Sign in to use this feature.

Years

Between: -

Subjects

remove_circle_outline
remove_circle_outline
remove_circle_outline
remove_circle_outline
remove_circle_outline
remove_circle_outline
remove_circle_outline
remove_circle_outline
remove_circle_outline

Journals

remove_circle_outline
remove_circle_outline
remove_circle_outline
remove_circle_outline
remove_circle_outline
remove_circle_outline
remove_circle_outline
remove_circle_outline
remove_circle_outline
remove_circle_outline
remove_circle_outline
remove_circle_outline
remove_circle_outline
remove_circle_outline
remove_circle_outline

Article Types

Countries / Regions

remove_circle_outline
remove_circle_outline
remove_circle_outline
remove_circle_outline

Search Results (1,580)

Search Parameters:
Keywords = nutrients removal

Order results
Result details
Results per page
Select all
Export citation of selected articles as:
19 pages, 2038 KB  
Article
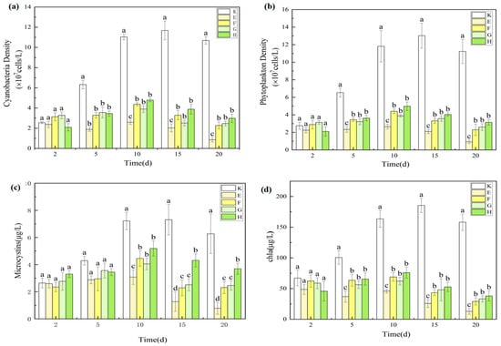
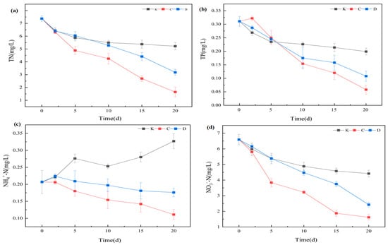
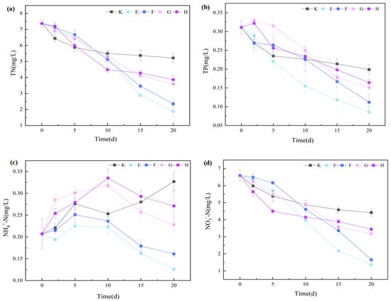
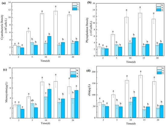
Synergistic Remediation of Eutrophic Rural Pond Water Using Submerged Macrophytes and Daphnia magna
by Haoyu Cao, Chunxue Zhang, Bo Yang, Liyuan Liu, Jiarui Wang and Xiangqun Zheng
Plants 2025, 14(20), 3136; https://doi.org/10.3390/plants14203136 (registering DOI) - 11 Oct 2025
Abstract
Eutrophication in rural ponds has become a widespread environmental concern, particularly in regions affected by agricultural irrigation. This study proposes an innovative Submerged Macrophytes–Daphnia magna combined remediation technology, aiming to synergistically improve water quality in naturally eutrophic ponds. Experimental water was sourced [...] Read more.
Eutrophication in rural ponds has become a widespread environmental concern, particularly in regions affected by agricultural irrigation. This study proposes an innovative Submerged Macrophytes–Daphnia magna combined remediation technology, aiming to synergistically improve water quality in naturally eutrophic ponds. Experimental water was sourced from rural ponds with preserved natural phytoplankton and bacterial communities. Treatments included low- and high-density D. magna, two submerged macrophyte species (Myriophyllum aquaticum and Ceratophyllum demersum), and their combinations. Results showed that combined treatments had no significant effect on pH but improved water transparency by up to 63.6% and significantly increased dissolved oxygen. Nutrient removal was notably enhanced in combined groups, with low-density D. magna + M. aquaticum achieving TN, TP, and NO3-N reductions of 56.1%, 63.2%, and 58.7%, respectively. Both macrophytes effectively mitigated NH4+-N accumulation caused by D. magna, with M. aquaticum showing stronger inhibition. Furthermore, low-density D. magna reduced phytoplankton density, cyanobacteria density, chlorophyll-a, and microcystins by 74.8%, 80.3%, 68.9%, and 71.2%, respectively. This combined bioremediation approach demonstrates high ecological efficiency, scalability potential, and practical applicability for rural pond restoration. Full article
(This article belongs to the Section Plant Ecology)
Show Figures

Figure 1

16 pages, 2223 KB  
Article
Influence of Inorganic Nutrients on a North Atlantic Microbial Community’s Response to Ocean Alkalinity Enhancement
by Inês de Castro, Susana C. Ribeiro, António Louvado, Newton Carlos Marcial Gomes, Mário Cachão, Paulo F. Silva Borges, Eduardo Brito de Azevedo and Joana Barcelos e Ramos
Oceans 2025, 6(4), 65; https://doi.org/10.3390/oceans6040065 - 9 Oct 2025
Abstract
Ocean Alkalinity Enhancement (OAE) is a promising carbon dioxide removal strategy, but its ecological impacts on marine microbial communities under varying nutrient conditions remain poorly understood. We conducted laboratory incubations using a natural North Atlantic microbial assemblage to investigate the response to OAE [...] Read more.
Ocean Alkalinity Enhancement (OAE) is a promising carbon dioxide removal strategy, but its ecological impacts on marine microbial communities under varying nutrient conditions remain poorly understood. We conducted laboratory incubations using a natural North Atlantic microbial assemblage to investigate the response to OAE under both natural and nutrient-enriched regimes. We tracked phytoplankton and bacterioplankton dynamics, biomass, and leucine aminopeptidase (LAP) and alkaline phosphatase (ALP) activity as indicators of organic matter remineralization. OAE consistently reduced phytoplankton abundance in both nutrient regimes, potentially due to CO2 limitation, resulting in lower production of phytoplankton-derived organic matter. This reduction was reflected in decreased LAP activity and shifts in the relative abundance of phytoplankton-associated bacterial taxa. These findings indicate that OAE can directly affect phytoplankton through carbonate chemistry alterations, with potential microbial responses largely mediated by changes in organic matter availability. While short-term microbial disruptions were modest, the ecological consequences of altered bloom dynamics should be carefully considered in future OAE deployment strategies. Full article
Show Figures

Figure 1

24 pages, 346 KB  
Review
Valorization of Food Processing Wastewater for Astaxanthin Production by the Mixotrophic Fermentation of Microalgae: A Review
by Qian Lu, Limin Yang and Xiaowei Zhang
Fermentation 2025, 11(10), 580; https://doi.org/10.3390/fermentation11100580 - 9 Oct 2025
Abstract
Food processing wastewater (FPW) poses significant environmental risks due to its high nutrient load yet offers untapped potential as a low-cost feedstock for high-value compound production. This review critically evaluates the valorization of FPW for astaxanthin production through the mixotrophic fermentation of microalgae. [...] Read more.
Food processing wastewater (FPW) poses significant environmental risks due to its high nutrient load yet offers untapped potential as a low-cost feedstock for high-value compound production. This review critically evaluates the valorization of FPW for astaxanthin production through the mixotrophic fermentation of microalgae. Key microalgal species (e.g., Haematococcus pluvialis and Chromochloris zofingiensis) effectively remediate nutrients (nutrients removal of up to 100%) while synthesizing astaxanthin under stress-inducing conditions, such as nutrient starvation, salinity, and oxidative stress. Advanced strategies, such as two-stage cultivation, nutrient profile adjustment, and microbial co-cultivation, which could enhance astaxanthin yields and wastewater treatment efficiency were reviewed comprehensively. The resulting astaxanthin-rich biomass demonstrates multifunctional benefits in animal feed, improving meat quality, immunity, growth, and shelf life. However, this review identifies some challenges, including wastewater management risks, low digestibility of microalgae biomass, and astaxanthin instability during feed processing, which should be addressed properly in real-world applications. This integrated approach aligns with circular bio-economy principles, transforming FPW from an environmental liability into a resource for sustainable biotechnology. Full article
29 pages, 1463 KB  
Review
AI-Enabled Membrane Bioreactors: A Review of Control Architectures and Operating-Parameter Optimization for Nitrogen and Phosphorus Removal
by Mingze Xu and Di Liu
Water 2025, 17(19), 2899; https://doi.org/10.3390/w17192899 - 7 Oct 2025
Viewed by 344
Abstract
Stricter requirements on nutrient removal in wastewater treatment are being imposed by rapid urbanization and tightening water-quality standards. Despite their excellent solid–liquid separation and effective biological treatment, MBRs in conventional operation remain hindered by membrane fouling, limited robustness to influent variability, and elevated [...] Read more.
Stricter requirements on nutrient removal in wastewater treatment are being imposed by rapid urbanization and tightening water-quality standards. Despite their excellent solid–liquid separation and effective biological treatment, MBRs in conventional operation remain hindered by membrane fouling, limited robustness to influent variability, and elevated energy consumption. In recent years, precise process control and resource-oriented operation have been enabled by the integration of artificial intelligence (AI) with MBRs. Advances in four areas are synthesized in this review: optimization of MBR control architectures, intelligent adaptation to multi-source wastewater, regulation of membrane operating parameters, and enhancement of nitrogen and phosphorus removal. According to reported studies, increases in total nitrogen and total phosphorus removal have been achieved by AI-driven strategies while energy use and operating costs have been reduced; under heterogeneous influent and dynamic operating conditions, stronger generalization and more effective real-time regulation have been demonstrated relative to traditional approaches. For large-scale deployment, key challenges are identified as improvements in model interpretability and applicability, the overcoming of data silos, and the realization of multi-objective collaborative optimization. Addressing these challenges is regarded as central to the realization of robust, scalable, and low-carbon intelligent wastewater treatment. Full article
Show Figures

Figure 1

21 pages, 4114 KB  
Article
Maintaning the Durability of the Effects of Urban Lake Restoration—New Challenges
by Jolanta Katarzyna Grochowska and Renata Augustyniak-Tunowska
Water 2025, 17(19), 2893; https://doi.org/10.3390/w17192893 - 5 Oct 2025
Viewed by 341
Abstract
The main aim of this study was to analyze the excessive biomass of invasive alien aquatic plants reducing the water quality of a lake which was restored in the past. This study was conducted on Długie Lake (26.8 ha, 17.3 m, Masurian Lake [...] Read more.
The main aim of this study was to analyze the excessive biomass of invasive alien aquatic plants reducing the water quality of a lake which was restored in the past. This study was conducted on Długie Lake (26.8 ha, 17.3 m, Masurian Lake District, northeastern Poland), which was completely degraded by raw wastewater inflow. After the long-term restoration (1987–2003) and recovery of submerged macrophyte meadows, the invasion of Elodea nuttallii—an invasive alien aquatic plant (IAAP)—was observed due to the increasing water temperature in recent years, impairing the functioning, biodiversity, and ecosystem services of this urban lake, as well as causing the deterioration of lake water quality. Therefore, an excessive biomass of E. nuttallii has been removed from the lake since 2022. The analysis of physico-chemical water quality parameters showed that consecutive excessive biomass macrophyte gradual removal (three times during the growing season) helps to limit the excessive growth of E. nuttallii and also removes nutrient loads from the ecosystem. Removing excess aquatic vegetation also helps maintain the lake’s aesthetic and recreational value. Currently, the total phosphorus concentration in lake water did not exceed 0.3 mg P/L and total nitrogen did not exceed 2.0 mg N/L. Chlorophyll a contents oscillated in the range of 5 to 9 µg/L, and Secchi disk visibility exceeded 3 m. Full article
Show Figures

Graphical abstract

22 pages, 3975 KB  
Article
Comparative Phycoremediation Performance of Two Green Microalgal Strains Under Four Biomass Conditions for Industrial Wastewater Treatment
by Mostafa M. El-Sheekh, Reda M. Moghazy, Mai M. Hamoud and Mostafa E. Elshobary
Phycology 2025, 5(4), 53; https://doi.org/10.3390/phycology5040053 - 1 Oct 2025
Viewed by 237
Abstract
This study uses industrial wastewater from an aluminum factory to evaluate the phycoremediation efficiency of two green microalgal strains, Dictyosphaerium sp. and Tetradesmus obliquus. The industrial wastewater contained high levels of pollutants, including COD, ammonium, nitrate, phosphate, and heavy metal ions (Al [...] Read more.
This study uses industrial wastewater from an aluminum factory to evaluate the phycoremediation efficiency of two green microalgal strains, Dictyosphaerium sp. and Tetradesmus obliquus. The industrial wastewater contained high levels of pollutants, including COD, ammonium, nitrate, phosphate, and heavy metal ions (Al3+, Cu2+, Cr3+, Zn2+, Mn2+, Cd2+). Four biomass conditions were tested: free-living cells (active living cells), immobilized cells (entrapped within alginate), dried biomass (non-living dried cells), and acid-treated dried biomass (chemically modified for enhanced adsorption). Both strains demonstrated significant pollutant removal, with living biomass (free and immobilized) achieving the highest nutrient and organic pollutant removal, and non-living biomass (dried and acid-treated) being more efficient for rapid heavy metal removal. Tetradesmus obliquus showed superior performance across most parameters, while Dictyosphaerium sp. exhibited the highest aluminum removal (99.4%, reducing Al from 481.2 mg/L to 10.2 mg/L). These findings highlight the potential of microalgae-based approaches and support species-specific strategies for cost-effective and sustainable phycoremediation of industrial wastewater. Full article
(This article belongs to the Special Issue Development of Algal Biotechnology)
Show Figures

Figure 1

19 pages, 5634 KB  
Article
Evaluating the Ability of Wetlands to Remove Nutrients from Streams and Rivers Across the Conterminous United States by Diatom-Inferred Total Phosphorus
by Haobo Li, Xiaomeng Yan, Xuerong Zhang and Bo Liu
Water 2025, 17(19), 2865; https://doi.org/10.3390/w17192865 - 1 Oct 2025
Viewed by 282
Abstract
The efficiency of wetlands in removing nutrients from streams and rivers can be accurately evaluated using diatom-inferred total phosphorus (DI-TP), as DI-TP integrates the effects of various environmental factors. However, studies assessing the efficiency of an extensive set of wetlands at multiple scales [...] Read more.
The efficiency of wetlands in removing nutrients from streams and rivers can be accurately evaluated using diatom-inferred total phosphorus (DI-TP), as DI-TP integrates the effects of various environmental factors. However, studies assessing the efficiency of an extensive set of wetlands at multiple scales and under different levels of human disturbance activities (HDA) in removing DI-TP from streams and rivers are sparse. A national-scale dataset from the U.S. EPA’s 2008–2009 National Rivers and Streams Assessment survey provides a unique opportunity to answer this question. Our results showed that, compared to watershed-scale wetlands, local-scale wetlands performed better at removing DI-TP from streams and rivers. Additionally, wetlands performed better at removing DI-TP under lower levels of HDA, suggesting that high levels of HDA could alter the structure and function of wetlands enough to affect their ability to remove nutrients. Interaction analysis revealed there was a significant positive relationship between HDA and local-scale wetlands. We conclude that DI-TP is a valuable metric for evaluating the effectiveness of wetlands at removing nutrients from streams and rivers. To support freshwater management, both the spatial scale of wetlands and the level of HDA on wetlands, along with their cross-scale interactions, should be considered. Full article
(This article belongs to the Section Water Quality and Contamination)
Show Figures

Graphical abstract

18 pages, 967 KB  
Article
Limited Utilization of an External Carbon Source in a Rotating Electro-Biological Disc Contactor (REBDC)
by Joanna Rodziewicz, Artur Mielcarek, Kamil Bryszewski, Marian Kwietniewski and Wojciech Janczukowicz
Processes 2025, 13(10), 3115; https://doi.org/10.3390/pr13103115 - 29 Sep 2025
Viewed by 263
Abstract
Overdosing an external carbon source can lead to its incomplete utilization. With this in mind, this study aimed to investigate the effect of carbon dosing on nutrient removal in a rotating electro-biological disc contactor (REBDC) treating hydroponic tomato wastewater and to evaluate its [...] Read more.
Overdosing an external carbon source can lead to its incomplete utilization. With this in mind, this study aimed to investigate the effect of carbon dosing on nutrient removal in a rotating electro-biological disc contactor (REBDC) treating hydroponic tomato wastewater and to evaluate its impact on effluent COD under a constant electric current (2.5 A/m2). In REBDC, discs served as the cathode, and an aluminum sheet placed in the tank served as the anode. Sodium acetate was added to provide carbon to nitrogen (C/N) ratios of 0.5, 1.0, 2.0, and 3.0. The HRT was 24 h. The phosphorus removal efficiency in the REBDC exceeded 90% at C/N ratios of 0.5, 1.0, and 2.0. A several-fold increase was observed in nitrogen removal efficiency at C/N = 2.0 and C/N = 3.0 compared to C/N = 0.5 (9 and 11 times higher, respectively). At C/N ratios of 2.0 and 3.0, the efficiency was 56.0% and 65%, respectively. Considerable amounts of unutilized organic carbon were found in the REBDC-treated wastewater. The rational solution would be to extend the HRT, which would enable greater substrate consumption and nitrogen removal. Full article
(This article belongs to the Special Issue State-of-the-Art Wastewater Treatment Techniques)
Show Figures

Graphical abstract

20 pages, 7109 KB  
Article
The Structural and Biological Effects of Zinc and Titanium Oxide Nanoparticles on the Condition of Activated Sludge from a Municipal Wastewater Treatment Plant
by Anna Kwarciak-Kozłowska and Krzysztof Łukasz Fijałkowski
Materials 2025, 18(19), 4523; https://doi.org/10.3390/ma18194523 (registering DOI) - 29 Sep 2025
Viewed by 264
Abstract
The increasing environmental presence of metal oxide nanoparticles (NMOPs) raises concerns regarding their influence on biological wastewater treatment. This study comparatively evaluates the structural and biological effects of zinc oxide (ZnO-NPs) and titanium dioxide (TiO2-NPs) nanoparticles on activated sludge from a [...] Read more.
The increasing environmental presence of metal oxide nanoparticles (NMOPs) raises concerns regarding their influence on biological wastewater treatment. This study comparatively evaluates the structural and biological effects of zinc oxide (ZnO-NPs) and titanium dioxide (TiO2-NPs) nanoparticles on activated sludge from a wastewater treatment plant. Experimental exposure covered nanoparticle concentrations of 0.05–0.3 g/L and contact times up to 180 min, with analysis of enzymatic activity (dehydrogenase activity, TTC-SA method), sludge settleability, and particle size distribution. Inhibition of microbial metabolic activity was observed in a clear dose- and time-dependent manner, with ZnO-NPs showing stronger toxicity than TiO2-NPs. At the highest dose (0.3 g/L), enzymatic activity nearly disappeared after 90 min (0.04 µg TPF/mg MLSS). Both nanoparticles caused floc fragmentation, decreased sludge volume index (SVI), and increased the proportion of ultrafine particles (<0.3 µm). ZnO-NPs induced more severe destabilization, while TiO2-NPs showed partial re-aggregation of suspended particles at higher concentrations. Additionally, particle size distribution in the supernatant was analyzed, revealing distinct aggregation and fragmentation patterns for ZnO- and TiO2-NPs. These structural and functional alterations suggest potential risks for treatment efficiency, including reduced nutrient removal and impaired sludge settleability. The study provides a comparative contribution to understanding toxicity mechanisms of ZnO- and TiO2-NPs and emphasizes the need to monitor NMOPs in wastewater and to develop mitigation strategies to ensure stable plant operation Full article
Show Figures

Figure 1

19 pages, 5083 KB  
Article
Integrating Fungal-Assisted Microalgal Harvesting for Sustainable Treatment and Resource Recovery from Wastewater
by Ayesha Algade Amadu, Daniel Oduro-Mensah, Shuang Qiu, Abdul-Wahab Abbew, Mengting Li, Xiyang Lu, Gabriel Komla Ameka, Mike Yaw Osei-Atweneboana, Mark Osa Akrong, Jacob Kwaku Donkor and Shijian Ge
Water 2025, 17(19), 2832; https://doi.org/10.3390/w17192832 - 27 Sep 2025
Viewed by 335
Abstract
Microalgae cultivation is often limited by the high cost and inefficiency of harvesting, making it a major barrier to large-scale resource recovery. Traditional methods such as centrifugation or chemical flocculation are expensive and environmentally unsustainable. As a biological alternative, filamentous fungi can form [...] Read more.
Microalgae cultivation is often limited by the high cost and inefficiency of harvesting, making it a major barrier to large-scale resource recovery. Traditional methods such as centrifugation or chemical flocculation are expensive and environmentally unsustainable. As a biological alternative, filamentous fungi can form pellets or hyphal networks that entrap microalgae cells via bio-flocculation, facilitating easier separation from the culture medium. This study aimed to optimize culture conditions for fungal pellet formation and develop effective microalgae–fungal composites for improved harvesting. Fungal isolates including Aspergillus niger, A. fumigatus, A. flavus, and unidentified strains were screened for their pelleting capacity and nutrient removal efficiency. Through OVAT analysis, key factors such as pH, agitation speed, carbon source, and C:N ratio were found to significantly influence pellet formation. One isolate (FP) showed strong potential, forming pellets under stationary conditions and performing best at neutral to alkaline pH. Molecular analysis identified FP as a fungal consortium containing members of Ascomycota, Mucoromycota, Basidiomycota, and Rozellomycota. When applied to cocoa pulp wastewater, the microalgae–fungi composites outperformed monocultures in reducing NH4+-N, COD, and PO43−-P. Interestingly, microalgae delayed fungal sporulation. These findings highlight the potential of fungal consortia in enhancing both microalgae harvesting and wastewater bioremediation. Full article
(This article belongs to the Section Wastewater Treatment and Reuse)
Show Figures

Figure 1

32 pages, 2223 KB  
Review
Changes Induced in Seeds as a Result of Non-Thermal Plasma Treatment in Plasma Agriculture Applications
by Camelia Elena Luchian, Constantin Lungoci, Mihai-Alexandru Ciolan, Cristina-Mihaela Rimbu, Liviu Dan Miron and Iuliana Motrescu
Appl. Sci. 2025, 15(19), 10366; https://doi.org/10.3390/app151910366 - 24 Sep 2025
Viewed by 449
Abstract
Non-thermal or cold plasma is an innovative agricultural technology used for the treatment of seeds, producing physicochemical and biochemical changes without thermal damage and stimulating germination and plant growth. The interaction of reactive species generated in cold plasma modifies the morphology of the [...] Read more.
Non-thermal or cold plasma is an innovative agricultural technology used for the treatment of seeds, producing physicochemical and biochemical changes without thermal damage and stimulating germination and plant growth. The interaction of reactive species generated in cold plasma modifies the morphology of the seed surface, increasing porosity, producing microcracks, removing material or producing other physical changes, and chemically modifying it. The changes induced positively influence the rate, speed, and uniformity of germination, as it is believed that these changes take place as a result of activated metabolic pathways, regulated hormone balance, and stimulated production of enzymes involved in the mobilisation of nutrient reserves needed for seedling growth. Plasma sources, electrical parameters, feed gas, and processing time are some of the essential factors involved in tuning the effects on seeds. Optimising the outcomes and their adaptation for specific species is crucial to maximise the benefits and avoid inhibitory effects. In the frame of ecological and sustainable agriculture, with the benefits given by cold plasma, this review follows the modifications produced by different sources on the seeds, starting from morphological changes to biochemical ones, up to germination, aiming to facilitate the understanding of the interaction and outcomes. We also address the challenges, including variability of biological responses, the need for standard procedures and parameters, and development of scalable technologies. A thorough examination of the changes induced in seeds as a result of non-thermal plasma treatment not only facilitates the improvement of experimental designs and reproducibility but also plays an important role in advancing seed treatment technologies and, ultimately, enhancing crop yields in a sustainable manner. Full article
(This article belongs to the Special Issue Technical Advances in Plasma Agriculture)
Show Figures

Figure 1

14 pages, 1005 KB  
Review
Ferroptosis: The Initiation Process of Lipid Peroxidation in Muscle Food
by Joseph Kanner, Adi Shpaizer and Oren Tirosh
Antioxidants 2025, 14(10), 1157; https://doi.org/10.3390/antiox14101157 - 24 Sep 2025
Viewed by 476
Abstract
Animal slaughtering causes the cessation of oxygen delivery and that of nutrients such as cystine, glucose and others to muscle cells. In muscle cells, the changes in oxygen level and pH cause mitochondria, the endoplasmic reticulum, xanthine oxidase and uncoupled NOS to increase [...] Read more.
Animal slaughtering causes the cessation of oxygen delivery and that of nutrients such as cystine, glucose and others to muscle cells. In muscle cells, the changes in oxygen level and pH cause mitochondria, the endoplasmic reticulum, xanthine oxidase and uncoupled NOS to increase the level of O2•−, affecting the generation of H2O2 and the release of iron ions from ferritin. The activation of enzymes that remove and dislocate fatty acids from the membrane affects the sensitivity of muscle cells to peroxidation and ferroptosis. Increasing PUFAs in membrane phospholipids, by feeding animals a diet high in w-3 fatty acids, is a driving factor that increases lipid peroxidation and possible muscle ferroptosis. The activation of lipoxygenases by ROS to Fe3+-lipoxygenase increases hydroperoxide levels in cells. The labile iron pool generated by a “redox cycle” catalyzes phospholipid hydroperoxides to generate lipid electrophiles, proximate executioners of ferroptosis. Ferroptosis in food muscle cells is protected by high concentrations of vitamin E and selenium. In fresh muscle cells, glutathione peroxidase (GSH-PX) and other endogenous antioxidant enzymes are active and prevent lipid peroxidation; however, muscle heating eliminates enzymatic activities, making cells prone to high non-enzymatic lipid peroxidation. In muscle cells, coupled myoglobin and vitamin E act as a hydroperoxidase, preventing the generation of lipid electrophiles. Free iron ion chelators or effectors such as deferoxamine, EDTA, or ceruloplasmin are strong inhibitors of muscle cell lipid peroxidation, proving that muscle ferroptosis is mostly dependent on and catalyzed by the labile iron redox cycle. Full article
Show Figures

Graphical abstract

21 pages, 2928 KB  
Article
Transforming Spent Railroad Ties into High-Value Biochar: A Sustainable Solution for Phosphorus and Nitrate Removal in Water Treatment
by Shariat Mobasser, Tosin O. Olanrewaju, Chad T. Jafvert, Cliff Johnston and Abigail S. Engelberth
Bioresour. Bioprod. 2025, 1(1), 5; https://doi.org/10.3390/bioresourbioprod1010005 - 23 Sep 2025
Viewed by 387
Abstract
The growing challenge of managing end-of-life creosote-treated railroad ties, along with the increasing demand for effective water treatment solutions, has highlighted the potential of converting railroad tie biomass into functional biochar through pyrolysis. Pyrolysis temperatures ranging from 250 °C to 700 °C were [...] Read more.
The growing challenge of managing end-of-life creosote-treated railroad ties, along with the increasing demand for effective water treatment solutions, has highlighted the potential of converting railroad tie biomass into functional biochar through pyrolysis. Pyrolysis temperatures ranging from 250 °C to 700 °C were evaluated to determine their influence on biochar yield, physicochemical properties, and adsorption performance for nitrate and phosphate. The findings revealed that increasing pyrolysis temperature enhanced biochar surface area and porosity, reaching 454.9 m2/g at 700 °C. Elemental analyses showed maximum carbonization at 550 °C, with carbon content peaking at 80%, reflecting the development of more stable aromatic structures. SEM and FTIR analyses confirmed these structural changes, including the emergence of extensive pore networks and aromatic frameworks. Biochar produced at 600 °C demonstrated high nitrate (80%) and phosphate (79%) removal efficiencies, following Freundlich isotherm models. Magnesium-modified biochar further improved nitrate adsorption, reaching 90% removal at 5 ppm. Importantly, polycyclic aromatic hydrocarbons in the biochar decreased significantly at higher temperatures, ensuring environmental safety. This work demonstrates the dual environmental benefits of converting hazardous railroad tie waste into value-added biochar for nutrient removal in water treatment applications, offering a sustainable and scalable solution for circular waste management. Full article
Show Figures

Graphical abstract

27 pages, 4993 KB  
Review
The Ecophysiological Role of Trees in Dryland Agroecosystems: Implications for Natural Resource Conservation and Sustainable Food Production in Sub-Saharan Africa
by K. V. R. Priyadarshini, Herbert H. T. Prins and Steven de Bie
Diversity 2025, 17(9), 662; https://doi.org/10.3390/d17090662 - 21 Sep 2025
Viewed by 544
Abstract
Agroforestry involves maintaining trees alongside crops and is widely recognised to provide multiple benefits, including improving food security, production efficiency, and soil quality and mitigating climate change. However, in Sub-Saharan Africa, a predominantly dry landscape, various pressures are leading to the removal of [...] Read more.
Agroforestry involves maintaining trees alongside crops and is widely recognised to provide multiple benefits, including improving food security, production efficiency, and soil quality and mitigating climate change. However, in Sub-Saharan Africa, a predominantly dry landscape, various pressures are leading to the removal of trees from farmlands. Evidence from natural dryland systems shows that trees play a central role in regulating the key ecological processes of nutrient and water redistribution, an aspect also invoked in dryland agroecology. In this paper, we synthesise the ecophysiological functioning of trees, focusing on two key processes: water and nutrient redistribution. Additionally, we synthesise the influence of these functions on soil biotic interactions, detailing their ecological significance. Based on available evidence from both natural and agroecosystems, we review the role of tree ecophysiology in sustainable food production in dryland agroecosystems of Sub-Saharan Africa. We provide caveats related to prevalent interpretations and the current understanding of plant resource use in agroecology. Trees in agroforestry systems of Sub-Saharan Africa play a potentially critical role in the ecological intensification of food production. However, there is a lack of data on the roles of tree functions in enhancing crop yields and conserving resources in this region. Although evidence from natural drylands and indirect evidence from dryland agroforests indicate that tree ecophysiological functions may be crucial for ecological intensification of food production in Sub-Saharan Africa, many claims related to agroecosystems are overstated, underscoring the urgent need for focused research. Importantly, large trees on farms need to be conserved. To effectively exploit ecosystem services provided by trees, a key feature of ecological intensification, research tailored to local farm conditions is needed, with a focus on maintaining soil quality, securing long-term productivity, and conserving resources. Balancing agricultural intensification with ecological sustainability remains a challenge, yet it is vital for addressing food security, land degradation, and climate change. Full article
(This article belongs to the Special Issue Diversity in 2025)
Show Figures

Figure 1

20 pages, 2671 KB  
Article
Role of NaCl and Glutamine on Biofilm Production from Pseudomonas aeruginosa
by Laura Maria De Plano, Antonella Iaconis, Salvatore Papasergi, Francesco Mediati, Daniele Caruso, Salvatore Pietro Paolo Guglielmino and Domenico Franco
Microorganisms 2025, 13(9), 2198; https://doi.org/10.3390/microorganisms13092198 - 19 Sep 2025
Viewed by 446
Abstract
Pseudomonas aeruginosa is an opportunistic pathogen capable of forming antibiotic-resistant biofilms, contributing to persistent infections and treatment failure. Environmental factors such as osmolarity and nutrient availability are known to influence biofilm formation and virulence. In this study, we investigated the effects of NaCl [...] Read more.
Pseudomonas aeruginosa is an opportunistic pathogen capable of forming antibiotic-resistant biofilms, contributing to persistent infections and treatment failure. Environmental factors such as osmolarity and nutrient availability are known to influence biofilm formation and virulence. In this study, we investigated the effects of NaCl depletion and glutamine supplementation on biofilm production in three P. aeruginosa strains: the laboratory strain ATCC 27853 and two clinical isolates with distinct antibiotic resistance profiles and phenazine production patterns (P. aeruginosa Pr, pyorubrin-producing, and P. aeruginosa Pc, pyocyanin-producing). Bacteria were cultured in standard Luria–Bertani (LB) medium, LB without NaCl, and LB in which yeast extract was replaced by glutamine. For each strain and condition, we assessed growth kinetics, phenazine production, and biofilm formation. Biofilm development was quantified via XTT assays and compared to secondary metabolite profiles. NaCl removal did not substantially affect growth, whereas glutamine supplementation reduced growth, especially in the laboratory strain. Both conditions modulated secondary metabolite production and biofilm formation in a strain-specific manner. In P. aeruginosa ATCC 27853, NaCl depletion significantly increased pyoverdine, pyocyanin, and QS gene expression, while biofilm formation showed significant differences only at 72 h; in contrast, glutamine supplementation affected only pyoverdine. A similar trend was observed in the clinical strain P. aeruginosa Pc, although NaCl depletion did not significantly impact pyoverdine production but already enhanced biofilm formation at 48 h. In P. aeruginosa Pr, only glutamine appeared to alter the considered parameters, increasing pyoverdine production while reducing pyocyanin and biofilm levels, although the absence of NaCl also negatively impacted biofilm formation. These findings highlight the impact of osmotic and nutritional signals on P. aeruginosa virulence traits. Full article
Show Figures

Figure 1

Back to TopTop