Wave Overtopping Discharge for Very Gently Sloping Foreshores
Abstract
1. Introduction
1.1. State-of-the-Art in Deriving the Spectral Wave Period for Different Foreshores
1.2. State-of-the-Art in Wave Overtopping Formulae for Sea-Dikes with Steep, Mild, and Very Gentle Foreshores
2. Materials and Methods
2.1. Site Description
2.1.1. Bathymetry
2.1.2. Offshore Hydraulic Conditions and Dike Geometries
2.1.3. Wave Dissipation Without Sea Dikes
2.2. SWASH Setup
2.2.1. Configuration to Determine Spectral Wave Period at Dike Toes
2.2.2. Configuration to Determine Overtopping of the Sea Dike
2.2.3. Mean Wave Overtopping Discharge Over the Dike Crest
3. Results
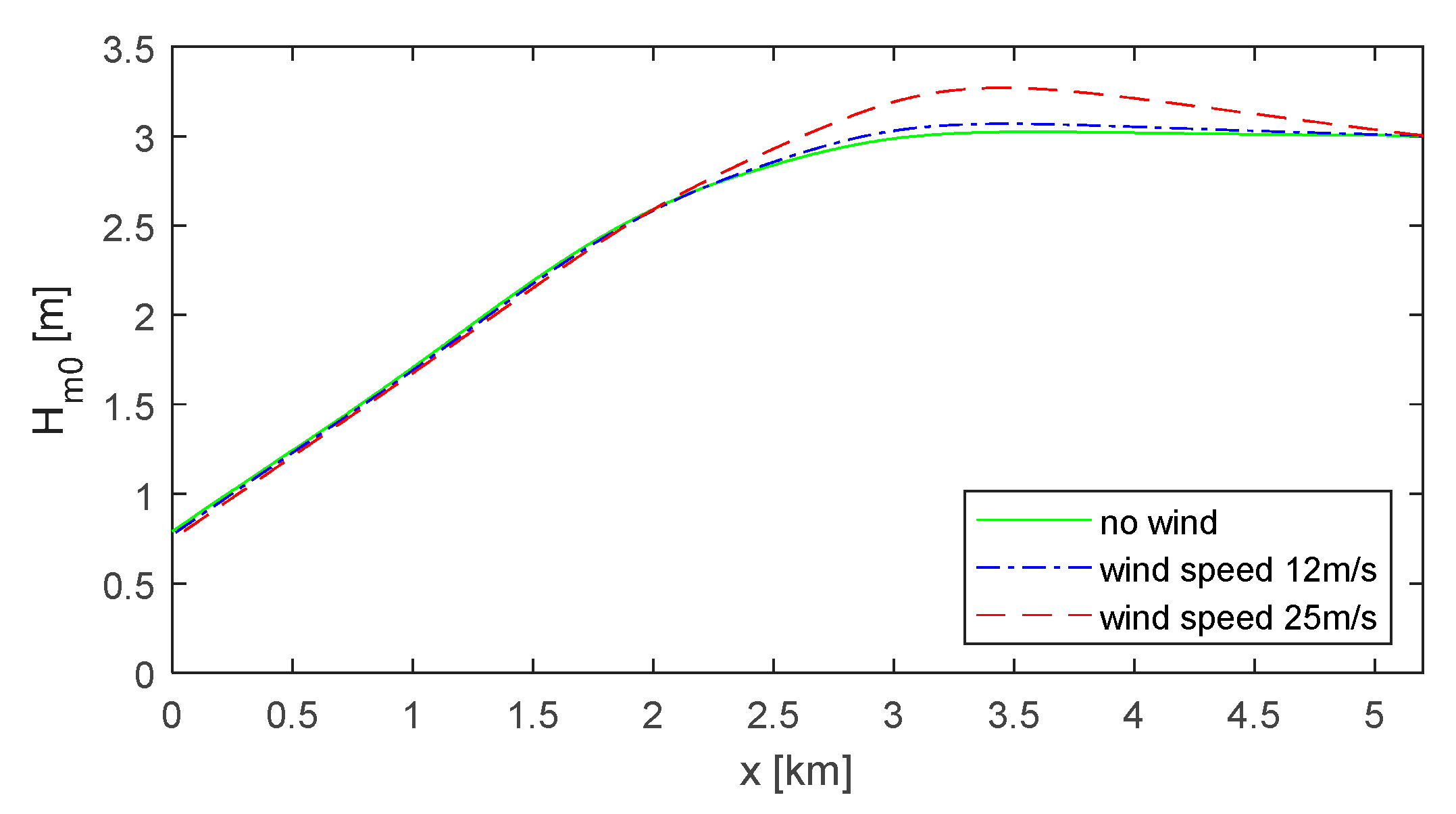
3.1. Wind Influence on Wave Transformation
3.2. Wave Heights and Periods at the Toes of Sea Dikes
3.3. Wave Spectra Over the Shallow Foreshore
3.4. Spectral Wave Periods at Gentle to Very Gentle Slopes
3.5. Wave Overtopping Discharge for a Gentle Foreshore Slope
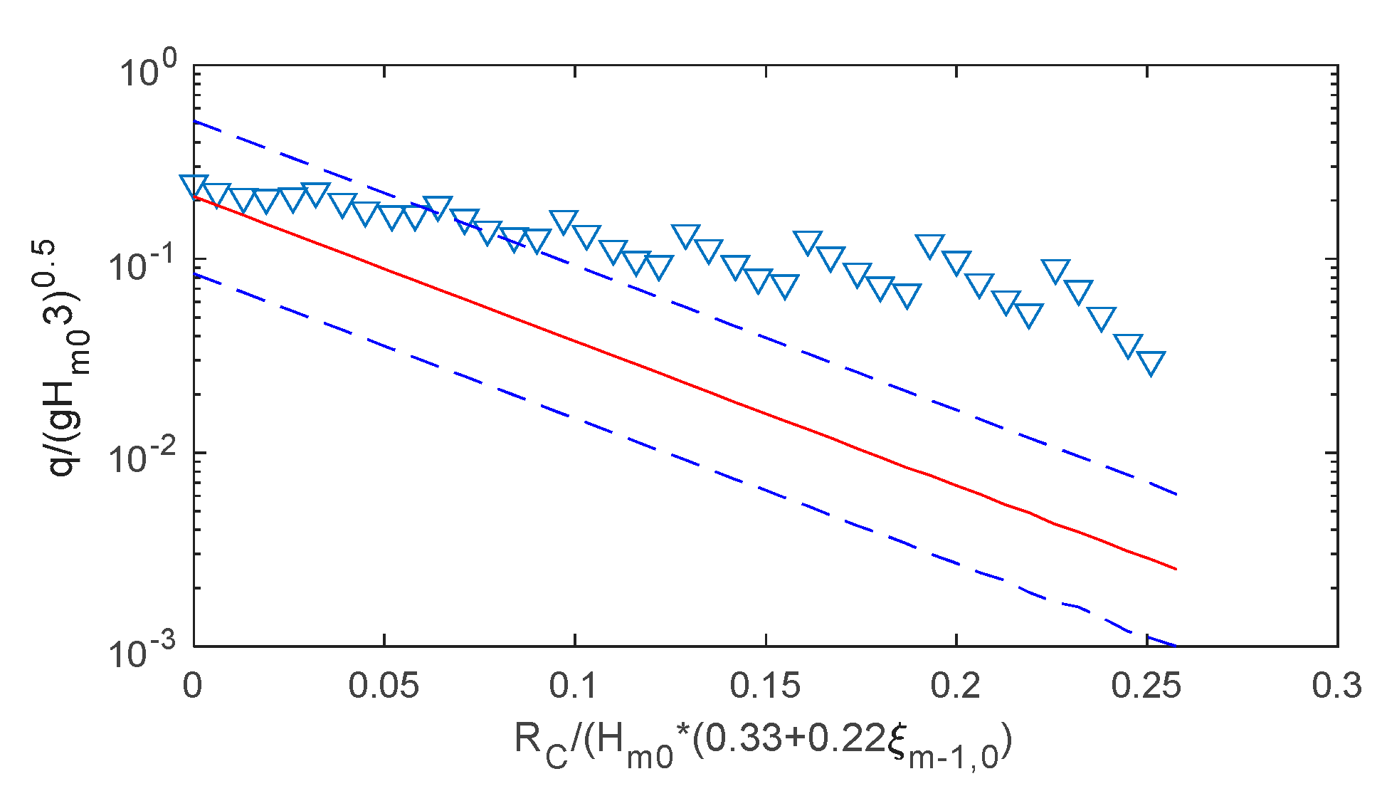
3.6. Wave Overtopping Discharge for Vietnamese Conditions with Very Gentle Slopes
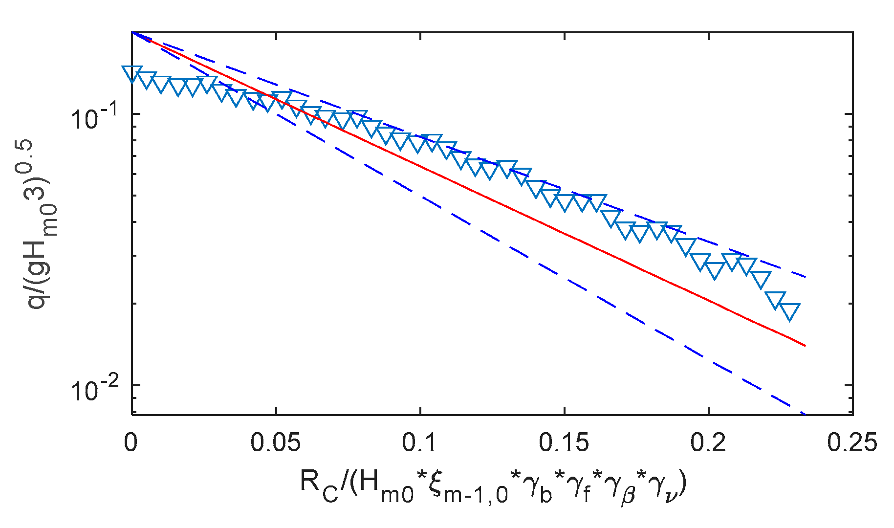
3.7. Comparison to Existing Approaches
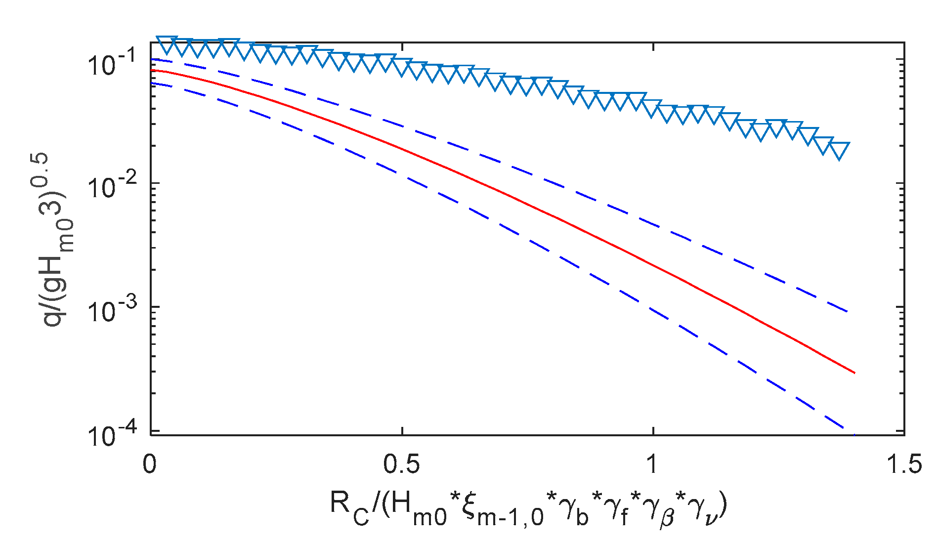
3.8. Wave Overtopping Discharge for a High Sandy Foreshore
4. Discussion
4.1. Incident Spectral Wave Periods on Gently Sloping Foreshores
4.2. Wave Overtopping Discharge Formulae for Very Gentle Slopes
5. Conclusions
Author Contributions
Funding
Acknowledgments
Conflicts of Interest
References
- Bosboom, J.; Stive, M.J.F. Coastal Dynamics I: Lecture Notes CT4305; Delft Academic Press: Delft, The Netherlands, 2015. [Google Scholar]
- EurOtop. Manual on Wave Overtopping of Sea Defences and Related Structures—An Overtopping Manual Largely Based on European Research, but for Worldwide Application, 2nd ed.; 2018; Available online: http://www.overtopping-manual.com/eurotop/downloads/ (accessed on 11 May 2020).
- Zijlema, M.; Stelling, G.S.; Smit, P.B. SWASH: An operational public domain code for simulating wave fields and rapidly varied flows in coastal waters. Coast. Eng. 2011, 58, 992–1012. [Google Scholar] [CrossRef]
- Van Gent, M.R.A. Physical Model Investigations on Coastal Structures with Shallow Foreshores: 2D Model Tests with Single and Double-Peaked Wave Energy Spectra; Delft Hydraulics/Waterbouwkundig Laboratorium: Delft, The Netherlands, 1999. [Google Scholar]
- Altomare, C.; Suzuki, T.; Chen, X.; Verwaest, T.; Kortenhaus, A. Wave overtopping of sea dikes with very shallow foreshores. Coast. Eng. 2016, 116, 236–257. [Google Scholar] [CrossRef]
- Van Gent, M.R.A. Wave run-up on dikes with shallow foreshores. ASCE J. Waterw. Port. Coast. Ocean. Eng. 2001, 127, 254–262. [Google Scholar] [CrossRef]
- Van Gent, M.R.A. Numerical model simulations of wave propagations and wave run-up on dikes with shallow foreshores. In Proceedings of the Fourth Conference on Coastal Dynamics, Lund, Sweden, 11–15 June 2001. [Google Scholar]
- Munk, W.H. Surf beat. Eos Trans AGU 1949, 30, 349–854. [Google Scholar]
- Tucker, M.J. Surf beats: Sea waves of 1 to 5 min. period. Proc. R. Soc. A 1950, 202, 565–573. [Google Scholar]
- EurOtop. European Overtopping EurOtop Manual for the Assessment of Wave Overtopping; 2007; Available online: http://www.overtopping-manual.com/eurotop/downloads/ (accessed on 11 May 2020).
- Hofland, B.; Chen, X.; Altomare, C.; Oosterlo, P. Prediction formula for the spectral wave period Tm-1,0 on mildly sloping shallow foreshores. Coast. Eng. 2017, 123, 21–28. [Google Scholar] [CrossRef]
- TAW. Technical Report on Wave Run-Up and Wave Overtopping at Dikes; Technical Advisory Committee on Flood Defence: Delft, The Netherlands, 2002. [Google Scholar]
- Hoan, L.X.; Hanson, H.; Larson, M.; Donnelly, C.; Nam, P.T. Modeling shoreline evolution at Hai Hau beach, Vietnam. J. Coast. Res. 2010, 26, 31–43. [Google Scholar] [CrossRef]
- Phan Khanh, L. Wave Attenuation in Coastal Mangroves: Mangrove Squeeze in the Mekong Delta. Ph.D. Thesis, Delft University of Technology, Delft, The Netherlands, 2019. [Google Scholar]
- Tas, S. Coastal Protection in the Mekong Delta: Wave Load and Overtopping of Sea Dikes as Function of Their Location in the Cross-Section, for Different Foreshore Geometries. Master’s Thesis, Delft University of Technology, Delft, The Netherlands, 2016; pp. 17–18. [Google Scholar]
- US Army Corps of Engineers. Shore Protection Manual; US Army Corps of Engineers: Washington, DC, USA, 1984; Volume 1. [Google Scholar]
- Metocean Criteria for the Thaibinh Development Blocks 102 & 106, Offshore Vietnam; Petronas Carigali Vietnam Limited: Ho Chi Minh City, Vietnam, 2011.
- Stelling, G.; Zijlema, M. An accurate and efficient finite-difference algorithm for non-hydrostatic free-surface flow with application to wave propagation. Int. J. Numer. Methods Fluids 2003, 43, 1–23. [Google Scholar] [CrossRef]
- SWASH User Manual: SWASH Version 3.14A; The SWASH Team: Delft, The Netherlands, 2016.
- Suzuki, T.; Altomare, C.; Veale, W.; Verwaest, T.; Trouw, K.; Troch, P.; Zijlema, M. Efficient and robust wave overtopping estimation for impermeable coastal structures in shallow foreshores using SWASH. Coast. Eng. 2017, 122, 108–123. [Google Scholar] [CrossRef]
- Chen, X.; Hofland, B.; Altomare, C.; Suzuki, T.; Uijttewaal, W. Forces on a vertical wall on a dike crest due to overtopping flow. Coast. Eng. 2015, 95, 94–104. [Google Scholar] [CrossRef]
- Chen, X. Impacts of Overtopping Waves on Buildings on Coastal Dikes. Ph.D. Thesis, Delft University of Technology, Delft, The Netherlands, 2016. [Google Scholar]
- Hofland, B.; Diamantidou, E.; van Steeg, P.; Meys, P. Runup and overtopping measurements with a laser scanner. Coast. Eng. 2015, 106, 20–29. [Google Scholar] [CrossRef]
- TCVN 9901:2014 Hydraulic Structures-Requirements for Seadike Design, Vietnamese Version, 2014. TCVN 9901:2014 Công trình thủy lợi-Yêu cầu thiết kế đê biển, Hà Nội 2014; Thuyloi University: Hanoi, Vietnam, 2014.














| wave overtopping thickness [m] | wave run-up over a slope [m] | ||
| wave energy dissipation [cm2/s] | spectral mean wave energy period in SWASH b.c [s] | ||
| spectral density of the water surface elevation [m2/Hz] | spectral mean wave energy period at toe [s] | ||
| frequency [s−1] | peak wave period in SWAN b.c [s] | ||
| water depth [m] | wind speed at 10 m above SWL [m/s] | ||
| water depth at dike toe [m] | wave overtopping velocity [m/s] | ||
| spectral significant wave height at SWAN boundary condition (b.c) [m] | wind speed at 10 m [m/s] | ||
| spectral significant wave height [m] | distance [km] | ||
| spectral significant wave height at SWASH b.c [m] | θ | foreshore slope in SWASH [degree] | |
| spectral significant wave height at dike toe [m] | reduction coefficient which includes the effects of slope roughness [-] | ||
| wave number [-] | reduction coefficient which includes the effects of obliqueness [-] | ||
| wave overtopping discharge per meter width of structure [m3/s/m] | dike slope in seaward [degree] | ||
| crest freeboard [m] | δ | equivalent slope in shallow foreshore [degree] | |
| Irribaren number [-] |
| Slope | h [m] | x [km] | htoe [m] |
|---|---|---|---|
| 35 | 12.5 | 385 | 1.5 |
| 100 | 12.5 | 1100 | 1.5 |
| 250 | 12.5 | 2750 | 1.5 |
| 500 | 12.5 | 5200 | 1.5 |
| 700 | 12.5 | 7700 | 1.5 |
| 800 | 12.5 | 8800 | 1.5 |
| 900 | 12.5 | 9900 | 1.5 |
| 1000 | 12.5 | 11,000 | 1.5 |
| 35 | 13.2 | 385 | 2.2 |
| 100 | 13.2 | 1100 | 2.2 |
| 250 | 13.2 | 2750 | 2.2 |
| 500 | 13.2 | 5200 | 2.2 |
| 700 | 13.2 | 7700 | 2.2 |
| 800 | 13.2 | 8800 | 2.2 |
| 900 | 13.2 | 9900 | 2.2 |
| 1000 | 13.2 | 11,000 | 2.2 |
| 35 | 14 | 385 | 3 |
| 100 | 14 | 1100 | 3 |
| 250 | 14 | 2750 | 3 |
| 500 | 14 | 5200 | 3 |
| 700 | 14 | 7700 | 3 |
| 800 | 14 | 8800 | 3 |
| 900 | 14 | 9900 | 3 |
| 1000 | 14 | 11,000 | 3 |
| Slope | SWAN | SWASH | |||||
|---|---|---|---|---|---|---|---|
| Hm0,o [m] | TP [s] | U10 [m/s] | x [km] | Boundary Condition | htoe [m] | x [km] | |
| 500 | 4.5 | 11 | 12 | 180 | JONSWAP spectra | 1.5 | 5.2 |
| 500 | 4.5 | 11 | 12 | 180 | JONSWAP spectra | 3 | 5.2 |
| SWASH Results | Hofland [8] | ||||||
|---|---|---|---|---|---|---|---|
| Hm0,o [m] | Tm−1,0,o [s] | Tm−1,0,t [s] | htoe | ||||
| 35 | 3 | 11 | 20.4 | 1.9 | 1.5 | 0.4 | 2.7 ± 0.8 |
| 100 | 3 | 11 | 23.8 | 2.2 | 1.5 | 0.5 | 2.5 ± 0.7 |
| 250 | 3 | 11 | 26 | 2.4 | 1.5 | 0.6 | 2.2 ± 0.6 |
| 35 | 3 | 11 | 21.5 | 2 | 2.2 | 0.6 | 2.2 ± 0.6 |
| 100 | 3 | 11 | 22.6 | 2.1 | 2.2 | 0.7 | 2.0 ± 0.4 |
| 250 | 3 | 11 | 19.8 | 1.8 | 2.2 | 0.9 | 1.6 ± 0.4 |
| 35 | 3 | 11 | 13.3 | 1.2 | 3 | 0.8 | 1.8 ± 0.4 |
| 100 | 3 | 11 | 14 | 1.3 | 3 | 1 | 1.5 ± 0.4 |
| 250 | 3 | 11 | 13.4 | 1.2 | 3 | 1.2 | 1.4 ± 0.4 |
| 500 | 3 | 11 | 25 | 2.3 | 1.5 | 0.7 | 2.0 ± 0.4 |
| 700 | 3 | 11 | 25.4 | 2.3 | 1.5 | 0.7 | 2.0 ± 0.4 |
| 800 | 3 | 11 | 28.4 | 2.6 | 1.5 | 0.8 | 1.8 ± 0.4 |
| 900 | 3 | 11 | 33.3 | 3.0 | 1.5 | 0.8 | 1.8 ± 0.4 |
| 1000 | 3 | 11 | 39 | 3.5 | 1.5 | 0.8 | 1.8 ± 0.4 |
| 500 | 3 | 11 | 22.1 | 2 | 2.2 | 1 | 1.5 ± 0.4 |
| 700 | 3 | 11 | 22.3 | 2 | 2.2 | 1.1 | 1.4 ± 0.3 |
| 800 | 3 | 11 | 24 | 2.2 | 2.2 | 1.1 | 1.4 ± 0.3 |
| 900 | 3 | 11 | 22.6 | 2.1 | 2.2 | 1.1 | 1.4 ± 0.3 |
| 1000 | 3 | 11 | 24.5 | 2.2 | 2.2 | 1.2 | 1.4 ± 0.3 |
| 500 | 3 | 11 | 20.5 | 1.9 | 3 | 1.4 | 1.3 ± 0.2 |
| 700 | 3 | 11 | 18 | 1.6 | 3 | 1.5 | 1.2 ± 0.2 |
| 800 | 3 | 11 | 18 | 1.6 | 3 | 1.5 | 1.2 ± 0.2 |
| 900 | 3 | 11 | 18.5 | 1.7 | 3 | 1.6 | 1.2 ± 0.2 |
| 1000 | 3 | 11 | 20 | 1.8 | 3 | 1.6 | 1.2 ± 0.2 |
© 2020 by the authors. Licensee MDPI, Basel, Switzerland. This article is an open access article distributed under the terms and conditions of the Creative Commons Attribution (CC BY) license (http://creativecommons.org/licenses/by/4.0/).
Share and Cite
Nguyen, T.-H.; Hofland, B.; Dan Chinh, V.; Stive, M. Wave Overtopping Discharge for Very Gently Sloping Foreshores. Water 2020, 12, 1695. https://doi.org/10.3390/w12061695
Nguyen T-H, Hofland B, Dan Chinh V, Stive M. Wave Overtopping Discharge for Very Gently Sloping Foreshores. Water. 2020; 12(6):1695. https://doi.org/10.3390/w12061695
Chicago/Turabian StyleNguyen, Thu-Ha, Bas Hofland, Vu Dan Chinh, and Marcel Stive. 2020. "Wave Overtopping Discharge for Very Gently Sloping Foreshores" Water 12, no. 6: 1695. https://doi.org/10.3390/w12061695
APA StyleNguyen, T.-H., Hofland, B., Dan Chinh, V., & Stive, M. (2020). Wave Overtopping Discharge for Very Gently Sloping Foreshores. Water, 12(6), 1695. https://doi.org/10.3390/w12061695

