Abstract
Adding a submerged zone (SZ) is deemed to promote denitrification during dry periods and thus improve NO3− removal efficiency of a bioretention system. However, few studies had investigated the variation of nitrogen concentration in the SZ during dry periods and evaluated the effect of the variation on nitrogen removal of the bioretention system. Based on the experiment in a mesocosm bioretetion system with SZ, this study investigated the variation of nitrogen concentration of the system under 17 consecutive cycles of wet and dry alternation with varied rainfall amount, influent nitrogen concentration and antecedent dry periods (ADP). The results indicated that (1) during the dry periods, NH4+ concentrations in SZ showed an exponential decline trend, decreasing by 50% in 12.9 ± 7.3 h; while NO3− concentrations showed an inverse S-shape declining trend, decreasing by 50% in 18.8 ± 6.4 h; (2) during the wet periods, NO3− concentration in the effluent showed an S-shape upward trend; and at the early stage of the wet periods, the concentration was relatively low and significantly correlated with ADP, while the corresponding volume of the effluent was significantly correlated with the SZ depth; (3) in the whole experiment, the contribution of nitrogen decrease in SZ during dry periods to NH4+ and NO3− removal accounted for 12% and 92%, respectively; and the decrease of NO3− in SZ during the dry period was correlated with the influent concentration in the wet period and the length of the dry period.
1. Introduction
Bioretention system, also known as rain garden, biofiltration or biofilter, is a typical low impact development (LID) facility to purify runoff through the combined action of plants, soil media and microorganisms [1,2]. It has been proved to be effective for the removal of most pollutants in runoff, such as heavy metals [3,4], suspended sediment [5,6,7], grease [8], pathogenic bacteria [9,10], etc. However, many previous studies indicated that bioretention systems have a low and unstable nitrogen removal rate [11,12], especially of NO3−. Sometimes even nitrogen “leaching” occurred [13] in the systems. The permanent removal of nitrogen is mainly through denitrification. According to the electronic donors used by denitrifying bacteria, biological denitrification can be divided into autotrophic denitrification and heterotrophic denitrification. In autotrophic denitrification, ferrous iron (Fe2+), As3+, pyrite(FeS2), or inorganic sulfur compounds are used as electron donors [14], while in heterotrophic denitrification, organic compounds are used as electron donors [15]. Bioretention systems belong to natural ecologic systems, in which the growth of autotrophic denitrifiers is slow [16]. In addition, due to the lack of a stable anaerobic environment, heterotrophic denitrification in traditional bioretention systems is also weak. How to improve the removal efficiency of nitrogen, especially NO3−, mainly through denitrification, is one of the topical issues in the research of bioretention systems [17].
The introduction of a submerged zone (SZ) into bioretention systems has been recommended to promote the formation of an anaerobic environment and improve the denitrification efficiency [18]. The importance of SZ to improve the NO3− removal [18,19] and inhibit nitrogen leaching [20] in bioretention systems has been demonstrated in some previous studies. In terms of an experiment with 35 bioretention cells (25 of which with SZ), Zhang et al. [21] found that the NO3− removal rates of bioretention systems with SZ were significantly higher than those without SZ. Palmer et al. [22] found that the removal rate of NO3− increased from 33% in the bioretention systems without SZ to 71% in those with SZ. Manka et al. [23] found that the activity of denitrifying microorganisms increased in the field-scale bioretention systems with SZ, which consequently contributed to the more complete removal of NO3−. By monitoring NO3− concentration in SZ of bioretention systems every 24 h after rainfall events, Braswell et al. [24] revealed that denitrification might mainly occur in SZ. Furthermore, the NO3− removal performance of a bioretention system could be affected by the depth of SZ. The results of comparative experiments carried out by Wang et al. [25] indicated that with the depth of SZ increasing from 0 to 600 mm, the removal rate of NO3− increased from −23% (leaching) to 62%. However, some studies have found that the NO3− removal rate of a biological retention system would decrease when the depth of SZ was greater than a certain optimal height [26].
The length of antecedent dry period (ADP) is also an important factor affecting NO3− removal in bioretention systems. For the bioretention system without a SZ, Zinger et al. [27] found that there was no significant difference in the NO3− removal rate when ADP lasted 1–3 weeks, but the effluent had a much higher NO3− concentration than the influent with ADP of 7 weeks. While Hatt et al. [28] found that there was a significant linear correlation between effluent NO3− concentration and ADP (ranged from 1 to 5 weeks) in bioretention systems without SZ. For the bioretention system installed with a SZ, Lynn et al. [29] and Berger et al. [30] found that the NO3− removal rate of the bioretention system with a SZ increased with the increase of ADP [31], and Wang et al. [25] both found that the effluent NO3− concentration gradually rose within 30 min and tended to be stable afterwards, suggesting the removal of NO3− (denitrification) mainly occurred in the dry phase. However, Cho et al. [32] found that the NO3− concentration decreased significantly with the increase of ADP when ADP was shorter than 10 days, while the NO3− leached out when ADP was 20 days. The possible reasons may be that during dry periods, nitrification occurring in the soil layer may increase NO3−, while denitrification occurring in the SZ may reduce NO3− in the system, suggesting complicated effects of ADP on NO3− removal in bioretention systems with SZ.
Literature reviews showed that nitrogen transformation in bioretention systems with SZ during the dry periods had an important effect on nitrogen removal in bioretention systems. Although many studies had paid attention to the effect of ADP on nitrogen removal rate of bioretention systems, less attention had been paid to the variation of nitrogen concentration in the SZ during dry periods. It is necessary to understand the variation, which can infer the rate of nitrogen conversion in the dry period and help to explain the effect of ADP on nitrogen removal in the system. Moreover, it is a challenge to evaluate the effect of SZ during dry periods. On one hand, it is difficult to distinguish the effects on nitrogen removal at different periods and locations in bioretention systems. On the other hand, the effects of SZ during dry periods varied with many factors, such as influent nitrogen concentration [33], influent volume or flux [34], rainfall intensity, and ADP [24], etc.
Therefore, the objectives of this study were to: (1) reveal nitrogen concentration variations in SZ of a bioretention system during dry periods; (2) reveal the effects of ADP and SZ on effluent nitrogen concentration variations of the system; and (3) evaluate the effect of nitrogen transformation in SZ during dry periods on the nitrogen removal of the bioretention system.
2. Materials and Methods
2.1. Experimental Systems
Laboratory mesocosm scale bioretention columns were established at the campus of Peking University Shenzhen Graduate School, Shenzhen, China in 2016 (Figure 1a). Each column was placed in an acrylic plexiglass cylinder with an inner diameter of 50 cm and a height of 100 cm. It was divided into vegetation layer, soil layer, sand layer, and gravel layer from top to bottom (Figure 1b). The vegetation layer was planted with Phragmites australise, which is one of the most commonly used plants for bioretention systems [35]. The soil layer was 500 mm thick and consisted of a mixture of native sandy loam, fine sand (mean particle size of 0.5 mm) and peat moss with a mass ratio of 4:5:1. Additional 5% CaCO3 was added to keep the pH value of the mixed planting soil between 6.5 to 7.5. The sand layer was 200 mm thick and consisted of local marine sand with a particle size of 1 to 2 mm. The gravel layer was 100-mm thick and composed of gravels with a particle size of 15 to 30 mm. The sand and gravel layers were separated by geotextile. A perforated pipe was set at the bottom of the bioretention system, which extends outward and vertically rises 300 mm to form SZ. Blank newspaper scraps were added into the sand and gravel layers with a mass ratio of 1.5% and 0.75%, respectively, to provide an adequate organic carbon source for microbial activities [36]. Each bioretention column was wrapped up in tinfoil to be isolated from outside heat. Three valves were installed for each experiment column: when valve A is kept open, the surface layer can store up to 100 mm deep runoff before overflowing; when valve B is open and valve C is closed, SZ of the depth of 300 mm is formed; and when valve C is open, there is no SZ in the bioretention system (Figure 1b).
Figure 1.
Bioretention columns: photo of the experimental site (a) and structure diagram of experimental columns (unit: mm) (b).
2.2. Stormwater Runoff Simulation and Monitoring of Nitrogen Concentrations in Effluents and SZ
2.2.1. Simulated Rainfall Events and Synthetic Runoff
Shenzhen is located on the southeast coast of China, under the humid subtropical climate with a mean annual temperature of 22 °C and mean annual rainfall of 1770 mm. Most of the rainfall in Shenzhen are concentrated in the rainy season (from April to September), accounting for 80% to 90% of annual rainfall. During the rainy season, rainfall is characterized by a high intensity, short duration and short ADP (2–3 days on average) according to the statistical analysis of the daily rainfall data from Meteorological Bureau of Shenzhen Municipality in the past 30 years.
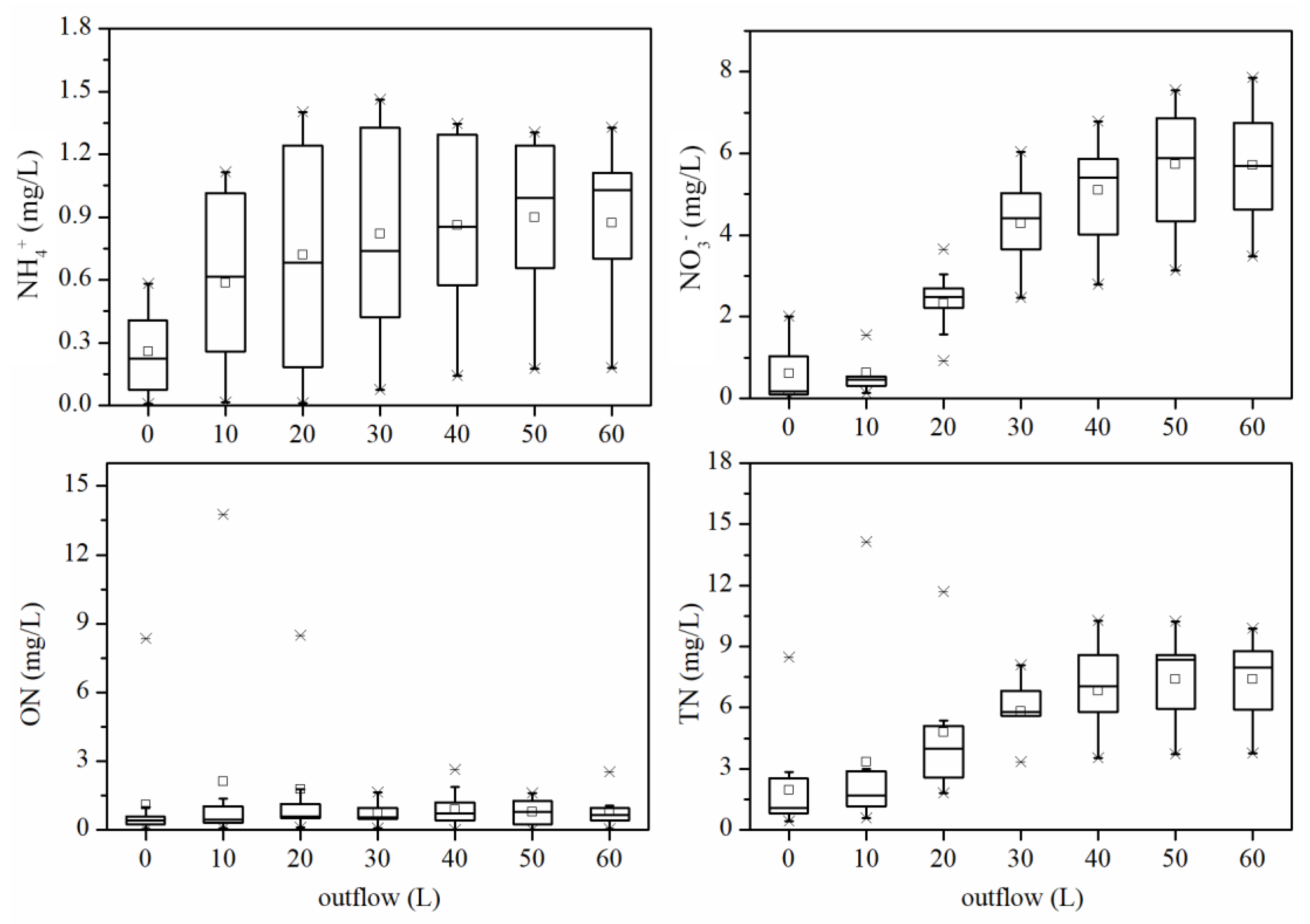
The experiment was carried out in two parallel bioretention systems during 45 consecutive days from July to September, 2018. In total, 17 rainfall events were simulated and the synthetic runoff was dosed into the bioretention systems in the experiment. In order to mimic the rainfall characteristics in rainy seasons of Shenzhen, the rainfall events were designed to have rainfall amount ranging from 20 mm to 40 mm, duration ranging from 33 min to 80 min, and ADP ranging from 1 day to 5 days. It was assumed that the catchment area of the bioretention system was 20 times of its own area, and the dosing amount of synthetic runoff was determined according to the rainfall amount and the catchment area. The synthetic runoff was prepared to mimic local urban runoff with NH4+ concentrations ranging from 1.0 mg/L to 5.0 mg/L; NO3 concentrations ranging from 2.8 mg/L to 8.0 mg/L; organic nitrogen (ON) concentrations ranging from 0.1 mg/L to 3.9 mg/L; and total nitrogen (TN) ranging from 3.8 mg/L to 15.7 mg/L (Figure 2). The bioretention systems were set to have a SZ in the first 13 events and have no SZ in the four other events. Each column was watered with 70 L synthetic runoff every 3 days for 2 months to allow for a stable state of the bioretention systems before the experiment.
Figure 2.
Rainfall intensity and nitrogen concentration change during wet and dry periods. The first 13 events were simulated in a bioretention system with a 300 mm high SZ, and the last four events were simulated in the same system without SZ, which are marked with asterisk.
2.2.2. Sampling and Analysis
The synthetic runoff was evenly pumped into the experimental column (1.5 L/min) to simulate the influent of runoff during wet periods. During each wet period of the first 14 events, it was timed at the beginning of drainage from valve B. One-hundred milliliters of water samples were collected at valve B at an interval of 5–20 min in the first hour and then at an interval of 30–60 min until there was no water flowing out of valve B. During each wet period of the rest four events, the runoff was treated by the systems without SZ, and water samples were collected at valve C. The water samples of the influent for each rainfall event were also collected. During the dry period before each rainfall event, it was timed when there was no water flowing out of valve B. Soil samples from the soil layer were collected at five points that were evenly distributed in a bioretention system and at depths of 0 to 15 cm, 15 to 30 cm, and 30 to 50 cm during each dry period before they were thoroughly homogenized to form a mixed soil sample. One-hundred milliliters of water samples in SZ were collected at valve C at an interval of 3–12 h in the first 48 h and then at an interval of 24 h until the next wet period. Finally, a total of 493 samples (465 water samples and 28 soil samples) were collected in this study.
All water samples were immediately filtered through 0.22-μm membrane filters and then frozen as soon as possible before further analysis. A split of pre-weighed soil was heated in the oven at 105 °C for 12 h to achieve constant weight and calculated for the water content, while another split of soil was mixed with 1 M KCl solution in a mass ratio of 1:5 in a water-bathing vibrator for 1 h to extract water-soluble ions. Concentrations of NH4+ and NO3− in water samples or soil extracts were determined using the automatic discontinuous analyzer (CleverChem 200+, DeChem-Tech. GmbH, Germany) based on methods of salicylic acid spectrophotometry (HJ 536-2009) and hydrazine sulfate reduction method (GB/T5750.5-2006), respectively. In the analysis process, the reagents and samples were accurately added into the colorimetric dish by automatic sampling needle, and the color reaction was produced by mixing, then the absorbance was measured by using the high-precision double-beam digital detector and the corresponding concentrations were automatically calculated by the Lambert–Beer law. TN was completely converted to NO3− using the alkaline potassium persulfate digestion method and then determined as NO3−. Concentration of ON can be obtained by using the difference of TN, NH4+ and NO3−.
2.3. Data Statistics and Analysis
2.3.1. Nitrogen Removal Rate
Nitrogen removal rate is the common indicator to evaluate the nitrogen removal performance of a bioretention system. The removal rate can be calculated using the event mean concentration (EMC) removal method:
where EMCi and EMCe were the EMC of various nitrogen species (NH4+, NO3−, ON or TN) in the influent and effluent during the wet period, respectively.
In order to evaluate the comprehensive nitrogen removal performance of the bioretention system under the long-term alternate wet and dry conditions, a load-weighted cumulative nitrogen removal rate was also used in this study to calculate the overall load removal rate of the bioretention system for a series of rainfall events. The specific calculation equation was as follows:
where CNRRi was the Cumulative Nitrogen Removal Rate of i consecutive rainfall events (dimensionless); i was the number of events (from 1 to 13 for bioretention with SZ; and 1 to 4 for bioretention without SZ); Nij and Nej were the influent and effluent nitrogen load in Event j, respectively; and j was the number of events (j = 1, 2, …, i). In theory, CNRR could better reflect the long-term nitrogen removal performance of a bioretention system.
2.3.2. Characteristic Indicators of Nitrogen Concentration Variations
In this study, one event included a wet period and a dry period. Wet period was from the beginning of rainfall to the end of effluent. The dry period referred to the period from the end of the effluent to the beginning of the next rainfall, which was named “subsequent dry period” (SDP) in this paper to distinguish it from “antecedent dry period” (ADP).
To describe the variation characteristics of effluent NO3− concentration during wet periods, three indicators named C0, Cmax, and V1 were used in this paper (Figure 3). During the wet periods, the NO3− concentration in the effluent of bioretention system was low in the early stage, then increased rapidly, and finally reached a higher concentration and kept stable at the later stage. C0 was defined as NO3− concentration at the early stage of the wet period in an event. V1 was defined as the effluent volume at the early stage with relatively low nitrogen concentration (e.g., lower than two times of C0) in an event. Cmax was defined as the maximum effluent nitrogen concentration at the later stage of the wet period in an event.
Figure 3.
Diagram showing characteristic indicators for nitrogen concentration change during wet and dry periods (take NO3− as an example).
The time when the nitrogen concentration in SZ declined by 50% (T50) was used to evaluate the decay rates of NH4+, NO3− and TN concentration in SZ during dry periods in the bioretention system (Figure 3). T50 can be calculated according to the fitting curve equations of the measured variations of NH4+, NO3− and TN in SZ during the dry period of each event. In this study, the curve with the best goodness of fit was selected to fit the measured data. The curving fitting was performed by using Matrix Laboratory (MATLAB, version 2018b) software. Generally, the initial nitrogen concentration in SZ during the dry period was equal to Cmax in the wet period of an event (Figure 3). For comparison between different rainfall events, nitrogen concentration in SZ during dry periods was standardized by dividing the concentration by the initial concentration (C/Cmax) in each dry period.
2.3.3. Evaluating the Effect of SZ during Dry Period on Nitrogen Removal
A dimensionless indicator, labeled as kSZ, was defined to evaluate the contribution of nitrogen transformation in SZ during the dry period to the entire nitrogen removal of a bioretention system, as follows:
where was the nitrogen load removal in SZ during the dry period in Event i (unit: mg); was the nitrogen load removal in the bioretention system during Event i, including the wet period and the dry period in both SZ and the soil layer, (unit: mg). RSZ,dry,i could be calculated by the difference between nitrogen load in SZ at the beginning of the dry period and that at the end of the dry period.
To get the value of RT,i, a mass balance equation was analyzed as follows:
where and were the changes in nitrogen load in the soil layer and those in the SZ in Event i, respectively (unit: mg), which could be calculated by the difference between nitrogen load in the soil layer (or in SZ) at the beginning of Event i and Event i+1; Pin,i and Pout,i were the nitrogen load carried by the influent during the wet period and those washed out by the effluent during the wet period in Event i, respectively (unit: mg), which could be calculated by the nitrogen concentration and the flux rate of the influent or the effluent; Rsoil,wet,i, Rsz,wet,i and Rsoil,dry,i were the nitrogen load removals in the soil layer during the wet period, in SZ during the wet period, and in the soil layer during SDP in Event i (unit: mg), respectively. For simplicity, the absorption of nitrogen by plants was regarded as a part of nitrogen transformation in the soil layer.
Finally, kSZ,i can be calculated by the following equation:
And the contribution of the nitrogen transformation in SZ during dry periods to nitrogen removal of the bioretention system in consecutive cycles of wet and dry alternation (kSZ) can be calculated by the following equation:
2.3.4. Statistical Analysis
In addition, the Spearman’s rank correlation coefficient was used to determine the relationship between the characteristic indicators of nitrogen concentration variations and the environmental factors. Statistical Product and Service Solutions (SPSS, version 26.0) software was performed to process the data.
3. Results
3.1. Variations of Nitrogen Removal Rate
The removal rates and cumulative nitrogen removal rates (CNRR) of NH4+ and NO3− for a total of 17 simulated rainfall events are shown in Figure 4. Among them, the NH4+ removal rates of nine events exceeded 80% (Figure 4). However, the NH4+ removal rate of Event 11 was only 13.2%, while the NH4+ removal rates of Event 5 and 7 were −13.7% and −10.2%, respectively, indicating NH4+ leaching during these two events. The low NH4+ removal rate was probably due to the high NH4+ concentration (4.3 mg/L) in the previous event, while relatively short ADP (<2 days) and low influent NH4+ concentration (1.3 mg/L) in the three events (Figure 2 and Table A1). Furthermore, the rainfall intensities of Events 5 and 7 exceeded 60 mm/h, more than 50% higher than that of Event 11. Therefore, high rainfall intensity, low influent NH4+ concentration, and high residual NH4+ in the bioretention system might result in NH4+ leaching in Events 5 and 7.
Figure 4.
Nitrogen removal rates of NH4+, NO3− and TN in each event. The first 13 events were simulated in a bioretention system with a 300 mm high SZ and the last 4 events (*) were simulated in the same system without SZ. Note: CNRR = cumulative nitrogen removal rate.
As shown in Figure 4, the removal rate of NO3− (−24.1% to 53.0%) was lower than that of NH4+ (−13.7% to 92.9%), and NO3− leaching occurred during Events 5, 7, 16, and 17. Similar to the causes of NH4+ leaching, NO3− leaching in Events 5 and 7 was due to the low influent NO3− concentration, short ADP of these events and the high influent NO3− concentration of their previous events. However, the occurrences of NO3− leaching in Events 16 and 17 were probably due to no SZ that could provide enough anaerobic environment for denitrification.
The CNRRs of NH4+ in the bioretention systems with or without SZ were consistent and ranged from 75.0% to 89.8%. However, the CNRRs of NO3− in the system with and without SZ ranged from 35.0% to 38.0% and from 17.1% to −22.6%, respectively (Figure 4).
On the whole, the removal rate of NO3− was lower than that of NH4+; the existence of SZ had a great effect on NO3− removal, but it had little effect on NH4+ removal. Moreover, under the alternating wet and dry conditions, the removal rate of both NH4+ and NO3− had certain fluctuations, and leaching might have occured occasionally. Nitrogen was more likely to leach out during the events with a strong rainfall intensity, a short ADP, and a much lower influent nitrogen concentration than that of the previous rainfall event.
The fluctuations in TN removal rates in different events were similar to those of NO3−, because NO3− was the main nitrogen species in the influent and the effluent in these experiments.
3.2. Variations of Nitrogen Concentration in SZ during Dry Periods
The variations in C/Cmax for different nitrogen species over time during the dry period were shown in Figure 5. The results showed that NH4+ concentration in SZ was low during dry periods and decreased rapidly in the first 24 h, then decreased slowly, and approached 0 within 72 h, showing an exponential decay trend (Figure 5). However, NO3− concentration showed an approximate inverse-S type decline trend in SZ during the dry periods, slowly decreasing in the early stage, rapidly decreasing after 12 h, and slowly decreasing again after 48 h (Figure 5). There was a small amount of ON (range from 0.1 mg/L to 3.9 mg/L as shown in Table A1) in SZ during the dry periods, which fluctuated greatly, showing no significant trend. Similar to the concentration of NO3−, the concentrations of TN also showed an inverse-S type decreasing trend in SZ during the dry periods.
Figure 5.
Nitrogen concentration variations in SZ during dry periods (13 events). In each box, the five short lines “-” from up to bottom represent the upper limit value, upper quartile value, median value, lower quartile value, and lower limit value of the data, respectively; the point “▫” represents the mean value of the data.
Furthermore, the decay rate of nitrogen concentration in SZ during dry periods was analyzed. The variation of NH4+ in SZ during the dry period of each event was fitted by an exponential curve (with R2 > 0.686), while the variations of NO3− and TN were fitted by an inverse-logistic curve (inverse-S curve) (with R2 > 0.938). In terms of the fitted curves, T50 of NH4+, NO3− and TN in SZ during the dry period of each event was calculated and shown in Figure 6. The T50 of NH4+, NO3− and TN was 12.9 ± 7.3 h, 18.8 ± 6.4 h and 17.6 ± 8.0 h, respectively (Table A2). In other words, during dry periods, the concentrations of various nitrogen species in SZ could reduce by 50% in half a day to a day. This implicated that bioretention systems had the potential to remove or transform the most nitrogen stored in the SZ during the dry period in sub-tropical areas with short ADP (1–5 days).
Figure 6.
T50 of NH4+, NO3−, and TN in SZ during dry periods. In each box, the five short lines “-” represent the upper limit value, upper quartile value, median value, lower quartile value, and lower limit value of the data, respectively; the points “x” and “◦” represent the mean value and the outlier value of the data, respectively.
T50 reflects the decline rate of nitrogen concentration, which is mainly dependent on ammonia oxidation, denitrification and mineralization caused by microbial actions in SZ. The nitrogen-related microbial actions are usually affected by the environmental factors like temperature, dissolved oxygen, carbon source, and nitrogen concentration [37]. In these experiments, the carbon source in SZ was considered to be rich enough. Therefore, the effect on T50 by the initial nitrogen concentration (Cmax), temperature and dissolved oxygen in SZ during the dry period were mainly discussed in this paper. The spearman correlation analysis showed that: T50 of NH4+ and NO3− were both significantly positively correlated with their initial concentrations in SZ during the dry periods, with a correlation coefficient of 0.703 (P < 0.05) and 0.692 (P < 0.05), respectively. However, T50 had no significant correlation with temperature and dissolved oxygen in this study. This can be explained that during the experiment, the temperature of SZ during the dry periods was relatively stable, remaining at 28.3 ± 0.9 °C); the concentration of dissolved oxygen was at a low level (less than 1.5 mg/L) in SZ during the dry periods; and sufficient carbon source was added to SZ. Therefore, the initial concentration was the primary factor affecting T50 in the study. The interaction between environmental factors and microorganisms and its influence on T50 were further discussed in Section 4.
3.3. Effects of ADP and SZ on Effluent Nitrogen Variations
3.3.1. Effluent Nitrogen Variations during Wet Periods
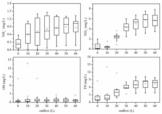
During the wet periods, while the bioretention system received rainfall runoff, the effluent was generated from the top of SZ when the SZ was saturated; the ponded water was generated from the surface when all the system was saturated, and any ponded surface water in excess of maximum freeboard height became overflow. Since the overflow had not been treated by the bioretention system, this study mainly studied the effluent from SZ. Based on 13 rainfall events, the variations of nitrogen concentration with effluent volume were calculated, and the box plots were shown in Figure 7.
Figure 7.
Effluent nitrogen variations during wet periods. In each box, five “-” represent the upper limit value, upper quartile value, median value, lower quartile value, and lower limit value of the data, respectively. “□” represents the mean value of the data, and “x” represents the upper percentile value and the lower percentile value of the data.
The results showed that: (1) the concentration of NH4+ was generally low and showed an upward trend in the effluent during the wet periods; (2) the NO3− concentration was very low at first, then increased rapidly, and then increased slowly, showing an “S” type of increase; (3) the concentration of ON was generally low and fluctuated to a certain extent in the effluent during the wet periods; 4) the concentration of TN in the effluent was mainly affected by the NO3−, also showing an “S” type rising during the wet periods; (5) in the later phase of wet periods, the effluent concentration of NH4+ (0.9 ± 0.4 mg/L) was stable and lower than that of the influent (2.8 ± 1.6 mg/L) while the NO3− concentration of the effluent (5.7 ± 1.4 mg/L) was close to those of the influent (5.4 ± 1.9 mg/L).
Based on the first 13 rainfall events, three characteristic indicators, the NO3− concentration at the early stage of the wet period (C0), the maximum concentration of NO3− at the later stage of the wet period (Cmax), and the effluent volume at the early stage of the wet period (V1), were calculated for each rainfall event.
3.3.2. Effect of ADP on Effluent Nitrogen Variations
The effect of ADP and the influent NO3− concentration of the previous event on C0 was observed by using a contour diagram, as shown in Figure 8. The results indicated that C0 increased with the increase of influent NO3− concentration of the previous event. In addition, C0 decreased with the increase of ADP, with a significantly negative Spearman’s rank correlation coefficient of −0.716 (p = 0.006). When ADP was greater than 2 days, C0 was reduced to a small value (below 0.5 mg/L) and remained stable. The reasons can be explained that the effluent was a mixture of residual water from SZ and rainfall runoff filtered through the soil layer. C0 mainly depended on the nitrogen concentration in the residual water in SZ before the rainfall event. The longer the ADP was, the lower the NO3− concentration of the residual water in SZ may be, resulting in lower C0.
Figure 8.
The effect of antecedent dry periods (ADP) and NO3− concentration in the influent in the last rainfall event on the initial NO3− concentration (C0) in the effluent during the wet periods.
3.3.3. Effect of SZ on Effluent Nitrogen Variations
Furthermore, the effect of SZ depth on V1 was analyzed. In this study, SZ depth was fixed at 300 mm, and V1 was relatively stable (10.6 ± 2.5 L). Wang et al. [25] carried out a comparative experiment of bioretention systems with different SZ depths. In terms of the experimental data [25], the relationship between the depth of SZ and V1 was shown in Figure 9. V1 has a significantly positive correlation with the depth of SZ with a Spearman’s correlation (R2 = 0.883, p = 0.000). The reasons can also be explained as the effluent was a mixture of residual water from SZ and rainfall runoff filtered through the soil layer. The larger the SZ depth was, the higher proportion of residual water in the effluent at the early stage of wet periods may be, resulting in larger V1.
Figure 9.
Variations in V1 with the depth of SZ (data source: effluent runoff nitrogen concentration of six bioretention systems with different depths of SZ by Wang et al. [25]). The bars represent the mean value of V1, and the error lines represent the standard deviation of V1.
3.4. Effect of SZ during Dry Period on Nitrogen Removal
Firstly, the nitrogen decrease in SZ during each dry period (RSZ,dry) was calculated (Figure 10 and Table A3). RSZ,dry of NH4+ and NO3− during each dry period was larger than 0, which indicated that nitrogen transformation in SZ during dry periods usually had a positive effect on the removal of NH4+ and NO3−. While RSZ,dry of ON and TN was less than 0 in some events, e.g., Event 2, 3, 8, 9, 12 for ON, Event 2 for TN, Table A3, which indicated that in SZ during dry periods, it might have a negative effect on the removal of ON and TN.
Figure 10.
Contribution of SZ during dry periods to nitrogen species removal. In each box, five “-” represent the upper limit value, upper quartile value, median value, lower quartile value, and lower limit value of the data, respectively. “x” represents the mean value of the data, and “◦” represents the outlier value of the data.
Secondly, the influencing factors of RSZ,dry of NO3− was investigated. The correlation analysis showed that the Spearman’s rank correlation coefficients of RSZ,dry and Cin, and RSZ,dry and SDP were 0.322 (P > 0.05) and 0.612 (P < 0.05), respectively. The partial correlation coefficients of RSZ,dry and Cin after excluding the effect of SDP was as high as 0.623 (P < 0.05); and the partial correlation coefficients of RSZ,dry and SDP after excluding the effect of Cin was 0.676 (P < 0.05). Therefore, the decrease of NO3− in SZ during the dry period of the bioretention system increased with the increase of influent NO3− concentration (Cin) and length of SDP.
Furthermore, the experimental data of the 13 consecutive cycles of wet and dry alternation were used to calculate the contribution rate of nitrogen removal in SZ during dry periods to nitrogen removal of the bioretention system (kSZ). The results indicated that kSZ of NH4+, NO3−, ON, and TN was 10.7%, 89.2%, −12.3%, and 34.7%, respectively (Table A3). This implicated that nitrogen transformation in SZ during dry periods plays a dominant role in the NO3− removal of the bioretention system.
4. Discussion
The reasons for the results of Section 3 can be further discussed in terms of biological mechanisms. The microbial reactions directly related to NO3− in a bioretention system include nitrification, denitrification and biomass assimilation, etc. The SZ formed an anaerobic zone at the bottom of the system, providing favorable conditions for denitrifiers to improve denitrification. However, the additional SZ had no great influence on nitrification and biomass assimilation. Therefore, denitrification was strengthened and the removal rate of NO3− was increased in the bioretention system with SZ. For NH4+, the microbial reactions in a bioretention system include nitrification, mineralization, adsorption, desorption, volatilization, and biomass assimilation, etc. Since SZ had no direct effect on the above reactions, the removal rates of NH4+ were similar in bioretention systems with or without SZ.
During dry periods, the concentration of NO3− in SZ decreased in an inverse S-shape declining trend, and the decease rate of NO3− was slower than that of NH4+. At the beginning of the dry periods, the concentration of dissolved oxygen in SZ was at a high level, which was mainly brought on by the runoff during the wet periods. High dissolved oxygen concentration promoted nitrification but inhibited denitrification, leading to a slow decrease rate of NO3−. Since biochemical reactions required a certain amount of time, under relatively stable microbial conditions, higher initial concentration (Cmax) usually had a longer half-life of Cmax (T50). Therefore, T50 was positively correlated with Cmax.
Furthermore, at the beginning of the wet period, the concentration of NO3− in SZ was low. This was not due to the biochemical reactions during the wet periods, but the biochemical reactions during the antecedent dry periods in SZ. The low reaeration rate of dissolved oxygen and various oxygen consuming reactions made the SZ transform to an anaerobic zone gradually during dry periods. The anaerobic environment and sufficient carbon source facilitated the denitrification, resulting in a decrease in the concentration of NO3− during the dry period and a low concentration of NO3− at the beginning of the next wet period in SZ.
As mentioned in Section 2.3.3, nitrogen migration and transformation may occur in the soil layer or SZ during the wet or dry periods, while the reduction of NO3− in SZ during the dry period contributed the most to the total NO3− removal in the system. On the one hand, denitrification mainly occurs in SZ during the dry periods. On the other hand, most of the NH4+ entering the system during the wet period was adsorbed by the soil layer. The NH4+ adsorbed in the soil might be converted to NO3− through nitrification during dry periods, and it entered SZ and discharged from the bioretention system during the next wet period. This process increased the concentration of NO3− in the effluent, thus reducing the total removal amount of NO3− in the system (and decreasing the denominator in Equation (6)). Due to the combined effect of the two aspects, the contribution of NO3− removal in SZ during dry periods accounted for around 90% of the total NO3− removal in the system.
5. Conclusions
In this study, the importance of the submerged zone during dry periods to nitrogen removal of the bioretention system was investigated based on the experiment in a mesocosm bioretetion system under 17 consecutive cycles of wet and dry alternation with varied rainfall amount, influent nitrogen concentration and ADP. The main results obtained are summarized as follow:
(1) During the dry periods, NH4+ concentrations in SZ showed an exponential declining trend, decreasing by 50% in 12.9 ± 7.3 h, while NO3− concentrations showed an inverse S-shape decline trend, decreasing by 50% in 18.8 ± 6.4 h; the decline rate was mainly affected by the initial nitrogen concentration in SZ during the dry period in this study.
(2) During the wet periods, the effluent NO3− concentration showed an “S” type upward trend with low concentrations at the early stage, quickly rising concentrations in the middle stage and high concentrations in the final stage. The NO3− concentration at the early stage was mainly affected by ADP; while the corresponding volume of the influent at the early stage was mainly affected by the depth of SZ.
(3) The contribution rate of nitrogen decrease in SZ during dry periods to NH4+ and NO3− removal in 13 consecutive cycles of wet and dry alternation accounted for 12% and 92%, respectively. Nitrogen transformation in SZ during dry periods played a dominant role in the NO3− removal of the bioretention system. In addition, the decrease of NO3− in SZ during the dry period of the bioretention system increased with the increase of influent NO3− concentration and the length of the subsequent dry periods.
Author Contributions
Conceptualization, K.H. and H.Q.; methodology, K.H. and H.Q.; investigation, K.H., W.D. and Y.Y.; writing—original draft preparation, K.H.; writing—review and editing, H.Q. and F.W.; funding acquisition, H.Q. All authors have read and agreed to the published version of the manuscript.
Funding
This work was supported by the National Natural Science Foundation of China (41603073) and Shenzhen Science and Technology Development Fund Projects (JCYJ20170818090113750).
Acknowledgments
The Rainwater Resources Laboratory provided experimental conditions for this paper. The research of Chuangsheng Wang and Xueran Li provided some references for this paper. And thanks to the supports from Ming Cheng, Chuangsheng Wang, Xueran Li, Xiaoyue Li, Shuqi Yu, Yanyan Zheng, and Rui Zhang.
Conflicts of Interest
The authors declare no conflict of interest.
Appendix A
Table A1.
Artificial simulation stormwater runoff events.
Table A1.
Artificial simulation stormwater runoff events.
| Event | Date | ADP (day) | Rainfall (mm) | Intensity (mm/h) | Influent (L) | NH4+ (mg/L) | NO3−− (mg/L) | ON (mg/L) | TN (mg/L) |
|---|---|---|---|---|---|---|---|---|---|
| 1 | 07-24 | 2 | 39.5 | 30 | 124 | 1.0 | 3.5 | 0.5 | 5.0 |
| 2 | 07-26 | 2 | 36.0 | 54 | 113 | 1.9 | 4.9 | 0.9 | 7.6 |
| 3 | 07-31 | 5 | 20.4 | 31 | 64.2 | 4.0 | 7.2 | 1.9 | 13.2 |
| 4 | 08-03 | 3 | 20.9 | 31 | 65.6 | 4.4 | 7.1 | 1.4 | 12.9 |
| 5 | 08-04 | 1 | 42.0 | 63 | 132 | 1.0 | 2.8 | 0.1 | 3.8 |
| 6 | 08-07 | 3 | 21.7 | 33 | 68.3 | 4.8 | 8.0 | 2.5 | 15.2 |
| 7 | 08-08 | 1 | 41.0 | 61 | 128.7 | 1.1 | 3.0 | 0.1 | 4.2 |
| 8 | 08-09 | 1 | 39.9 | 60 | 125.4 | 1.1 | 3.4 | 0.1 | 4.5 |
| 9 | 08-12 | 3 | 20.6 | 31 | 64.7 | 4.8 | 7.7 | 2.7 | 15.2 |
| 10 | 08-15 | 3 | 21.1 | 32 | 66.2 | 4.3 | 7.8 | 2.8 | 14.8 |
| 11 | 08-17 | 2 | 21.3 | 39 | 66.8 | 1.3 | 4.5 | 1.1 | 6.9 |
| 12 | 08-22 | 5 | 21.5 | 38 | 67.6 | 4.1 | 6.8 | 3.5 | 14.5 |
| 13 | 08-24 | 2 | 21.3 | 39 | 66.8 | 2.4 | 4.0 | 1.5 | 7.9 |
| 14 * | 08-28 | 2 | 22.1 | 37 | 69.5 | 2.8 | 3.9 | 1.5 | 8.2 |
| 15 * | 09-02 | 5 | 22.1 | 36 | 69.4 | 4.7 | 6.2 | 3.2 | 14.1 |
| 16 * | 09-05 | 3 | 21.9 | 36 | 68.9 | 5.0 | 6.8 | 3.9 | 15.7 |
| 17 * | 09-06 | 1 | 21.8 | 39 | 68.5 | 1.5 | 2.9 | 1.1 | 5.6 |
* Events without SZ.
Table A2.
T50 for NH4+, NO3− and TN in SZ during dry periods.
Table A2.
T50 for NH4+, NO3− and TN in SZ during dry periods.
| Event | T50 (NH4+)/h | T50 (NO3−)/h | T50 (TN)/h |
|---|---|---|---|
| 1 | 6.1 | 12.3 | 15.2 |
| 2 | 7.2 | 17.3 | 18.2 |
| 3 | 7.0 | 11.5 | 16.0 |
| 4 | 8.5 | 16.5 | 9.6 |
| 5 | 15.8 | 16.0 | 4.3 |
| 6 | 9.1 | 21.4 | 14.1 |
| 7 | 16.0 | 16.8 | 19.1 |
| 8 | 10.5 | 11.9 | 11.6 |
| 9 | 7.4 | 16.4 | 14.1 |
| 10 | 13.2 | 20.1 | 18.2 |
| 11 | 13.6 | 33.9 | 33.7 |
| 12 | 21.9 | 26.4 | 27.8 |
| 13 | 31.7 | 24.6 | 26.9 |
| Average | 12.9 ± 7.3 | 18.8 ± 6.4 | 17.6 ± 8.0 |
Table A3.
Contribution of SZ during dry periods to various nitrogen species removal.
Table A3.
Contribution of SZ during dry periods to various nitrogen species removal.
| Event | RSZ,dry (mg) NH4+ | RSZ,dry (mg) NO3− | RSZ,dry (mg) ON | RSZ,dry (mg) TN | Cin (mg/L) NO3− | SDP * (day) |
|---|---|---|---|---|---|---|
| 1 | 2.3 | 76.3 | 18.3 | 96.9 | 3.5 | 2 |
| 2 | 7.6 | 115.1 | −159.6 | −36.8 | 4.9 | 5 |
| 3 | 18.0 | 140.7 | −7.0 | 151.6 | 7.2 | 3 |
| 4 | 16.6 | 69.0 | 5.1 | 90.7 | 7.1 | 1 |
| 5 | 23.0 | 112.9 | 80.3 | 216.1 | 2.8 | 3 |
| 6 | 17.9 | 83.7 | 11.9 | 113.4 | 8.0 | 1 |
| 7 | 18.8 | 59.6 | 12.3 | 90.6 | 3.0 | 1 |
| 8 | 11.2 | 84.1 | −3.7 | 91.5 | 3.4 | 3 |
| 9 | 13.2 | 159.1 | −17.2 | 155.1 | 7.7 | 3 |
| 10 | 28.4 | 113.2 | 4.1 | 145.7 | 7.8 | 2 |
| 11 | 26.9 | 135.8 | 14.4 | 177.0 | 4.5 | 5 |
| 12 | 15.0 | 164.8 | −13.8 | 166.0 | 6.8 | 2 |
| 13 | 15.8 | 103.1 | 64.3 | 183.2 | 4.0 | 1.5 |
| kSZ (%) | 10.7% | 89.2% | −12.3% | 34.7% |
* SDP = subsequent dry period, which meant the days after the rainfall runoff.
References
- Chandrasena, G.I.; Shirdashtzadeh, M.; Li, Y.L.; Deletic, A.; Hathaway, J.M.; McCarthy, D.T. Retention and survival of E. coli in stormwater biofilters: Role of vegetation, rhizosphere microorganisms and antimicrobial filter media. Ecol. Eng. 2017, 102, 166–177. [Google Scholar] [CrossRef]
- Chen, T.; Liu, Y.; Zhang, B.; Sun, L. Plant rhizosphere, soil microenvironment, and functional genes in the nitrogen removal process of bioretention. Environ. Sci. Process. Impacts 2019, 21, 2070–2079. [Google Scholar] [CrossRef] [PubMed]
- Ruan, T.; Li, J.; Li, Y.; Li, H.; Wen, M. Adsorption characteristics of amended bioretention fillers on heavy metals. Desalin. Water Treat. 2019, 140, 259–267. [Google Scholar] [CrossRef]
- Soberg, L.C.; Winston, R.; Viklander, M.; Blecken, G.-T. Dissolved metal adsorption capacities and fractionation in filter materials for use in stormwater bioretention facilities. Water Res. X 2019, 4, 100032. [Google Scholar] [CrossRef] [PubMed]
- Brown, R.A.; Birgand, F.; Hunt, W.F. Analysis of Consecutive Events for Nutrient and Sediment Treatment in Field-Monitored Bioretention Cells. Water Air Soil Pollut. 2013, 224. [Google Scholar] [CrossRef]
- Shrestha, P.; Hurley, S.E.; Wemple, B.C. Effects of different soil media, vegetation, and hydrologic treatments on nutrient and sediment removal in roadside bioretention systems. Ecol. Eng. 2018, 112, 116–131. [Google Scholar] [CrossRef]
- Landsman, M.R.; Davis, A.P. Evaluation of Nutrients and Suspended Solids Removal by Stormwater Control Measures Using High-Flow Media. J. Environ. Eng.-ASCE 2018, 144. [Google Scholar] [CrossRef]
- Hong, E.Y.; Seagren, E.A.; Davis, A.P. Sustainable oil and grease removal from synthetic stormwater runoff using bench-scale bioretention studies. Water Environ. Res. 2006, 78, 141–155. [Google Scholar] [CrossRef]
- Soslashberg, L.C.; Viklander, M.; Blecken, G.T.; Hedstrom, A. Reduction of Escherichia coli, Enterococcus faecalis and Pseudomonas aeruginosa in stormwater bioretention: Effect of drying, temperature and submerged zone. J. Hydrol. X 2019, 3, 26–37. [Google Scholar] [CrossRef]
- Schifman, L.A.; Kasaraneni, V.K.; Sullivan, R.K.; Oyanedel-Craver, V.; Boving, T.B. Bacteria Removal from Stormwater Runoff Using Tree Filters: A Comparison of a Conventional and an Innovative System. Water 2016, 8, 76. [Google Scholar] [CrossRef]
- Goh, H.W.; Lem, K.S.; Azizan, N.A.; Chang, C.K.; Talei, A.; Leow, C.S.; Zakaria, N.A. A review of bioretention components and nutrient removal under different climatesfuture directions for tropics. Environ. Sci. Pollut. Res. 2019, 26, 14904–14919. [Google Scholar] [CrossRef] [PubMed]
- Osman, M.; Yusof, K.W.; Takaijudin, H.; Goh, H.W.; Malek, M.A.; Azizan, N.A.; Ab Ghani, A.; Abdurrasheed, A.S.I. A Review of Nitrogen Removal for Urban Stormwater Runoff in Bioretention System. Sustainability 2019, 11, 415. [Google Scholar] [CrossRef]
- Blecken, G.T.; Zinger, Y.; Muthanna, T.M.; Deletic, A.; Fletcher, T.D.; Viklander, M. The influence of temperature on nutrient treatment efficiency in stormwater biofilter systems. Water Sci. Technol. 2007, 56, 83–91. [Google Scholar] [CrossRef]
- Di Capua, F.; Papirio, S.; Lens, P.N.L.; Esposito, G. Chemolithotrophic denitrification in biofilm reactors. Chem. Eng. J. 2015, 280, 643–657. [Google Scholar] [CrossRef]
- Korom, S.F. Natural denitrification in the saturated zone—A review. Water Resour. Res. 1992, 28, 1657–1668. [Google Scholar] [CrossRef]
- Di Capua, F.; Pirozzi, F.; Lens, P.N.L.; Esposito, G. Electron donors for autotrophic denitrification. Chem. Eng. J. 2019, 362, 922–937. [Google Scholar] [CrossRef]
- Collins, K.A.; Lawrence, T.J.; Stander, E.K.; Jontos, R.J.; Kaushal, S.S.; Newcomer, T.A.; Grimm, N.B.; Ekberg, M.L.C. Opportunities and challenges for managing nitrogen in urban stormwater: A review and synthesis. Ecol. Eng. 2010, 36, 1507–1519. [Google Scholar] [CrossRef]
- Zinger, Y.; Blecken, G.-T.; Fletcher, T.D.; Viklander, M.; Deletic, A. Optimising nitrogen removal in existing stormwater biofilters: Benefits and tradeoffs of a retrofitted saturated zone. Ecol. Eng. 2013, 51, 75–82. [Google Scholar] [CrossRef]
- Lai Yoke, L.; Tan, L.; Wenjing, W.; Yeo, S.K.W.; Say Leong, O. Nitrogen removal in saturated zone with vermicompost as organic carbon source. Sustain. Environ. Res. 2013, 23, 85–92. [Google Scholar]
- Wan, Z.; Li, T.; Shi, Z. A layered bioretention system for inhibiting nitrate and organic matters leaching. Ecol. Eng. 2017, 107, 233–238. [Google Scholar] [CrossRef]
- Zhang, Z.; Rengel, Z.; Liaghati, T.; Antoniette, T.; Meney, K. Influence of plant species and submerged zone with carbon addition on nutrient removal in stormwater biofilter. Ecol. Eng. 2011, 37, 1833–1841. [Google Scholar] [CrossRef]
- Palmer, E.T.; Poor, C.J.; Hinman, C.; Stark, J.D. Nitrate and Phosphate Removal through Enhanced Bioretention Media: Mesocosm Study. Water Environ. Res. 2013, 85, 823–832. [Google Scholar] [CrossRef] [PubMed]
- Manka, B.N.; Hathaway, J.M.; Tirpak, R.A.; He, Q.; Hunt, W.F. Driving forces of effluent nutrient variability in field scale bioretention. Ecol. Eng. 2016, 94, 622–628. [Google Scholar] [CrossRef]
- Braswell, A.S.; Winston, R.J.; Hunt, W.F. Hydrologic and water quality performance of permeable pavement with internal water storage over a clay soil in Durham, North Carolina. J. Environ. Manag. 2018, 224, 277–287. [Google Scholar] [CrossRef] [PubMed]
- Wang, C.; Wang, F.; Qin, H.; Zeng, X.; Li, X.; Yu, S.-L. Effect of Saturated Zone on Nitrogen Removal Processes in Stormwater Bioretention Systems. Water 2018, 10, 162. [Google Scholar] [CrossRef]
- Wang, M.; Zhang, D.; Li, Y.; Hou, Q.; Yu, Y.; Qi, J.; Fu, W.; Dong, J.; Cheng, Y. Effect of a Submerged Zone and Carbon Source on Nutrient and Metal Removal for Stormwater by Bioretention Cells. Water 2018, 10, 629. [Google Scholar] [CrossRef]
- Zinger, Y.; Deletic, A.; Fletcher, T.D. The effect of various intermittent dry-wet cycles on nitrogen removal capacity in biofilters systems. Rainwater Urban Des. 2007, 2007, 1195–1202. [Google Scholar]
- Hatt, B.E.; Deletic, A.; Fletcher, T.D. Stormwater reuse: Designing biofiltration systems for reliable treatment. Water Sci. Technol. 2007, 55, 201–209. [Google Scholar] [CrossRef]
- Lynn, T.J.; Yeh, D.H.; Ergas, S.J. Performance of Denitrifying Stormwater Biofilters Under Intermittent Conditions. Environ. Eng. Sci. 2015, 32, 796–805. [Google Scholar] [CrossRef]
- Berger, A.W.; Valenca, R.; Miao, Y.; Ravi, S.; Mahendra, S.; Mohanty, S.K. Biochar increases nitrate removal capacity of woodchip biofilters during high-intensity rainfall. Water Res. 2019, 165. [Google Scholar] [CrossRef]
- Subramaniam, D.; Mather, P.; Russell, S.; Rajapakse, J. Dynamics of Nitrate-Nitrogen Removal in Experimental Stormwater Biofilters under Intermittent Wetting and Drying. J. Environ. Eng.-ASCE 2016, 142. [Google Scholar] [CrossRef]
- Cho, K.-W.; Yoon, M.-H.; Song, K.-G.; Ahn, K.-H. The effects of antecedent dry days on the nitrogen removal in layered soil infiltration systems for storm run-off control. Environ. Technol. 2011, 32, 747–755. [Google Scholar] [CrossRef] [PubMed]
- Houdeshel, C.D.; Hultine, K.R.; Johnson, N.C.; Porneroy, C.A. Evaluation of three vegetation treatments in bioretention gardens in a semi-arid climate. Landsc. Urban Plan. 2015, 135, 62–72. [Google Scholar] [CrossRef]
- Bratieres, K.; Fletcher, T.D.; Deletic, A.; Zinger, Y. Nutrient and sediment removal by stormwater biofilters: A large-scale design optimisation study. Water Res. 2008, 42, 3930–3940. [Google Scholar] [CrossRef] [PubMed]
- Rycewicz-Borecki, M.; McLean, J.E.; Dupont, R.R. Nitrogen and phosphorus mass balance, retention and uptake in six plant species grown in stormwater bioretention microcosms. Ecol. Eng. 2017, 99, 409–416. [Google Scholar] [CrossRef]
- Goh, H.W.; Zakaria, N.A.; Lau, T.L.; Foo, K.Y.; Chang, C.K.; Leow, C.S. Mesocosm study of enhanced bioretention media in treating nutrient rich stormwater for mixed development area. Urban Water J. 2017, 14, 134–142. [Google Scholar] [CrossRef]
- Afrooz, A.R.M.N.; Boehm, A.B. Effects of submerged zone, media aging, and antecedent dry period on the performance of biochar-amended biofilters in removing fecal indicators and nutrients from natural stormwater. Ecol. Eng. 2017, 102, 320–330. [Google Scholar] [CrossRef]
© 2020 by the authors. Licensee MDPI, Basel, Switzerland. This article is an open access article distributed under the terms and conditions of the Creative Commons Attribution (CC BY) license (http://creativecommons.org/licenses/by/4.0/).









