Spatiotemporal Variations in Nitrogen and Phosphorus in a Large Man-Made Lake and Their Relationships with Human Activities
Abstract
1. Introduction
2. Material and Methods
2.1. Study Area
2.2. Data Collection
2.3. Data Analysis
3. Results and Discussion
3.1. Dynamic Characteristics and Long-term Trends in TN and TP
3.2. Spatiotemporal Variation Characteristics of TN
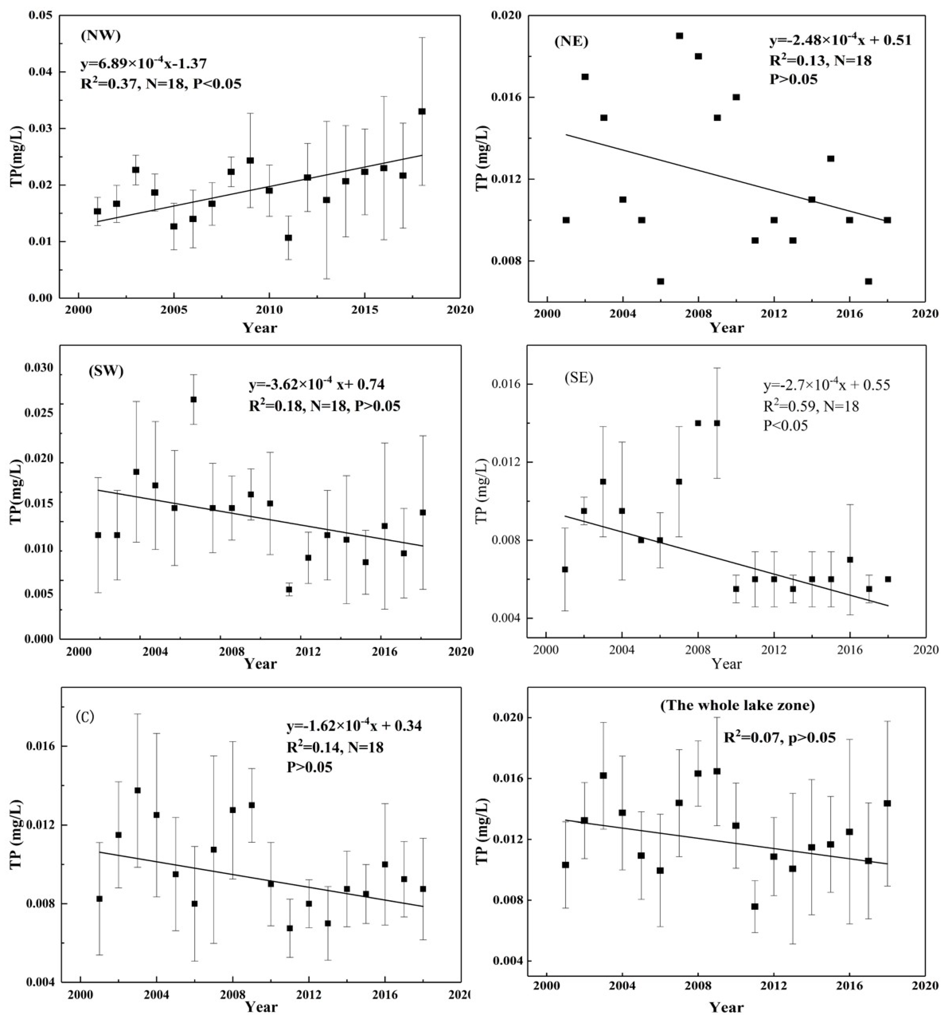
3.3. Spatiotemporal Variation Characteristics of TP
3.4. Effects of Human Activities on TN and TP
4. Conclusions
Author Contributions
Funding
Acknowledgments
Conflicts of Interest
References
- Qin, B.; Zhu, G.; Gao, G.; Zhang, Y.; Wei, L.; Paerl, H.W.; Carmichael, W.W. A Drinking Water Crisis in Lake Taihu, China: Linkage to Climatic Variability and Lake Management. J. Environ. Manag. 2010, 45, 105–112. [Google Scholar] [CrossRef] [PubMed]
- Smith, V.H.; Tilman, G.D.; Nekola, J.C. Eutrophication: Impacts of excess nutrient inputs on freshwater, marine, and terrestrial ecosystems. Environ. Pollut. 1999, 100, 179–196. [Google Scholar] [CrossRef]
- Tundisi, J.G.; Matsumuratundisi, T. Integration of research and management in optimizing multiple uses of reservoirs: The experience in South America and Brazilian case studies. Hydrobiology 2003, 500, 231–242. [Google Scholar] [CrossRef]
- Dunck, B.; Felisberto, S.A.; Nogueira, I.d.S. Effects of freshwater eutrophication on species and functional beta diversity of periphytic algae. Hydrobiology 2019, 837, 195–204. [Google Scholar] [CrossRef]
- Feng, L.; Hou, X.; Zheng, Y. Monitoring and understanding the water transparency changes of fifty large lakes on the Yangtze Plain based on long-term MODIS observations. Remote Sens. Environ. 2019, 221, 675–686. [Google Scholar] [CrossRef]
- Wurtsbaugh, W.A.; Paerl, H.W.; Dodds, W.K. Nutrients, eutrophication and harmful algal blooms along the freshwater to marine continuum. Wiley Interdiscip. Rev. Water. 2019, 6, e1373. [Google Scholar] [CrossRef]
- Huang, C.; Wang, X.; Yang, H.; Li, Y.; Wang, Y.; Chen, X.; Xu, L. Satellite data regarding the eutrophication response to human activities in the plateau lake Dianchi in China from 1974 to 2009. Sci. Total Environ. 2014, 485–486, 1–11. [Google Scholar] [CrossRef]
- Ansari, A.A.; Gill, S.S. Eutrophication: Causes, Consequences and Control II; Springer Science + Business Media: Dordrecht, The Netherlands, 2014. [Google Scholar] [CrossRef]
- Longyang, Q. Assessing the effects of climate change on water quality of plateau deep-water lake—A study case of Hongfeng Lake. Sci. Total Environ. 2019, 647, 1518–1530. [Google Scholar] [CrossRef]
- Lu, X.; Lu, Y.; Chen, D.; Su, C.; Song, S.; Wang, T.; Tian, H.; Liang, R.; Zhang, M.; Khan, K. Climate change induced eutrophication of cold-water lake in an ecologically fragile nature reserve. J. Environ. Sci. 2019, 75, 359–369. [Google Scholar] [CrossRef]
- Rabalais, N.N.; Turner, R.E.; Díaz, R.J.; Justić, D. Global change and eutrophication of coastal waters. Ices. J. Mar. Sci. 2009, 66, 1528–1537. [Google Scholar] [CrossRef]
- Smith, V.H.; Schindler, D.W. Eutrophication science: Where do we go from here? Trends Ecol. Evol. 2009, 24, 201–207. [Google Scholar] [CrossRef] [PubMed]
- Dodds, W.K.; Bouska, W.W.; Eitzmann, J.L.; Pilger, T.J.; Pitts, K.L.; Riley, A.J.; Schloesser, J.T.; Thornbrugh, D.J. Eutrophication of U.S. freshwaters: Analysis of potential economic damages. Environ. Sci. Technol. 2009, 43, 12–19. [Google Scholar] [CrossRef] [PubMed]
- Liu, W.; Zhang, Q.; Liu, G. Lake eutrophication associated with geographic location, lake morphology and climate in China. Hydrobiology 2010, 644, 289–299. [Google Scholar] [CrossRef]
- Hickel, W.; Mangelsdorf, P.; Berg, J. The human impact in the German Bight: Eutrophication during three decades (1962–1991). Helgol. J. Mar. Res. 1993, 47, 243–263. [Google Scholar] [CrossRef][Green Version]
- Liu, M.; Zhang, Y.; Shi, K.; Zhu, G.; Wu, Z.; Liu, M.; Zhang, Y. Thermal stratification dynamics in a large and deep subtropical reservoir revealed by high-frequency buoy data. Sci. Total Environ. 2019, 651, 614–624. [Google Scholar] [CrossRef]
- Bennett, E.M.; Carpenter, S.R.; Caraco, N.F. Human Impact on Erodable Phosphorus and Eutrophication: A Global Perspective. Bioscience 2009, 51, 227–234. [Google Scholar] [CrossRef]
- Carpenter, S.R. Eutrophication of Aquatic Ecosystems: Bistability and Soil Phosphorus. Proc. Natl. Acad. Sci. USA 2005, 102, 10002–10005. [Google Scholar] [CrossRef]
- Food and Agriculture Organization (FAO); Fisheries and Aquaculture Information and Statistics Service. Aquaculture Production: Quantities 1950–2005. FISHSTAT Plus-Universal Software for fishery Statistical Time Series; FAO: Rome, Italy, 2007; Available online: http://www.fao.org/fishery/statistics/software/en (accessed on 1 December 2019).
- Strain, P.M.; Hargrave, B.T. Salmon Aquaculture, Nutrient Fluxes and Ecosystem Processes in Southwestern New Brunswick. In Handbook of Environmental Chemistry; Springer: Berlin/Heidelberg, Germany, 2005; Volume 5M, pp. 29–57. [Google Scholar] [CrossRef]
- Holmgren, P. Global Land Use Change Matrix; FAO: Rome, Italy, 2006; Available online: www.fao.org/3/ag049e/AG049E03.htm (accessed on 20 March 2020).
- Mo, Q.; Chen, N.; Zhou, X.; Chen, J.; Duan, S. Ammonium and phosphate enrichment across the dry–wet transition and their ecological relevance in a subtropical reservoir, China. Environ. Sci. Processes Impacts. 2016, 18, 882–894. [Google Scholar] [CrossRef]
- Fernanda, W.; Enner, A.; Thanan, R.; Nilton, I.; Cláudio, B.; Luiz, R. Estimation of Chlorophyll-a Concentration and the Trophic State of the Barra Bonita Hydroelectric Reservoir Using OLI/Landsat-8 Images. Int. J. Environ. Res. Publ. Health. 2015, 12, 10391–10417. [Google Scholar] [CrossRef]
- Li, Y.; Zhang, Y.; Shi, K.; Zhou, Y.; Zhang, Y.; Liu, X.; Guo, Y. Spatiotemporal dynamics of chlorophyll-a in a large reservoir as derived from Landsat 8 OLI data: Understanding its driving and restrictive factors. Environ. Sci. Pollut. Res. 2017, 25, 1–16. [Google Scholar] [CrossRef]
- Li, Y.; Zhang, Y.; Shi, K.; Zhu, G.; Zhou, Y.; Zhang, Y.; Guo, Y. Monitoring spatiotemporal variations in nutrients in a large drinking water reservoir and their relationships with hydrological and meteorological conditions based on Landsat 8 imagery. Sci. Total Environ. 2017, 599–600, 1705–1717. [Google Scholar] [CrossRef] [PubMed]
- Wu, Z.; Zhang, Y.; Zhou, Y.; Liu, M.; Shi, K.; Yu, Z. Seasonal-Spatial Distribution and Long-Term Variation of Transparency in Xin’anjiang Reservoir: Implications for Reservoir Management. Int. J. Environ. Res. Public Health 2015, 12, 9492–9507. [Google Scholar] [CrossRef] [PubMed]
- Han, X.; Zhu, G.Z.; Wu, Z.; Chen, W.; Zhu, M. Spatial-temporal variations of water quality parameters in Xin’anjiang Reservoir (Lake Qiandao) and the water protection strategy. J. Lake Sci. 2013, 25, 836–845. [Google Scholar]
- Zhang, Y.; Wu, Z.; Liu, M.; He, J.; Yu, Z. Thermal structure and response to long-term climatic changes in Lake Qiandaohu, a deep subtropical reservoir in China. Limnol. Oceanogr. 2015, 59, 1193–1202. [Google Scholar] [CrossRef]
- Wang, X.L.; Wang, Q.; Wu, C.Q.; Liang, T.; Zheng, D.H.; Wei, X.F. A method coupled with remote sensing data to evaluate non-point source pollution in the Xin’anjiang catchment of China. Sci. Total Environ. 2012, 430, 132–143. [Google Scholar] [CrossRef]
- Lee, J.H.; Kim, J.M.; Kim, D.S.; Hwang, S.J.; An, K.G. Nutrients and chlorophyll- a dynamics in a temperate reservoir influenced by Asian monsoon along with in situ nutrient enrichment bioassays. Limnology 2010, 11, 49–62. [Google Scholar] [CrossRef]
- Gaiser, E.E.; Deyrup, N.D.; Bachmann, R.W.; Battoe, L.E.; Swain, H.M. Effects of climate variability on transparency and thermal structure in subtropical, monomictic lake annie, florida. Fundam. Appl. Limnol. 2009, 175, 217–230. [Google Scholar] [CrossRef]
- Naumenko, M.A. Seasonality and trends in the Secchi disk transparency of Lake Ladoga. Hydrobiology 2008, 599, 59–65. [Google Scholar] [CrossRef]
- Vollenweider, R.A.; Kerekes, J. The loading concept as a basis for controlling eutrophication philosophy and preliminary result of the OECD programme on eutrophication. Progr. Water. Technol. 1980, 12, 5–38. [Google Scholar] [CrossRef]
- OECD. Eutrophication of Waters: Monitoring, Assessment and Control; Final Report; OECD Cooperative Program on Monitoring of Inland Waters (Eutrophication Control, Environment Directorate) OECD: Paris, France, 1982. [Google Scholar]
- Smith, V.H. The Nitrogen and Phosphorus Dependence of Algal Biomass in Lakes: An Empirical and Theoretical. Anal. Limnol. Oceanogr. 1982, 27, 1101–1112. [Google Scholar] [CrossRef]
- Du, L.N.; Li, Y.; Chen, X.Y.; Yang, J.X. Effect of eutrophication on molluscan community composition in the Lake Dianchi (China, Yunnan). Limnology 2011, 41, 213–219. [Google Scholar] [CrossRef]
- Gong, Z.J.; Li, Y.L.; Shen, J.; Xie, P. Diatom community succession in the recent history of a eutrophic Yunnan Plateau lake, Lake Dianchi, in subtropical China. Limnology 2009, 10, 247–253. [Google Scholar] [CrossRef]
- Yan, C.; Che, F.; Zeng, L.; Wang, Z.; Du, M.; Wei, Q.; Wang, Z.; Wang, D.; Zhen, Z. Spatial and seasonal changes of arsenic species in Lake Taihu in relation to eutrophication. Sci. Total. Environ. 2016, 563–564, 496–505. [Google Scholar] [CrossRef] [PubMed]
- Zhu, G.; Cui, Y.; Han, X.; Li, H.; Zhu, M.; Deng, J.; Li, H.; Chen, W. Response of phytoplankton to nutrient reduction in Shahe Reservoir, Taihu catchment, China. J. Freshw. Ecol. 2015, 30, 41–58. [Google Scholar] [CrossRef]
- Duan, H.T.; Ma, R.H.; Xu, X.F.; Kong, F.X.; Zhang, S.X.; Kong, W.J.; Hao, J.Y.; Shang, L.L. Two-Decade Reconstruction of Algal Blooms in China’s Lake Taihu. Environ. Sci. Technol. 2009, 43, 3522–3528. [Google Scholar] [CrossRef] [PubMed]
- Wang, M.; Chen, H.; Zhang, W.; Wang, K. Soil nutrients and stoichiometric ratios as affected by land use and lithology at county scale in a karst area, southwest China. Sci. Total. Environ. 2018, 619–620, 1299–1307. [Google Scholar] [CrossRef]
- Pickhardt, P.C.; Folt, C.L.; Chen, C.Y.; Klaue, B.; Blum, J.D. Algal blooms reduce the uptake of toxic methylmercury in freshwater food webs. PNAS 2002, 99, 4419–4423. [Google Scholar] [CrossRef]
- Shumway, S.E. A Review of the Effects of Algal Blooms on Shellfish and Aquaculture. J. World. Aquacult. Soc. 2007, 21, 65–104. [Google Scholar] [CrossRef]
- Wen, J.; Luo, D.Q.; Luo, X.B.; Tang, D.J.; Chen, S.P. Agriculture Non-point Source Pollution and Control Measures of Qiandao Lake Area. J. Soil Water Conserv. 2004, 18, 126–129. [Google Scholar] [CrossRef]
- Mekonnen, M.M.; Hoekstra, A.Y. Global Gray Water Footprint and Water Pollution Levels Related to Anthropogenic Nitrogen Loads to Fresh Water. Environ Sci Technol. 2015, 49, 12860–12868. [Google Scholar] [CrossRef]
- Baechle, B.; Davis, A.S.; Pittelkow, C.M. Potential Nitrogen Losses in Relation to Spatially Distinct Soil Management History and Biochar Addition. J. Environ. Qual. 2017, 47, 62–69. [Google Scholar] [CrossRef] [PubMed]









| Region | Statistical Factor | TN (mg/L) | TP (mg/L) | Chl-α (mg/m3) | Secchi Disk (m) | TN:TP | Trophic State |
|---|---|---|---|---|---|---|---|
| NW lake zone (N = 18) | Max ± SD | 1.39 ± 0.15 | 0.033 ± 0.016 | 11.33 ± 3.30 | 3.91 ± 1.02 | 77.14 ± 17.83 | Mesotrophic |
| Min ± SD | 0.91 ± 0.14 | 0.011 ± 0.005 | 3.00 ± 1.41 | 2.53 ± 0.56 | 40.81 ± 9.11 | ||
| Mean ± SD | 1.14 ± 0.12 | 0.020 ± 0.008 | 8.30 ± 2.34 | 3.09 ± 0.66 | 58.22 ± 16.27 | ||
| NE lake zone (N = 18) | Max | 1.16 | 0.019 | 7.00 | 4.67 | 140.00 | Oligotrophic |
| Min | 0.74 | 0.007 | 2.00 | 2.72 | 45.63 | ||
| Mean | 0.90 | 0.012 | 4.06 | 3.62 | 74.70 | ||
| SW lake zone (N = 18) | Max ± SD | 0.87 ± 0.01 | 0.027 ± 0.028 | 7.50 ± 2.5 | 4.10 ± 1.40 | 137.27 ± 10.00 | Oligotrophic |
| Min ± SD | 0.56 ± 0.08 | 0.009 ± 0.003 | 4.67 ± 2.22 | 2.98 ± 0.95 | 27.96 ± 9.23 | ||
| Mean ± SD | 0.71 ± 0.03 | 0.013 ± 0.007 | 3.00 ± 1.00 | 3.47 ± 1.41 | 53.15 ± 4.64 | ||
| SE lake zone (N = 18) | Max ± SD | 1.06 ± 0.16 | 0.014 ± 0.003 | 6.50 ± 0.50 | 7.43 ± 0.27 | 160.91 ± 10.00 | Oligotrophic |
| Min ± SD | 0.55 ± 0.06 | 0.006 ± 0.001 | 1.00 ± 0.00 | 4.44 ± 0.24 | 49.55 ± 22.50 | ||
| Mean ± SD | 0.80 ± 0.04 | 0.008 ± 0.001 | 3.25 ± 0.47 | 5.94 ± 0.27 | 99.66 ± 33.16 | ||
| C lake zone (N = 18) | Max ± SD | 1.07 ± 0.06 | 0.014 ± 0.005 | 7.75 ± 2.68 | 5.95 ± 1.14 | 128.93 ± 21.17 | Mesotrophic |
| Min ± SD | 0.62 ± 0.11 | 0.008 ± 0.001 | 2.33 ± 0.47 | 3.99 ± 0.35 | 45.09 ± 23.31 | ||
| Mean ± SD | 0.85 ± 0.07 | 0.010 ± 0.002 | 5.00 ± 1.39 | 4.88 ± 0.85 | 86.92 ± 35.81 | ||
| Whole lake zone (N = 90) | Max ± SD | 1.39 ± 0.15 | 0.033 ± 0.016 | 7.45 ± 3.42 | 5.04 ± 1.01 | 160.91 ± 10.00 | Mesotrophic |
| Min ± SD | 0.55 ± 0.06 | 0.006 ± 0.001 | 2.83 ± 1.00 | 3.78 ± 0.57 | 27.93 ± 9.23 | ||
| Mean ± SD | 0.88 ± 0.05 | 0.013 ± 0.004 | 5.05 ± 1.61 | 4.20 ± 0.79 | 74.34 ± 17.94 |
© 2020 by the authors. Licensee MDPI, Basel, Switzerland. This article is an open access article distributed under the terms and conditions of the Creative Commons Attribution (CC BY) license (http://creativecommons.org/licenses/by/4.0/).
Share and Cite
Zhou, L.; Wang, X.; Zhang, X.; Zhao, Y.; Zhu, P.; Zhao, X.; Li, X. Spatiotemporal Variations in Nitrogen and Phosphorus in a Large Man-Made Lake and Their Relationships with Human Activities. Water 2020, 12, 1106. https://doi.org/10.3390/w12041106
Zhou L, Wang X, Zhang X, Zhao Y, Zhu P, Zhao X, Li X. Spatiotemporal Variations in Nitrogen and Phosphorus in a Large Man-Made Lake and Their Relationships with Human Activities. Water. 2020; 12(4):1106. https://doi.org/10.3390/w12041106
Chicago/Turabian StyleZhou, Ligang, Xiangdong Wang, Xiaoming Zhang, Yang Zhao, Panpan Zhu, Xiang Zhao, and Xiaole Li. 2020. "Spatiotemporal Variations in Nitrogen and Phosphorus in a Large Man-Made Lake and Their Relationships with Human Activities" Water 12, no. 4: 1106. https://doi.org/10.3390/w12041106
APA StyleZhou, L., Wang, X., Zhang, X., Zhao, Y., Zhu, P., Zhao, X., & Li, X. (2020). Spatiotemporal Variations in Nitrogen and Phosphorus in a Large Man-Made Lake and Their Relationships with Human Activities. Water, 12(4), 1106. https://doi.org/10.3390/w12041106

