Accuracy Analysis of IMERG Satellite Rainfall Data and Its Application in Long-term Runoff Simulation
Abstract
1. Introduction
2. Materials and Methods
2.1. Study Area and Data
2.2. Evaluation Indices
2.3. Data Correction Method
2.4. SWAT Model
3. Results and Discussion
3.1. Accuracy Analysis of IMERG Satellite Precipitation Data
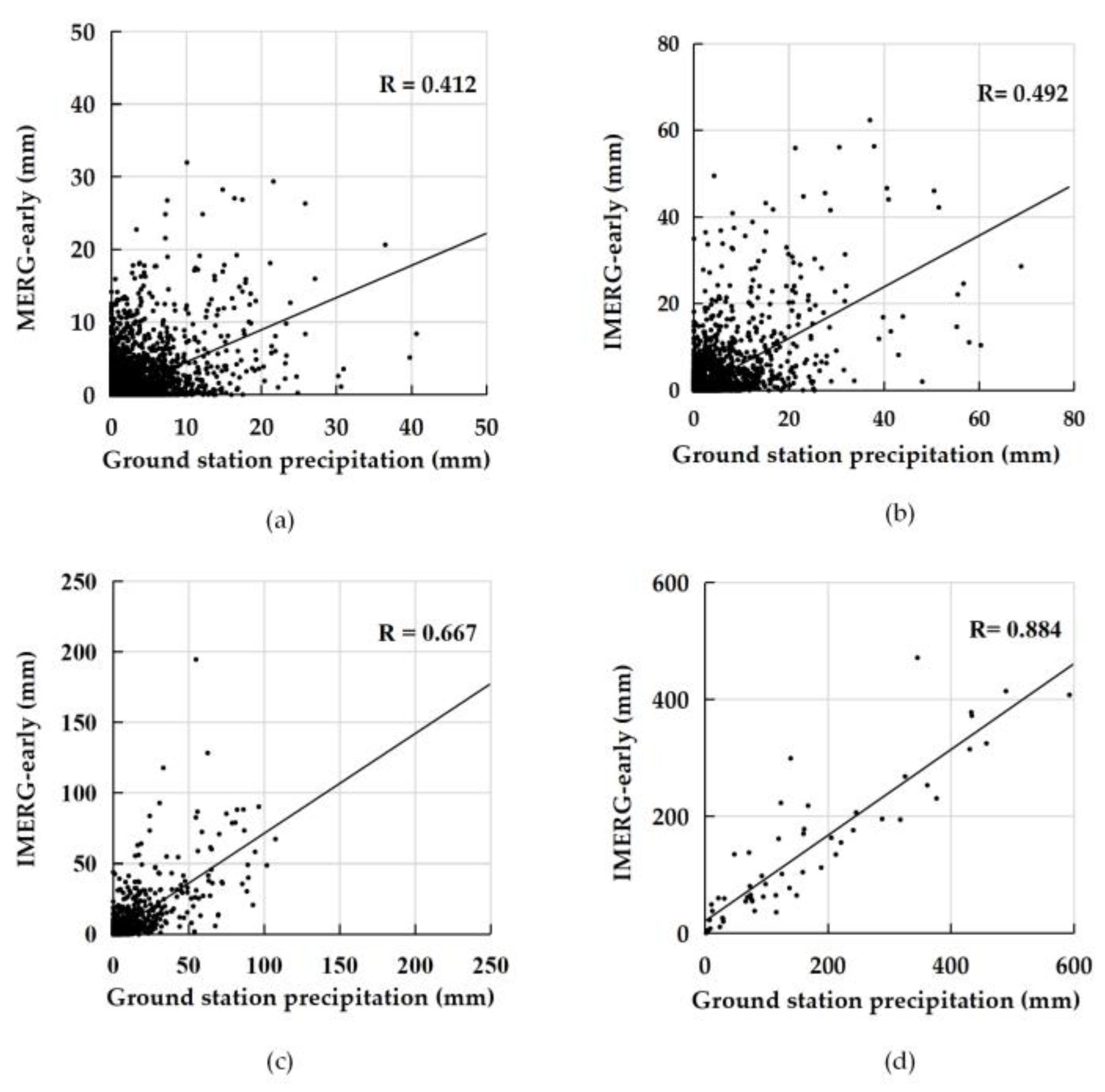
3.1.1. Temporal Scale Accuracy Evaluation
3.1.2. Spatial Scale Accuracy Evaluation
3.1.3. Detection Capability Evaluation
3.2. Runoff Simulation Results—Using the IMERG Early Data
3.3. Accuracy Analysis of Corrected IMERG Satellite Precipitation Data
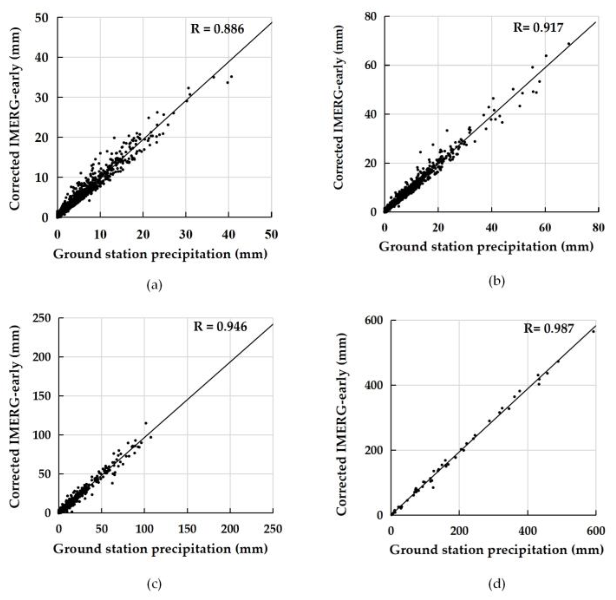
Temporal Scale Accuracy Evaluation for Corrected IMERG
3.4. Detection Capability Evaluation for Corrected IMERG
3.5. Runoff Simulation Results-Using the Corrected IMERG
4. Conclusions
Author Contributions
Funding
Conflicts of Interest
Appendix A

| Serial Number | Parameter | Meaning | Initial Value | Unit | Final Value |
|---|---|---|---|---|---|
| 1 | CN2 | SCS Curve number (AMC II) | 60~92 | / | 69.76~100 |
| 2 | ALPHA_BF | Base flow recession constant | 0.048 | day | 0.31 |
| 3 | GW_DELAY | Groundwater time delay | 31 | day | 8.25 |
| 4 | GWQMN | Regression water level threshold | 1000 | mm | 1360.54 |
| 5 | ALPHA_BNK | Baseflow factor | 0 | / | 0.31 |
| 6 | CH_K2 | The permeability coefficient of the main channel | 0 | mm/hour | 344.99 |
| 7 | GW_REVAP | Reavp coefficient of groundwater | 0.02 | / | 0.16 |
| 8 | REVAPMN | Occurrence reavp water level threshold | 750 | mm | 1106.43 |
| 9 | ESCO | Soil evaporation compensation factor | 0.95 | / | 0.62 |
| 10 | CH_N2 | Manning coefficient of main channel | 0.014 | / | 0.14 |
| 11 | RES_K | Permeability coefficient of reservoir | 5 | mm/hour | 7.09 |
| 12 | RES_RR | Average daily discharge | 100 | m3/s | 175.08 |
| 13 | RES_ESA | Area of non overflow reservoir | 3177.1 | ha | 8461.61 |
| 14 | RES_PSA | Area of normal overflow reservoir | 2051.9 | ha | 8294.77 |
| 15 | RES_EVOL | Extraordinary flood storage capacity | 90,000,000 | 104 m3 | 48,893,760.00 |
| 16 | RES_PVOL | Normal flood storage capacity | 100,000 | 104 m3 | 61,111.90 |
| 17 | RES_VOL | Initial storage capacity | 5000 | 104 m3 | 11,924.99 |
| Serial Number | Parameter | Meaning | Initial Value | Unit | Final Value |
|---|---|---|---|---|---|
| 1 | CN2 | SCS Curve number (AMC II) | 60~92 | / | 60.56~92.86 |
| 2 | ALPHA_BF | Base flow recession constant | 0.048 | day | 0.34 |
| 3 | GW_DELAY | Groundwater time delay | 31 | day | −124.41 |
| 4 | GWQMN | Regression water level threshold | 1000 | mm | 2636.32 |
| 5 | ALPHA_BNK | Base flow factor | 0 | / | 0.11 |
| 6 | CH_K2 | Permeability coefficient of main channel | 0 | mm/hour | 159.31 |
| 7 | GW_REVAP | Reavp coefficient of groundwater | 0.02 | / | 0.15 |
| 8 | REVAPMN | Occurrence reavp water level threshold | 750 | mm | 1489.71 |
| 9 | ESCO | Soil evaporation compensation factor | 0.95 | / | 0.91 |
| 10 | CH_N2 | Manning coefficient of main channel | 0.014 | / | 0.04 |
| 11 | RES_K | Permeability coefficient of reservoir | 5 | mm/hour | 0.45 |
| 12 | RES_RR | Average daily discharge | 100 | m3/s | 30.00 |
| 13 | RES_ESA | Area of non-overflow reservoir | 3177.1 | ha | 13,085.54 |
| 14 | RES_PSA | Area of normal overflow reservoir | 2051.9 | ha | 1501.43 |
| 15 | RES_EVOL | Extraordinary flood storage capacity | 90,000,000 | 104 m3 | 45,000,000.00 |
| 16 | RES_PVOL | Normal flood storage capacity | 100,000 | 104 m3 | 285,142.00 |
| 17 | RES_VOL | Initial storage capacity | 5000 | 104 m3 | 5233.83 |
References
- Mo, C.; Ruan, Y.; He, J.; Jin, J.; Liu, P.; Sun, G. Frequency analysis of precipitation extremes under climate change. Int. J. Climatol. 2019, 39, 1373–1387. [Google Scholar] [CrossRef]
- El-Hamid, H.; Wenlong, W.; Li, Q. Environmental sensitivity of flash flood hazard using geospatial techniques. Glob. J. Environ. Sci. Manag. 2019, 6, 31–46. [Google Scholar]
- Kvočka, D.; Falconer, R.A.; Bray, M. Flood hazard assessment for extreme flood events. Nat. Hazards 2016, 84, 1569–1599. [Google Scholar] [CrossRef]
- Pradhan, P.; Tingsanchali, T.; Shrestha, S. Evaluation of Soil and Water Assessment Tool and Artificial Neural Network models for hydrologic simulation in different climatic regions of Asia. Sci. Total Environ. 2020, 701, 134308. [Google Scholar] [CrossRef]
- Chaplot, V. Impact of DEM mesh size and soil map scale on SWAT runoff, sediment, and NO3–N loads predictions. J. Hydrol. 2005, 312, 207–222. [Google Scholar] [CrossRef]
- Bo, H.; Dong, X.; Li, Z.; Hu, X.; Reta, G.; Wei, C.; Su, B. Impacts of climate change and human activities on runoff variation of the intensive phosphate mined Huangbaihe River basin, China. Water 2019, 11, 2039. [Google Scholar] [CrossRef]
- Martínez-Retureta, R.; Aguayo, M.; Stehr, A.; Sauvage, S.; Echeverría, C.; Sánchez-Pérez, J.M. Effect of land use/cover change on the hydrological response of a southern center basin of Chile. Water 2020, 12, 302. [Google Scholar] [CrossRef]
- Neto, S.L.R.; Sa, E.A.S.; Debastiani, A.B.; Padilha, V.L.; Antunes, T.A. Efficacy of rainfall-runoff models in loose coupling spacial decision support systems modelbase. Water Resour. Manag. 2019, 33, 889–904. [Google Scholar] [CrossRef]
- Beven, K.J.; Kirkby, M.J. A physically based, variable contributing area model of basin hydrology. Hydrol. Sci. Bull. 1979, 24, 43–69. [Google Scholar] [CrossRef]
- Ren, L.; Xue, L.Q.; Liu, Y.H.; Shi, J.; Han, Q.; Yi, P.F. Study on variations in climatic variables and their influence on runoff in the Manas River basin, China. Water 2017, 9, 258. [Google Scholar] [CrossRef]
- Chen, Y.; Shi, P.; Qu, S.; Ji, X.; Zhao, L.; Gou, J.; Mou, S. Integrating XAJ model with giuh based on nash model for rainfall-runoff modelling. Water 2019, 11, 772. [Google Scholar] [CrossRef]
- Meng, S.; Xie, X.; Yu, X. Tracing temporal changes of model parameters in rainfall-runoff modeling via a real-time data assimilation. Water 2016, 8, 19. [Google Scholar] [CrossRef]
- Ning, L.; Zhan, C.; Luo, Y.; Wang, Y.; Liu, L. A review of fully coupled atmosphere-hydrology simulations. J. Geogr. Sci. 2019, 29, 465–479. [Google Scholar] [CrossRef]
- Senent-Aparicio, J.; Jimeno-Sáez, P.; Bueno-Crespo, A.; Pérez-Sánchez, J.; Pulido-Velázquez, D. Coupling machine-learning techniques with SWAT model for instantaneous peak flow prediction. Biosyst. Eng. 2019, 177, 67–77. [Google Scholar] [CrossRef]
- Iván, V.; Mádl-Szőnyi, J. State of the art of karst vulnerability assessment: Overview, evaluation and outlook. Environ. Earth Sci. 2017, 76, 112. [Google Scholar] [CrossRef]
- Ravbar, N.; Kovačič, G. Karst water management in slovenia in the frame of vulnerability mapping. Acta Carsologica 2006, 35, 73–82. [Google Scholar] [CrossRef]
- Keesstra, S.D. Impact of natural reforestation on floodplain sedimentation in the Dragonja basin, SW Slovenia. Earth Surf. Process. Landf. 2007, 32, 49–65. [Google Scholar] [CrossRef]
- Keesstra, S.D.; van Dam, O.; Verstraeten, G.; van Huissteden, J. Changing sediment dynamics due to natural reforestation in the Dragonja catchment, SW Slovenia. CATENA 2009, 78, 60–71. [Google Scholar] [CrossRef]
- Zhou, Q.; Chen, L.; Singh, V.P.; Zhou, J.; Chen, X.; Xiong, L. Rainfall-runoff simulation in karst dominated areas based on a coupled conceptual hydrological model. J. Hydrol. 2019, 573, 524–533. [Google Scholar] [CrossRef]
- Meng, X.; Yin, M.; Ning, L.; Liu, D.; Xue, X. A threshold artificial neural network model for improving runoff prediction in a karst watershed. Environ. Earth Sci. 2015, 74, 5039–5048. [Google Scholar] [CrossRef]
- Yilmaz, K.K.; Adler, R.F.; Tian, Y.D.; Hong, Y.; Pierce, H.F. Evaluation of a satellite-based global flood monitoring system. Int. J. Remote Sens. 2010, 31, 3763–3782. [Google Scholar] [CrossRef]
- Lv, A.F.; Zhou, L. A rainfall model based on a geographically weighted regression algorithm for rainfall estimations over the arid Qaidam Basin in China. Remote Sens. 2016, 8, 311. [Google Scholar] [CrossRef]
- Manz, B.; Buytaert, W.; Zulkafli, Z.; Lavado, W.; Willems, B.; Robles, L.A.; Rodriguez-Sanchez, J.P. High-resolution satellite-gauge merged precipitation climatologies of the Tropical Andes. J. Geophys. Res. Atmos. 2016, 121, 1190–1207. [Google Scholar] [CrossRef]
- Duan, Y.; Wilson, A.; Barros, A. Scoping a field experiment: Error diagnostics of TRMM precipitation radar estimates in complex terrain as a basis for IPHEx2014. Hydrol. Earth Syst. Sci. Discuss. 2014, 11, 1501–1520. [Google Scholar] [CrossRef]
- Zhang, Y.; Hong, Y.; Wang, X.; Gourley, J.J.; Xue, X.; Saharia, M.; Ni, G.; Wang, G.; Huang, Y.; Chen, S.; et al. Hydrometeorological analysis and remote sensing of extremes: Was the July 2012 Beijing flood event detectable and predictable by global satellite observing and global weather modeling systems? J. Hydrometeorol. 2015, 16, 381–395. [Google Scholar] [CrossRef]
- Xue, X.; Hong, Y.; Limaye, A.S.; Gourley, J.J.; Huffman, G.J.; Khan, S.I.; Dorji, C.; Chen, S. Statistical and hydrological evaluation of TRMM-based Multi-satellite Precipitation Analysis over the Wangchu Basin of Bhutan: Are the latest satellite precipitation products 3B42V7 ready for use in ungauged basins? J. Hydrol. 2013, 499, 91–99. [Google Scholar] [CrossRef]
- Kummerow, C.; Barnes, W.; Kozu, T.; Shiue, J.; Simpson, J. The Tropical Rainfall Measuring Mission (TRMM) sensor package. J. Atmos. Ocean. Technol. 1998, 15, 809–817. [Google Scholar] [CrossRef]
- Kubota, T.; Ushio, T.; Shige, S.; Kida, S.; Kachi, M.; Okamoto, K. Verification of high-resolution satellite-based rainfall estimates around Japan using a gauge-calibrated ground-radar dataset. J. Meteorol. Soc. Jpn. 2009, 87, 203–222. [Google Scholar] [CrossRef]
- Zhou, N.Q.; Li, C.X.; Jiang, S.M.; Tang, Y.Q. Study on Soil and water loss and soil leakage model in Puding karst area. Bull. Soil Water Conserv. 2009, 29, 7–11. [Google Scholar]
- Tang, G.Q.; Ma, Y.Z.; Long, D.; Zhong, L.Z.; Hong, Y. Evaluation of GPM Day-1 IMERG and TMPA Version-7 legacy products over Mainland China at multiple spatiotemporal scales. J. Hydrol. 2016, 533, 152–167. [Google Scholar] [CrossRef]
- Kozu, T.; Kawanishi, T.; Kuroiwa, H.; Kojima, M.; Oikawa, K.; Kumagai, H.; Okamoto, K.i.; Okumura, M.; Nakatsuka, H.; Nishikawa, K. Development of precipitation radar onboard the Tropical Rainfall Measuring Mission (TRMM) satellite. Geosci. Remote Sens. IEEE Trans. 2001, 39, 102–116. [Google Scholar] [CrossRef]
- Prat, O.; Barros, A. Ground observations to characterize the spatial gradients and vertical structure of orographic precipitation—Experiments in the inner region of the Great Smoky Mountains. J. Hydrol. 2010, 391, 141–156. [Google Scholar] [CrossRef]
- Prat, O.; Barros, A. Assessing satellite-based precipitation estimates in the Southern Appalachian mountains using rain gauges and TRMM PR. Adv. Geosci. 2010, 25, 143–153. [Google Scholar] [CrossRef]
- Cheema, M.J.M.; Bastiaanssen, W.G.M. Local calibration of remotely sensed rainfall from the TRMM satellite for different periods and spatial scales in the Indus Basin. Int. J. Remote Sens. 2012, 33, 2603–2627. [Google Scholar] [CrossRef]
- Goovaerts, P. Geostatistical approaches for incorporating elevation into the spatial interpolation of rainfall. J. Hydrol. 2000, 228, 113–129. [Google Scholar] [CrossRef]
- Duan, Z.; Bastiaanssen, W.G.M. First results from Version 7 TRMM 3B43 precipitation product in combination with a new downscaling–calibration procedure. Remote Sens. Environ. 2013, 131, 1–13. [Google Scholar] [CrossRef]
- Shi, Y.; Song, L. Spatial downscaling of monthly TRMM precipitation based on EVI and other geospatial variables over the tibetan plateau from 2001 to 2012. Mt. Res. Dev. 2015, 35, 180–194. [Google Scholar] [CrossRef]
- Chen, H.Q.; Lu, D.K.; Zhou, Z.H.; Zhu, Z.W.; Ren, Y.J.; Yong, B. Review of GPM precipitation product evaluation. Water Resour. Prot. 2019, 35, 27–34. [Google Scholar]
- Liu, Z. Comparison of Integrated Multi-satellitE Retrievals for GPM (IMERG) and TRMM Multi-satellite Precipitation Analysis (TMPA) monthly precipitation products: Initial results. J. Hydrometeorol. 2015, 17, 777–790. [Google Scholar] [CrossRef]
- Prakash, S.; Mitra, A.K.; Aghakouchak, A.; Liu, Z.; Norouzi, H.; Pai, D.S. A preliminary assessment of GPM-based multi-satellite precipitation estimates over a monsoon dominated region. J. Hydrol. 2016, 556, 865–876. [Google Scholar] [CrossRef]
- Zhao, Y.; Xie, Q.; Lu, Y.; Hu, B. Hydrologic evaluation of TRMM Multisatellite Precipitation Analysis for Nanliu River basin in humid Southwestern China. Sci. Rep. 2017, 7, 2470. [Google Scholar] [CrossRef] [PubMed]
- Jiang, Z.C.; Xia, R.Y.; Shi, J.; Pei, J.G.; He, S.Y.; Liang, B. Analysis on the development and utilization effect and potential of karst groundwater resources in Southwest China. Acta Geosci. Sin. 2006, 2006, 495–502. [Google Scholar]
- Song, X.W.; Gao, Y.; Wen, X.F.; Guo, D.L.; Yu, G.R.; He, N.P.; Zhang, Z.J. Assessment of weathering carbon sink and its ecological service function in key karst zones in China. Acta Geogr. Sin. 2016, 71, 1926–1938. [Google Scholar]
- Zhang, X. Design flood calculation in Karst Area—Taking Chengbi River design flood as an example. Hydrology 1994, 24, 30–33. [Google Scholar]
- Huang, Y.Y. Summary of the construction and operation of the water regime automatic measuring and reporting system in Chengbihe reservoir. Gx Water Resour. Hydropower Eng. 1995, 1995, 14–18. [Google Scholar]
- Xiong, M.L.; Peng, W.X. Stress and deformation analysis of cutoff wall of Chengbihe reservoir in Guangxi. Express Water Resour. Hydropower Inf. 2017, 39, 22–27. [Google Scholar]
- Administration, C.M. QX/T127-2011 Meteorological Satellite Quantitative Product Quality Evaluation Index and Evaluation Report Requirements; Meteorological Publishing House: Beijing, China, 2011. [Google Scholar]
- Moriasi, D.N.; Arnold, J.G.; Van Liew, M.W.; Bingner, R.L.; Harmel, R.D.; Veith, T.L. Model evaluation guidelines for systematic quantification of accuracy in watershed simulations. Trans. ASABE 2007, 50, 885–900. [Google Scholar] [CrossRef]
- Borah, D.K.; Arnold, J.G.; Bera, M.; Krug, E.C.; Liang, X.Z. Storm event and continuous hydrologic modeling for comprehensive and efficient watershed simulations. J. Hydrol. Eng. 2007, 12, 605–616. [Google Scholar] [CrossRef]
- Golian, S.; Moazami, S.; Kirstetter, P.E.; Hong, Y. Evaluating the performance of merged multi-satellite precipitation products over a complex terrain. Water Resour. Manag. 2015, 29, 4885–4901. [Google Scholar] [CrossRef]
- Almazroui, M. Calibration of TRMM rainfall climatology over Saudi Arabia during 1998–2009. Atmos. Res. 2011, 99, 400–414. [Google Scholar] [CrossRef]
- Linguet, L.; Audois, P.; Marie-Joseph, I.; Becker, M.; Seyler, F. Calibration of TRMM 3B42 with Geographical Differential Analysis over North Amazonia. In Proceedings of the 2013 IEEE International Geoscience and Remote Sensing Symposium, Melbourne, Australia, 21–26 July 2013. [Google Scholar]
- Krysanova, V.; White, M. Advances in water resources assessment with SWAT-an overview. Int. Assoc. Sci. Hydrol. Bull. 2015, 60, 771–783. [Google Scholar] [CrossRef]
- Lamichhane, S.; Shakya, N.M. Integrated Assessment of climate change and land use change impacts on hydrology in the Kathmandu Valley Watershed, Central Nepal. Water 2019, 11, 2059. [Google Scholar] [CrossRef]
- Mizgalewicz, P.; Maidment, D. Modeling Agrichemical Transport in Midwest Rivers Using Geographic Information Systems. Ph.D. Thesis, University of Texas, Austin, TX, USA, December 1996. [Google Scholar]
- Zhang, F.J.; Liu, X.J.; Yu, X.B.; Zhang, F.L. Significance test of data difference. Use Maint. Agric. Mach. 2012, 2012, 51–52. [Google Scholar]
- Administration, C.N.S. GB/T28592-2012 Precipitation Grade; China Standards Press: Beijing, China, 2012. [Google Scholar]

















| Station Code | Station Name | Station Category | Longitude | Latitude | Elevation(m) |
|---|---|---|---|---|---|
| 20,000,900 | Chaoli | Rainfall Station | 106°30′14.736″ E | 24°14′21.567″ N | 625 |
| 20,001,300 | Donghe | Rainfall Station | 106°43′25.983″ E | 24°21′37.121″ N | 897 |
| 20,000,800 | Lingyun | Rainfall Station | 106°34′26.216″ E | 24°20′42.088″ N | 444 |
| 20,001,000 | Xiajia | Hydrological Station | 106°38′51.175″ E | 24°17′18.718″ N | 385 |
| Evaluation Level | RSR | NSE |
|---|---|---|
| Very good | 0.00 ≤ RSR ≤ 0.50 | 0.75< NSE ≤ 1.00 |
| Good | 0.50 < RSR ≤ 0.60 | 0.65< NSE ≤ 0.75 |
| Satisfactory | 0.60 < RSR≤ 0.70 | 0.50< NSE ≤ 0.65 |
| Unsatisfactory | RSR> 0.70 | NSE≤ 0.50 |
| Time Scale | Sample Size | ||
|---|---|---|---|
| 1 h | 39,288 | 0.009888 | 0.012995 |
| 3 h | 13,096 | 0.017127 | 0.022508 |
| daily | 1638 | 0.049436 | 0.063629 |
| monthly | 54 | 0.268086 | 0.347652 |
| Parameter | 1 H | 3 H | Daily | Monthly |
|---|---|---|---|---|
| POD | 47.33 | 54.81 | 71.57 | 100.00 |
| FAR | 50.99 | 40.34 | 19.43 | 0.00 |
| CSI | 31.71 | 39.99 | 61.04 | 100.00 |
| Scales | Station | IMERG | ||
|---|---|---|---|---|
| NSE | RSR | NSE | RSR | |
| daily | 0.60 | 0.63 | 0.17 | 0.92 |
| monthly | 0.78 | 0.46 | 0.32 | 0.81 |
| multi-year monthly mean | 0.64 | 0.60 | 0.49 | 0.71 |
| Parameter | 1H | 3H | Daily | Monthly |
|---|---|---|---|---|
| POD | 94.08 | 95.49 | 96.55 | 100.00 |
| FAR | 5.61 | 2.50 | 9.98 | 0.00 |
| CSI | 89.10 | 93.20 | 87.21 | 100.00 |
| Scales | Station | IMERG | ||
|---|---|---|---|---|
| NSE | RSR | NSE | RSR | |
| daily | 0.60 | 0.63 | 0.58 | 0.66 |
| monthly | 0.78 | 0.46 | 0.59 | 0.64 |
| multi-year monthly mean | 0.64 | 0.60 | 0.73 | 0.52 |
© 2020 by the authors. Licensee MDPI, Basel, Switzerland. This article is an open access article distributed under the terms and conditions of the Creative Commons Attribution (CC BY) license (http://creativecommons.org/licenses/by/4.0/).
Share and Cite
Mo, C.; Zhang, M.; Ruan, Y.; Qin, J.; Wang, Y.; Sun, G.; Xing, Z. Accuracy Analysis of IMERG Satellite Rainfall Data and Its Application in Long-term Runoff Simulation. Water 2020, 12, 2177. https://doi.org/10.3390/w12082177
Mo C, Zhang M, Ruan Y, Qin J, Wang Y, Sun G, Xing Z. Accuracy Analysis of IMERG Satellite Rainfall Data and Its Application in Long-term Runoff Simulation. Water. 2020; 12(8):2177. https://doi.org/10.3390/w12082177
Chicago/Turabian StyleMo, Chongxun, Mingshan Zhang, Yuli Ruan, Junkai Qin, Yafang Wang, Guikai Sun, and Zhenxiang Xing. 2020. "Accuracy Analysis of IMERG Satellite Rainfall Data and Its Application in Long-term Runoff Simulation" Water 12, no. 8: 2177. https://doi.org/10.3390/w12082177
APA StyleMo, C., Zhang, M., Ruan, Y., Qin, J., Wang, Y., Sun, G., & Xing, Z. (2020). Accuracy Analysis of IMERG Satellite Rainfall Data and Its Application in Long-term Runoff Simulation. Water, 12(8), 2177. https://doi.org/10.3390/w12082177

