields. Agric. Water Manag. 2005, 76, 24–35. [Google Scholar] [CrossRef]
- Babajimopoulos, C.; Panoras, A.; Georgoussis, H.; Arampatzis, G.; Hatzigiannakis, E.; Papamichail, D. Contribution to Irrigation from Shallow Water Table under Field Conditions. Agric. Water Manag. 2007, 92, 205–210. [Google Scholar] [CrossRef]
- Zanis, P.; Kapsomenakis, I.; Philandras, C.; Douvis, K.; Nikolakis, D.; Kanellopoulou, E.; Zerefos, C.; Repapis, C. Analysis of an Ensemble of Present Day and Future Regional Climate Simulations for Greece. Int. J. Clim. 2009, 29, 1614–1633. [Google Scholar] [CrossRef]
- Vasiliades, L.; Loukas, A.; Patsonas, G. Evaluation of a Statistical Downscaling Procedure for the Estimation of Climate Change Impacts on Droughts. Nat. Hazards Earth Syst. Sci. 2009, 9, 879–894. [Google Scholar] [CrossRef]
- Tsakmakis, I.; Kokkos, N.; Pisinaras, V.; Papaevangelou, V.; Hatzigiannakis, E.; Arampatzis, G.; Gikas, G.; Linker, R.; Zoras, S.; Evagelopoulos, V.; et al. Operational Precise Irrigation for Cotton Cultivation through the Coupling of Meteorological and Crop Growth Models. Water Resour. Manag. 2016, 31, 563–580. [Google Scholar] [CrossRef]
- Tsakmakis, I.; Kokkos, N.; Gikas, G.D.; Pisinaras, V.; Hatzigiannakis, E.; Arampatzis, G.; Sylaios, G. Evaluation of Aquacrop Model Simulations of Cotton Growth under Deficit Irrigation with an Emphasis on Root Growth and Water Extraction Patterns. Agric. Water Manag. 2019, 213, 419–432. [Google Scholar] [CrossRef]
- Taylor, C.A.; Stefan, H.G. Shallow Groundwater Temperature Response to Climate Change and Urbanization. J. Hydrol. 2009, 375, 601–612. [Google Scholar] [CrossRef]
- Kurylyk, B.L.; MacQuarrie, K.T.B.; Voss, C.I. Climate Change Impacts on the Temperature and Magnitude of Groundwater Discharge from Shallow, Unconfined Aquifers. Water Resour. Res. 2014, 50, 3253–3274. [Google Scholar] [CrossRef]
- Libutti, A.; Monteleone, M. Soil vs. Groundwater: The Quality Dilemma. Managing Nitrogen Leaching and Salinity Control under Irrigated Agriculture in Mediter-Ranean Conditions. Agric. Water Manag. 2017, 186, 40–50. [Google Scholar] [CrossRef]
- Zekri, S.; Madani, K.; Bazargan-Lari, M.R.; Kotagama, H.; Kalbus, E. Feasibility of Adopting Smart Water Meters in Aquifer Management: An Integrated Hydro-Economic Analysis. Agric. Water Manag. 2017, 181, 85–93. [Google Scholar] [CrossRef]










| Actual Evapotranspiration (ETa) (mm per Cultivation Period) | |||||||
|---|---|---|---|---|---|---|---|
| Corn | Cotton | Sunflower | Wheat | Alfalfa | Kiwi Fruit | ||
| SWAT model | No. of HRUs | 57 | 12 | 64 | 56 | 32 | 19 |
| Average | 611.2 | 582.4 | 539.5 | 262.6 | 702.9 | 684.4 | |
| Median | 612.2 | 591.4 | 540.1 | 262.4 | 703.5 | 681.5 | |
| Min | 540.1 | 543.1 | 520.0 | 226.0 | 667.0 | 669.1 | |
| Max | 636.2 | 598.2 | 551.3 | 274.0 | 716.9 | 701.0 | |
| Crop Reference Evapotranspiration (ETc) (mm per Cultivation Period) | |||||||
| Kc approach | 615.1 | 585.8 | 553.9 | 294.7 | 757.9 | 732.7 | |
| Groundwater Level | Groundwater Cl− Concentration | ||||
|---|---|---|---|---|---|
| Index | Calibration | Validation | Index | Calibration | Validation |
| No of Observations | 198 | 136 | No of Observations | 53 | 53 |
| SLP | 0.985 | 1.019 | SLP | 0.877 | 0.959 |
| R2 | 0.992 | 0.985 | R2 | 0.966 | 0.963 |
| ME (m) | −0.068 | −0.061 | ME (mg/L) | −7.238 | −6.255 |
| MAE (m) | 0.280 | 0.450 | MAE (mg/L) | 14.745 | 20.781 |
| RMSE (m) | 0.417 | 0.608 | RMSE (mg/L) | 32.077 | 41.129 |
| NRMSE (%) | 1.855 | 2.517 | NRMSE (%) | 6.179 | 7.058 |
Publisher’s Note: MDPI stays neutral with regard to jurisdictional claims in published maps and institutional affiliations. |
© 2021 by the authors. Licensee MDPI, Basel, Switzerland. This article is an open access article distributed under the terms and conditions of the Creative Commons Attribution (CC BY) license (http://creativecommons.org/licenses/by/4.0/).
Share and Cite
Pisinaras, V.; Paraskevas, C.; Panagopoulos, A. Investigating the Effects of Agricultural Water Management in a Mediterranean Coastal Aquifer under Current and Projected Climate Conditions. Water 2021, 13, 108. https://doi.org/10.3390/w13010108
Pisinaras V, Paraskevas C, Panagopoulos A. Investigating the Effects of Agricultural Water Management in a Mediterranean Coastal Aquifer under Current and Projected Climate Conditions. Water. 2021; 13(1):108. https://doi.org/10.3390/w13010108
Chicago/Turabian StylePisinaras, Vassilios, Charalampos Paraskevas, and Andreas Panagopoulos. 2021. "Investigating the Effects of Agricultural Water Management in a Mediterranean Coastal Aquifer under Current and Projected Climate Conditions" Water 13, no. 1: 108. https://doi.org/10.3390/w13010108
APA StylePisinaras, V., Paraskevas, C., & Panagopoulos, A. (2021). Investigating the Effects of Agricultural Water Management in a Mediterranean Coastal Aquifer under Current and Projected Climate Conditions. Water, 13(1), 108. https://doi.org/10.3390/w13010108
