Forcing for a Cascaded Lattice Boltzmann Shallow Water Model
Abstract
1. Introduction
2. Methods
2.1. Cascaded Model
2.2. Evaluation of the Force Term
2.3. Schemes for the Force Term Implementation
3. Results
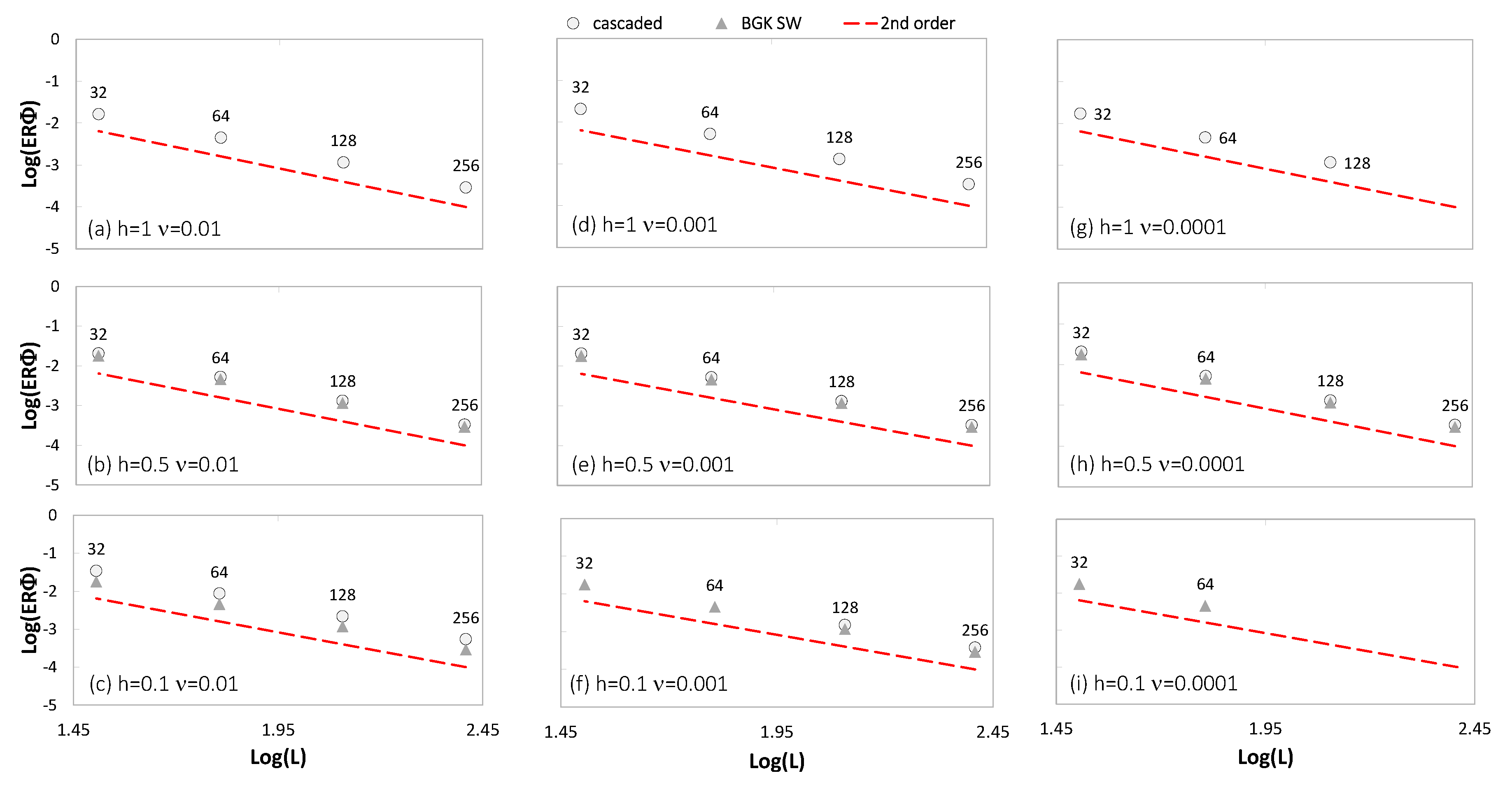
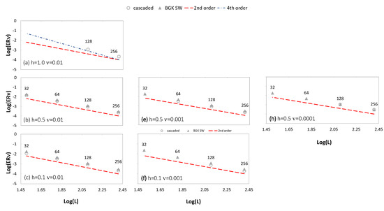
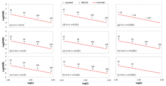
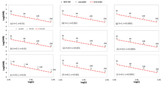
3.1. Convergence and Stability of the CaLB Model
3.2. Flow over a Bump
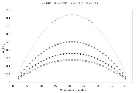
3.3. Poiseuille Flow with External Force
3.4. Flow Over a Two-Dimensional Bump
4. Conclusions
Author Contributions
Funding
Conflicts of Interest
Appendix A. Convergence Study of CaLB Model




References
- Venturi, S.; Di Francesco, S.; Geier, M.; Manciola, P. A new collision operator for lattice Boltzmann shallow water model: A convergence and stability study. Adv. Water Resour. 2020, 135, 103474. [Google Scholar] [CrossRef]
- Toro, E. Shock-Capturing Methods for Free-Surface Shallow Flows; John Wiley: New York, NY, USA, 2001. [Google Scholar]
- Zhou, J.G. Lattice Boltzmann Methods for Shallow Water Flows; Springer: Berlin, Germany, 2004. [Google Scholar]
- Prestininzi, P.; Sciortino, G.; Rocca, M.L. On the effect of the intrinsic viscosity in a two-layer shallow water lattice Boltzmann model of axisymmetric density currents. J. Hydraul. Res. 2013, 51, 668–680. [Google Scholar] [CrossRef]
- Salmon, R. The lattice Boltzmann method as a basis for ocean circulation modeling. J. Mar. Res. 1999, 57, 503–535. [Google Scholar] [CrossRef]
- Meselhe, E.A.; Sotiropoulos, F.; Holly, F.M. Numerical Simulation of Transcritical Flow in Open Channels. J. Hydraul. Eng. 1997, 123, 774–783. [Google Scholar] [CrossRef]
- Valiani, A.; Caleffi, V.; Zanni, A. Case Study: Malpasset Dam-Break Simulation using a Two-Dimensional Finite Volume Method. J. Hydraul. Eng. 2002, 128, 460–472. [Google Scholar] [CrossRef]
- Tubbs, K.R.; Tsai, F.T.C. MRT-Lattice Boltzmann Model for Multilayer Shallow Water Flow. Water 2019, 11, 1623. [Google Scholar] [CrossRef]
- Stansby, P.K.; Zhou, J.G. Shallow-water flow solver with non-hydrostatic pressure: 2D vertical plane problems. Int. J. Numer. Methods Fluids 1998, 28, 541–563. [Google Scholar] [CrossRef]
- Prestininzi, P.; Lombardi, V.; La Rocca, M. Curved boundaries in multi-layer Shallow Water Lattice Boltzmann Methods: Bounce back versus immersed boundary. J. Comput. Sci. 2016, 16, 16–28. [Google Scholar] [CrossRef]
- Toro, E. Riemann problems and the WAF method for solving two-dimensional shallow water equations. Phil. Trans. R. Soc. Lond. A 1992, 338, 43–68. [Google Scholar]
- Vazquez, M.E. Improved Treatment of Source Terms in Upwind Schemes for the Shallow Water Equations in Channels with Irregular Geometry. J. Comput. Phys. 1999, 148, 497–526. [Google Scholar] [CrossRef]
- Bermudez, A.; Vazquez, M.E. Upwind methods for hyperbolic conservation laws with source terms. Comput. Fluids 1994, 23, 1049–1071. [Google Scholar] [CrossRef]
- Benkhaldoun, F.; Elmahi, I.; Seaı, M. Well-balanced finite volume schemes for pollutant transport by shallow water equations on unstructured meshes. J. Comput. Phys. 2007, 226, 180–203. [Google Scholar] [CrossRef][Green Version]
- Vukovic, S.; Sopta, L. ENO and WENO schemes with the exact conservation property for one-dimensional shallow water equations. J. Comput. Phys. 2002, 179, 593–621. [Google Scholar] [CrossRef]
- Di Francesco, S.; Biscarini C, M.P. Modelli mesoscopici per le correnti a superficie libera. In Atti del XXXV Convegno Nazionale di Idraulica e Costruzioni Idrauliche; DICAM Università di Bologna: Bologna, Italy, 2016. [Google Scholar]
- Banari, A.; Janßen, C.; Grilli, S.T.; Krafczyk, M. Efficient GPGPU implementation of a lattice Boltzmann model for multiphase flows with high density ratios. Comput. Fluids 2014, 93, 1–17. [Google Scholar] [CrossRef]
- Luo, L.S. Lattice-Gas Automata and Lattice Boltzmann Equations for Two-Dimensional Hydrodynamics. Ph.D. Thesis, Georgia Institute of Technology, Atlanta, GA, USA, 1993. [Google Scholar]
- Shan, X.; Chen, H. Simulation of non ideal gases and gas-liquid phase transitions by the lattice Boltzmann Equation. Phys. Rev. E 1994, 49, 697. [Google Scholar] [CrossRef] [PubMed]
- Buick, J.; Greated, C. Gravity in a lattice Boltzmann model. Phys. Rev. E 2000, 61, 5307. [Google Scholar] [CrossRef]
- Falcucci, G.; Ubertini, S.; Bella, G.; De Maio, A.; Palpacelli, S. Lattice Boltzmann modeling of diesel spray formation and break-up. SAE Int. J. Fuels Lubr. 2010, 3, 582–593. [Google Scholar] [CrossRef]
- Di Francesco, S.; Zarghami, A.; Biscarini, C.; Manciola, P. Wall roughness effect in the lattice Boltzmann method. AIP Conf. Proc. 2013, 1558, 1677–1680. [Google Scholar]
- Yang, X.; Mehmani, Y.; Perkins, W.; Pasquali, A.; Schönherr, M.; Kim, K.; Perego, M.; Parks, M.; Trask, N.; Balhoff, M.; et al. Intercomparison of 3D pore-scale flow and solute transport simulation methods. Adv. Water Resour. 2016, 95, 176–189. [Google Scholar] [CrossRef]
- Zarghami, A.; Francesco, S.D.; Biscarini, C. Porous substrate effects on thermal flows through a REV-scale finite volume lattice Boltzmann model. Int. J. Mod. Phys. C 2014, 25, 1350086. [Google Scholar] [CrossRef]
- Di Francesco, S.; Biscarini, C.; Manciola, P. Characterization of a flood event through a sediment analysis: The Tescio River case study. Water 2016, 8, 308. [Google Scholar] [CrossRef]
- Biscarini, C.; Di Francesco, S.; Ridolfi, E.; Manciola, P. On the Simulation of Floods in a Narrow Bending Valley: The Malpasset Dam Break Case Study. Water 2016, 8, 545. [Google Scholar] [CrossRef]
- Dellar, P.J. Nonhydrodynamic modes and a priori construction of shallow water lattice Boltzmann equations. Phys. Rev. E Stat. Nonlinear Soft Matter Phys. 2002, 65, 036309. [Google Scholar] [CrossRef] [PubMed]
- Geier, M.; Pasquali, A. Fourth order Galilean invariance for the lattice Boltzmann method. Comput. Fluids 2018, 166, 139–151. [Google Scholar] [CrossRef]
- Qian, Y.H.; D’Humières, D.; Lallemand, P. Lattice BGK Models for Navier–Stokes Equation. EPL Europhys. Lett. 1992, 17, 479. [Google Scholar] [CrossRef]
- D’Humières, D. Generalized lattice-Boltzmann equations. Prog. Astronaut. Aeronaut. 1994, 159, 450. [Google Scholar]
- Geier, M.; Schönherr, M.; Pasquali, A.; Krafczyk, M. The cumulant lattice Boltzmann equation in three dimensions: Theory and validation. Comput. Math. Appl. 2015, 70, 507–547. [Google Scholar] [CrossRef]
- Geier, M. Ab Initio Derivation of the Cascaded Lattice Boltzmann Automaton. Ph.D. Thesis, University of Freiburg, Breisgau, Germany, 2006. [Google Scholar]
- Premnath, K.N.; Banerjee, S. Incorporating forcing terms in cascaded lattice Boltzmann approach by method of central moments. Phys. Rev. E 2009, 80, 036702. [Google Scholar] [CrossRef]
- Venturi, S. Lattice Boltzmann Shallow Water Equations for Large Scale Hydraulic Analysis. Ph.D. Thesis, University of Florence, Pisa, Perugia and Technische Universität Braunschweig, Braunschweig, Germany, 2018. [Google Scholar]
- LeVeque, R.J. Balancing Source Terms and Flux Gradients in High-Resolution Godunov Methods: The Quasi-Steady Wave-Propagation Algorithm. J. Comput. Phys. 1998, 146, 346–365. [Google Scholar] [CrossRef]
- Liu, H. Lattice Boltzmann Simulations for Complex Shallow Water Flows. Ph.D. Thesis, University of Florence, Liverpool, UK, 2009. [Google Scholar]
- Timm, K.; Kusumaatmaja, H.; Kuzmin, A.; Shardt, O.; Silva, G.; Viggen, E. The Lattice Boltzmann Method, Principles and Practice; Springer: Cham, Switzerland, 2016; p. 694. [Google Scholar]





| Norm | |
|---|---|
| 0.95 | 0.00017 |
| 0.85 | 0.00020 |
| 0.75 | 0.00029 |
| 0.65 | 0.00052 |
| Force | Norm |
|---|---|
| 0.0001 | 0.00053 |
| 0.0002 | 0.00058 |
| 0.0003 | 0.00070 |
| (m) | |
|---|---|
| 0.05 | 0.0000691 |
| 0.025 | 0.00000743 |
| 0.0125 | 0.00000138 |
© 2020 by the authors. Licensee MDPI, Basel, Switzerland. This article is an open access article distributed under the terms and conditions of the Creative Commons Attribution (CC BY) license (http://creativecommons.org/licenses/by/4.0/).
Share and Cite
Venturi, S.; Di Francesco, S.; Geier, M.; Manciola, P. Forcing for a Cascaded Lattice Boltzmann Shallow Water Model. Water 2020, 12, 439. https://doi.org/10.3390/w12020439
Venturi S, Di Francesco S, Geier M, Manciola P. Forcing for a Cascaded Lattice Boltzmann Shallow Water Model. Water. 2020; 12(2):439. https://doi.org/10.3390/w12020439
Chicago/Turabian StyleVenturi, Sara, Silvia Di Francesco, Martin Geier, and Piergiorgio Manciola. 2020. "Forcing for a Cascaded Lattice Boltzmann Shallow Water Model" Water 12, no. 2: 439. https://doi.org/10.3390/w12020439
APA StyleVenturi, S., Di Francesco, S., Geier, M., & Manciola, P. (2020). Forcing for a Cascaded Lattice Boltzmann Shallow Water Model. Water, 12(2), 439. https://doi.org/10.3390/w12020439

