Rainfall Event–Duration Thresholds for Landslide Occurrences in China
Abstract
1. Introduction
2. Data and Methods
2.1. Landslide Inventory
2.2. Rainfall Data
2.3. Inventory Methodology
- (1)
- Collect information of landslides, including time, latitude and longitude of events.
- (2)
- Screen the event that satisfies the criteria of spatio-temporal resolution.
- (3)
- Define the rainfall event that is separated by a no-rainfall period of no less than 24 h, which means the period between two rainfall events is more than 24 h.
- (4)
- Find the grid of the rainfall data whose center is closest to the location of the landslide event.
- (5)
- Get the E and D of the landslide events and plot them as dots in the log10-log10 graph.
- (6)
- Calculate the thresholds (including E–D and EMAP–D thresholds) by using the quantile regression.
- (7)
- Compare with thresholds in other published literatures and validate the rainfall thresholds.
3. Results
4. Discussions
5. Conclusions
Author Contributions
Funding
Acknowledgments
Conflicts of Interest
References
- Kirschbaum, D.; Stanley, T.; Zhou, Y. Spatial and temporal analysis of a global landslide catalog. Geomorphology 2015, 249, 4–15. [Google Scholar] [CrossRef]
- Lin, Q.; Wang, Y. Spatial and temporal analysis of a fatal landslide inventory in China from 1950 to 2016. Landslides 2018, 15, 2357–2372. [Google Scholar] [CrossRef]
- Fischer, E.M.; Knutti, R. Anthropogenic contribution to global occurrence of heavy-precipitation and high-temperature extremes. Nat. Clim. Chang. 2015, 5, 560–564. [Google Scholar] [CrossRef]
- Crozier, M.J. Deciphering the effect of climate change on landslide activity: A review. Geomorphology 2010, 124, 260–267. [Google Scholar] [CrossRef]
- Gariano, S.L.; Guzzetti, F. Landslides in a changing climate. Earth Sci. Rev. 2016, 162, 227–252. [Google Scholar] [CrossRef]
- Saez, J.L.; Corona, C.; Stoffel, M.; Berger, F. Climate change increases frequency of shallow spring landslides in the French Alps. Geology 2013, 41, 619–622. [Google Scholar] [CrossRef]
- Campbell, R.H. Soil slopes, debris flows, and rainstorms in the Santa Monica Mountains and vicinity, southern California. U.S. U.S. Government Printing Office: Washington, DC, USA, 1975; Geological Survey professional paper volume 851, pp. 1–51. [Google Scholar]
- Baum, R.L.; Godt, J.W. Early warning of rainfall-induced shallow landslides and debris flows in the USA. Landslides 2009, 7, 259–272. [Google Scholar] [CrossRef]
- Devolo, G.; Kleivane, I. Landslide Early Warning System and Web Tools for Real-Time Scenarios and for Distribution of Warning Messages in Norway. Engineering Geology for Society and Territory; Graziella, D., Ingeborg, K., Monica, S., Nils-Kristian, O., Ragnar, E., Erik, J., Hervé, C., Eds.; Springer: Berlin, Germany, 2015; Volume 2, pp. 625–629. [Google Scholar]
- Osanai, N.; Shimizu, T.; Kuramoto, K.; Kojima, S.; Noro, T. Japanese early-warning for debris flows and slope failures using rainfall indices with Radial Basis Function Network. Landslides 2010, 7, 325–338. [Google Scholar] [CrossRef]
- Wang, J.; Wang, H.J.; Hong, Y. A Realtime Monitoring and Dynamical Forecasting System for Floods and Landslides in China; China Meteorological Press: Beijing, China, 2016; pp. 111–152. [Google Scholar]
- He, S.S.; Wang, J.; Wang, H.J. Projection of landslides in China during the 21st century under the RCP8.5 Scenario. J. Meteor. Res. 2019, 33, 138–148. [Google Scholar] [CrossRef]
- Huang, J.; Ju, N.P.; Liao, Y.J. Determination of rainfall thresholds for shallow landslides by a probabilistic and empirical method. Nat. Hazards Earth Syst. Sci. 2015, 15, 2715–2723. [Google Scholar] [CrossRef]
- Zhou, W.; Tang, C. Rainfall thresholds for debris flow initiation in the Wenchuan earthquake-stricken area, southwestern China. Landslides 2014, 11, 877–887. [Google Scholar] [CrossRef]
- Li, W.; Liu, C.; Scaioni, M.; Sun, W.; Chen, Y.; Yao, D.; Chen, S.; Hong, Y.; Zhang, K.; Cheng, G. Spatio-temporal analysis and simulation on shallow rainfall-induced landslides in China using landslide susceptibility dynamics and rainfall I-D thresholds. Sci. China Earth Sci. 2017, 60, 720–732. [Google Scholar] [CrossRef]
- Iverson, R.M. Landslide triggering by rain infiltration. Water Resour. Res. 2000, 36, 1897–1910. [Google Scholar] [CrossRef]
- Chung, M.-C.; Tan, C.-H.; Chen, C.-H. Local rainfall thresholds for forecasting landslide occurrence: Taipingshan landslide triggered by Typhoon Saola. Landslides 2016, 14, 19–33. [Google Scholar] [CrossRef]
- Wu, S.-J.; Hsiao, Y.-H.; Yeh, K.-C.; Yang, S.-H. A probabilistic model for evaluating the reliability of rainfall thresholds for shallow landslides based on uncertainties in rainfall characteristics and soil properties. Nat. Hazards 2017, 87, 469–513. [Google Scholar] [CrossRef]
- Posner, A.J.; Georgakakos, K.P. Soil moisture and precipitation thresholds for real-time landslide prediction in El Salvador. Landslides 2015, 12, 1179–1196. [Google Scholar] [CrossRef]
- Guzzetti, F.; Peruccacci, S.; Rossi, M.; Stark, C.P. Rainfall thresholds for the initiation of landslides in central and southern Europe. Meteorol. Atmos. Phys. 2007, 98, 239–267. [Google Scholar] [CrossRef]
- Giannecchini, R.; Yuri, G.; Michele, B. Rainfall Intensity-Duration Thresholds for Triggering Shallow Landslides in the Eastern Ligurian Riviera (Italy); Engineering Geology for Society and Territory; Graziella, D., Ingeborg, K., Monica, S., Nils-Kristian, O., Ragnar, E., Erik, J., Hervé, C., Eds.; Springer: Berlin, Germany, 2015; Volume 2, pp. 1581–1584. [Google Scholar]
- Segoni, S.; Rosi, A.; Rossi, G.; Catani, F.; Casagli, N. Analysing the relationship between rainfalls and landslides to define a mosaic of triggering thresholds for regional-scale warning systems. Nat. Hazards Earth Syst. Sci. 2014, 14, 2637–2648. [Google Scholar] [CrossRef]
- Rossi, M.; Luciani, S.; Valigi, D.; Kirschbaum, D.; Brunetti, M.T.; Peruccacci, S.; Guzzetti, F. Statistical approaches for the definition of landslide rainfall thresholds and their uncertainty using rain gauge and satellite data. Geomorphology 2017, 285, 16–27. [Google Scholar] [CrossRef]
- Saito, H.; Nakayama, D.; Matsuyama, H. Relationship between the initiation of a shallow landslide and rainfall intensity—Duration thresholds in Japan. Geomorphology 2010, 118, 167–175. [Google Scholar] [CrossRef]
- Guzzetti, F.; Rossi, M.P.; Stark, C.P. The rainfall intensity-duration control of shallow landslides and debris flows: An update. Landslides 2008, 5, 3–17. [Google Scholar] [CrossRef]
- Lehner, B.; Verdin, K.; Jarvis, A. HydroSHEDS Technical Documentation; User’s Guide; Lehner, B., Verdin, K., Jarvis, A., Eds.; World Wildlife Fund US: Washington, DC, USA, 2006. [Google Scholar]
- Shen, Y.; Pan, Y.; Yu, J.; Zhao, P.; Zhou, Z. Quality assessment of hourly merged precipitation product over China. Trans. Atmos. Sci. 2013, 36, 37–46. [Google Scholar]
- Joyce, R.J.; Janowiak, J.E.; Arkin, P.A.; Xie, P. CMORPH: A method that produces global precipitation estimates from passive microwave and infrared data at high spatial and temporal resolution. J. Hydrometeorol. 2004, 5, 487–503. [Google Scholar] [CrossRef]
- Wu, J.; Gao, X. A gridded daily observation dataset over China region and comparison with the other datasets. Chin. J. Geophys. 2013, 56, 1102–1111. [Google Scholar]
- Segoni, S.; Piciullo, L.; Gariano, S.L. A review of the recent literature on rainfall thresholds for landslide occurrence. Landslides 2018, 15, 1483–1501. [Google Scholar] [CrossRef]
- Chen, S.; Hu, J.J.; Zhang, A.; Min, C.; Huang, C.Y.; Liang, Z.Q. Performance of near real-time Global Satellite Mapping of Precipitation estimates during heavy precipitation events over northern China. Theor. Appl. Climatol. 2019, 135, 877–891. [Google Scholar] [CrossRef]
- Li, C.M.; Tang, G.Q.; Hong, Y. Cross-evaluation of ground-based, multi-satellite and reanalysis precipitation products: Applicability of the Triple Collocation method across Mainland China. J. Hydrol. 2018, 562, 71–83. [Google Scholar] [CrossRef]
- Wei, G.H.; Lu, H.S.; Crow, W.T.; Zhu, Y.H.; Wang, J.Q.; Su, J.B. Comprehensive evaluation of GPM-IMERG, CMORPH, and TMPA precipitation products with gauged rainfall over mainland China. Adv. Meteorol. 2018, 2018, 1–18. [Google Scholar] [CrossRef]
- Xu, Y.; Gao, X.; Shen, Y.; Xu, C.; Shi, Y.; Giorgi, F. A daily temperature dataset over China and its application in validating a RCM simulation. Adv. Atmos. Sci. 2009, 26, 763–772. [Google Scholar] [CrossRef]
- Aleotti, P. A warning system for rainfall-induced shallow failures. Eng. Geol. 2004, 73, 247–265. [Google Scholar] [CrossRef]
- Giannecchini, R. Rainfall triggering soil slips in the southern Apuan Alps (Tuscany, Italy). Adv. Geosci. 2005, 2, 21–24. [Google Scholar] [CrossRef]
- Brunetti, M.T.; Peruccacci, S.; Rossi, M.; Luciani, S.; Valigi, D.; Guzzetti, F. Rainfall thresholds for the possible occurrence of landslides in Italy. Nat. Hazards Earth Syst. Sci. 2010, 10, 447–458. [Google Scholar] [CrossRef]
- Koenker, R.; Hallock, K.F. Quantile regression. J. Econ. Perspect. 2001, 15, 143–156. [Google Scholar] [CrossRef]
- Team, R.C. R: A Language and Environment for Statistical Computing; User’s Guide; R Core Team: R Foundation for Statistical Computing: Vienna, Austria, 2017. [Google Scholar]
- Koenker, R. Quantile Regression in R: A Vignette. In Quantile Regression (Econometric Society Monographs); Cambridge University Press: Cambridge, UK, 2005; pp. 295–316. [Google Scholar] [CrossRef]
- Ding, Y.; Wang, Z. A study of rainy seasons in China. Meteorol. Atmos. Phys. 2008, 100, 121–138. [Google Scholar]
- Pradhan, A.M.S.; Lee, S.R.; Kim, Y.T. A shallow slide prediction model combining rainfall threshold warnings and shallow slide susceptibility in Busan, Korea. Landslides 2018, 16, 647–659. [Google Scholar] [CrossRef]
- Caine, N. The rainfall intensity: Duration control of shallow landslides and debris flows. Geografiska annaler. Ser. A Phys. Geogr. 1980, 62, 23–27. [Google Scholar]
- Hong, Y.; Robert, F. Adle; J.G. Evaluation of the potential of NASA multi-satellite precipitation analysis in global landslide hazard assessment. Geophys. Res. Lett. 2007, 33, L22402. [Google Scholar] [CrossRef]
- Innes, J.L. Debris flows. Prog. Phys. Geogr. 1983, 7, 469–501. [Google Scholar] [CrossRef]
- Jibson, R.W. Debris flows in southern Puerto Rico. Spec. Pap. Geol. Soc. Am. 1989, 236, 29–56. [Google Scholar]
- Ma, T.; Li, C.; Lu, Z.; Bao, Q. Rainfall intensity–Duration thresholds for the initiation of landslides in Zhejiang Province, China. Geomorphology 2015, 245, 193–206. [Google Scholar] [CrossRef]
- Chien-Yuan, C.; Tien-Chien, C.; Fan-Chieh, Y.; Wen-Hui, Y.; Chun-Chieh, T. Rainfall duration and debris-Flow initiated studies for real-time monitoring. Environ. Geol. 2005, 47, 715–724. [Google Scholar] [CrossRef]
- Chen, H.; Wang, J. Regression analyses for the minimum intensity-duration conditions of continuous rainfall for mudflows triggering in Yan’an, northern Shaanxi (China). Bull. Eng. Geol. Environ. 2014, 73, 917–928. [Google Scholar] [CrossRef]
- Dahal, R.K.; Hasegawa, S. Representative rainfall thresholds for landslides in the Nepal Himalaya. Geomorphology 2008, 100, 429–443. [Google Scholar] [CrossRef]







| Year | NE | Spatial Accuracy | Temporal Accuracy | Landslide Types | ||||||
|---|---|---|---|---|---|---|---|---|---|---|
| S1 | S2 | S3 | S4 | T1 | T2 | L | DF | RF | ||
| 1998 | 24 | 0 | 1 | 1 | 22 | 24 | 0 | 24 | 0 | 0 |
| 1999 | 19 | 0 | 0 | 0 | 19 | 19 | 0 | 19 | 0 | 0 |
| 2000 | 17 | 0 | 1 | 2 | 14 | 17 | 0 | 17 | 0 | 0 |
| 2001 | 7 | 0 | 2 | 0 | 5 | 7 | 0 | 7 | 0 | 0 |
| 2002 | 4 | 0 | 0 | 1 | 3 | 1 | 3 | 3 | 1 | 0 |
| 2003 | 35 | 5 | 13 | 12 | 5 | 35 | 0 | 35 | 0 | 0 |
| 2004 | 10 | 0 | 2 | 2 | 6 | 10 | 0 | 10 | 0 | 0 |
| 2005 | 11 | 0 | 1 | 2 | 8 | 8 | 3 | 9 | 2 | 0 |
| 2006 | 15 | 0 | 0 | 0 | 15 | 7 | 8 | 7 | 6 | 2 |
| 2007 | 65 | 10 | 13 | 10 | 32 | 57 | 8 | 45 | 17 | 3 |
| 2008 | 73 | 7 | 19 | 16 | 31 | 73 | 0 | 61 | 11 | 1 |
| 2009 | 80 | 1 | 5 | 26 | 48 | 59 | 21 | 60 | 14 | 6 |
| 2010 | 73 | 0 | 11 | 38 | 24 | 57 | 16 | 63 | 6 | 4 |
| 2011 | 39 | 0 | 0 | 25 | 14 | 34 | 5 | 28 | 6 | 5 |
| 2012 | 49 | 1 | 5 | 21 | 22 | 49 | 0 | 23 | 13 | 13 |
| 2013 | 58 | 0 | 6 | 38 | 14 | 58 | 0 | 36 | 5 | 17 |
| 2014 | 40 | 0 | 3 | 34 | 3 | 40 | 0 | 20 | 3 | 17 |
| 2015 | 29 | 0 | 1 | 22 | 6 | 29 | 0 | 14 | 5 | 10 |
| 2016 | 75 | 0 | 4 | 34 | 37 | 29 | 46 | 62 | 13 | 0 |
| 2017 | 48 | 0 | 0 | 2 | 46 | 10 | 38 | 38 | 10 | 0 |
| Total | 771 | 24 | 87 | 286 | 374 | 623 | 148 | 581 | 112 | 78 |
| Percent | 100 | 3.1% | 11.3% | 37.0% | 48.6% | 80.8% | 19.2% | 75.4% | 14.5% | 10.1% |
| Season | Rainy Season | Non-Rainy Season | ||||||
|---|---|---|---|---|---|---|---|---|
| Duration | D < 48 h | D ≥ 48 h | D < 48 h | D ≥ 48 h | ||||
| Coefficient | α | γ | α | γ | α | γ | α | γ |
| Merged-5% | 0.49 | 0.47 | 0.01 | 1.48 | 0.45 | 0.68 | 0.01 | 1.61 |
| 10% | 0.53 | 0.69 | 0.03 | 1.33 | 0.38 | 0.78 | 0.06 | 1.20 |
| 20% | 0.98 | 0.70 | 0.11 | 1.22 | 0.65 | 0.67 | 0.28 | 0.96 |
| 30% | 1.63 | 0.62 | 0.09 | 1.30 | 0.62 | 0.80 | 0.12 | 1.17 |
| 40% | 1.41 | 0.75 | 0.46 | 1.03 | 0.72 | 0.90 | 0.19 | 1.13 |
| 50% | 1.69 | 0.79 | 0.88 | 0.93 | 1.24 | 0.79 | 0.29 | 1.07 |
| 60% | 2.50 | 0.76 | 1.81 | 0.83 | 1.10 | 0.96 | 0.36 | 1.05 |
| 70% | 3.42 | 0.73 | 2.71 | 0.77 | 2.26 | 0.83 | 0.42 | 1.10 |
| 80% | 3.77 | 0.82 | 2.83 | 0.78 | 4.98 | 0.66 | 0.19 | 1.33 |
| 90% | 4.07 | 1.00 | 18.94 | 0.46 | 4.36 | 0.85 | 6.81 | 0.67 |
| CMORPH-5% | 0.53 | 0.53 | 0.28 | 0.96 | 1.20 | 0.07 | 0.00 | 1.94 |
| 10% | 0.55 | 0.61 | 0.32 | 1.00 | 1.20 | 0.30 | 0.16 | 1.01 |
| 20% | 0.78 | 0.65 | 1.55 | 0.71 | 1.20 | 0.49 | 0.58 | 0.78 |
| 30% | 1.10 | 0.67 | 1.71 | 0.72 | 1.20 | 0.68 | 0.12 | 1.22 |
| 40% | 1.54 | 0.66 | 0.59 | 1.02 | 1.26 | 0.73 | 0.74 | 0.92 |
| 50% | 1.88 | 0.72 | 2.22 | 0.79 | 1.61 | 0.73 | 1.13 | 0.85 |
| 60% | 3.10 | 0.62 | 5.02 | 0.65 | 2.06 | 0.76 | 1.61 | 0.79 |
| 70% | 5.00 | 0.59 | 13.93 | 0.48 | 2.14 | 0.78 | 4.92 | 0.60 |
| 80% | 6.73 | 0.62 | 12.76 | 0.56 | 2.47 | 0.84 | 6.54 | 0.55 |
| 90% | 9.52 | 0.67 | 37.00 | 0.38 | 2.41 | 0.99 | 11.73 | 0.46 |
| Season | Rainy Season | Non-Rainy Season | ||||||
|---|---|---|---|---|---|---|---|---|
| Duration | D < 48 h | D ≥ 48 h | Duration | D < 48 h | ||||
| Coefficient | α | γ | α | γ | α | γ | α | γ |
| Merged-5% | 0.00026 | 0.68 | 0.00002 | 1.38 | 0.00060 | 0.45 | 0.00001 | 1.51 |
| 10% | 0.00054 | 0.76 | 0.00003 | 1.37 | 0.00075 | 0.38 | 0.00005 | 1.20 |
| 20% | 0.00051 | 0.87 | 0.00010 | 1.20 | 0.00064 | 0.60 | 0.00034 | 0.87 |
| 30% | 0.00166 | 0.60 | 0.00034 | 1.02 | 0.00077 | 0.64 | 0.00029 | 0.99 |
| 40% | 0.00213 | 0.64 | 0.00149 | 0.76 | 0.00066 | 0.92 | 0.00027 | 1.01 |
| 50% | 0.00489 | 0.46 | 0.00178 | 0.77 | 0.00058 | 1.09 | 0.00034 | 0.98 |
| 60% | 0.00486 | 0.54 | 0.00292 | 0.70 | 0.00244 | 0.70 | 0.00023 | 1.09 |
| 70% | 0.00808 | 0.44 | 0.00499 | 0.61 | 0.00274 | 0.69 | 0.00064 | 0.91 |
| 80% | 0.00774 | 0.58 | 0.01156 | 0.48 | 0.00273 | 0.74 | 0.00044 | 1.07 |
| 90% | 0.02439 | 0.32 | 0.02960 | 0.32 | 0.00234 | 0.96 | 0.00245 | 0.80 |
| CMORPH-5% | 0.00044 | 0.63 | 0.00025 | 0.97 | 0.00036 | 0.67 | 0.00000 | 1.66 |
| 10% | 0.00071 | 0.56 | 0.00046 | 0.87 | 0.00069 | 0.65 | 0.00004 | 1.23 |
| 20% | 0.00093 | 0.60 | 0.00068 | 0.84 | 0.00077 | 0.66 | 0.00028 | 0.90 |
| 30% | 0.00136 | 0.62 | 0.00147 | 0.73 | 0.00158 | 0.51 | 0.00005 | 1.41 |
| 40% | 0.00211 | 0.58 | 0.00191 | 0.72 | 0.00161 | 0.61 | 0.00007 | 1.36 |
| 50% | 0.00439 | 0.41 | 0.00770 | 0.47 | 0.00191 | 0.62 | 0.00020 | 1.17 |
| 60% | 0.00414 | 0.54 | 0.00623 | 0.56 | 0.00191 | 0.67 | 0.00028 | 1.11 |
| 70% | 0.00570 | 0.54 | 0.01022 | 0.50 | 0.00193 | 0.73 | 0.00085 | 0.93 |
| 80% | 0.01165 | 0.42 | 0.07585 | 0.12 | 0.00191 | 0.91 | 0.00129 | 0.86 |
| 90% | 0.02423 | 0.27 | 0.12788 | 0.06 | 0.00305 | 0.83 | 0.00136 | 0.85 |
| No. | Reference | Equation | Range(h) | Area |
|---|---|---|---|---|
| 1 | (Caine, 1980) [43] | I = 14.84D−0.39 | 0.167 < D < 240 | world |
| 2 | (Innes, 1983) [45] | E = 4.93D0.504 | 0.1 < D < 1000 | world |
| 3 | (Guzzetti et al., 2008) [25] | I = 2.20D−0.44 | 0.1 < D < 1000 | world |
| 3-1 | (Guzzetti et al., 2008) [25] | I = 2.28D−0.2 | 0.1 < D < 48 | world |
| 3-2 | (Guzzetti et al., 2008) [25] | I = 0.48D−0.11 | 48 ≤ D < 1000 | world |
| 4 | (Hong et al., 2007) [44] | I = 12.45D−0.42 | 0.1 < D < 500 | world |
| 5 | (Jibson, 1989) [46] | I = 39.71D−0.62 | 0.5 < D < 12 | Japan |
| 6 | (Li et al., 2017) [15] | I = 85.72D−1.15 | 3 < D < 45 | China |
| 7 | (Chien-Yuan et al., 2005) [48] | I = 115.47D−0.8 | 1 < D < 400 | Taiwan |
| 8 | (Jibson, 1989) [46] | I = 41.83D−0.85 | 1 < D < 12 | Hong Kong |
| 9 | (Ma et al., 2015) [47] | I = 52.86D−0.45 | 1 ≤ D ≤ 24 | Zhejiang, China |
| 10 | (Chen and Wang, 2014) [49] | I = 0.448D−0.08654 | 24 < D < 336 | Yanan, Shanxi, China |
| (Dahal et al., 2008) [50] | I = 73.90D−0.79 | 5 < D | Himalaya, Nepal | |
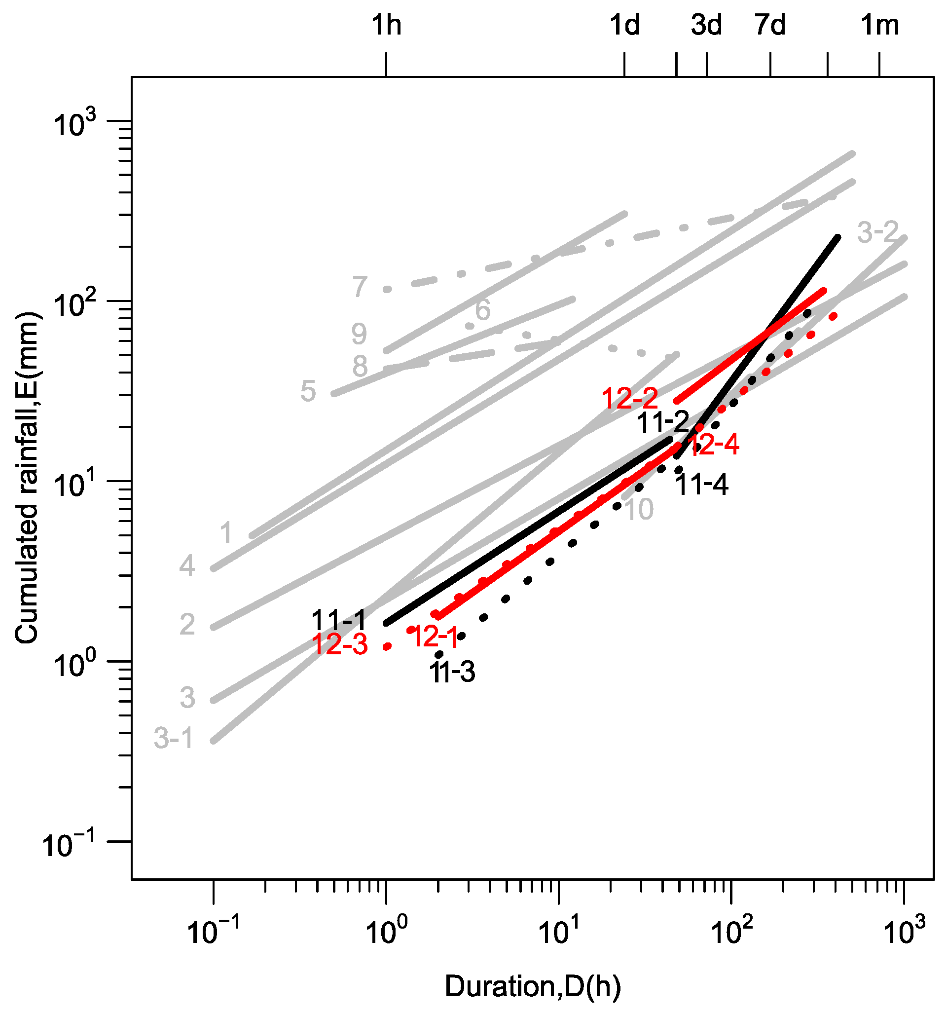
| 11-1 | This work | E = 0.53D0.7 | 1 ≤ D ≤ 44 | China, rainy season, merge rainfall |
| 11-2 | This work | E = 0.032D1.33 | 48 ≤ D ≤ 412 | China, rainy season, merge rainfall |
| 11-3 | This work | E = 0.45D0.68 | 2 ≤ D ≤ 44 | China, non-rainy season, merge rainfall |
| 11-4 | This work | E = 0.064D1.18 | 49 ≤ D ≤ 291 | China, non-rainy season, merge rainfall |
| 12-1 | This work | E = 0.86D0.48 | 1 ≤ D ≤ 47 | China, rainy season, CMORPH rainfall |
| 12-2 | This work | E = 0.18D1.07 | 48 ≤ D ≤ 602 | China, rainy season, CMORPH rainfall |
| 12-3 | This work | E = 0.48D0.65 | 1 ≤ D ≤ 47 | China, non-rainy season, CMORPH rainfall |
| 12-4 | This work | E = 0.59D0.84 | 48 ≤ D ≤ 248 | China, non-rainy season, CMORPH rainfall |
| No. | Reference | Equation | Range(h) | Area |
|---|---|---|---|---|
| 1 | (Guzzetti et al., 2008) [25] | IMAP = 0.0016D−0.4 | 0.1 < D < 1000 | world |
| 1-1 | (Guzzetti et al., 2008) [25] | IMAP = 0.0017D−0.13 | 0.1 < D < 48 | world |
| 1-2 | (Guzzetti et al., 2008) [25] | IMAP = 0.0005D−0.13 | 48 ≤ D < 1000 | world |
| 2 | (Saito et al., 2010) [24] | IMAP = 0.0007D−0.21 | 3 < D < 357 | Japan |
| 3 | (Jibson, 1989) [46] | IMAP = 0.02D−0.68 | 1 < D < 12 | Hong Kong |
| 4-1 | this work | EMAP = 0.00053D0.78 | 1 ≤ D ≤ 44 | China, rainy season, Merge rainfall |
| 4-2 | this work | EMAP = 0.00005D1.28 | 48 ≤ D ≤ 412 | China, rainy season, Merge rainfall |
| 4-3 | this work | EMAP = 0.00074D0.4 | 2 ≤ D ≤ 44 | China, non-rainy season, Merge rainfall |
| 4-4 | this work | EMAP = 0.000054D1.2 | 49 ≤ D ≤ 291 | China, non-rainy season, Merge rainfall |
| 5-1 | this work | EMAP = 0.00057D0.6 | 1 ≤ D ≤ 47 | China, rainy season, CMORPH rainfall |
| 5-2 | this work | EMAP = 0.00024D1 | 48 ≤ D ≤ 602 | China, rainy season, CMORPH rainfall |
| 5-3 | this work | EMAP = 0.00089D0.41 | 1 ≤ D ≤ 47 | China, non-rainy season, CMORPH rainfall |
| 5-4 | this work | EMAP = 0.00017D1.05 | 48 ≤ D ≤ 248 | China, non-rainy season, CMORPH rainfall |
© 2020 by the authors. Licensee MDPI, Basel, Switzerland. This article is an open access article distributed under the terms and conditions of the Creative Commons Attribution (CC BY) license (http://creativecommons.org/licenses/by/4.0/).
Share and Cite
He, S.; Wang, J.; Liu, S. Rainfall Event–Duration Thresholds for Landslide Occurrences in China. Water 2020, 12, 494. https://doi.org/10.3390/w12020494
He S, Wang J, Liu S. Rainfall Event–Duration Thresholds for Landslide Occurrences in China. Water. 2020; 12(2):494. https://doi.org/10.3390/w12020494
Chicago/Turabian StyleHe, Shuangshuang, Jun Wang, and Songnan Liu. 2020. "Rainfall Event–Duration Thresholds for Landslide Occurrences in China" Water 12, no. 2: 494. https://doi.org/10.3390/w12020494
APA StyleHe, S., Wang, J., & Liu, S. (2020). Rainfall Event–Duration Thresholds for Landslide Occurrences in China. Water, 12(2), 494. https://doi.org/10.3390/w12020494
