Floating Ice Transport Conditions at the Cross-Sections Between Pier Columns in Open Ice-Water Two-Phase Flow Canals
Abstract
1. Introduction
2. Materials and Methods
2.1. Test Equipment
2.2. Model Ice
2.3. Test Methods
2.3.1. Pre-Test
2.3.2. Formal Test
3. Results and Analysis
3.1. Movement Pattern of Ice Blocks at the Cross-Sections Between Pier Columns
3.2. Relationship Between the Critical Fr and Water Depth H, Ice Thickness–Water Depth Ratio t/H of Floating Ice Passing Through the Cross-Sections Between Pier Columns
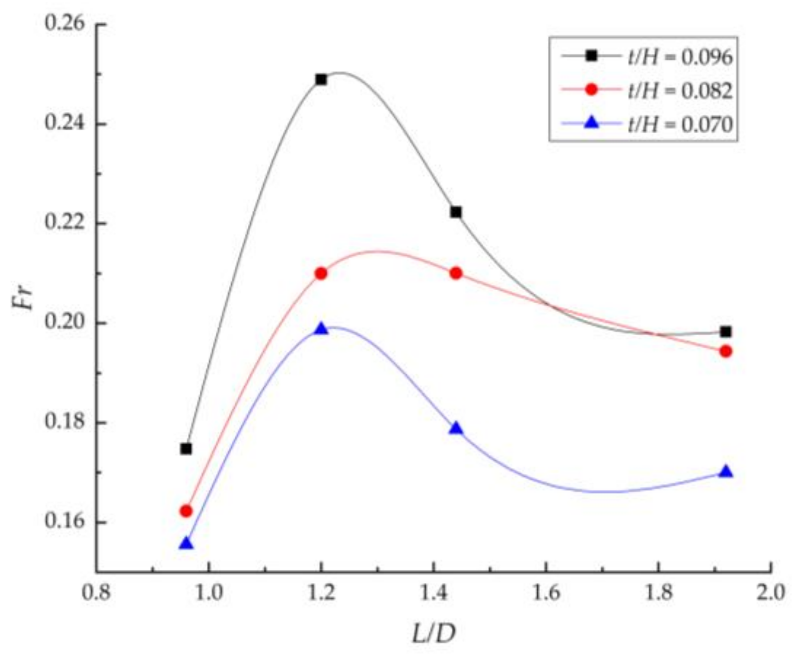
3.3. Relationship Between Critical Fr and Planar Size of Ice Blocks at the Same Water Depth
3.4. Influence of the Angle at Which the Floating Ice Makes Contact With the Pier Columns on the Critical Fr
4. Derivation of the Equation Calculating the Critical Fr of Floating Ice Passing Through the Cross-sections Between Pier Columns
N = −0.531 + 0.825L/D − 0.280(L/D)2
5. Suggestions for Risk Assessment and Operation Control of Ice-Water Two-Phase Flow Canals
6. Conclusions
- (1)
- The movement and transport state of ice blocks at the cross-sections between pier columns are closely related to the hydraulic conditions in front of the pier columns. When the water flow velocity or Fr in front of the pier columns is comparatively small, the ice blocks will stagnate in front of the pier columns, the state of the ice blocks will not change over time, and the ice blocks will remain stuck between the pier columns. When the water flow velocity or Fr increases to a certain level, i.e., when the water flow velocity or Fr in front of the pier columns exceeds a specific threshold, the ice blocks, under the influence of the front edge effect and the Venturi effect, will flip, dive, and pass through the gap between the pier columns. Compared with the water flow velocity, the dimensionless water flow Fr, which integrates the effects of water flow velocity and water depth, is more suitable as a critical hydraulic control parameter for judging whether ice blocks can pass through the cross-sections between pier columns.
- (2)
- The critical Fr required for the ice blocks to pass through the cross-sections between pier columns is closely related to the water depth H, the ratio of thickness to depth t/H, the ratio of length to width L/D, and the angle at which the ice blocks make contact with the pier columns. For a constant L/D, the critical Fr decreases quadratically with increasing H, and increases quadratically with increasing t/H. Under the conditions of the experiment in this study, for a constant t/H, as L/D increases, the critical Fr increases initially and then decreases. Given the same t/H, when the ice blocks make lateral contact with the pier columns at an angle of 45°, the critical Fr required for the ice blocks to pass through the cross-sections between pier columns is greater than the case in which the ice blocks make vertical contact with the pier columns at an angle of 90°. Both the movement pattern of the ice blocks as well as the relationship between the critical Fr and the influencing factors are the external manifestations of the front edge effect and the Venturi effect of the ice blocks.
- (3)
- Since the cross-sections narrowed by bridge piers or gate piers are locations in the canal with a relatively small ice transport capacity, the cross-sections of bridge piers and gate piers located downstream from water transfer projects should be closely monitored during freezing periods. The empirical equation for calculating the critical Fr required for ice blocks to pass through the cross-sections between pier columns was obtained using dimensional analysis. When the L/D ratio is 1.47, the critical Fr reaches its maximum. The relationship between the critical Fr and t/H when L/D = 1.47 can be used to assess the risks of ice jams in ice-water two-phase flow canals and features a certain safety margin when utilized to determine the hydraulic control necessary to ensure the safe operation of ice-water two-phase flow canals. In addition, there are still many factors that have not been taken into account in this study, such as the influence of dip phenomenon and pier form on critical Fr, which need to be further studied in the future.
Author Contributions
Funding
Acknowledgments
Conflicts of Interest
Appendix A
| Test Group Number | Discharge Q (m3/s) | Water Depth in Front of the Piers, H (m) | Average Water Flow Velocity V (m2/s) | Water Flow Fr | The Movement State of Ice in Front of the Piers |
|---|---|---|---|---|---|
| 1 | 0.063 | 0.269 | 0.292 | 0.180 | Stagnate |
| 0.063 | 0.26 | 0.302 | 0.189 | Flip and dive | |
| 0.062 | 0.252 | 0.309 | 0.197 | Flip and dive | |
| 2 | 0.075 | 0.331 | 0.287 | 0.159 | Stagnate |
| 0.076 | 0.323 | 0.293 | 0.165 | Stagnate | |
| 0.076 | 0.311 | 0.305 | 0.175 | Flip and dive | |
| 0.076 | 0.302 | 0.314 | 0.183 | Flip and dive | |
| 0.076 | 0.287 | 0.327 | 0.195 | Flip and dive | |
| 3 | 0.082 | 0.346 | 0.296 | 0.161 | Stagnate |
| 0.082 | 0.337 | 0.303 | 0.167 | Flip and dive | |
| 0.082 | 0.329 | 0.312 | 0.174 | Flip and dive | |
| 0.082 | 0.313 | 0.327 | 0.187 | Flip and dive | |
| 4 | 0.088 | 0.379 | 0.291 | 0.151 | Stagnate |
| 0.090 | 0.373 | 0.300 | 0.157 | Stagnate | |
| 0.090 | 0.366 | 0.307 | 0.162 | Flip and dive | |
| 0.090 | 0.356 | 0.316 | 0.169 | Flip and dive | |
| 0.090 | 0.352 | 0.320 | 0.172 | Flip and dive | |
| 5 | 0.100 | 0.456 | 0.274 | 0.130 | Stagnate |
| 0.103 | 0.432 | 0.299 | 0.145 | Stagnate | |
| 0.105 | 0.416 | 0.314 | 0.156 | Flip and dive | |
| 0.104 | 0.4 | 0.325 | 0.164 | Flip and dive | |
| 0.105 | 0.384 | 0.341 | 0.176 | Flip and dive | |
| 6 | 0.111 | 0.45 | 0.309 | 0.147 | Stagnate |
| 0.112 | 0.44 | 0.317 | 0.153 | Flip and dive | |
| 0.113 | 0.424 | 0.334 | 0.164 | Flip and dive | |
| 0.112 | 0.412 | 0.340 | 0.169 | Flip and dive | |
| 7 | 0.128 | 0.531 | 0.300 | 0.132 | Stagnate |
| 0.129 | 0.519 | 0.312 | 0.138 | Flip and dive | |
| 0.129 | 0.505 | 0.320 | 0.144 | Flip and dive |
| Test Group Number | Side Length of Model Ice L (m) | Discharge, Q (m3/s) | Water Depth in Front of the Piers H (m) | Average Water Flow Velocity V (m2/s) | Ratio of Thickness to Depth t/H | Critical Fr |
|---|---|---|---|---|---|---|
| 1 | 0.16 | 0.063 | 0.260 | 0.302 | 0.115 | 0.189 |
| 0.075 | 0.308 | 0.303 | 0.097 | 0.174 | ||
| 0.076 | 0.311 | 0.305 | 0.096 | 0.175 | ||
| 0.082 | 0.337 | 0.303 | 0.089 | 0.167 | ||
| 0.090 | 0.366 | 0.307 | 0.082 | 0.162 | ||
| 0.105 | 0.416 | 0.314 | 0.072 | 0.156 | ||
| 0.112 | 0.440 | 0.317 | 0.068 | 0.153 | ||
| 0.129 | 0.519 | 0.312 | 0.058 | 0.138 | ||
| 2 | 0.20 | 0.078 | 0.228 | 0.428 | 0.132 | 0.286 |
| 0.090 | 0.270 | 0.416 | 0.111 | 0.256 | ||
| 0.107 | 0.308 | 0.432 | 0.097 | 0.249 | ||
| 0.118 | 0.370 | 0.400 | 0.081 | 0.210 | ||
| 0.134 | 0.418 | 0.402 | 0.072 | 0.199 | ||
| 0.153 | 0.501 | 0.382 | 0.060 | 0.172 | ||
| 3 | 0.24 | 0.073 | 0.237 | 0.386 | 0.127 | 0.253 |
| 0.097 | 0.313 | 0.389 | 0.096 | 0.222 | ||
| 0.115 | 0.363 | 0.396 | 0.083 | 0.210 | ||
| 0.120 | 0.399 | 0.376 | 0.075 | 0.190 | ||
| 0.132 | 0.442 | 0.372 | 0.068 | 0.179 | ||
| 0.153 | 0.523 | 0.365 | 0.057 | 0.161 | ||
| 4 | 0.32 | 0.069 | 0.250 | 0.347 | 0.120 | 0.221 |
| 0.086 | 0.311 | 0.346 | 0.096 | 0.198 | ||
| 0.105 | 0.360 | 0.365 | 0.083 | 0.194 | ||
| 0.120 | 0.431 | 0.349 | 0.070 | 0.170 | ||
| 0.134 | 0.490 | 0.343 | 0.061 | 0.156 | ||
| 0.145 | 0.527 | 0.345 | 0.057 | 0.152 |
| Test Group Number | Thickness of Model Ice t (m) | Side Length of Model Ice L (m) | Discharge Q (m3/s) | Water Depth in Front of the Piers H (m) | Ratio of Thickness to Depth t/H | Critical Fr |
|---|---|---|---|---|---|---|
| 1 | 0.03 | 0.20 | 0.078 | 0.228 | 0.132 | 0.286 |
| 0.090 | 0.270 | 0.111 | 0.256 | |||
| 0.107 | 0.308 | 0.097 | 0.249 | |||
| 0.118 | 0.370 | 0.081 | 0.210 | |||
| 0.134 | 0.418 | 0.072 | 0.199 | |||
| 0.153 | 0.501 | 0.060 | 0.172 | |||
| 2 | 0.06 | 0.076 | 0.200 | 0.300 | 0.339 | |
| 0.094 | 0.239 | 0.251 | 0.320 | |||
| 0.104 | 0.282 | 0.213 | 0.277 | |||
| 0.114 | 0.301 | 0.199 | 0.277 | |||
| 0.125 | 0.335 | 0.179 | 0.258 | |||
| 0.152 | 0.428 | 0.140 | 0.217 | |||
| 0.183 | 0.539 | 0.111 | 0.185 |
| Test Group Number | Thickness of Model Ice t (m) | Side Length of Model Ice L (m) | Contact Mode Between Model Ice and the Piers | Discharge Q (m3/s) | Water Depth in Front of the Piers H (m) | Ratio of Thickness to Depth t/H | Critical Fr |
|---|---|---|---|---|---|---|---|
| 1 | 0.03 | 0.20 | Ice block in contact with the pier columns at 45°. | 0.107 | 0.308 | 0.097 | 0.249 |
| 0.118 | 0.370 | 0.081 | 0.210 | ||||
| 0.134 | 0.418 | 0.072 | 0.199 | ||||
| 0.153 | 0.501 | 0.060 | 0.172 | ||||
| 2 | Ice block in contact with the pier columns at 90°. | 0.076 | 0.302 | 0.099 | 0.183 | ||
| 0.082 | 0.329 | 0.091 | 0.174 | ||||
| 0.090 | 0.356 | 0.084 | 0.169 | ||||
| 0.105 | 0.416 | 0.072 | 0.156 | ||||
| 0.112 | 0.440 | 0.068 | 0.153 |
References
- IAHR. River ice jams: A state of the art report. In Proceedings of the 8th International Association for Hydraulics Research, Symposium on Ice; Working Group on Ice; Institute of Hydraulic Research University of Iowa: Iowa, IA, USA, 1986; Volume 3. [Google Scholar]
- Pariset, E.; Hausser, R.; Gagnon, A. Formation of ice covers and ice jams in rivers. J. Hydraul. Div. 1966, 92, 1–24. [Google Scholar]
- Shen, H.T. Research on river ice processes: Progress and missing links. J. Cold Reg. Eng. 2003, 17, 135–142. [Google Scholar] [CrossRef]
- Yang, K.L. Advances of ice hydraulics, ice regime observation and forecasting in rivers. J. Hydraul. Eng. 2018, 49, 81–91. [Google Scholar]
- Shen, H.T. Mathematical modeling of river ice processes. Cold Reg. Sci. Technol. 2010, 62, 3–13. [Google Scholar] [CrossRef]
- Mu, X.P.; Chen, W.X.; Cui, W.; Baiyinbaoligao, G.X.C. Flow management for long distance water diversion canal system during Winter Time. In Proceedings of the 21st IAHR International Symposium on Ice, China, Dalian, China, 11–15 June 2012. [Google Scholar]
- Mu, X.P.; Chen, W.X.; Guo, X.C.; Cui, W. Study on long-distance water transfer channel with thermal insulation cover in winter. J. Hydraul. Eng. 2013, 9, 1071–1079. [Google Scholar]
- Mu, X.P.; Cao, P.; Chen, W.X.; Wu, Y.; Wen, P. Overview of water transfer technology without ice cover and hydraulic control influencing factors of ice-water two-Phase flow of wide-shallow channel during ice period. Water Resour. Power 2016, 12, 132–136. [Google Scholar]
- Jasek, M.; Trevor, B. Mitigation of elevated river freeze-up levels by revised flow regulation. In Proceedings of the CGU HS Committee on River Ice Processes and the Environment 15th Workshop on River Ice, St. John’s, NL, Canada, 15–17 June 2009. [Google Scholar]
- Adalaiti, H.J.; Yu, S.S. Study and prospect of ice damage prevention and control in Xinjiang’s Water conveyance projects. J. Water Resour. Archit. Eng. 2010, 6, 46–49. [Google Scholar]
- Hicks, F. An overview of river ice problems: CRIPE07 guest editorial. Cold Reg. Sci. Technol. 2009, 55, 175–185. [Google Scholar] [CrossRef]
- Urroz, G.E.; Schaefer, J.; Ettema, R. Bridge-pier location and ice conveyancein curved channels. J. Cold Reg. Eng. 1994, 8, 66–72. [Google Scholar] [CrossRef]
- Tyminski, T. Hydraulic model research on bridge piers based on the example of selected bridges in Opole. Rocz. Ochr. Srodowiska 2010, 12, 879–893. [Google Scholar]
- Carstensen, D. Flow under ice cover and jam effects. In Proceedings of the International Conference on Fluvial Hydraulics, River Flow 2012, San Jose, Costa Rica, 5–7 September 2012; pp. 1139–1144. [Google Scholar]
- Wang, J.; Wang, T.; Li, S.Y.; Chen, P.P. Impacts of bridge pier on ice jam initiation and ice thickness in a curved channel—An experimental study. J. Hydraul. Eng. 2017, 5, 588–593. [Google Scholar]
- Yu, S.B.; Gu, Z.G.; Hou, Z.J. Ice physical model of Baoshen Railway Bridge across Yellow River in thawing period. Adv. Sci. Technol. Water Resour. 2014, 7, 57–61. [Google Scholar]
- Hou, Z.J.; Sun, Y.; Gu, Z.G. Experimental study on the ice physical modeling with a spanning river bridge. J. Sediment Res. 2014, 8, 49–54. [Google Scholar]
- Lu, F.F. Impact of Piers on Ice Jam Backwater. Master’s Thesis, Hefei University of Technology, Hefei, China, April 2013. [Google Scholar]
- Wu, Y.; Zhu, M.Y.; Mu, X.P.; Yue, C.F.; Zhou, F.Q. Study on ice-passing capacity of pier-column section in channel. Water Resour. Hydropower Eng. 2017, 9, 126–131. [Google Scholar]
- Chen, C.J. Experimental study of ice sluicing through the diversion tunnel of the Baishan hydroelectric power project. J. Sediment Res. 1983, 9, 42–52. [Google Scholar]
- Sun, Z.C. On the law of similarity of Hydraulic models of drift ice. Yellow River 1985, 1, 3–7. [Google Scholar]
- Bai, S.L.; Zhang, L.Z.; Yu, R.H. A preliminary study on similarity of ice hydromechanic model. J. Sediment Res. 1997, 9, 66–70. [Google Scholar]
- Yang, S.Q.; Tan, S.K.; Lim, S.Y. Velocity distribution and dip-phenomenon insmooth uniform open channel flows. J. Hydraul. Eng. 2004, 130, 1179–1186. [Google Scholar] [CrossRef]
- Ashton, G.D. Froude criterion for ice-block stability. J. Glaciol. 1974, 13, 307–313. [Google Scholar] [CrossRef][Green Version]
- Ashton, G.D. Ice entrainment through submerged gates. In Proceedings of the 19th IAHR international Symposium on Ice, Using New Technology to Understand Water-Ice Interaction, Vancouver, BC, Canada, 6–11 July 2008; pp. 129–138. [Google Scholar]
- Ambtman, K.E.D.; Hicks, F.E.; Steffler, P.M. Experimental investigation of the pressure distribution beneath a floating ice block. J. Hydraul. Eng. 2011, 137, 399–411. [Google Scholar] [CrossRef]
- Mu, X.P.; Chen, Y.F.; Wu, Y.; Chen, W.X.; Wen, R. Research on ice transport evolution rules and safe operation measures of ice-water two-phase flow canal. South-to-North Water Transf. Water Sci. Technol. 2018, 16, 148–155. [Google Scholar]











| Discharge Q (m3/s) | Water Depth H (m) | Average Water Flow Velocity V (m2/s) | Water Flow Fr | Thickness of Ice Blocks (m) | Diameter of Ice Trays (m) | Ratio of Thickness to Depth t/H | Ratio of Length to Width L/D |
|---|---|---|---|---|---|---|---|
| 70 | 3.97 | 1.49 | 0.239 | 0.1–0.2 | 4.0–5.6 | 0.025–0.050 | 1.14–1.60 |
| 35 | 2.90 | 1.25 | 0.235 | 0.1–0.2 | 3.6–5.2 | 0.034–0.069 | 1.04–1.47 |
© 2020 by the authors. Licensee MDPI, Basel, Switzerland. This article is an open access article distributed under the terms and conditions of the Creative Commons Attribution (CC BY) license (http://creativecommons.org/licenses/by/4.0/).
Share and Cite
Mu, X.; Bao, J.; Chen, Y. Floating Ice Transport Conditions at the Cross-Sections Between Pier Columns in Open Ice-Water Two-Phase Flow Canals. Water 2020, 12, 1813. https://doi.org/10.3390/w12061813
Mu X, Bao J, Chen Y. Floating Ice Transport Conditions at the Cross-Sections Between Pier Columns in Open Ice-Water Two-Phase Flow Canals. Water. 2020; 12(6):1813. https://doi.org/10.3390/w12061813
Chicago/Turabian StyleMu, Xiangpeng, Juan Bao, and Yunfei Chen. 2020. "Floating Ice Transport Conditions at the Cross-Sections Between Pier Columns in Open Ice-Water Two-Phase Flow Canals" Water 12, no. 6: 1813. https://doi.org/10.3390/w12061813
APA StyleMu, X., Bao, J., & Chen, Y. (2020). Floating Ice Transport Conditions at the Cross-Sections Between Pier Columns in Open Ice-Water Two-Phase Flow Canals. Water, 12(6), 1813. https://doi.org/10.3390/w12061813
