Spatial and Temporal Patterns of δ13C and δ15N of Suspended Particulate Organic Matter in Maryland Coastal Bays, USA
Abstract
1. Introduction
- Determine spatial and temporal variability of the carbon and nitrogen stable isotope composition of SPOM; and
- Identify the sources of SPOM based on the stable isotope composition and a mixing model. It was hypothesized that major hydrological events with the accompanying freshwater discharge influence the contributions of terrestrially derived organic matter to the SPOM in the MCBs with the highest levels in areas near the mouths of tributaries especially in fall and winter, and lowest amounts in areas near the inlets, especially in the summer.
2. Materials and Methods
2.1. Study Area
2.2. Sampling Method
2.3. Sample Analyses
2.3.1. Nutrient and Pigment Analyses
2.3.2. Stream Flow
2.3.3. Stable Isotope Analysis
2.4. Data Analyses
3. Results
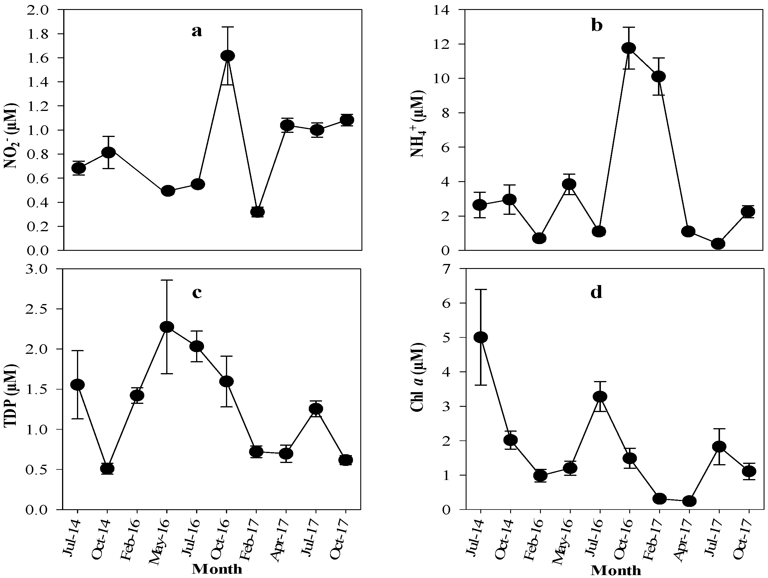
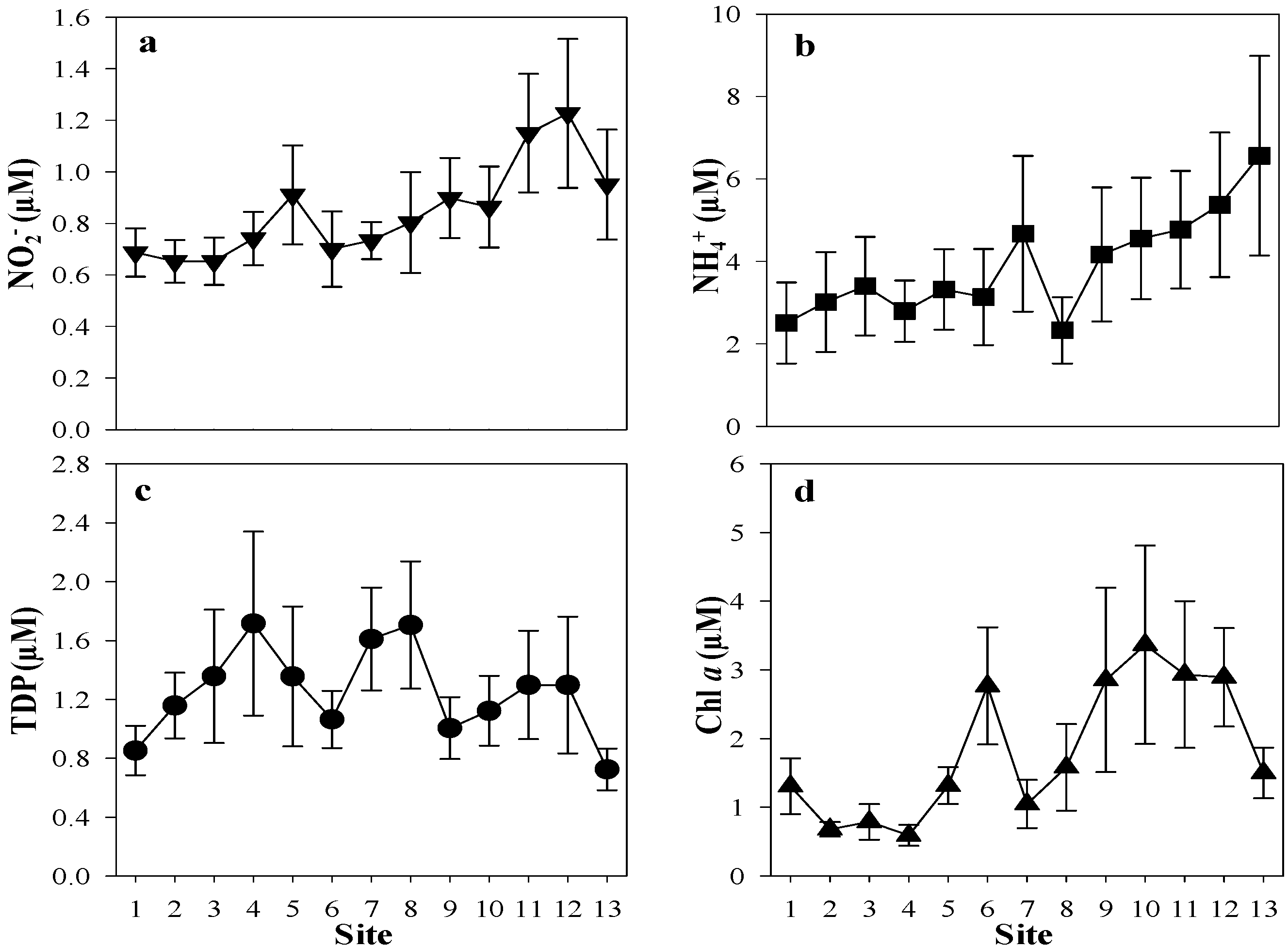
3.1. Environmental Parameters
3.2. Spatial Variation of SPOM δ13C, δ15N and C:N
3.3. Temporal Variation of SPOM δ13C, δ15N and C:N
3.4. Relationships between δ13C, δ15N, Chl a, Salinity, NO2− and NH4+
3.5. Sources of SPOM δ15N and δ13C
4. Discussion
4.1. General Pattern of SPOM δ13C, δ15N and C/N Ratios
4.2. Spatial Pattern of SPOM δ13C, δ15N and C/N Ratio
4.3. Temporal Patterns of SPOM δ13C, δ15N and C:N Ratio
4.4. Sources of SPOM in MCBs
4.5. Relationship between δ13C, δ15N, Salinity and Chl a
4.6. Relationship between δ13C and C:N
5. Conclusions
Author Contributions
Funding
Acknowledgments
Conflicts of Interest
References
- Berto, D.; Rampazzo, F.; Noventa, S.; Cacciatore, F.; Gabellini, M.; Aubry, F.B.; Girolimetto, A.; Brusa, R.B. Stable carbon and nitrogen isotope ratios as tools to evaluate the nature of particulate organic matter in the Venice lagoon. Estuar. Coast. Shelf Sci. 2013, 135, 66–76. [Google Scholar] [CrossRef]
- Canuel, E.A.; Hardison, A.K. Sources, ages, and alteration of organic matter in estuaries. Annu. Rev. Mar. Sci. 2016, 8, 409–434. [Google Scholar] [CrossRef] [PubMed]
- Liénart, C.; Savoye, N.; Bozec, Y.; Breton, E.; Conan, P.; David, V.; Feunteun, E.; Grangeré, K.; Kerhervé, P.; Lebreton, B.; et al. Dynamics of particulate organic matter composition in coastal systems: A spatio-temporal study at multi-systems scale. Prog. Oceanogr. 2017, 156, 221–239. [Google Scholar] [CrossRef]
- Glibert, P.M.; Middelburg, J.J.; McClelland, J.W.; Vander Zanden, M.J. Stable isotope tracers: Enriching our perspectives and questions on sources, fates, rates, and pathways of major elements in aquatic systems. Limnol. Oceanogr. 2019, 64, 950–981. [Google Scholar] [CrossRef]
- Espinasse, B.; Harmelin-Vivien, M.; Tiano, M.; Guilloux, L.; Carlotti, F. Patterns of variations in C and N stable isotope ratios in size-fractionated zooplankton in the Gulf of Lion, NW Mediterranean Sea. J. Plankton Res. 2014, 36, 1204–1215. [Google Scholar] [CrossRef]
- Hansson, S.; Hobbie, J.E.; Elmgren, R.; Larsson, U.; Fry, B.; Johansson, S. The stable nitrogen isotope ratio as a marker for food web interactions and fish migration. Ecology 1997, 78, 2249–2257. [Google Scholar] [CrossRef]
- Schell, D.M.; Barnett, B.A.; Vinette, K.A. Carbon and nitrogen isotope ratios in zooplankton of the Bering, Chukchi and Beaufort Seas. Mar. Ecol. Prog. Ser. 1998, 162, 11–23. [Google Scholar] [CrossRef]
- Savoye, N.; Aminot, A.; Treguer, P.; Fontugne, M.; Naulet, N.; Kerouel, R. Dynamics of particulate organic matter δ15N and δ13C during spring phytoplankton blooms in a macrotidal ecosystem (Bay of Seine, France). Mar. Ecol. Prog. Ser. 2003, 255, 27–41. [Google Scholar] [CrossRef]
- Lamb, K.; Swart, P.K. The carbon and nitrogen isotopic values of particulate organic material from the Florida Keys: A temporal and spatial study. Coral Reefs 2008, 27, 353–362. [Google Scholar] [CrossRef]
- Barros, G.V.; Martinelli, L.A.; Novais, T.M.O.; Ometto, J.P.H.; Zuppi, G.M. Stable isotopes of bulk organic matter to trace carbon and nitrogen dynamics in an estuarine ecosystem in Babitonga Bay (Santa Catarina, Brazil). Sci. Total Environ. 2010, 408, 2226–2232. [Google Scholar] [CrossRef]
- Ye, F.; Guo, W.; Shi, Z.; Jia, G.; Wei, G. Seasonal dynamics of particulate organic matter and its response to flooding in the Pearl River Estuary, China, revealed by stable isotope (δ13C and δ15N) analyses. J. Geophys. Res. Ocean. 2017, 122, 6835–6856. [Google Scholar] [CrossRef]
- Cifuentes, L.A.; Eldridge, P.M. A mass- and isotope- balance model of DOC mixing in estuaries. Limnol. Oceanogr. 1998, 43, 1872–1882. [Google Scholar] [CrossRef]
- Harmelin-Vivien, M.; Loizeau, V.; Mellon, C.; Beker, D.; Arlhac, D.; Bodiguel, X.; Ferraton, F.; Herman, R.; Phillippon, X.; Salen-Picard, C. Comparison of C and N stable isotope ratios between surface particulate organic matter and microphytoplankton in the Gulf of Lions (NW Mediterranean). Cont. Shelf Res. 2008, 28, 1911–1918. [Google Scholar] [CrossRef]
- Kendall, C. Tracing Nitrogen Sources and Cycling in Catchments. In Isotope Tracers in Catchment Hydrology; Kendall, C., McDonnell, J.J., Eds.; Elsevier Science B.V.: Amsterdam, The Netherlands, 1998; pp. 519–576. [Google Scholar]
- Aravena, R.M.; Evans, M.L.; Cherry, J.A. Stable isotopes of oxygen and nitrogen in source identification of nitrate from septic systems. Ground Water 1993, 31, 180–186. [Google Scholar] [CrossRef]
- Ruiz-Fernández, A.C.; Hillaire-Marcel, C.; Ghaleb, B.; Soto-Jiménez, M.; Páez-Osuna, F. Recent sedimentary history of anthropogenic impacts on the Culiacan River estuary, northwestern Mexico: Geochemical evidence from organic matter and nutrients. Environ. Pollut. 2002, 118, 365–377. [Google Scholar] [CrossRef]
- Montoya, J.P.; Carpenter, E.; Capone, D.G. Nitrogen fixation and nitrogen isotope abundances in zooplankton of the oligotrophic North Atlantic. Limnol. Oceanogr. 2002, 47, 1617–1628. [Google Scholar] [CrossRef]
- Miyake, Y.; Wada, E. The isotope effect on the nitrogen in biochemical, oxidation-reduction reactions. Rec. Oceanogr. Work. Japan 1971, 11, 1–6. [Google Scholar]
- Mariotti, A.; Germon, J.C.; Hubert, P.; Kaiser, P.; Letolle, R.; Tardieux, A.; Tardieux, P. Experimental determination of nitrogen kinetic isotope fractionation: Some principles; illustration for the denitrification and nitrification processes. Plant Soil 1981, 62, 413–430. [Google Scholar] [CrossRef]
- Cifuentes, L.A.; Sharp, J.H.; Fogel, M.L. Stable carbon and nitrogen isotope biogeochemistry in the Delaware estuary. Limnol. Oceanogr. 1988, 33, 1102–1115. [Google Scholar] [CrossRef]
- Montoya, J.P.; Horrigan, S.G.; McCarthy, J.J. Rapid, storm-induced changes in the natural abundance of 15N in a planktonic ecosystem. Geochim. Cosmochim. Acta 1991, 55, 3627–3638. [Google Scholar] [CrossRef]
- McClelland, J.W.; Valiela, I. Changes in food web structure under the influence of increased anthropogenic nitrogen inputs to estuaries. Mar. Ecol. Prog. Ser. 1998, 168, 259–271. [Google Scholar] [CrossRef]
- Cifuentes, L.A.; Coffin, R.B.; Solorzano, L.; Cardenas, W.; Espinoza, J.; Twilley, R.R. Isotopic and elemental variations of carbon and nitrogen in a mangrove estuary. Estuar. Coast. Shelf Sci. 1996, 43, 781–800. [Google Scholar] [CrossRef]
- Thornton, S.F.; McManus, J. Application of organic carbon and nitrogen stable isotope and C/N ratios as source indicators of organic matter provenance in estuarine systems: Evidence from the Tay Estuary, Scotland. Estuar. Coast. Shelf Sci. 1994, 38, 219–233. [Google Scholar] [CrossRef]
- Wainright, S.C.; Fry, B. Seasonal variation of the stable isotopic compositions of coastal marine plankton from Woods Hole, Massachusetts and Georges Bank. Estuaries 1994, 17, 552–560. [Google Scholar] [CrossRef]
- McKinney, R.; Oczkowski, A.; Prezioso, J.; Hyde, K. Spatial variability of nitrogen isotope ratios of particulate material from Northwest Atlantic continental shelf waters. Estuar. Coast. Shelf Sci. 2010, 89, 287–293. [Google Scholar] [CrossRef]
- Oczkowski, A.; Kreakie, B.; McKinney, R.A.; Prezioso, J. Patterns in stable isotope values of nitrogen and carbon in particulate matter from the northwest Atlantic Continental Shelf, from the Gulf of Maine to Cape Hatteras. Front. Mar. Sci. 2016, 3, 252. [Google Scholar] [CrossRef]
- Montoya, J.P.; Horrigan, S.G.; McCarthy, J.J. Natural abundance of 15N in particulate nitrogen and zooplankton in the Chesapeake Bay. Mar. Ecol. Prog. Ser. 1990, 65, 35–61. [Google Scholar] [CrossRef]
- Zimmerman, A.R.; Canuel, E.A. Bulk organic matter and lipid biomarker composition of Chesapeake Bay surficial sediments as indicators of environmental processes. Estuar. Coast. Shelf Sci. 2001, 53, 319–341. [Google Scholar] [CrossRef]
- Goñi, M.A.; Teixeiraa, M.J.; Perkeya, D.W. Sources and distribution of organic matter in a river-dominated estuary (Winyah Bay, SC, USA). Estuar. Coast. Shelf Sci. 2003, 257, 1023–1048. [Google Scholar] [CrossRef]
- Boynton, W.R.; Murray, L.; Hagy, J.D.; Stokes, C.; Kemp, W.M. A comparative analysis of eutrophication patterns in a temperate coastal lagoon. Estuaries 1996, 19, 408–421. [Google Scholar] [CrossRef]
- Allen, T.R.; Tolvanen, H.T.; Oertel, G.F.; McLeod, G.M. Spatial characterization of environmental gradients in a coastal lagoon, Chincoteague Bay. Estuaries Coasts 2007, 30, 959–977. [Google Scholar] [CrossRef]
- Duan, S.; Chen, N.; Kaushal, S.S.; Chigbu, P.; Ishaque, A.; May, E.B.; Oseji, F.O. Dynamics of dissolved organic carbon and total dissolved nitrogen in Maryland’s coastal bays. Estuar. Coast. Shelf Sci. 2015, 164, 451–462. [Google Scholar] [CrossRef]
- Bratton, J.F.; Bohlke, J.K.; Manheim, F.T.; Krantz, D.E. Ground water beneath coastal bays of the Delmarva Peninsula: Ages and nutrients. Ground Water 2004, 42, 1021–1034. [Google Scholar] [CrossRef]
- Manheim, F.T.; Krantz, D.E.; Bratton, J.F. Studying ground water under Delmarva Coastal Bays using electrical resistivity. Ground Water 2004, 42, 1052–1068. [Google Scholar] [CrossRef]
- Trice, T.M.; Glibert, P.M.; Lea, C.; Van Heukelem, L. HPLC pigment records provide evidence of past blooms of Aureococcus anophagefferens in the Coastal Bays of Maryland and Virginia, USA. Harmful Algae 2004, 3, 295–304. [Google Scholar] [CrossRef]
- Tango, P.; Butler, W.; Wazniak, C.E. Assessment of harmful algae bloom species in the Maryland Coastal Bays. In Maryland’s Coastal Bays Ecosystem Health Assessment 2004; Wazniak, C., Hall, M., Eds.; Maryland Department of Natural Resources, Tidewater Ecosystem Assessment: Annapolis, MD, USA, 2005; p. 8-2e8-32. [Google Scholar]
- Glibert, P.M.; Wazniak, C.E.; Hall, M.R.; Sturgis, B. Seasonal and interannual trends in nitrogen and brown tide in Maryland’s coastal bays. Ecol. Appl. 2007, 17, S79–S87. [Google Scholar] [CrossRef]
- Orth, R.J.; Williams, M.R.; Marion, S.R.; Wilcox, D.J.; Carruthers, T.J.B.; Moore, K.A.; Kemp, W.M.; Dennison, W.C.; Rybicki, N.; Bergstrom, P.; et al. Long term trends in submersed aquatic vegetation (SAV) in Chesapeake Bay, USA, related to water quality. Estuaries Coasts 2010, 33, 1144–1163. [Google Scholar] [CrossRef]
- Glibert, P.M.; Hinkle, D.C.; Sturgis, B.; Jesien, R.V. Eutrophication of a Maryland/Virginia coastal lagoon: A tipping point, ecosystem changes, and potential causes. Estuaries Coasts 2014, 37, S128–S146. [Google Scholar] [CrossRef]
- Minor, E.C.; Simjouw, J.; Mulholland, M.R. Seasonal variations in dissolved organic carbon concentrations and characteristics in a shallow coastal bay. Mar. Chem. 2006, 101, 166–179. [Google Scholar] [CrossRef]
- Oseji, O.F.; Chigbu, P.; Oghenekaro, E.; Waguespack, Y.; Chen, N. Spatiotemporal patterns of phytoplankton composition and abundance in the Maryland Coastal Bays: The influence of freshwater discharge and anthropogenic activities. Estuar. Coast. Shelf Sci. 2018, 207, 119–131. [Google Scholar] [CrossRef]
- Fertig, B.; Carruthers, T.J.B.; Dennison, W.C.; Jones, A.B.; Pantus, F.; Longstaff, B. Oyster and macroalgae bioindicators detect elevated δ15N in Maryland’s Coastal Bays. Estuaries Coasts 2009, 32, 773–786. [Google Scholar] [CrossRef]
- Souza, S.; Krinsky, B.; Seibel, J. Maryland’s Coastal Bays: An. Assessment of Aquatic Ecosystems, Pollutant Loadings, and Management Options; Maryland Department of the Environment: Baltimore, MD, USA, 1993.
- Wazniak, C.E.; Hall, M.R.; Carruthers, T.J.B.; Sturgis, B.; Dennison, W.C.; Orth, R.J. Linking water quality to living resources in a mid-Atlantic lagoon system, USA. Ecol. Appl. 2007, 17, S64–S78. [Google Scholar] [CrossRef]
- Maryland Department of Environment. Total Maximum Daily Loads of Nitrogen and Phosphorus for Assawoman Bay, Isle of Wight Bay, Sinepuxent Bay, Newport Bay and Chincoteague Bay in the Coastal Bays Watersheds in Worcester County, Maryland: Revised Final; Maryland Department of Environment: Baltimore, MD, USA, 2014.
- Guerra, R.; Pistocchi, R.; Vanucci, S. Dynamics and sources of organic carbon in suspended particulate matter and sediments in Pialassa Baiona lagoon (NW Adriatic Sea, Italy). Estuar. Coast. Shelf Sci. 2013, 135, 24–32. [Google Scholar] [CrossRef]
- Zapata, M.; Rodríguez, F.; Garrido, J.L. Separation of chlorophylls and carotenoids from marine phytoplankton: A new HPLC method using a reversed phase C8 column and pyridine containing mobile phases. Mar. Ecol. Prog. Ser. 2000, 195, 29–45. [Google Scholar] [CrossRef]
- Middelburg, J.J.; Neiuwenhuize, J. Carbon and nitrogen stable isotopes in suspended matter and sediments from the Schelde Estuary. Mar. Chem. 1998, 60, 217–225. [Google Scholar] [CrossRef]
- Ke, Z.; Tan, Y.; Huang, L.; Liu, J.; Xiang, C.; Zhao, C.; Zhang, J. Significantly depleted 15N in suspended particulate organic matter indicating a strong influence of sewage loading in Daya Bay, China. Sci. Total Environ. 2019, 650, 759–768. [Google Scholar] [CrossRef]
- Fry, B.; Sherr, E.B. δ13C measurements as indicators of carbon flow in marine and freshwater ecosystem. Contrib. Mar. Sci. 1984, 27, 13–47. [Google Scholar]
- Carreira, R.S.; Wagener, A.R.; Fileman, T.; Readman, J.; Macko, S.A.; Veiga, A. Changes in sedimentary organic carbon pool of a fertilized tropical estuary, Guanabara Bay, Brazil: An elemental, isotopic and molecular marker approach. Mar. Chem. 2002, 79, 207–227. [Google Scholar] [CrossRef]
- Calder, J.A.; Parker, P.L. Stable carbon isotope ratios as indices of petrochemical pollution of aquatic systems. Environ. Sci. Technol. 1968, 2, 535–539. [Google Scholar] [CrossRef]
- Mahmood, T.; Fang, J.; Jiang, Z.; Zhang, J. Carbon and nitrogen flow, and trophic relationships, among the cultured species in an integrated multi-trophic aquaculture (IMTA) bay. Aquac. Environ. Interac. 2016, 8, 207–219. [Google Scholar] [CrossRef]
- Li, Y.; Zhang, H.; Tu, C.; Fu, C.; Xue, Y.; Luo, Y. Sources and fate of organic carbon and nitrogen from land to ocean: Identified by coupling stable isotopes with C/N ratio. Estuar. Coast. Shelf Sci. 2016, 181, 114–122. [Google Scholar] [CrossRef]
- Andrews, J.E.; Greenaway, A.M.; Dennis, P.F. Combined carbon isotope and C/N ratios as indicators of source and fate of organic matter in a poorly flushed, tropical estuary: Hunts Bay, Kingston Harbour, Jamaica. Estuar. Coast. Shelf Sci. 1998, 46, 743–756. [Google Scholar] [CrossRef]
- Liu, Q.; Huang, X.; Zhang, X.; Zhang, L.; Ye, F. Distribution and sources of particulate organic carbon in the Pearl River estuary in summer 2010. ACTA Ecol. Sin. 2012, 32, 4403–4412. [Google Scholar]
- Hu, J.; Peng, P.; Jia, G.; Mai, B.; Zhang, G. Distribution and sources of organic carbon, nitrogen and their isotopes in sediments of the subtropical Pearl River estuary and adjacent shelf, Southern China. Mar. Chem. 2006, 98, 274–285. [Google Scholar] [CrossRef]
- Bouillon, S.; Raman, A.V.; Dauby, P.; Dehairs, F. Carbon and nitrogen stable isotope ratios of subtidal benthic invertebrates in an estuarine mangrove ecosystem (Andhra Pradesh, India). Estuar. Coast. Shelf Sci. 2002, 54, 901–913. [Google Scholar] [CrossRef]
- Ogawa, N.; Ogura, N. Dynamics of particulate organic matter in the Tamagawa estuary and inner Tokyo Bay. Estuar. Coast. Shelf Sci. 1997, 44, 263–273. [Google Scholar] [CrossRef]
- Ke, Z.; Tan, Y.; Huang, L.; Zhao, C.; Jiang, X. Spatial distributions of δ13C, δ15N and C/N ratios in suspended particulate organic matter of a bay under serious anthropogenic influences: Daya Bay, China. Mar. Pollut. Bull. 2017, 114, 183–191. [Google Scholar] [CrossRef]
- Coffin, R.B.; Cifuentes, L.A. Stable isotope analysis of carbon cycling in the Perdido Estuary, Florida. Estuaries 1999, 22, 917–926. [Google Scholar] [CrossRef]
- Oseji, O.F.; Fan, C.; Chigbu, P. Composition and dynamics of phytoplankton in the Coastal Bays of Maryland revealed by microscopic counts and diagnostic pigments. Water 2019, 11, 368. [Google Scholar] [CrossRef]
- Bardhan, P.; Karapurkar, S.G.; Shenoy, D.M.; Kurian, S.; Sarkar, A.; Maya, M.V.; Naik, H.; Varik, S.; Naqvi, S.W.A. Carbon and nitrogen isotopic composition of suspended particulate organic matter in Zuari Estuary, west coast of India. J. Mar. Syst. 2015, 141, 90–97. [Google Scholar] [CrossRef]
- Kang, X.; Xia, M.; Pitula, J.S.; Chigbu, P. Dynamics of water and salt exchange in Maryland Coastal Bays. Estuar. Coast. Shelf Sci. 2017, 189, 1–16. [Google Scholar] [CrossRef]
- Lee, S.; Fuhrman, J.A. Relationships between biovolume and biomass of naturally derived marine bacterioplankton. Appl. Environ. Microb. 1987, 53, 1298–1303. [Google Scholar] [CrossRef] [PubMed]
- Carlier, A.; Riera, P.; Amouroux, J.M.; Bodiou, J.Y.; Gre’mare, A. Benthic trophic network in the Bay of Banyuls-sur-Mer (northwest Mediterranean, France): An assessment based on stable carbon and nitrogen isotopes analysis. Estuar. Coast. Shelf Sci. 2007, 72, 1–15. [Google Scholar] [CrossRef]
- Hondula, K.L.; Pace, M.L. Macroalgal support of cultured hard clams in a low nitrogen coastal lagoon. Mar. Ecol. Prog. Ser. 2014, 498, 187–201. [Google Scholar] [CrossRef]
- Cole, M.L.; Valiela, I.; Kroeger, K.D.; Tomasky, G.L.; Cebrian, J.; Wigand, C.; McKinney, R.A.; Grady, S.P.; Carvalho da Silva, M.H. Assessment of a δ15N isotopic method to indicate anthropogenic eutrophication in aquatic ecosystems. J. Environ. Qual. 2004, 33, 124–132. [Google Scholar] [CrossRef]
- Vitoria, L.; Otero, N.; Gill, A.S.; Canals, A. Fertilizer characterization: Isotopic data (N, S, O, C, and Sr). Environ. Sci. Technol. 2004, 38, 3254–3262. [Google Scholar]
- Waite, A.M.; Muhling, B.A.; Holl, C.M.; Beckley, L.E.; Montoya, J.P.; Strzelecki, J.; Thompson, P.A.; Pesant, S. Food web structure in two counter-rotating eddies based on δ15N and δ13C isotopic analyses. Deep Sea Res. PT II 2007, 54, 1055–1075. [Google Scholar] [CrossRef]
- Coffin, R.B.; Sharp, J.H. Microbial trophodynamics in the Delaware Estuary. Mar. Ecol. Prog. Ser. 1987, 41, 253–266. [Google Scholar] [CrossRef]
- Darnaude, A.M.; Salen-Picard, C.; Polunin, N.V.C.; Harmelin-Vivien, M.L. Trophodynamic linkage between river runoff and coastal fishery yield elucidated by stable isotope data in the Gulf of Lions (NW Mediterranean). Oecologia 2004, 138, 325–332. [Google Scholar] [CrossRef]
- Darnaude, A.M.; Salen-Picard, C.; Harmelin-Vivien, M.L. Depth variation in terrestrial particulate organic matter exploitation by marine coastal benthic communities off the Rhone River delta (NW Mediterranean). Mar. Ecol. Prog. Ser. 2004, 275, 47–57. [Google Scholar] [CrossRef][Green Version]
- Sarma, V.; Viswanadham, R.; Rao, G.D.; Prasad, V.R.; Kumar, B.S.K.; Naidu, S.A.; Kumar, N.A.; Rao, D.B.; Sridevi, T.; Krishna, M.S.; et al. Carbon dioxide emissions from Indian monsoonal estuaries. Geophys. Res. Lett. 2012, 39, L03602. [Google Scholar] [CrossRef]
- Nagel, B.; Gaye, B.; Kodina, L.A.; Lahajnar, N. Stable carbon and nitrogen isotopes as indicators for organic matter sources in the Kara Sea. Mar. Geol. 2009, 266, 42–51. [Google Scholar] [CrossRef]
- Malet, N.; Sauriau, P.G.; Ryckaert, M.; Malestroit, P.; Guillou, G. Dynamics and sources of suspended particulate organic matter in the Marennes-Oléron oyster farming bay: Insights from stable isotopes and microalgae ecology. Estuar. Coast. Shelf Sci. 2008, 78, 576–586. [Google Scholar] [CrossRef]








| Months | Temp (°C) | Salinity | DO (mg/L) |
|---|---|---|---|
| July 2014 | 25.1 ± 0.7 | 28.67 ± 0.95 | 6.88 ± 0.22 |
| October 2014 | 18.3 ± 0.5 | 30.38 ± 0.54 | 7.83 ± 0.11 |
| April 2015 | 13.1 ± 0.3 | 26.48 ± 0.66 | 10.62 ± 0.24 |
| July 2015 | 28.7 ± 0.4 | 31.33 ± 0.70 | 5.60 ± 0.34 |
| October 2015 | 14.5 ± 0.2 | 27.77 ± 0.64 | 9.80 ± 0.21 |
| February 2016 | 4.7 ± 0.3 | 24.12 ± 0.78 | 11.82 ± 0.17 |
| May 2016 | 16.0 ± 0.3 | 29.37 ± 0.84 | 8.85 ± 0.26 |
| July 2016 | 27.9 ± 0.1 | 27.99 ± 0.71 | 5.80 ± 0.14 |
| October 2016 | 16.9 ± 0.3 | 25.02 ± 1.21 | 5.47 ± 0.48 |
| February 2017 | 9.6 ± 0.5 | 29.96 ± 0.78 | 10.23 ± 0.24 |
| April 2017 | 15.2 ± 0.3 | 28.36 ± 0.37 | 8.08 ± 0.18 |
| July 2017 | 25.0 ± 0.5 | 31.26 ± 0.71 | 6.08 ± 0.19 |
| October 2017 | 23.3 ± 0.3 | 28.39 ± 0.55 | 6.23 ± 0.16 |
| Sites | Temp (°C) | Salinity | DO (mg/L) |
|---|---|---|---|
| 1 | 18.4 ± 2.1 | 29.96 ± 0.81 | 8.05 ± 0.63 |
| (5.7–29.0) | (25.33–34.97) | (3.86–11.67) | |
| 2 | 18.8 ± 2.1 | 29.02 ± 0.85 | 8.00 ± 0.69 |
| (6.5–29.0) | (24.10–34.65) | (5.30–12.85) | |
| 3 | 18.7 ± 2.3 | 29.55 ± 0.77 | 8.10 ± 0.62 |
| (5.5–33.2) | (25.15–34.87) | (4.31–11.54) | |
| 4 | 18.3 ± 2.1 | 28.90 ± 0.67 | 8.11 ± 0.59 |
| (4.7–28.6) | (25.17–33.15) | (5.66–11.57) | |
| 5 | 18.3 ± 2.2 | 28.88 ± 0.56 | 8.44 ± 0.61 |
| (2.8–28.4) | (25.14–31.97) | (5.23–12.26) | |
| 6 | 18.5 ± 2.1 | 23.49 ± 1.06 | 7.96 ± 0.72 |
| (5.2–28.9) | (16.35–28.31) | (4.29–13.44) | |
| 7 | 17.4 ± 2.1 | 29.90 ± 0.56 | 8.14 ± 0.58 |
| (2.6–28.0) | (24.76–32.43) | (5.14–12.25) | |
| 8 | 17.2 ± 2.1 | 30.66 ± 0.62 | 7.96 ± 0.55 |
| (3.0–27.8) | (25.66–34.85) | (5.60–11.86) | |
| 9 | 17.7 ± 2.0 | 30.04 ± 0.74 | 7.77 ± 0.46 |
| (4.7–27.9) | (25.36–35.36) | (5.58–10.85) | |
| 10 | 19.1 ± 1.8 | 26.94 ± 1.09 | 7.44 ± 0.72 |
| (6.1–27.7) | (18.44–31.87) | (2.25–11.71) | |
| 11 | 18.0 ± 1.9 | 28.52 ± 0.85 | 7.66 ± 0.60 |
| (4.7–27.2) | (21.84–32.62) | (4.53–11.51) | |
| 12 | 18.8 ± 1.9 | 26.84 ± 0.73 | 7.81 ± 0.77 |
| (4.8–29.0) | (21.30–30.32) | (2.26–11.69) | |
| 13 | 18.8 ± 1.9 | 26.38 ± 0.85 | 7.83 ± 0.73 |
| (4.8–28.2) | (20.87–29.74) | (2.75–11.84) |
© 2020 by the authors. Licensee MDPI, Basel, Switzerland. This article is an open access article distributed under the terms and conditions of the Creative Commons Attribution (CC BY) license (http://creativecommons.org/licenses/by/4.0/).
Share and Cite
Edje, B.O.; Ishaque, A.B.; Chigbu, P. Spatial and Temporal Patterns of δ13C and δ15N of Suspended Particulate Organic Matter in Maryland Coastal Bays, USA. Water 2020, 12, 2345. https://doi.org/10.3390/w12092345
Edje BO, Ishaque AB, Chigbu P. Spatial and Temporal Patterns of δ13C and δ15N of Suspended Particulate Organic Matter in Maryland Coastal Bays, USA. Water. 2020; 12(9):2345. https://doi.org/10.3390/w12092345
Chicago/Turabian StyleEdje, Blessing O., Ali B. Ishaque, and Paulinus Chigbu. 2020. "Spatial and Temporal Patterns of δ13C and δ15N of Suspended Particulate Organic Matter in Maryland Coastal Bays, USA" Water 12, no. 9: 2345. https://doi.org/10.3390/w12092345
APA StyleEdje, B. O., Ishaque, A. B., & Chigbu, P. (2020). Spatial and Temporal Patterns of δ13C and δ15N of Suspended Particulate Organic Matter in Maryland Coastal Bays, USA. Water, 12(9), 2345. https://doi.org/10.3390/w12092345

