Next Article in Journal
ARIMA-M: A New Model for Daily Water Consumption Prediction Based on the Autoregressive Integrated Moving Average Model and the Markov Chain Error Correction
Next Article in Special Issue
Role of the Hyporheic Zone in Increasing the Resilience of Mountain Streams Facing Intermittency
Previous Article in Journal
Response of Zooplankton Indices to Anthropogenic Pressure in the Catchment of Field Ponds
Previous Article in Special Issue
Headwaters’ Isotopic Signature as a Tracer of Stream Origins and Climatic Anomalies: Evidence from the Italian Alps in Summer 2018
 
 
Font Type:
Arial Georgia Verdana
Font Size:
Aa Aa Aa
Line Spacing:
Column Width:
Background:
Communication

Water–Air Interface Greenhouse Gas Emissions (CO2, CH4, and N2O) Emissions Were Amplified by Continuous Dams in an Urban River in Qinghai–Tibet Plateau, China

1
School of Geography and Tourism, Shaanxi Normal University, Xi’an 710062, Shaanxi, China
2
Qinghai Key Laboratory of Physical Geography and Environmental Processes, Key Laboratory of Qinghai-Tibet Plateau Surface Process and Ecological Conservation, Ministry of Education, Xining 810000, Qinghai, China
3
Academy of Plateau Science and Sustainability College Geography Science, School of Geography Science, Qinghai Normal University, Xining 810000, Qinghai, China
4
School of Economics and Management, Qinghai Normal University, Xining 810000, Qinghai, China
5
Huangshui National Wetland Park, Xining 810007, Qinghai, China
6
Research Monitoring and Evaluation Centre of Qinghai National Park, Xining 810008, Qinghai, China
*
Author to whom correspondence should be addressed.
Water 2020, 12(3), 759; https://doi.org/10.3390/w12030759
Submission received: 28 October 2019 / Revised: 23 February 2020 / Accepted: 28 February 2020 / Published: 10 March 2020
(This article belongs to the Special Issue Effects of Climate and Environmental Change on Freshwater Ecosystems)

Abstract

Continuous dams may lead to great variation in greenhouse gas (GHG) emissions from rivers, which contribute more uncertainty to regional carbon balance. This study is among the first to determine water–air interface GHGs (CO2, CH4, and N2O) in a river with continuous dams in plateau city. Combined static-chamber gas and meteorological chromatography were utilized to monitor the GHGs emission flux at the water–air interface within four continuous dams in the Huoshaogou River in the Qinghai–Tibet Plateau, China. A variation coefficient (VC) and amplification coefficient (AC) were designed to detect the influence of continuous dams on GHG emissions. Results indicate that (1) cascade dams presented an amplifying effect on GHGs emissions from the water-air interface. The VCs of three types of GHGs are 3.7–6.7 times higher than those of the undammed area. The ACs of three types of GHGs are 2.7–4.1 times larger than environmental factors; (2) the average GHG emission fluxes in some dams are higher than that of the first dam, indicating that an amplifying effect may have been accumulated by some continuous dams; (3) EC, pH, Twater, Tair and TDS are found to be principle influencing factors of GHG emission and light intensity, Twater, TOC (plant), TN (sediment) and TOC (sediment) are found to be associated with accumulative changes in GHG emission.

1. Introduction

It has been reported that there are more than 100 million big and small dams around the world, which are mainly constructed to control flooding, generate electricity, and are visually appealing to human beings [1,2]. Concomitantly, they also alter the hydrology and aquatic ecosystems, thereby having a significant impact on river ecosystems [3,4]. Moreover, with increasing attention to climate change, the change in the carbon sink function of rivers and potential greenhouse effects caused by dams have also become a concern [5,6].
Normally, water–air interfaces of natural rivers release a certain amount of GHGs [7], but due to the violent flow of rivers, the aquatic environment hampers the production of GHGs, and thus the emissions are usually small [8]. However, if a river is dammed, the original habitat is subjected to natural selection, competition, and succession, and the aquatic ecosystem evolves from a "river-type" heterotrophic system dominated by benthic organisms to a "lake-type" autotrophic system dominated by plankton [9]. After damming, the flow rate of a water body reduces, thereby making it easy to accumulate and deposit the organic matter in the water body in the relatively closed and static water environment. The contents of organic matter, N, P, K, and other nutrients increase, and the decomposition process becomes more intense [10]. Furthermore, the water turbidity decreases, and becomes more favorable to the primary productivity of aquatic ecosystems. The nutrient-rich sediment creates an environment facilitating the growth of aquatic- and micro-organisms, and the metabolic rate may be accelerated, resulting in an increase in emissions of GHGs such as CO2 and CH4 [11,12].
To date, the characteristics, laws and influencing factors of GHGs emissions of a single dam in different regions have been well studied [13,14,15,16,17]. However, river GHGs emissions increased by continuous dams have been inadequately investigated. Continuous damming is quite common across the globe, especially in China, such as the 16-stage continuous hydropower station in the upstream of the Yellow River [18]. Unlike a single dam, continuous damming results in the decrease in flux and flow velocity among different dams, resulting in a further decline in the sediment-carrying capacity of the river [19]. The changes in the water body of the upper-stage dam may be transferred to the next dam, which may lead to a cumulative effect targeted by additive, compounding or synergistic processes [20].
The accumulative effect is triggered by collective impacts from two or more sources (types) of the disturbance. It is likely to happen when multiple activities or multiple repeated activities are imposed, and the impact is potential and significant over a long time and a large spatial range [21]. For a river, consecutive dams are actually a series of continuous "disturbance" that impose collective repeated pressure on the river’s environmental and ecological processes [22]. As resultants of many physical, chemical and biological processes, GHGs emission may be significantly amplified by repeated disturbance from continuous dams in a same river. For example, water temperature is easy to accumulate in a certain space–time range, resulting in stronger variation in water environmental factors in the downstream water [23]. What kind of impact will continuous damming endorse on GHGs emissions from river water–air interfaces? Is there a cumulative effect of GHG emissions in continuous dam areas? Will GHG emission flux in continuous dam area be higher than in that of a single dam? Answers to these questions are important to assess the potential impact from continuous dams on global climate changes.
The Qinghai–Tibet Plateau is the origin of seven major rivers in the world. Nearly 1000 reservoirs have been built on the Qinghai–Tibet Plateau, including continuous dams on the Lancang and Yellow Rivers and their tributaries. This study focused on the Huoshaogou River in the Qinghai–Tibet Plateau to determine the effect of continuous dams on GHG emissions. Emission laws of three GHGs (CO2, CH4 and N2O) at the water–gas interface after the construction of the continuous dams were obtained, and the key factors affecting GHG emissions were determined. Subsequently, the amplification effect of continuous dams on GHG emissions was analyzed. Our study emphasizes that more research is needed on GHGs emitted from continuous dams. The next section describes the study area, Section 3 the methods, and Section 4 the results. Section 5 discusses and interprets the results, and Section 6 presents the conclusions.

2. Study Sites

The Huoshaogou Basin is situated in the southern bank of the Huangshui River in western Xining City, China. The Huoshaogou River is a first-order tributary of the Huangshui River and a second-order tributary of the Yellow River. The basin stretches from 36°28′15″ to 36°39′01″ N and from 101°33′20″ to 101°43′55″ E (Figure 1). Since 2010, a comprehensive control project of the Huoshaogou basin focussed primarily on urban flood control. Four continuous dams were successively constructed over a distance of about 2.5 km in downstream river. The height difference between every two dams is 4–9 m. The elevations of the lowest and the highest dams are 2243 and 2304 m, respectively. Primary river water sources are upstream drainage water, agricultural return water and treated municipal sewage, which was discharged from a regulatable sluice in the very beginning of this river segment. Dam construction produces a significant impact on the hydrology of rivers. The average water depth changed from 0.3–0.9 to 0.5–2.0 m. The average width of the river section reduced from 8.9 to 20.7 m. Average flow velocity of the river also decreased drastically. When the water level of the river was greater than the dam body, the water overflowed to the next dam; when it was below the dam, the flow velocity was zero. With the increase in sediment and accumulation of nutrients, aquatic plants have increased significantly, and the number of benthic animals and fish has been sharply increased. The upstream undammed area was selected as a control area, and the five sampling sites were sequentially named. (1th–5th) from downstream to upstream. During monitoring periods, the atmospheric pressure fluctuated between 776.0 and 777.6 Pa, and the average temperatures in summer and autumn were at 20.3–30.8 and 9.6–17.3 °C, respectively.

3. Data and Methods

3.1. Experimental Apparatus

The diffusion flux of CO2, CH4, and N2O at the water–air interface was measured using static-chamber-gas chromatography, which is a simple and convenient method suitable for small-scale studies [24]. The gas samples were purchased with a floating static chamber consisting of a sampling chamber and foam floating frame. The sampling chamber was a PVC cylinder (30 cm in diameter and 40 cm in height), wrapped in aluminum foil to reduce the temperature variation inside the chamber resulting from solar radiation. The floating frame was fabricated with foam plates fixed with ironware. The sampling chamber was attached to a temperature sensor and gas pipe through a small hole at the top. The gas pipe was connected to a three-way valve with a 50 mL syringe for sampling.

3.2. Sampling Procedures

From June to November 2018 and 2019, the sampling was done on a sunny day in each month to avoid the influence of precipitation on the water surface. The CO2, CH4, and N2O emissions at the water–air interface were monitored every 3 h from 09:00 to 21:00. Before the sampling, the static chamber was inverted in a ventilated place to mix the gas in the chamber. During sampling, the chamber was placed on the water surface with its opening immersed to isolate the chamber air. Pre-experiment results have showed that a 15 min interval is suitable for the current research. The sampling was performed at 0, 15, 30, and 45 min. Chambers was sampled synchronously in sampling sites, taking three parallel samples. Before the sampling, we mixed the gas in the sampling pipe and chamber using gas suction and injection with a syringe. Then, gas samples were acquired with sampling bags of aluminum foil composite film and sent to our laboratory within 12 h for analyses of CO2, CH4, and N2O. During the sampling, the chamber air temperature, atmospheric temperature, surface water temperature, pH, salinity, and other environmental parameters were measured simultaneously. The concentrations of CO2, CH4, and N2O in a 30 mL gas sample were determined with a meteorological Agilent 7890B chromatograph. The N2O concentration was determined at 350 °C with an electron capture detector. CO2 and CH4 concentrations were determined at 250 °C with a flame ion detector.

3.3. Calculation of CO2, CH4, and N2O Flux

GHG flux is the change in GHG concentration per unit area per unit time. The emission of gas from water, i.e.; the “source”, to the atmosphere is positive. The absorption of gas from the atmosphere to water, i.e.; the “sink”, is negative. GHG flux was calculated using the following equation [25]
F = K × F 1 × F 2 × V F 3 × S
where F represents the gas flux (mg·(m2·h)); K is concentration variation ratio(Δc/Δt) of GHGs; F1 is the unit conversion coefficient between ppm and μg·m3 (1798.45 for CO2; 655.47 for CH4; 1798.56 for N2O); F2 is the unit conversion coefficient between minutes and hours (F2 = 60); F3 is the unit conversion coefficient between μg and mg (F3 = 1000); V (m3) is the air volume in the floating chamber; and S (m2) is the above-water surface area of the floating chamber. After the gas emission flux wascomputed, the data were plotted and analyzed with Origin 9.1, SPSS, and Microsoft Excel software.

3.4. Calculation of Variation Coefficient and Accumulative Coefficient

In order to analyze the impact of dam construction on the river environment indicators and GHGs emission, we constructed an index of variation coefficient, which is determined by the ratio of the relevant factors in the dam area to the relevant factors in the undammed area. If the index is close to 1, it means that the dam construction has no great impact on the river environment; if the index is significantly smaller or greater than 1, it means that the dam construction will significantly change the relevant environmental indicators. At the same time, comparing the standard deviation of ACs of GHGs and environmental factors, we can find the robustness of the two sets of indicators to dam construction. The variation coefficient (VC) was used to compare the impact of continuous dams on environmental indicators and GHG flux. It was calculated by Equation (2)
VC = Value dam Value control
where Valuedam represents average value of an environmental indicator or a GHG flux in dam area; Valuedam represents average value of an environmental indicator or a GHG flux in the control area. By comparing VCs of environmental indicators with VCs of GHGs flux, one can understand how much changes the dams bring to river ecosystems.
The VC can intuitively characterize the impact of dam construction on river environmental factors and GHGs emission, but it can be unable to determine whether continuous dams endorse cumulative effect on river GHGs emissions or not. To this end, we constructed an amplification coefficient (AC) to judge the cumulative effect from continuous dams, which is depicted in Equation (3)
AC = ( G i + 1 G i ) / G i ( G 1 G 0 ) / G 0 ( i = 1 n )
where n is the number of continuous dams; G-flux of GHGs. G1- GHGs flux of 1th dam area, G0- GHGs flux undammed area. (G1-G0) / G0 reflects the variation rate of GHG emission flux induced by a single dam. If the ACi > 1, it indicates that the ith continuous dam generates a higher amplification effect on GHG emission than a single dam does, then it can be speculated that amplification effect may be accumulated in this dam. If ACi ≤ 1, it means that the ith dam endorses no cumulative effect on the GHGs emissions. If ( i = 1 n AC i ) / n > 1, it indicates continuous dams endorse a holistic cumulative effect on GHGs emissions; Contrarily, if ( i = i n AC i ) / n ≤ 1,it indicates that continuous dams endorse no holistic cumulative effect on GHGs emissions.

3.5. Influencing Factors of GHG Flux Variation and Accumulative Effect

Numerous factors, such as hydrology, water quality, and meteorology, have direct or indirect effects on water–air interface GHGs emission [26]. To analyze the dominant influencing factors of GHGs in this study, Principal Component Analysis (PCA)was performed on 16 related factors related to the GHGs’ flux. A total of 16 environmental factors from more than 150 sampling processes (more than 450 monitoring data) were used in the analysis. The selected environmental factors included (1) meteorological factors at the sampling sites, light intensity, air temperature(Tair), water temperature (Twater) and wind speed; (2) water environmental indicators, namely Potential of Hydrogen (pH), dissolved oxygen (DO), chemical oxygen demand (COD), electrical conductivity (EC), oxidation–reduction potential (ORP), pH (hydrogen ion concentration), salinity, and total dissolved solids (TOD), total dissolved solids (TDS), total nitrogen (TN); total organic carbon (TOC), total phosphorus (TP); and (3) indicators of submerged vegetation and sediment contents: total organic carbon, N content (%), and P content (%).
The ACs may be used to influence factors that contribute to an accumulative effect. If the ACs of influencing factors are consistent with the ACs of GHGs, it can be speculated that these indicators may be related to an accumulative effect. Based on this premise, we first calculated ACs the relevant factors, and then calculated Pearsons correlation coefficient of the two sets of ACs to determine whether potential factors may contribute to a cumulative effect of GHGs’ emission flux. The calculation of the ACs’ of influencing factors was similar to Equation (2).

4. Results

4.1. Dams Lead to a Sharply Increase in GHG Emission Flux

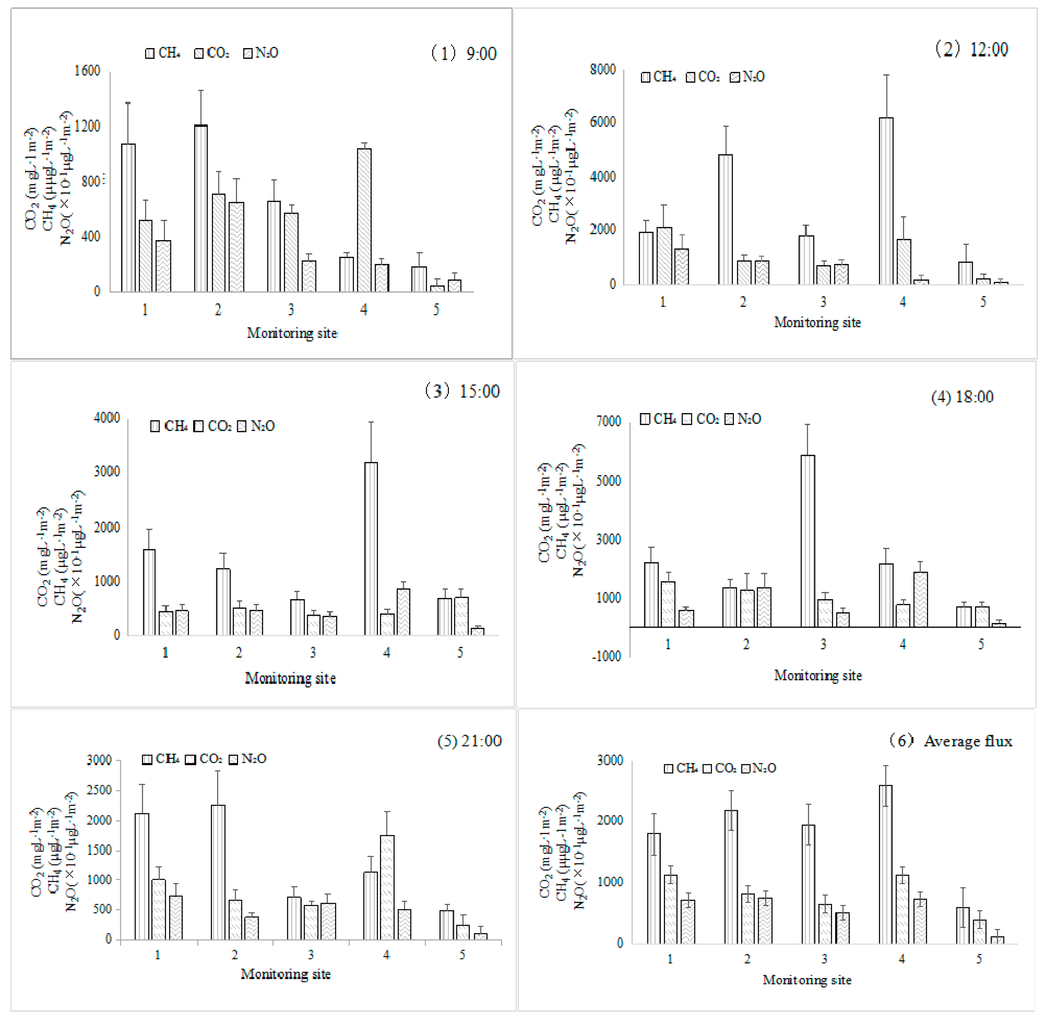
Figure 2 shows the daily changes of the surface GHG emission flux in the dam areas (1–4) and undammed areas (5). It can be found that the GHG emission flux of the water body in the dam area is significantly higher than that in the control area (upstream undammed area water body) (p < 0.01). For example, the average emission flux of three types of GHGs in the dam area is CO2 926.3 ± 346.46 mg·m−2·d−1, CH4 2125.4 ± 593.77 μg·m−2·d−1 and 667.7 ± 243.58μg·m−2·d−1, respectively. Correspondingly, GHGs emissions in the undammed area are 462.4 ± 122.64 mg·m−2·d−1, 250.5 ±112.64 μg·m−2·d−1 and 100.3 ± 82.64 μg·m−2·d−1, respectively. One can also observe large variation ranges in both spatial and temporal scales. The largest flux could be ten times the smallest flux. Spatially, GHGs emission flux at 12:00 and 15:00 is usually higher than those in the morning and evening, which may be related to the higher water temperature in the daytime [23]. Spatially, GHG emission flux at the 4th monitoring point (first-level dam) is higher than those of other monitoring sites, which about 84% of peak values appeared in this site. Another interesting finding is that coefficient of variation in the dam area (an average of 0.88) is higher than that of the upstream undammed area (an average of 0.42), indicating a wide variation range in GHGs emission flux after dam construction. In short, dam construction will significantly increase the flux of GHGs emission, and gives birth to a wider range of GHG emission flux.

4.2. GHGs React More Robust to Continuous Dams than Environmental Factors

Table 1 shows the analysis results of the VAs of GHGs and environmental factors in the Huoshaogou River. One can easily point out that, with the exception of DO, continuous dams endorse an amplification effect on both GHGs and environmental factors. Due to the barrier effect of the dam, water flow velocity is slowed down by 95%, DO is reduced by 30%, and the concentration of nutrients in the water body and sediment are increased by 50% and 120%, respectively. As one of the most important outputs of various environmental factors, GHGs exhibit more robust qualities in continuous dams. The average VCs of three GHGs are 3.78, 4.60 and 6.73, respectively, in contrast to an average of 1.65 of environmental factors. From a seasonal point of view, VC in summer (1.71) is slightly higher than autumn (1.59) with some exceptions, such as total phosphorus and total organic carbon in vegetation. With respect to the average size of VCs, the order is as sediment > vegetation > water quality > hydrology.
The spatial distribution of ACs is illustrated in Figure 3. The first stage dam is used as the starting area for water environment change, and produced the largest VC to GHGs flux. No obvious regular variation pattern was seen in the spatial distribution of the smallest VC. The lowest VCCO2 appeared in the third dam area, while the lowest VCCH4 and VCN2O appeared in the second and third dams, respectively. In summary, dam construction in the Huoshaogou river presented an amplification effect on GHGs flux, which is more robust than most detecting environmental factors.

4.3. Cumulative Effect from Continuous Dam Was Detected in Some Monitoring Periods

Figure 4 displays the spatial distribution of ACs of GHGs in four dams. The average ACs of CO2, CH4 and N2O in the 2th–4th dam are 0.22, 0.42, and 0.39, respectively, while the average ACs of three GHGs in the 1st dam are 1.94, 3.44, and 6.29, respectively. In general, ACs of Gradethe 2th–4th dam are significantly smaller than that of the 1th dam, indicating that an overall cumulative effect has not taken place in the current study. However, it should be noted that eight monitoring samples (accounting for about 11% of the total number of monitoring samples) exhibit greater CVs (with an average value of 1.78) than those of the 1th dam, indicating that a cumulative effect may appear in some monitoring periods. The number distribution of the above eight points is CO2 (2), CH4 (3) and N2O (3), respectively. Spatially, over 64% of the occurrence appears at the second-level dam; no obvious time distribution pattern for these points, which seems randomly distributed throughout monitoring periods. In the current study, although a holistic cumulative effect of cascade dams was no detected, a partial cumulative effect of GHGs emissions appeared in some cascade dams.

5. Discussion

5.1. Principal Influencing Factors of GHG Emissions

The results of principal component analysis were listed in Table 2. There are many factors affecting the GHGs emissions of the plateau river [27]. The first principal components are pH, TDS and ORP. GHG emissions are positively correlated with pH and TDS, and are negatively correlated with ORP [28]. On the rivers of the Qinghai–Tibet Plateau, the alkaline water quality means an anaerobic environment, which stimulates the production of CH4 [29]; similarly, the lower ORP may correspond an alkaline water that produces fewer CO2 and N2O [30]. When the dam area is rich in water and an anaerobic environment is formed, the degree of flooding has a negative correlation with the ORP, so a suitable environment will be formed for the generation of CH4 [31]. Besides, a higher TDS usually indicates more particulate organic matter, which is also conducive to the formation of a nutrient environment that increases GHG emissions [32].
The second principal components are TOC (vegetation), N (vegetation) and TP (sediment). Vegetation is more likely to affect GHGs emissions through its own photosynthesis and respiration. GHGs flux is more likely to be plant-species-specific [33,34]. The third principal components are water temperature and TOC (sediment). An increase in water temperature will lead to an increase in microbial activity as well as CH4 production [35,36]. Furthermore, the total N content in sediments was affected by the retention effect of dams, implying that N2O emissions in the dam area were stimulated by N input [37,38]. The fifth principal components are light intensity and wind speed. These components were related to the climate of the ecosystem and thus reflected the influence on GHGs by weather condition [39]. In short, there are many influencing factors that affect GHG emissions at the water–air interface in dam areas, and there are also mutual offset and synergies among different factors [40]. Long-term, in-depth analysis and research should be carried out in accordance with regional water environment characteristics.

5.2. Potential Influencing Factors of Accumulative Changes

The Pearson coefficients are given in Table 3. If environmental conditions are suitable, the GHGs emission flux on the continuous dam water surface may be higher than those on a single dam. We found that some influencing factors may stimulate GHGs emissions under appropriate conditions [41]. For example, the variation in ORP, water temperature, and total organic carbon is consistent with CO2 emissions. Applicable temperature conditions may stimulate CO2 emissions more than other factors [42]. TOCsediments and water temperature factors are positively correlated with the ACs of CH4. Rising water temperature may reduce the dissolved oxygen content of the water body, thereby reducing the opportunity for methane to be oxidized [12]; meanwhile, rising content in TOCsediments and water temperature may stimulate microbial activities in the water body and accelerate the release of CH4 [43]. For N2O, light and sediment organic carbon content may be environmental factors that inspire cumulative effects [44]. GHGs are an important outlet for changes in many environmental factors of rivers [28]. They are the result of the comprehensive changes of aquatic organisms and aquatic environments. Under certain environmental conditions, a variety of environmental factors work together to stimulate GHGs emissions, which in turn produce the cumulative effects of cascade dams.

6. Conclusions

This study focused on the effects of continuous damming on the emissions of GHGs of the Huoshaogou River in the Qinghai–Tibet Plateau. The spatio-temporal characteristics of GHG emissions from the continuous dammed river were studied through two years’ field monitoring. VCs and ACs were developed to fulfill the above research purpose. The main factors influencing GHG emissions were extracted with respect to hydrology and water quality, and other characteristics. Specific conclusions are as follows:
(1) Continuous dams presented an amplifying effect on the water–air interface GHG emissions in the Huoshaogou river, which reacted more fierce than most of environmental factors;
(2) The average GHG emission flux in some dams is higher than that of the first dam, indicating that a cumulative effect may appear in some continuous dams in the Huoshaogou River;
(3) The influencing factors of GHGs emission are quite different from those of the accumulation effect, indicating the complexity of the GHGs of cascade dams.
It is worth noting that there are some particularities and limitations in this study. First, the study area is located in an urban region, and the exogenous input of N and P may contribute to an abnormal increase in GHG emissions. Second, the results from rivers and dams are quite specific to their particular location, and the current conclusions are far from enough to indicate the other continuous damming rivers. Third, the monitoring sites and time were limited to give a more overall assessment of GHGs. Despite these limitations, this study highlights the necessity of further research on continuous dams with respect to its theoretical and practical significance for future river management in the region. The amplification effect of continuous dams on GHG emissions on a larger scale needs to be determined, and the driving mechanism of this accumulative effect should be investigated in future research.

Author Contributions

Data curation, X.W., Y.T. and Z.Z.; Writing—original draft, D.Y. and X.M.; Writing—review & editing, J.M. All authors have read and agreed to the published version of the manuscript.

Funding

Natural Science Basic Research Project in Qinghai Province: 2018-ZJ-712 National Natural Science Foundation of China: 51669028 Chinese Academy of Sciences Western Youth Scholar Project A and Xining Science and Technology Bureau: 2019-M-10 The Second Round of Comprehensive Investigation and Research on the Qinghai-Tibet Plateau: 2019QZKK0606-4.

Acknowledgments

We thank reviewers for their constructive comments and suggestions to improve the early version of this paper. We also thank X.Jin, Y.X.Jin and Y.P. Chen for their assistance in field work.

Conflicts of Interest

The authors declare no conflict of interests.

References

  1. Lehner, B.; Liermann, C.R.; Revenga, C.; Vörösmarty, C.; Fekete, B.; Magome, J.; Nilsson, C.; Robertson, J.C.; Rödel, R.; Sindorf, N.; et al. High-resolution mapping of the world’s reservoirs and dams for sustainable river-flow management. Front. Ecol. Environ. 2011, 9, 494–502. [Google Scholar] [CrossRef]
  2. Moran, E.F.; Lopez, M.C.; Moore, N.; Müller, N.; Hyndman, D.W. Sustainable hydropower in the 21st century. Proc. Natl. Acad. Sci. USA 2018, 115, 11891–11898. [Google Scholar] [CrossRef] [PubMed]
  3. Mosier, A.R.; Halvorson, A.D.; Reule, C.A.; Liu, X.J. Net global warming potential and GHGs intensity in irrigated cropping systems in northeastern Colorado. J. Environ. Qual. 2006, 35, 1584–1598. [Google Scholar] [CrossRef] [PubMed]
  4. Mendonça, R.F.; Kosten, S.; Sobek, S.; Barros, N.; Cole, J.J.; Tranvik, L.; Roland, F. Hydroelectric carbon sequestration. Nat. Geosci. 2012, 5, 838–840. [Google Scholar] [CrossRef]
  5. Kemenes, A.; Forsberg, B.R.; Melack, J.M. Methane release below a tropical hydroelectric dam. Geophys. Res. Let. 2007, 34, 1–5. [Google Scholar] [CrossRef]
  6. Räsänen, T.A.; Varis, O.; Scherer, L.; Kummu, M. GHGs emissions of hydropower in the Mekong River Basin. Environ. Res. Lett. 2018, 13, 034030. [Google Scholar] [CrossRef]
  7. Song, C.; Gardner, K.H.; Klein, S.J.W.; Souza, S.P.; Mo, V.V. Cradle-to-grave GHGs emissions from dams in the United States of America. Renew. Sust. Energ. Rev. 2018, 90, 945–956. [Google Scholar] [CrossRef]
  8. St. Louis, V.L.; Kelly, C.A.; Duchemin, É.; Rudd, J.W.M.; Rosenberg, D.M. Reservoir surfaces as sources of greenhouse gases to the atmosphere: A global estimate: Reservoirs are sources of greenhouse gases to the atmosphere, and their surface areas have increased to the point where they should be included in global inventories of anthropogenic emissions of greenhouse gases. BioScience 2000, 50, 766–775. [Google Scholar] [CrossRef]
  9. Andrew, R.; Balch, E.; Wollheim, W.M. Spatial Patterns of GHGs Across an Urbanization Gradient in a Suburban River Network. AGUFM 2017, H23I-1792. [Google Scholar]
  10. Santos, M.A.; Damazio, J.M.; Rogerio, J.P.; Amorima, M.A.; Medeiros, M.A.; Abreu, L.S.; Maceira, E.P.; Melo, A.C.; Rosa, M.P. Estimates of GHG emissions by hydroelectric reservoirs: The Brazilian case. Energy 2017, 133, 99–107. [Google Scholar] [CrossRef]
  11. Liikanen, A.; Murtoniemi, T.; Tanskanen, H.; Väisänen, T.; Martikainen, P.J. Effects of temperature and oxygen availability on greenhouse gas and nutrient dynamics in sediment of a eutrophic mid-boreal lake. Biogeochemistry 2002, 59, 269–286. [Google Scholar] [CrossRef]
  12. Liu, X.; Li, S.; Wang, Z.; Han, B.; Li, J.; Wang, F.; Bai, L. Nitrous oxide (N2O) emissions from a mesotrophic reservoir on the Wujiang River, southwest China. Acta Geochim. 2017, 36, 667–679. [Google Scholar] [CrossRef]
  13. Soumis, N.; Duchemin, É.; Canuel, R.; Marc, L. GHGs emissions from reservoirs of the western United States. Glob. Biogeochem. Cycles 2004, 18. [Google Scholar] [CrossRef]
  14. Abril, G.; Guérin, F.; Richard, S.; Robert, D.; Corinne, G.L.; Philippe, G.; Alain, T.; Louis, V.; Marco, A.D.S.; Bohdan, M. Carbon dioxide and methane emissions and the carbon budget of a 10-year old tropical reservoir (Petit Saut, French Guiana). Glob. Biogeochem. Cycles 2005, 19, 1–16. [Google Scholar] [CrossRef]
  15. Fearnside, P.M. Greenhouse gas emissions from a hydroelectric reservoir (Brazil’s Tucuruí Dam) and the energy policy implications. Water Air Soil Poll. 2002, 133, 69–96. [Google Scholar] [CrossRef]
  16. Hidrovo, A.B.; Uche, J.; Martínez-Gracia, A. Accounting for GHG net reservoir emissions of hydropower in Ecuador. Renew. Energy 2017, 112, 209–221. [Google Scholar] [CrossRef]
  17. Barros, N.; Cole, J.J.; Tranvik, L.J.; Prairie, Y.T.; Bastviken, D.; Huszar, V.L.; Roland, F. Carbon emission from hydroelectric reservoirs linked to reservoir age and latitude. Nat. Geosci. 2011, 4, 593–596. [Google Scholar] [CrossRef]
  18. Wang, H.; Wu, X.; Bi, N.; Li, S.; Yuan, P.; Wang, A.; Syvitski, J.P.M.; Saito, Y.; Yang, Z.S.; Liu, S.M.; et al. Impacts of the dam-orientated water-sediment regulation scheme on the lower reaches and delta of the Yellow River (Huanghe): A review . Glob. Planet. Chang. 2017, 157, 93–113. [Google Scholar] [CrossRef]
  19. Wu, N.; Tang, T.; Fu, X.; Jiang, W.; Li, F.; Zhou, S.; Fohrer, N. Impacts of cascade run-of-river dams on benthic diatoms in the Xiangxi River, China. Aquat. Sci. 2010, 72, 117–125. [Google Scholar] [CrossRef]
  20. Liu, Q.; Liu, S.; Zhao, H.; Deng, L.; Wang, C.; Zhao, Q.; Dong, S. The phosphorus speciations in the sediments up-and down-stream of cascade dams along the middle Lancang River. Chemosphere 2015, 120, 653–659. [Google Scholar] [CrossRef]
  21. Cocklin, C.; Parker, S.; Hay, J. Notes on cumulative environmental change I: Concepts and issues. J. Environ. Manag. 1992, 35, 31–49. [Google Scholar] [CrossRef]
  22. Li, J.; Dong, S.; Liu, S.; Yang, Z.; Peng, M.; Zhao, C. Effects of cascading hydropower dams on the composition, biomass and biological integrity of phytoplankton assemblages in the middle Lancang-Mekong River. Ecol. Eng. 2013, 60, 316–324. [Google Scholar] [CrossRef]
  23. Ouyang, W.; Hao, F.; Song, K.; Zhang, X. Cascade dam-induced hydrological disturbance and environmental impact in the upper stream of the Yellow River. Water. Res. Manag. 2011, 25, 913–927. [Google Scholar] [CrossRef]
  24. Matthews, C.J.; St Louis, V.L.; Hesslein, R.H. Comparison of three techniques used to measure diffusive gas exchange from sheltered aquatic surfaces. Environ. Sci. Technol. 2003, 37, 772. [Google Scholar] [CrossRef]
  25. Tremblay, A.; Varfalvy, L.; Garneau, M.; Roehm, C. Greenhouse Gas Emission–Fluxes and Processes: Hydroelectric Reservoirs and Natural Environments; Springer: Berlin/Heidelberg, Germany, 2005. [Google Scholar]
  26. Maucieri, C.; Barbera, A.C.; Vymazal, J.; Borin, M. A review on the main affecting factors of greenhouse gases emission in constructed wetlands. Agric. For. Meteorol. 2017, 236, 175–193. [Google Scholar] [CrossRef]
  27. Qu, B.; Aho, K.S.; Li, C.; Kang, S.; Sillanpää, M.; Yan, F.; Raymond, P.A. Greenhouse gases emissions in rivers of the Tibetan Plateau. Sci. Rep. 2017, 7, 1–8. [Google Scholar] [CrossRef]
  28. Demarty, M.; Bastien, J. GHG emissions from hydroelectric reservoirs in tropical and equatorial regions: Review of 20 years of CH4 emission measurements. Energy Policy 2011, 39, 4197–4206. [Google Scholar] [CrossRef]
  29. He, B.; He, J.; Wang, J.; Li, J.; Wang, F. Characteristics of GHG flux from water-air interface along a reclaimed water intake area of the Chaobai River in Shunyi, Beijing. Atmos. Environ. 2018, 172, 102–108. [Google Scholar] [CrossRef]
  30. Wang, F.; Wang, B.; Liu, C.Q.; Wang, Y.; Guan, J.; Liu, X.; Yu, Y. Carbon dioxide emission from surface water in cascade reservoirs–river system on the Maotiao River, southwest of China. Atmos. Environ. 2011, 45, 3827–3834. [Google Scholar] [CrossRef]
  31. Teodoru, C.R.; Nyoni, F.C.; Borges, A.V.; Darchambeau, F.; Nyambe, I.; Bouillon, S. Dynamics of greenhouse gases (CO2, CH4, N2O) along the Zambezi River and major tributaries, and their importance in the riverine carbon budget. Biogeosciences 2015, 12, 2431–2453. [Google Scholar] [CrossRef]
  32. Stow, C.A.; Walker, J.T.; Cardoch, L.; Spence, P.; Geron, C. N2O emissions from streams in the Neuse River watershed, North Carolina. Environ. Sci. Technol. 2005, 39, 6999–7004. [Google Scholar] [CrossRef] [PubMed]
  33. Maltais-Landry, G.; Maranger, R.; Brisson, J.; Chazarenc, F. Greenhouse gas production and efficiency of planted and artificially aerated constructed wetlands. Environ. Pollut. 2009, 157, 748–754. [Google Scholar] [CrossRef] [PubMed]
  34. Mander, Ü.; Lohmus, K.; Teiter, S.; Nurk, K.; Mauring, T.; Augustin, J. Gaseous fluxes from subsurface flow constructed wetlands for waste water treatment. J. Environ. Sci. Heal. 2005, 40, 1215–1226. [Google Scholar] [CrossRef] [PubMed]
  35. Thu, N.; An, P.; Amateurishness, B.; Chaos, L.; Sun, L.; Microchip, M.; Memoriam, Y. Effect of plant harvest on methane emission from two constructed wetlands designed for the treatment of rosewater. J. Environ. Manag. 2007, 85, 936–943. [Google Scholar] [CrossRef]
  36. Cole, J.J.; Caraco, N.F. Emissions of nitrous oxide (N2O) from a tidal, freshwater river, the Hudson River, New York. Environ. Sci. Technol. 2001, 35, 991–996. [Google Scholar] [CrossRef]
  37. Deemer, B.R.; Harrison, J.A.; Whitling, E.W. Microbial dinitrogen and nitrous oxide production in a small eutrophic reservoir: An in situ approach to quantifying hypolimnetic process rates. Limnol. Oceanogr. 2011, 56, 1189–1199. [Google Scholar] [CrossRef]
  38. Milton, M.H.; Morell, J.M.; Corredor, J.E. Increase of nitrous oxide flux to the atmosphere upon nitrogen addition to red mangroves sediments. Mar. Pollut. Bull. 2002, 44, 992–996. [Google Scholar] [CrossRef]
  39. Dijkstra, F.A.; Prior, S.A.; Runion, G.B.; Torbert, H.A.; Tian, H.; Lu, C.; Venterea, R.T. Effects of elevated carbon dioxide and increased temperatureon methane and nitrous oxide fluxes: Evidence from field experiments. Front. Ecol. Environ. 2012, 10, 520–527. [Google Scholar] [CrossRef]
  40. Gagnon, L.; Van de Vate, J.F. Greenhouse gas emissions from hydropower: The state of research in 1996. Energy Policy 1997, 25, 7–13. [Google Scholar] [CrossRef]
  41. Prusty, S.; Mohini, M.; Kundu, S.S.; Kumar, A.; Datt, C. Methane emissions from river buffaloes fed on green fodders in relation to the nutriet intake and digestibility. Trop. Anim. Health Prod. 2014, 46, 65–70. [Google Scholar] [CrossRef]
  42. Tremblay, A.; Therrien, J.; Hamlin, B.; Wichmann, E.; LeDrew, L.J. GHG emissions from boreal reservoirs and natural aquatic ecosystems. In Greenhouse Gas Emissions—Fluxes and Processes; Springer: Berlin/Heidelberg, Germany, 2005; pp. 209–232. [Google Scholar]
  43. Whitman, W.B. Microbial Production and Consumption of Greenhouse Gases: Methane, Nitrogen Oxides, and Halomethanes; Rogers, J.E., Ed.; American Society for Microbiology: Washington, DC, USA, 1991; pp. 39–55. [Google Scholar]
  44. Haggard, B.E.; Storm, D.E.; Stanley, E.H. Effect of a point source input on stream nutrient retention. J. Am. Water Resour. Assoc. 2006, 37, 1291–1299. [Google Scholar] [CrossRef]
Figure 1. Location of the Huoshaogou River in the Qinghai Province, China.
Figure 1. Location of the Huoshaogou River in the Qinghai Province, China.
Water 12 00759 g001
Figure 2. Average greenhouse gas (GHG) flux in the water–air interface of the Huoshaogou River.
Figure 2. Average greenhouse gas (GHG) flux in the water–air interface of the Huoshaogou River.
Water 12 00759 g002
Figure 3. Spatial distribution of variation coefficient (VCs) of three GHGs in four monitoring sites in Huoshaogou River.
Figure 3. Spatial distribution of variation coefficient (VCs) of three GHGs in four monitoring sites in Huoshaogou River.
Water 12 00759 g003
Figure 4. Amplification coefficient (ACs) of GHGs emission flux at four dams in the Huoshaogou River.
Figure 4. Amplification coefficient (ACs) of GHGs emission flux at four dams in the Huoshaogou River.
Water 12 00759 g004
Table 1. ACs of environmental indicators and GHGs in the Huoshaogou River.
Table 1. ACs of environmental indicators and GHGs in the Huoshaogou River.
IndicatorsSecondary IndicatorSummerAutumnAverage
HydrologypH0.981.211.095
DO0.760.720.74
Water temperature1.041.091.06
Conductivity0.910.890.90
Water qualityTN1.241.161.70
TP1.071.871.47
TOC1.421.571.49
CODmn1.431.291.36
VegetationTN2.032.192.11
TP1.531.931.73
TOC1.741.951.84
SedimentsTN1.491.391.44
TP2.051.851.95
TOC2.072.032.05
GHGsCO24.62.963.78
CH45.823.374.59
N2O8.445.016.72
Table 2. Principle component matrix for influencing factors of GHGs emissions.
Table 2. Principle component matrix for influencing factors of GHGs emissions.
No.Influenceing IndicatorPrincipal Component
12345
1Light intensity0.1200.0070.1750.2500.856
2Wind speed0.591−0.0270.205−0.010−0.500
3Water temperature0.6370.1140.651−0.179−0.055
4Air Temperature0.6650.1570.504−0.0080.080
5DO−0.099−0.327−0.4120.3970.095
6EC0.708−0.314−0.4950.2760.007
7ORP−0.787−0.103−0.4170.074−0.048
8pH0.7370.238−0.218−0.045−0.349
9Salinity0.566−0.1240.360−0.0660.382
10TDS0.718−0.293−0.5030.2350.026
11TOC (vegetation)−0.0260.883−0.1820.170−0.008
12N (vegetation)0.0810.903−0.0700.417−0.007
13P (plant)0.4650.617−0.2620.4420.074
14TN (sediment)−0.310−0.1380.5230.748−0.189
15TP (sediment)−0.4770.6670.014−0.4500.081
16TOC (sediment)−0.513−0.1430.5860.569−0.196
Table 3. Pearson’s correlation coefficient between GHG fluxes and influencing factors.
Table 3. Pearson’s correlation coefficient between GHG fluxes and influencing factors.
No.Influencing IndicatorGHGs
CO2CH4N2O
1Light intensity−0.124−0.1530.393 *
2DO0.1470.099−0.332 *
3EC0.305−0.3000.249
4ORP−0.383 *0.3800.213
5pH−0.303−0.333 *0.090
6Salinity−0.401−0.341−0.252
7Wind speed0.409−0.097−0.531 **
8Water temperature0.612 **0.609 **0.012
9Air Temperature0.1420.309 *0.113
10TDS−0.1320.3150.018
11TOC (plant)0.441 **0.141−0.252
12N (plant)0.309−0.097−0.531 **
13P (plant)0.012−0.0140.212
14TN (sediment)−0.153−0.0470.513 **
15TP (sediment)−0.099−0.2140.018
16TOC (sediment)0.334 *0.713 **0.013
Note: * p < 0.05, ** p < 0.01.

Share and Cite

MDPI and ACS Style

Yang, D.; Mao, X.; Wei, X.; Tao, Y.; Zhang, Z.; Ma, J. Water–Air Interface Greenhouse Gas Emissions (CO2, CH4, and N2O) Emissions Were Amplified by Continuous Dams in an Urban River in Qinghai–Tibet Plateau, China. Water 2020, 12, 759. https://doi.org/10.3390/w12030759

AMA Style

Yang D, Mao X, Wei X, Tao Y, Zhang Z, Ma J. Water–Air Interface Greenhouse Gas Emissions (CO2, CH4, and N2O) Emissions Were Amplified by Continuous Dams in an Urban River in Qinghai–Tibet Plateau, China. Water. 2020; 12(3):759. https://doi.org/10.3390/w12030759

Chicago/Turabian Style

Yang, Dengxing, Xufeng Mao, Xiaoyan Wei, Yaqing Tao, Zhifa Zhang, and Jianhai Ma. 2020. "Water–Air Interface Greenhouse Gas Emissions (CO2, CH4, and N2O) Emissions Were Amplified by Continuous Dams in an Urban River in Qinghai–Tibet Plateau, China" Water 12, no. 3: 759. https://doi.org/10.3390/w12030759

APA Style

Yang, D., Mao, X., Wei, X., Tao, Y., Zhang, Z., & Ma, J. (2020). Water–Air Interface Greenhouse Gas Emissions (CO2, CH4, and N2O) Emissions Were Amplified by Continuous Dams in an Urban River in Qinghai–Tibet Plateau, China. Water, 12(3), 759. https://doi.org/10.3390/w12030759

Note that from the first issue of 2016, this journal uses article numbers instead of page numbers. See further details here.

Article Metrics

Back to TopTop