Abstract
The harvesting of plant biomass is usually implemented as an effective tool for plant management and removing the nutrients absorbed in plant tissues. Here, the influence of harvesting different biomasses (50%, 33%, 25%, and 0% (no harvest)) of watercress (Nasturtium officinale) was investigated in integrated recirculating aquaponic systems (IRASs) for rearing common carp (Cyprinus carpio). Twelve independent IRASs were designed (4 × 3); each system consisted of a fish rearing tank, a waste collection tank, and a hydroponic bed. Water quality parameters and the growth of both fish and plants were measured in all the systems, and then the nutrient removal capacities of the hydroponic beds were calculated. The results revealed that increasing the biweekly harvested biomass of the plants decreased the growth of the watercress, while it did not affect the growth of the common carp. Increasing the harvested biomass of the plants also decreased the nitrate nitrogen and orthophosphate removal efficiencies of the aquaponic systems, while it did not affect the ammonia and nitrite nitrogen removal efficiencies. Therefore, a biweekly harvesting of less than 25% of the biomass of the growing watercress is recommended for efficient nutrient removal and the sustainable growth of both watercress and the common carp in aquaponic systems.
1. Introduction
Aquaponic systems are the integrated recirculating aquaculture systems (IRASs) that combine aquaculture and hydroponics [1,2]. These systems are gaining popularity because they offer many advantages in terms of reducing water consumption, increasing the profitability of primary and secondary products, recycling nutrients, and reducing the environmental impacts of aquaculture [3,4]. Aquaponics is a symbiotic production system between fish, microbes, and plants. After fish digest food, ammonia nitrogen is excreted into the water, and high levels of ammonia can negatively affect fish growth and survival. Nitrifying bacteria can utilise ammonia nitrogen and convert it into nitrite and then to nitrate. Finally, plants can absorb and utilise nitrate for growth [3].
Among the most economical plant species that can grow in the aquaponic systems are leafy greens such as basil, spinach, chives, mint, and watercress [5]. Watercress (Nasturtium officinale) is an aquatic, perennial herb consumed by humans as a salad green and medicinal herb. The plant has relatively large quantities of beta carotene (vitamin A), ascorbic acid (vitamin C), folic acid, iron, iodine, calcium, and phosphorous. It also contains a high level of amino acids (arginine, glycine, lysine and tryptophan) and antioxidants [6]. Watercress is in high demand and has a high economic value in urban areas, which makes it a very suitable crop for commercial or small scale farming. The demand for watercress is greater than the amount that business can supply to the market [5].
The common carp (Cyprinus carpio L.) was also chosen as a model species in the current study because it has a wide distribution throughout the world and can survive in poor water quality. The majority of carp production in Central and Eastern Europe comes from extensive and semi-intensive fishpond operations, where untreated pond water discharged into the environment causes environmental problems [7]. In response to the increasingly strict environmental regulations in the region, improving carp farming practices and reducing their environmental impact would be a new desirable trend for ecological approaches and sustainability.
In aquaponic systems, three strategies have been adopted for producing crops: staggered cropping, intercropping, and batch cropping [1]. A staggered production system is one where a group of plants are harvested at different stages of growth. This allows the crop to be harvested repeatedly and keeps the nutrient uptake in the culture system relatively constant. This system is most effective for crops that can be grown continuously such as leafy green vegetables and herbs [1]. However, if the harvesting of the plants is too much, the number of plants in the bed will reduce and the uptake of the nutrients in the aquaponic system may decrease, resulting in nutrient accumulation and, eventually, fish mortality. Therefore, the selection of the appropriate biomass of plants to be harvested can optimise nutrient uptake efficiency and sustain plant development in aquaponic systems.
Additionally, several studies have suggested that overall nutrient removal could be improved if a harvesting regime is applied [8,9,10], but others reveal that harvesting can negatively affect nutrient removal [11,12,13]. The importance of harvest management for the nutrient removal, as well as the growth and development of plants, has always been highly controversial [8,13,14,15,16]. Despite the idea of nutrient reduction through harvesting having gained more attention over the last decade [17], little published information is available on the requirement of the optimum harvesting of the biomass of plants in integrated recirculating aquaponic systems. Therefore, this study aimed to investigate the effects of harvesting different biomasses of watercress on water quality, nutrient removal efficiency, and the growth of both watercress and the common carp in an integrated recirculating aquaponic system.
2. Materials and Methods
2.1. Experimental Fish and Plants
A total number of 144 common carp (C. carpio L.) with an average weight of 33.67 ± 0.012 g were used for the experiment. Fish were collected from a stock tank at the Aquaculture Laboratory of Debrecen University (ALDU), Hungary. Watercress (N. officinale) was also taken from a growing hydroponic bed in an operating aquaponic system at ALDU. Healthy seedlings (144 seedlings) that already had white roots with an average height of 6 cm and a weight of 20 g were transplanted into 12 hydroponic units. Each hydroponic unit was stocked with twelve seedlings of watercress.
2.2. Design of Systems
The trial comprised 12 independent experimental systems; each system consisted of a 200 L fish tank, a 20 L waste collection tank, and a 0.086 m3 hydroponic unit with expanded clay. The fish and waste collection tanks were placed on the floor, while the hydroponic unit was installed on a plastic stand to elevate it above the fish tank. Water from the waste collection tank was pumped through a plastic tube at a flow rate of 3 L/min to the hydroponic unit by a submerged pump. Water from the hydroponic unit was circulated to the fish tank and then returned back through a PVC pipe to the waste collection tank by gravity (Figure 1). The outlet of each hydroponic unit was constructed as a bell siphon with a maximum water level of 15 cm and an auto-mechanical water out movement, initiating the ebb under water pressure. The water volumes in the fish and waste collection tanks were maintained at 100 L, and 17 L, respectively. The fish tank was supplied with one air stone to provide dissolved oxygen for the fish, and a polyethylene mesh was put above the fish tank to prevent the fish from jumping outside. All the experimental systems were operated with fish and plants for four days before the commencement of the experiment to acclimate the fish and plants to the experimental systems.
Figure 1.
Diagram of the experimental units (the arrows show the direction of water flow); FT: Fish tank; WCT: Waste collection tank; HB: Hydroponic bed; P: Pump.
2.3. Experimental Setup and Rearing Conditions
The trial was conducted for 58 days in an insulated greenhouse at ALDU, and only natural light was used to provide uniform conditions for fish and plant growth. Initially, 12 seedlings of plants with a total biomass of 240 g were transplanted into each hydroponic unit (0.43 m2 surface area). The effect of harvesting different biomass ratios of above-ground plants was evaluated by a random design with three replicates. There were four treatments: harvesting 0%, 25%, 33%, and 50% of plants biweekly from the surface area of each hydroponic bed. Harvesting was carried out in such a way that the five centimetre above-ground portion of the plants remained in place to allow the plants to regrow again. The fish were initially stocked at 2.02 kg/m3, and the total biomass was approximately 404 g/tank. The feeding rate for the fish was 2% of body weight per day, and all the fish were fed by hand twice a day at 09:00 and 15:00 hours with the commercially formulated feed (pellet size 2 mm) Aller Master (35% crude protein, 9% crude fat, 4.7% crude fibre, 7% crude ash, and 1.1% P) (Aller Aqua Group, Allervej, Christiansfeld, Denmark). The uneaten feed and faeces were siphoned out daily before feeding and separated from the siphoned water by a 100 µm mesh size net, and then the water was returned back into the fish tank of the same system. Depending on the loss of technological water, the necessary amount of new water was added (~20–30 L) every ten days (including the water to compensate that lost by evaporation).
2.4. Water Quality Parameters
The dissolved oxygen (DO), temperature, and pH were measured in the fish tanks and hydroponic beds once a day before feeding using a Hach HQ30d portable meter (HACH CO., Loveland, Colorado, USA). Triplicate water samples were collected every 10 days from the fish tanks, as were the influent and effluent waters of each hydroponic unit to determine the nutrient removal rates. Ammonia nitrogen (NH3-N), nitrite nitrogen (NO2-N), nitrate nitrogen (NO3-N), orthophosphate (PO4-P), and total phosphorus (TP) were measured with the HACH Lange DR/3900 spectrophotometer (HACH CO., Loveland, Colorado, USA), using spectrophotometric methods outlined by the HACH company. The levels of NH3-N, NO2-N, and NO3-N were determined using the Nessler method (Method 8038), diazotisation method (Method 8507), and cadmium reduction method (Method 8039), respectively [18]. The TP and PO4-P were determined by the phosphor-molybdenum blue method (HACH, Lange, LCK349, Phosphate Ortho/Total cuvette test), according to the ISO 6878_2004, DIN EN 6878/D11 standard [18].
The nutrient removal rates (NRR) were used to determine the nutrient removal cycle in each system. The nutrient removal rate (NRR%) was calculated using the following equation [19]:
where CI and CE are the concentrations of a particular nutrient in the influent and effluent waters of the grow beds, respectively.
NRR% = [(CI − CE)/CI] × 100
2.5. Fish and Plant Growth Parameters
The growth and survival rates of the fish were recorded at the end of the experiment for each tank. The specific growth rates (SGR), fish weight gain (WG), feed conversion ratio (FCR), and survival rates were calculated using the following formulas:
where Wt and W0 are the weights of fish at the end and the start of the trial, respectively, and (t) is the number of rearing days. The WF is the weight of feed given to the fish (g), and WG is the weight gain of the fish (g). The nt and n0 are the numbers of fish at the end and the start of the trial, respectively.
SGR (%/day) = 100 × (lnWt − lnW0),
WG = Wt − W0,
FCR = WF (g)/WG (g ),
Survival rate (%) = 100 × (nt/n0),
At the end of the experiment, all the plants were harvested from the hydroponic beds and the weight of the plants was recorded. The final biomass (FB), biomass gain, and specific growth rates of plants (SGRP) were calculated using the following equations:
where FB and IB are the final biomass of the plants and the initial stocked biomass, respectively, while t is the number of rearing days.
Final biomass production of plants (FB) = Cumulative amount of plants harvested during the harvestings throughout the trial (g),
Biomass gain of plants (g) = FB − IB,
SGRP (%/day) = 100 × (lnFB − lnIB)/t,
2.6. Statistical Analysis
All statistical analyses were performed using SPSS version 22.0 for windows. All the data obtained were tested for normality of distribution and homogeneity of variance. One-way analysis of variance (ANOVA) was conducted to test the differences between the parameters amongst treatments. Significant ANOVAs were followed by Duncan’s multiple range tests to recognise specific differences amongst treatments. A p < 0.05 was considered significant for all analyses.
3. Results
3.1. Water Quality Parameters in Fish Tanks
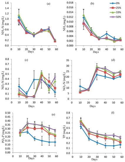
The means for all the water quality parameters in the fish tanks were similar (p > 0.05) amongst the treatments except for PO4-P and TP (Table 1). The lowest means for PO4-P and TP were recorded in the fish tanks of the unharvested systems (0%), which significantly differed (p < 0.05) from those of the other three treatments (Table 1). The dissolved oxygen in all the treatments never dropped below 7 mg/L, whereas the temperature decreased as the trial progressed from 16.7 °C to 11.5 °C. The mean pH values fluctuated in all the treatments between 7.01 and 7.65. The mean NH3-N concentrations decreased in all the treatments as the trial progressed, while the mean NO2-N concentrations fluctuated over time (Figure 2a,c). The means for NO3-N increased in all the treatments during the first 30 days and decreased after that, with the highest means in the 33% and 50% harvested systems (Figure 2d). The mean PO4-P and TP concentrations for all the treatments decreased as the trial progressed, and the highest means were recorded at the early stage of the culture period (Figure 2e,f).
Table 1.
Overall mean water quality parameters in the fish tanks and hydroponic units of aquaponic systems under different plant harvesting regimes.
Figure 2.
Concentrations of (a) ammonia nitrogen; (b) un-ionised ammonia; (c) nitrite nitrogen; (d) nitrate nitrogen; (e) orthophosphate; and (f) total phosphorus (TP) in tanks of Cyprinus carpio reared in an integrated recirculating aquaponic system for a 58 day trial (data are the means of three replicates (n = 3), and error bars indicate the standard errors).
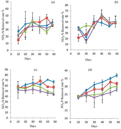
3.2. Nutrient Removal Rates
There were no significant differences (p > 0.05) in the mean removal rates for NH3-N and NO2-N amongst any of the treatments (Table 2). The mean NH3-N and NO2-N removal rates increased in all the treatments over time (Figure 3a,b). The highest removal rates for NO3-N, PO4-P, and TP were calculated in the unharvested system, which significantly differed (p < 0.05) from those in the 33% and 50% systems (Table 2). However, the mean NO3-N, PO4-P, and TP removal rates in the 25% harvested systems were comparable with those in the unharvested and 33% harvested systems (Table 2). The mean NO3-N removal rates in the unharvested systems increased over time, while the means for the other three treatments slightly decreased at the later stage of the culture period (Figure 3c). The mean PO4-P and TP removal rates increased in all treatments over time (Figure 3d,e).
Table 2.
Overall mean nutrient removal efficiency for each treatment during the 58 day trial.

Figure 3.
Removal rates for (a) ammonia nitrogen; (b) nitrite nitrogen; (c) nitrate nitrogen; (d) orthophosphate; and (e) total phosphorus in aquaponic systems under different plant harvesting regimes (data are the means of three replicates (n = 3), and error bars indicate the standard errors).
3.3. Concentrations of Nutrients Before and After Harvesting Plants
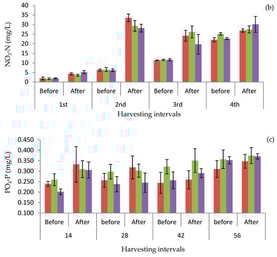
The concentrations of NO3-N and PO4-P in the outlet of the bed units increased after two days of harvesting compared to the levels before two days of harvesting (Figure 4b,c), while the concentration of NH3-N started to increase after two days of the second harvesting (Figure 4a).

Figure 4.
Concentrations of (a) ammonia nitrogen; (b) nitrate nitrogen, and (c) orthophosphate at the outlet of the hydroponic beds before and after two days of harvesting plants (data are the means of three replicates (n = 3), and error bars indicate the standard errors).
3.4. Fish and Plant Growth Performance
After the experimental period, the growth rate of the common carp increased in all the treatments. The mean biomass gain, SGR, individual weight gain and FCR of the fish did not differ significantly (p > 0.05) amongst any of the treatments (Table 3). The survival rates were also similar (p > 0.05) in all treatments, and no mortality was recorded in any system (Table 3).
Table 3.
Growth performance of Cyprinus carpio reared for 58 days in integrated recirculating aquaponic systems under different plant harvesting regimes.
The mean biomass gain and specific growth rates of the plants (SGRP) in the 0% systems were significantly higher (p < 0.05) than the values for the 33% and 50% harvested systems (Table 4). However, the mean biomass gain and SGRP of the 25% system were similar to the values for the unharvested and 33% harvested systems (Table 4). The amount of harvested plants for the treatments increased during the harvesting times, except for the decrease in the 50% harvested system at the third and fourth harvestings (Figure 5a).
Table 4.
Growth performance of Nasturtium officinale in integrated recirculating aquaponic systems under different harvesting regimes.
Figure 5.
Harvested biomass of Nasturtium officinale in aquaponic systems under different harvesting regimes. (a) Amount of harvested plants on the 14th–56th days of the trial; (b) Total harvested biomass production in each treatment (data are the means of three replicates (n = 3), and error bars indicate the standard errors).
4. Discussion
The aquaponic systems designed with watercress plants (N. officinale) in this study were efficient in removing nutrients because the plants take up the waste generated by the fish. The growth rate of the watercress increased exponentially in all treatments. However, our results showed that an increase in the harvested biomass of plants negatively affected the final biomass production (Table 4). Information relating to the influence of harvesting biomass on the growth performance and nutrient removal efficiency of plants in aquaponic systems is very limited; however, a very recent study found harvesting can cause damage to the plant tissues and that the plants after harvesting would not have the ability to transport nutrients and nonstructural carbohydrates from the stems and leaves to the storage organs, which could support the growth of new buds [16]. Several studies with different plant species also found that repeated aboveground harvesting can slow down plant biomass development because harvesting does not allow sufficient opportunity for plants to absorb more nutrients for growth, consequently leading to very low biomass production compared to that in those not harvested [10,11,20,21]. In the present study, the amount of harvested plants in the 50% harvested system decreased at the third and fourth harvestings (Figure 5a), suggesting that harvesting can affect nutrient storage in plant tissues. Harvesting can alter the storage of rhizome carbohydrates needed for early growth and stand strength, depending on the time of harvest and the type of biomass harvested [20]. Our results are in agreement with the results obtained by [10], who found that increasing harvesting frequency had a large effect on Myriophyllum spicatum cover, height, composition, and abundance. On the other hand, [13] found that harvesting plants improved shoot density and the biomass of plants in the system compared with those in the unharvested system, while [8] found that the aboveground biomass was nearly identical at one and two time harvests.
After harvesting plants, the concentrations of NH3-N, NO3-N, and PO4-P in the outlet of the bed units were higher compared to the levels before two days of harvesting (Figure 4a–c), and this was probably due to a temporary reduction in the nutrient removal capacity of the system. The purification in rearing systems could be mediated by different mechanisms such as nitrification, denitrification, microbial assimilation, sedimentation, and plant uptake [22]. Plant uptake is one of the pathways for nutrient removal. When the plants are harvested, the microenvironment of the plant rhizosphere will be affected, leading to a decrease in the uptake of nutrients [16]. This is the one reason why the concentrations in the effluents of the bed units temporarily increased after two days of harvesting plants, especially for NO3-N and PO4-P (Figure 4). Similarly, [16] reported that the concentrations of NO3-N and NH4-N in the effluents increased temporarily after harvesting plants, and the effect on NO3-N was greater than that on NH4-N, demonstrating that the harvesting of plant shoots would reduce the root exudates of the plants.
In aquaponic systems, nutrient removal capacity is influenced by the growth stage of the plants, nutrient needs of the plants, and activity of nitrifying bacteria [3,4,19]. Our results indicated that increasing the aboveground harvested biomass of plants had no effects on the ammonia and nitrite nitrogen removal efficiencies (Table 2), and this could be due to the activity of the nitrifying bacteria in the systems. It is reported in [3] that nitrifying bacteria are responsible for the major removal of ammonia and nitrite nitrogen in media-based aquaponic systems. Therefore, the activity of the nitrifying bacteria can describe the ammonia and nitrite nitrogen removal trends by all treatments in the present study. The increasing trends with the treatments were possibly due to the boost in the number of nitrifying bacteria in response to the rise in ambient ammonia concentrations as a consequence of the increasing fish biomass. At the early stage of the trial, there were not enough nitrifying bacteria to perform the nitrification process efficiently [4,23,24]. Similar findings were reported by [13], who found that the NH3-N and NO2-N removal efficiencies were comparable between the harvested and unharvested wetlands, and both wetlands in the second year showed higher nutrient removal than in the first year. On the other hand, [10] found that harvesting two times per growing season removed the highest amount of nitrogen from the system compared with the five times harvesting system. The results of another study revealed that harvesting during winter decreased NH4-N removal [12], while the results obtained by [9] revealed that the harvesting of shoots during summer could improve ammonia nitrogen removal.
Nitrates in aquaponic systems are taken up by plants as the main nitrogen source, and higher plant biomass translates to a higher plant uptake rate, resulting in a higher nitrate removal efficiency [3,25]. In the current study, the unharvested treatment had the highest plant biomass production (Figure 5b), resulting in the highest NO3-N removal efficiencies, which tended to increase as the plant biomass increased over time (Figure 3c). By contrast, the decreasing trends at the later stage of the experiment with the other treatments could be related to differences in the growth performance of plants, cover, and abundance of plants in the bed unit after harvesting. It was concluded in [10] that an increase in harvesting frequency negatively affected macrophyte cover, height, abundance, and biomass production, as well as total nutrient removal from the system. They found that an increase in the harvesting of plants up to five times removed a lower amount of nutrients from the system compared to the system of harvesting two times per growing season. Furthermore, it should be mentioned that an increase in the dissolved oxygen in the water to more than 4 mg/L can inhibit the denitrification process [13]. In our study, the dissolved oxygen in the hydroponic beds of all the treatments never dropped below 7.73 mg/L, and this may provide further evidence that nitrates are directly taken up by plants as a nitrogen source and are incorporated into the plant biomass [26].
The removal of phosphorus can be mediated through plant uptake and the mechanism of sedimentation [27]. In [28], it is reported that over half of the phosphorus inputs are bound in the soils of the pond bottom in a relatively insoluble form. In the present study, the artificial feed was the only source of phosphorus, and a large part of it was removed by the removal of uneaten food and fish faeces, which resulted in a large portion of soluble phosphorus and suspended particles in the water column. Our results indicated an inverse relationship between the harvested biomass of plants and the PO4-P and TP removal capacities (Table 2). This was primarily due to the smaller plant biomass production in the systems (0% > 25% > 33% > 50%), as a result of the slow recovery of the plants and regrowth of biomass after harvesting (Figure 5a,b). The lower PO4-P and TP removal rates for all treatments at the beginning of the experiment could be attributed to the lower nutrient needs for the plants as a consequence of the smaller biomass of the plants (Figure 3d,e). In [29], it is reported that young plants have low nutrient requirements, which increase during the vegetative growth. Our findings were comparable to the findings reported by [11], who found the productivity of macrophytes to be affected significantly by harvesting, and this resulted in lower phosphorus removal compared to that in systems that were not harvested. It is also reported in [10] that harvesting two times per growing season removed the highest amount of phosphorus from the system compared with the five times harvesting system.
In the present study, all the water quality parameters in the fish tanks of the systems remained within the tolerance range for common carp growth and survival [30,31]. This was due to the effects of the nitrification process and plant uptake. The maximum value of NH3 (0.017 mg/L) at the beginning of the experiment (Figure 2b) was lower than the concentrations reported by [32], who concluded that the common carp has three different concentration levels of NH3: a favourable concentration (0.0286 mg/L), growth-inhibiting concentration (0.034 mg/L), and lethal concentration (0.043 mg/L). The maximum NO2-N concentration of 0.58 mg/L in the current study was much lower than the values reported by [33], who concluded that the common carp has three different concentration levels of nitrite: the lethal concentration (88 mg/L), that of lowest effect (28 mg/L), and that of no observed effect (7 mg/L). Furthermore, the maximum observed NO3-N concentration (33.2 mg/L) was much lower than lethal values of 865 mg/L reported by [34] for the common carp. Phosphate has no toxic effects on aquatic organisms [35,36]. However, [37] recommended that the orthophosphate concentration should be less than 15 mg/L in a closed recirculating system. In the present study, the levels of ammonia nitrogen, nitrite nitrogen, and nitrate nitrogen (Table 1) were within the acceptable levels for recirculating aquaculture systems [31] and aquaponic systems [38]. These concentrations were in agreement with the ranges of water quality variables achieved by [38] during the staggered culture of basil production in aquaponics.
Our results also revealed that an increase in the aboveground harvested biomass of plants did not affect the common carp growth and survival in aquaponic systems. The growth and survival of fish are influenced by water quality parameters in the culture system [3,4,24,39,40]. Thus, the similar growth performance between the fish in all the treatments was probably due to the equivalent water quality parameters during the study period, particularly the ammonia and nitrite concentrations. The SGRs of common carp in the present study, ranging from 1.00% to 1.03%, were higher than the 0.39% reported by [23] and the 0.79% obtained by [41] for the common carp in different media-based aquaponic systems. Our results also were higher than the 0.841% and the 0.83% obtained by [42,43] for koi carp (Cyprinus carpio var. koi) fed with 2% body weight in aquaponic systems. However, the SGRs of the fish were lower than those (5.41%–5.50%) achieved by [44,45] for common carp reared in aquaponic systems. The lower SGRs may be related to the different temperature (14.14 °C), feeding rates (2%), and stocking density of the fish (2.02 kg/m3) used in this study compared to those used by [44,45] (25.78 °C, 5% body weight and 0.090 kg/m3, respectively).
5. Conclusions
This study aimed to evaluate the effects of harvesting plants on the nutrient removal capacity and growth of watercress in an aquaponic system. The findings of this paper reveal that increasing the biweekly harvested biomass of plants had negative effects on the growth performance of watercress in aquaponic systems, while it had no effects on the growth of common carp. The 0% and 25% systems were recorded to have the highest plant biomass production. In this study, watercress plants were efficient in removing nutrients generated by fish in aquaponic systems. However, increasing the harvested biomass of the plants had negative effects on the NO3-N and PO4-P removal efficiencies, while it had no effects on the NH3-N and NO2-N removal efficiencies. In the current study, the 0% and 25% systems were recorded to have the highest NO3-N and PO4-P removal efficiencies. The present study suggests that a biweekly harvesting of less than 25% of the growing area of watercress is recommended for improving nutrient removal efficiency and sustaining the growth of both fish and plants in aquaponic systems.
Author Contributions
Conceptualization, T.I. and M.B.; methodology, T.I., M.F., J.L., M.B. and P.B.; investigation, T.I., M.F., J.L. and P.B.; formal analysis, T.I., M.F., M.B. and P.B.; writing—original draft preparation, T.I.; writing—review and editing, T.I., M.F., M.B. and P.B.; supervision, M.B. and P.B.; project administration, M.B. and P.B.; funding acquisition, M.B. and P.B. All authors have read and agreed to the published version of the manuscript.
Funding
This work was supported by Tempus Public Foundation/Stipendium Hungaricum scholarship program, and the National Research Development and Innovation Fund of Hungary, financed under the project 2018-1.3.1-VKE-2018-00012, as well as by the EFOP-3.6.3-VEKOP-16-2017-00008 and HOP-3COLL-1 (reference number: 1699279607) projects; which are co-financed by the European Union and the European Social Fund, and by the European Regional and Development Fund and the Government of Hungary within the project GINOP-2.3.2-15-2016-00025.
Acknowledgments
We appreciate the help and cooperation of colleagues at Aquaculture Laboratory of Debrecen University and Georgikon Fish Research Laboratory during this work. Special thanks to Máté Havasi and Gábor Beliczky for their administrative, and technical assistance.
Conflicts of Interest
The authors declare no conflict of interest.
Ethical Approval
All actions related to fish use were according to the standards of the Animal Ethics Committee of Debrecen University, issued by the Department of the Food chain security of Hajdú-Bihar County.
References
- Rakocy, J.E.; Masser, M.P.; Losordo, T.M. Recirculating Aquaculture Tank Production Systems: Aquaponics-Integrating Fish and Plant Culture; Southern Regional Aquaculture Center: Stoneville, MS, USA, 2016; pp. 1–16. [Google Scholar]
- Love, D.C.; Fry, J.P.; Li, X.; Hill, E.S.; Genello, L.; Semmens, K.; Thompson, R.E. Commercial aquaponics production and profitability: Findings from an international survey. Aquaculture 2015, 435, 67–74. [Google Scholar] [CrossRef]
- Wongkiew, S.; Hu, Z.; Chandran, K.; Lee, J.W.; Khanal, S.K. Nitrogen transformations in aquaponic systems: A review. Aquac. Eng. 2017, 76, 9–19. [Google Scholar] [CrossRef]
- Estim, A.; Saufie, S.; Mustafa, S. Water quality remediation using aquaponics sub-systems as biological and mechanical filters in aquaculture. J. Water Process. Eng. 2019, 30, 100566. [Google Scholar] [CrossRef]
- Nhan, H.T.; Tai, N.T.; Liem, P.T.; Ut, V.N.; Ako, H. Effects of different stocking densities on growth performance of Asian swamp eel Monopterus albus, water quality and plant growth of watercress Nasturtium officinale in an aquaponic recirculating system. Aquaculture 2019, 503, 96–104. [Google Scholar] [CrossRef]
- Smith, E.N. Watercress (Nasturtium officinale) Production Utilizing Brook Trout (Salvelinus fontinalis) Flow-Through Aquaculture Effluent. Master’s Thesis, West Virginia University, Morgantown, WV, USA, 2007. [Google Scholar]
- Woynarovich, A.; Bueno, P.B.; Altan, Ö.; Jeney, Z.; Reantaso, M.; Xinhua, Y.; Van Anrooy, R. Better Management Practices for Carp Production in Central and Eastern Europe, the Caucasus and Central Asia; FAO, Fisheries and Aquaculture Technical Paper: Ankara, Turkey, 2011; p. 153. [Google Scholar]
- Vymazal, J.; Kröpfelová, L.; Švehla, J.; Štíchová, J. Can multiple harvest of aboveground biomass enhance removal of trace elements in constructed wetlands receiving municipal sewage? Ecol. Eng. 2010, 36, 939–945. [Google Scholar] [CrossRef]
- Yang, Z.; Wang, Q.; Zhang, J.; Xie, H.; Feng, S. Effect of plant harvesting on the performance of constructed wetlands during summer. Water 2016, 8, 24. [Google Scholar] [CrossRef]
- Verhofstad, M.J.J.M.; Poelen, M.V.; Van Kempen, M.M.L.; Bakker, E.S.; Smolders, A.J.P. Finding the harvesting frequency to maximize nutrient removal in a constructed wetland dominated by submerged aquatic plants. Ecol. Eng. 2017, 106, 423–430. [Google Scholar] [CrossRef]
- Kim, S.Y.; Geary, P.M. The impact of biomass harvesting on phosphorus uptake by wetland plants. Water Sci. Technol. 2001, 44, 61–67. [Google Scholar] [CrossRef]
- Wang, Q.; Xie, H.; Zhang, J.; Liang, S.; Ngo, H.H.; Guo, W.; Liu, C.; Zhao, C.; Li, H. Effect of plant harvesting on the performance of constructed wetlands during winter: Radial oxygen loss and microbial characteristics. Environ. Sci. Pollut. Res. 2014, 22, 7476–7484. [Google Scholar] [CrossRef]
- Zheng, Y.; Wang, X.C.; Ge, Y.; Dzakpasu, M.; Zhao, Y.; Xiong, J. Effects of annual harvesting on plants growth and nutrients removal in surface-flow constructed wetlands in northwestern China. Ecol. Eng. 2015, 83, 268–275. [Google Scholar] [CrossRef]
- Álvarez, J.A.; Bécares, E. The effect of vegetation harvest on the operation of a surface flow constructed wetland. Water SA 2008, 34, 645–650. [Google Scholar] [CrossRef]
- Zheng, Y.; Dzakpasu, M.; Wang, X.; Zhang, L.; Ngo, H.H.; Guo, W.; Zhao, Y. Molecular characterization of long-term impacts of macrophytes harvest management in constructed wetlands. Bioresour. Technol. 2018, 268, 514–522. [Google Scholar] [CrossRef] [PubMed]
- Sun, S.; Gao, L.; He, S.; Huang, J.; Zhou, W. Nitrogen removal in response to plants harvesting in two kinds of enhanced hydroponic root mats treating secondary effluent. Sci. Total Environ. 2019, 670, 200–209. [Google Scholar] [CrossRef] [PubMed]
- Bartodziej, W.M.; Blood, S.L.; Pilgrim, K. Aquatic plant harvesting: An economical phosphorus removal tool in an urban shallow lake. J. Aquat. Plant Manag. 2017, 55, 26–34. [Google Scholar]
- HACH. DR/3900 Spectrophotometer Procedure Manual; HACH Company: Loveland, CO, USA, 2019. [Google Scholar]
- Gichana, Z.; Meulenbroek, P.; Ogello, E.; Drexler, S.; Zollitsch, W.; Liti, D.; Akoll, P.; Waidbacher, H. Growth and Nutrient Removal Efficiency of Sweet Wormwood (Artemisia annua) in a Recirculating Aquaculture System for Nile Tilapia (Oreochromis niloticus). Water 2019, 11, 923. [Google Scholar] [CrossRef]
- Jinadasa, K.; Tanaka, N.; Sasikala, S.; Werellagama, D.; Mowjood, M.; Ng, W. Impact of harvesting on constructed wetlands performance—A comparison between Scirpus grossus and Typha angustifolia. J. Environ. Sci. Health A 2008, 43, 664–671. [Google Scholar] [CrossRef]
- Jeke, N.N.; Zvomuya, F.; Cicek, N.; Ross, L.; Badiou, P. Nitrogen and phosphorus phytoextraction by Cattail (Typha spp.) during wetland-based phytoremediation of an end-of-life municipal lagoon. J. Environ. Qual. 2019, 48, 24–31. [Google Scholar] [CrossRef]
- Saeed, T.; Sun, G. A review on nitrogen and organics removal mechanisms in subsurface flow constructed wetlands: Dependency on environmental parameters, operating conditions and supporting media. J. Environ. Manag. 2012, 112, 429–448. [Google Scholar] [CrossRef]
- Knaus, U.; Palm, H.W. Effects of the fish species choice on vegetables in aquaponics under spring-summer conditions in northern Germany (Mecklenburg Western Pomerania). Aquaculture 2017, 473, 62–73. [Google Scholar] [CrossRef]
- Irhayyim, T.; Fotedar, R. Effects of fish size and biofiltration techniques on water quality and nitrogen removal efficiency in recirculating aquaculture systems. AACL Bioflux 2019, 12, 1606–1616. [Google Scholar]
- Hu, Z.; Lee, J.W.; Chandran, K.; Kim, S.; Brotto, A.C.; Khanal, S.K. Effect of plant species on nitrogen recovery in aquaponics. Bioresour. Technol. 2015, 188, 92–98. [Google Scholar] [CrossRef] [PubMed]
- Fang, Y.Y.; Babourina, O.; Rengel, Z.; Yang, X.E.; Pu, P.M. Ammonium and nitrate uptake by the floating plant Landoltia punctata. Ann. Bot. 2007, 99, 365–370. [Google Scholar] [CrossRef] [PubMed]
- Bunce, J.T.; Ndam, E.; Ofiteru, I.D.; Moore, A.; Graham, D.W. A review of phosphorus removal technologies and their applicability to small-scale domestic wastewater treatment systems. Front. Environ. Sci. 2018, 6, 1–15. [Google Scholar] [CrossRef]
- Midlen, A.; Redding, T. Environmental Management for Aquaculture; Chapman and Hall: London, UK, 1998. [Google Scholar]
- Jones, C.; Olson-rutz, K.; Dinkins, C. Nutrient Uptake Timing by Crops, to Assist with Fertilizing Decisions; Montana State University: Bozeman, MT, USA, 2015; p. 8. [Google Scholar]
- Horváth, L.; Tamas, G.Y.; Seagrave, C. Carp and Pond Fish Culture, 2nd ed.; Blackwell science Ltd.: Oxford, UK, 2002. [Google Scholar]
- Timmons, M.B.; Ebeling, J.M.; Wheaton, F.W.; Summerfelt, S.T.; Vinci, B.J. Recirculating Aquaculture Systems, 2nd ed.; Cayuga Aqua Ventures: Ithaca, NY, USA, 2002. [Google Scholar]
- Biswas, J.K.; Sarkar, D.; Chakraborty, P.; Bhakta, J.N.; Jana, B.B. Density dependent ambient ammonium as the key factor for optimization of stocking density of common carp in small holding tanks. Aquaculture 2006, 261, 952–959. [Google Scholar] [CrossRef]
- Kroupova, H.; Prokes, M.; Macova, S.; Penaz, M.; Barus, V.; Novotny, L.; Machova, J. Effect of nitrite on early-life stages of common carp (Cyprinus carpio L). Environ. Toxicol. Chem. 2010, 29, 535–540. [Google Scholar] [CrossRef]
- Iqbal, F.; Qureshi, I.Z.; Ali, M. Histopathological changes in kidney of common carp, Cyprinus carpio, following nitrate exposure. J. Res. Sci. 2004, 15, 411–418. [Google Scholar]
- Kim, E.; Yoo, S.; Ro, H.Y.; Han, H.J.; Baek, Y.W.; Eom, I.C.; Kim, H.M.; Kim, P.; Choi, K. Aquatic toxicity assessment of phosphate compounds. Environ. Health Toxicol. 2013, 28, 1–7. [Google Scholar] [CrossRef]
- Simplício, N.; Muniz, D.; Rocha, F.; Martins, D.; Dias, Z.; Farias, B.; Oliveira-Filho, E.C. Comparative analysis between ecotoxicity of nitrogen-, phosphorus-, and potassium-based fertilizers and their active ingredients. Toxics 2017, 5, 2. [Google Scholar] [CrossRef]
- Suzuki, Y.; Maruyama, T.; Numata, H.; Sato, H.; Asakawa, M. Performance of a closed recirculating system with foam separation, nitrification and denitrification units for intensive culture of eel: Towards zero emission. Aquac. Eng. 2003, 29, 165–182. [Google Scholar] [CrossRef]
- Rakocy, J.E.; Bailey, D.S.; Shultz, R.C.; Thoman, E.S. Update on tilapia and vegetable production in the UVI aquaponic system. In New Dimensions on Farmed Tilapia, Proceedings of the Sixth International Symposium on Tilapia in Aquaculture, Manila, Philippines, September 12–16; Remedios, B., Graham, M., Kevin, F., Eds.; Center Roxas Boulevard: Manila, Philippines, 2004. [Google Scholar]
- Colt, J. Water quality requirements for reuse systems. Aquac. Eng. 2006, 34, 143–156. [Google Scholar] [CrossRef]
- Ardiansyah, A.; Fotedar, R. Water quality, growth and stress responses of juvenile barramundi (Lates calcarifer Bloch), reared at four different densities in integrated recirculating aquaculture systems. Aquaculture 2016, 458, 113–120. [Google Scholar] [CrossRef]
- Maucieri, C.; Nicoletto, C.; Zanin, G.; Birolo, M.; Trocino, A.; Sambo, P.; Borin, M.; Xiccato, G. Effect of stocking density of fish on water quality and growth performance of European Carp and leafy vegetables in a low-tech aquaponic system. PLoS ONE 2019, 14. [Google Scholar] [CrossRef] [PubMed]
- Hussain, T.; Verma, A.K.; Tiwari, V.K.; Prakash, C.; Rathore, G.; Shete, A.P.; Nuwansi, K.K.T. Optimizing koi carp, Cyprinus carpio var. koi (Linnaeus, 1758), stocking density and nutrient recycling with spinach in an aquaponic system. J. World Aquac. Soc. 2014, 45, 652–661. [Google Scholar] [CrossRef]
- Hussain, T.; Verma, A.K.; Tiwari, V.K.; Prakash, C.; Rathore, G.; Shete, A.P.; Saharan, N. Effect of water flow rates on growth of Cyprinus carpio var. koi (Cyprinus carpio L., 1758) and spinach plant in aquaponic system. Aquac. Int. 2015, 23, 369–384. [Google Scholar] [CrossRef]
- Shete, A.P.; Verma, A.K.; Chadha, N.K.; Prakash, C.; Peter, R.M.; Ahmad, I.; Nuwansi, K.K.T. Optimization of hydraulic loading rate in aquaponic system with Common carp (Cyprinus carpio) and Mint (Mentha arvensis). Aquac. Eng. 2016, 72, 53–57. [Google Scholar] [CrossRef]
- Shete, A.P.; Verma, A.K.; Chadha, N.K.; Prakash, C.; Chandrakant, M.H.; Nuwansi, K.K.T. Evaluation of different hydroponic media for mint (Mentha arvensis) with common carp (Cyprinus carpio) juveniles in an aquaponic system. Aquac. Int. 2017, 25, 1291–1301. [Google Scholar] [CrossRef]
© 2020 by the authors. Licensee MDPI, Basel, Switzerland. This article is an open access article distributed under the terms and conditions of the Creative Commons Attribution (CC BY) license (http://creativecommons.org/licenses/by/4.0/).