Small Floodplain Reservoirs in the Face of Climate Change—Sink or Source of Nutrients?
Abstract
1. Introduction
2. Materials and Methods
2.1. Study Area—Description
2.2. Sediment Sampling and Analysis
2.3. Statistical Analysis
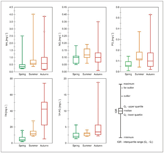
3. Results and Discussion
4. Conclusions
Author Contributions
Funding
Conflicts of Interest
References
- Hasler, A.D. Eutrophication of lakes by domestic drainage. Ecology 1947, 28, 383–395. [Google Scholar] [CrossRef]
- Jarvie, H.P.; Smith, D.R.; Norton, L.R.; Edwards, F.K.; Bowes, M.J.; King, S.M.; Scarlett, P.; Davies, S.; Dils, R.M.; Bachiller-Jareno, N. Phosphorus and nitrogen limitation and impairment of headwater streams relative to rivers in Great Britain: A national perspective on eutrophication. Sci. Total Environ. 2018, 621, 849–862. [Google Scholar] [CrossRef] [PubMed]
- Vollenweider, R. Advances in defining critical loading levels for phosphorus in lake eutrophication. Mem. Ist. Ital. Idrobiol. 1976, 33, 53–83. [Google Scholar]
- Weigelhofer, G.; Hein, T.; Bondar-Kunze, E. Phosphorus and nitrogen dynamics in riverine systems: Human impacts and management options. In Riverine Ecosystem Management. Aquatic Ecology Series; Schmutz, S., Sendzimir, J., Eds.; Springer: Cham, Switzerland, 2018; Volume 8. [Google Scholar] [CrossRef]
- Le Moal, M.; Gascuel-Odoux, C.; Ménesguen, A.; Souchon, Y.; Étrillard, C.; Levain, A.; Moatar, F.; Pannard, A.; Souchu, P.; Lefebvre, A.; et al. Eutrophication: A new wine in an old bottle? Sci. Total Environ. 2019, 651, 1–11. [Google Scholar] [CrossRef] [PubMed]
- Ligęza, S.; Wilk-Woźniak, E. The occurrence of a Euglena pascheri and Lepocinclis ovum bloom in an oxbow lake in southern Poland under extreme environmental conditions. Ecol. Ind. 2011, 11, 925–929. [Google Scholar] [CrossRef]
- Maliaka, V.; Faassen, E.J.; Smolders, A.J.; Lürling, M. The Impact of Warming and Nutrients on Algae Production and Microcystins in Seston from the Iconic Lake Lesser Prespa, Greece. Toxins 2018, 10, 144. [Google Scholar] [CrossRef]
- López-Doval, J.C.; Montagner, C.C.; Fernandes de Alburquerque, A.; Moschini-Carlos, V.; Umbuzeiro, G.; Pompêo, M. Nutrients, emerging pollutants and pesticides in a tropical urban reservoir: Spatial distributions and risk assessment. Sci. Tot Environ. 2017, 575, 1307–1324. [Google Scholar] [CrossRef]
- Xing, J.; Song, J.; Yuan, H.; Li, H.; Li, N.; Duan, L.; Kang, X.; Wang, Q. Fluxes, seasonal patterns and sources of various nutrient species (nitrogen, phosphorus and silicon) in atmospheric wet deposition and their ecological effects on Jiaozhou Bay, North China. Sci. Total Environ. 2018, 576, 617–627. [Google Scholar] [CrossRef]
- Morales-Marín, L.; Wheater, H.; Lindenschmidt, K.-E. Potential Changes of Annual-Averaged Nutrient Export in the South Saskatchewan River Basin under Climate and Land-Use Change Scenarios. Water 2018, 10, 1438. [Google Scholar] [CrossRef]
- Némery, J.; Gratiot, N.; Doan, P.T.K.; Duvert, C.; Alvarado-Villanueva, R.; Duwig, C. Carbon, nitrogen, phosphorus, and sediment sources and retention in a small eutrophic tropical reservoir. Aquat. Sci. 2016, 78, 171–189. [Google Scholar] [CrossRef]
- Ngatia, L.W.; Hsieh, Y.P.; Nemours, D.; Fu, R.; Taylor, R.W. Potential phosphorus eutrophication mitigation strategy: Biochar carbon composition, thermal stability and pH influence phosphorus sorption. Chemosphere 2017, 180, 201–211. [Google Scholar] [CrossRef] [PubMed]
- Ding, W.; He, P.; Zhang, J.; Liu, Y.; Xu, X.; Ullah, S.; Cui, Z.; Zhou, W. Optimizing rates and sources of nutrient input to mitigate nitrogen, phosphorus, and carbon losses from rice paddies. J. Clean. Prod. 2020, 256, 120603. [Google Scholar] [CrossRef]
- Farmer, A.M. Phosphate pollution: A global overview of the problem. In Phosphorus: Polluter and Resource of The Future—Removal and Recovery From Wastewater; Schaum, C., Ed.; IWA Publishing: London, UK, 2018; pp. 35–55. [Google Scholar] [CrossRef]
- Preisner, M.; Neverova-Dziopak, E.; Kowalewski, Z. Mitigation of eutrophication caused by wastewater discharge: A simulation-based approach. Ambio 2020. [Google Scholar] [CrossRef] [PubMed]
- Hopkins, K.G.; Noe, G.B.; Franco, F.; Pindilli, E.J.; Gordon, S.; Metes, M.J.; Claggett, P.R.; Gellis, A.C.; Hupp, C.R.; Hogan, D.M. A method to quantify and value floodplain sediment and nutrient retention ecosystem services. J. Environ. Manag. 2018, 220, 65–76. [Google Scholar] [CrossRef] [PubMed]
- Richardson, W.B.; Bartsch, L.A.; Bartsch, M.R.; Kiesling, R.; Lafrancois, B.M. Nitrogen cycling in large temperate floodplain rivers of contrasting nutrient regimes and management. River Res. Applic. 2019, 35, 529–539. [Google Scholar] [CrossRef]
- Downing, J.A.; Prairie, Y.T.; Cole, J.J.; Duarte, C.M.; Tranvik, L.J.; Striegl, R.G.; McDowell, W.H.; Kortelainen, P.; Caraco, N.F.; Melack, J.M.; et al. The global abundance and size distribution of lakes, ponds, and impoundments. Limnol. Oceanogr. 2006, 51, 2388–2397. [Google Scholar] [CrossRef]
- Weigelhofer, G.; Preiner, S.; Funk, A.; Bondar-Kunze, E.; Hein, T. The hydrochemical response of small and shallow floodplain water bodies to temporary surface water connections with the main river. Freshw. Biol. 2015, 60, 781–793. [Google Scholar] [CrossRef]
- Miranda, L.E.; Omer, A.R.; Killgore, K.J. Balancing lake ecological condition and agriculture irrigation needs in the Mississippi Alluvial Valley. Agric. Ecosyst. Environ. 2017, 246, 354–360. [Google Scholar] [CrossRef]
- Schilling, K.E.; Kult, K.; Wilke, K.; Streeter, M.; Vogelgesang, J. Nitrate reduction in a reconstructed floodplain oxbow fed by tile drainage. Ecol. Eng. 2017, 102, 98–107. [Google Scholar] [CrossRef]
- Herber, J.; Klotz, F.; Frommeyer, B.; Weis, S.; Straile, D.; Kolar, A.; Sikorski, J.; Egert, M.; Dannenmann, M.; Pester, M. A single Thaumarchaeon drives nitrification in deep oligotrophic Lake Constance. Environ. Microbiol. 2020, 22, 212–228. [Google Scholar] [CrossRef]
- Tonello, M.S.; Hebner, T.S.; Sterner, R.W.; Brovold, S.; Tiecher, T.; Bortoluzzi, E.C.; Merten, G.H. Geochemistry and mineralogy of southwestern Lake Superior sediments with an emphasis on phosphorus lability. J. Soils Sediments 2020, 20, 1060–1073. [Google Scholar] [CrossRef]
- Maberly, S.C.; Pitt, J.A.; Davies, P.S.; Carvalho, L. Nitrogen and phosphorus limitation and the management of small productive lakes. Inland Waters 2020, 10, 159–172. [Google Scholar] [CrossRef]
- Biswas, B.; Qi, F.; Biswas, J.K.; Wijayawardena, A.; Khan, M.A.I.; Naidu, R. The fate of chemical pollutants with soil properties and processes in the climate change paradigm—A review. Soil Syst. 2018, 2, 51. [Google Scholar] [CrossRef]
- Pletterbauer, F.; Melcher, A.; Graf, W. Climate change impacts in riverine ecosystems. In Riverine Ecosystem Management. Aquatic Ecology Series; Schmutz, S., Sendzimir, J., Eds.; Springer: Cham, Switzerland, 2018; Volume 8. [Google Scholar] [CrossRef]
- Stal, L.J. Nitrogen fixation in Cyanobacteria. Wiley Online Libr. 2015. [Google Scholar] [CrossRef]
- Norris, V. The use of buffer zones to protect water quality: A review. Water Resour. Manag. 1993, 7, 257–272. [Google Scholar] [CrossRef]
- Berta, C.; Tóthmérész, B.; Wojewódka, M.; Augustyniuk, O.; Korponai, J.; Bertalan-Balázs, B.; Nagy, A.S.; Grigorszky, I.; Gyulai, I. Community response of cladocera to trophic stress by biomanipulation in a shallow oxbow lake. Water 2019, 11, 929. [Google Scholar] [CrossRef]
- Havlíková, P.; Chalupová, D.; Chuman, T.; Šobr, M.; Janský, B. Long-term water and sediment quality of the Elbe River’s oxbow lake near the town of Poděbrady, the Czech Republic. Environ. Earth Sci. 2019, 78, 559. [Google Scholar] [CrossRef]
- Tóth, F.; Zsuga, K.; Kerepeczki, É.; Berzi-Nagy, L.; Körmöczi, L.; Lövei, G.L. Seasonal differences in taxonomic diversity of rotifer communities in a hungarian lowland oxbow lake exposed to aquaculture effluent. Water 2020, 12, 1300. [Google Scholar] [CrossRef]
- Wang, H.Z.; Liu, X.Q.; Wang, H.J. The Yangtze River Floodplain: Threats and rehabilitation. Am. Fish. Soc. Symp. 2016, 84, 263–291. [Google Scholar]
- HELCOM. Input of nutrients by the seven biggest rivers in the Baltic Sea region. In Baltic Sea Environmental Proceedings; Helsinki Commission: Helsinki, Finland, 2018; p. 161. [Google Scholar]
- Górniak, A. Spatial and temporal patterns of total organic carbon along the Vistula River course (Central Europe). J. Appl. Geochem. 2017, 87. [Google Scholar] [CrossRef]
- Babiński, Z. Anthropogenic transformation of the lower Vistula River Valley and its renaturisation in the aspect of hydrotechnical changes. In Geographic Documentation. Reconstruction and Forecast of Changes in The Environment in Geographical Investigations; Błażejczyk, K., Ed.; PAN IGiPZ: Warsaw, Poland, 2004; Volume 31, pp. 9–10. (In Polish) [Google Scholar]
- Falkowska, E.; Falkowski, T.; Tatur, A.; Kałmykow-Piwińska, A. Floodplain morphodynamics and distribution of traceelements in overbank deposits, Vistula River Valley Gorge near Solec nad Wisłą, Poland. Acta Geol. Pol. 2016, 66, 541–559. [Google Scholar] [CrossRef]
- Graczyk, D.; Pińskwar, I.; Choryński, A.; Szwed, M.; Kundzewicz, Z.W. Changes in air temperature in Poland. In Climate Changes and Their Impact on Selected Sectors in Poland; Kundzewicz, Z.W., Hov, Ø., Okruszko, T., Eds.; ISRL PAN: Poznań, Poland, 2017; pp. 47–60. [Google Scholar]
- IMWM-NRI. Climate Monitoring Bulletin of Poland. Year 2019. Institute of Meteorology and Water Management—National Research Institute, 2020, ISSN 2391-6362. Available online: https://klimat.imgw.pl/pl/biuletyn-monitoring/#2019/rok (accessed on 30 June 2020).
- Pińskwar, I.; Choryński, A.; Graczyk, D.; Szwed, M.; Kundzewicz, Z.W. Precipitation changes in Poland. In Climate Changes and Their Impact on Selected Sectors in Poland; Kundzewicz, Z.W., Hov, Ø., Okruszko, T., Eds.; ISRL PAN: Poznań, Poland, 2017; pp. 60–82. [Google Scholar]
- Kaznowska, E.; Hejduk, A.; Kempiński, C. The Vistula River low flows in Warsaw in the 21st century. Acta. Sci. Poll. Formatio Circumiectus 2018, 17, 29–38. [Google Scholar] [CrossRef]
- ISO 11277:2009(R2015). Soil Quality—Determination of Particle Size Distribution in Mineral Soil Material—Method by Sieving and Sedimentation; International Organization for Standardization: Geneve, Switzerland, 1998; p. 38. [Google Scholar]
- ISO 14235:1998. Soil Quality—Determination of Organic Carbon by Sulfochromic Oxidation; International Organization for Standardization: Geneve, Switzerland, 1998. [Google Scholar]
- Carlson, R. A trophic state index for lakes. Limnol. Oceanogr. 1977, 22, 361–369. [Google Scholar] [CrossRef]
- Carlson, R.; Simpson, J. A co-ordinator’s guide to volunteer lake monitoring methods. N. Am. Lake Manag. Soc. 1996, 96. [Google Scholar]
- Pearce, A.R.; Chambers, L.G.; Hasenmueller, E.A. Characterizing nutrient distributions and fluxes in a eutrophic reservoir, Midwestern United States. Sci. Total Environ. 2017, 581–582, 589–600. [Google Scholar] [CrossRef] [PubMed]
- Peng, C.; Shen, Y.; Wu, X.; Yuan, P.; Jiang, L.; Chen, S.; Ze, S.; Wang, X.; Song, X. Heavy metals, nitrogen, and phosphorus in sediments from the first drinking water reservoir supplied by Yangtze River in Shanghai, China: Spatial distribution characteristics and pollution risk assessment. Water Air Soil Pollut. 2020, 231, 298. [Google Scholar] [CrossRef]
- Rozpondek, K.; Rozpondek, R.; Pachura, P. Characteristics of spatial distribution of phosphorus and nitrogen in the bottom sediments of the water reservoir Poraj. J. Ecol. Eng. 2017, 18, 178–184. [Google Scholar] [CrossRef]
- Constantine, J.A.; Dunne, T.; Piégay, H.; Kondolf, G.M. Controls on the alluviation of oxbow lakes by bed-material load along the Sacramento River, California. Sedimentology 2010, 57, 389–407. [Google Scholar] [CrossRef]
- Dunne, T.; Constantine, J.A.; Singer, M. The role of sediment transport and sediment supply in the evolution of river channel and floodplain complexity. JGU 2010, 31, 155–170. [Google Scholar]
- Fisk, H.N. Fine Grained Alluvial Deposits and Their Effects on Mississippi River Activity; Mississippi River Commission: Vicksburg, MS, USA, 1947; Volume 1–2. [Google Scholar]
- Gmitrowicz-Iwan, J.; Ligęza, S.; Pranagal, J.; Kołodziej, B.; Smal, H. Can climate change transform non-toxic sediments into toxic soils? Sci. Total Environ. 2020, 747, 141201. [Google Scholar] [CrossRef]
- D.2019.2149. Regulation of the Minister of Marine Economy and Inland Navigation of 11 October 2019 on the Classification of Ecological Status, Ecological Potential and Chemical Status and the Method of Classifying the Status of Surface Water Bodies, as Well as Environmental Quality Standards for Priority Substances; FAO: Rome, Italy, 2019. [Google Scholar]
- Directive 2000/60/EC. Directive 2000/60/EC of the European Parliament and of the Council of 23 October 2000 establishing a framework for Community action in the field of water policy. Off. J. Eur. Commun. 2000, 22, 2000. [Google Scholar]
- Statistic Poland. Environment. Statistical Information and Elaborations; GUS: Warsaw, Poland, 2015. [Google Scholar]
- Statistic Poland. Environment; GUS: Warsaw, Poland, 2019. [Google Scholar]
- Lyubimova, T.; Lepikhin, A.; Parshakova, Y.; Tiunov, A. The risk of river pollution due to washout from contaminated floodplain water bodies during periods of high magnitude floods. J. Hydrol. 2016, 534, 579–589. [Google Scholar] [CrossRef]
- Kauranne, L.M.; Kemppainen, M. Urgent need for action in the Baltic Sea area. In Phosphorus in Agriculture: 100% Zero; Schnug, E., De Kok, L., Eds.; Springer: Dordrecht, The Netherlands, 2016. [Google Scholar]
- Knuuttila, S.; Räike, A.; Ekholm, P.; Kondratyev, S. Nutrient inputs into the Gulf of Finland: Trends and water protection targets. J. Marine Syst. 2016, 171, 54–64. [Google Scholar] [CrossRef]
- Räike, A.; Taskinen, A.; Knuuttila, S. Nutrient export from Finnish rivers into the Baltic Sea has not decreased despite water protection measures. Ambio 2020, 49, 460–474. [Google Scholar] [CrossRef] [PubMed]
- Ahmadi, B.; Ahmadalipour, A.; Moradkhani, H. Hydrological drought persistence and recovery over the CONUS: A multi-stage framework considering water quantity and quality. Water Res. 2019, 150, 97–110. [Google Scholar] [CrossRef] [PubMed]
- Havens, K.E.; Ji, G. Multiyear oscillations in depth affect water quality in Lake Apopka. Inland Waters 2018, 8, 1–9. [Google Scholar] [CrossRef]
- Li, T.; Li, S.; Liang, C.; Bush, R.T.; Xiong, L.; Jiang, Y. A comparative assessment of Australia’s Lower Lakes water quality under extreme drought and post-drought conditions using multivariate statistical techniques. J. Clean. Prod. 2018, 190, 1–11. [Google Scholar] [CrossRef]
- Tomaz, A.; Palma, P.; Fialho, S.; Lima, A.; Alvarenga, P.; Potes, M.; Salgado, R. Spatial and temporal dynamics of irrigation water quality under drought conditions in a large reservoir in Southern Portugal. Environ. Monit. Assess. 2020, 192, 93. [Google Scholar] [CrossRef]
- Talbot, C.J.; Bennett, E.M.; Cassell, K.; Hanes, D.M.; Minor, E.C.; Paerl, H.; Raymond, P.A.; Vargas, R.; Vidon, P.G.; Wollheim, W.; et al. The impact of flooding on aquatic ecosystem services. Biogeochemistry 2018, 141, 439–461. [Google Scholar] [CrossRef]
- Klaus, V.H.; Sintermann, J.; Kleinebecker, T.; Hölzel, N. Sedimentation-induced eutrophication in large river floodplains – An obstacle to restoration? Biol. Conserv. 2011, 144, 451–458. [Google Scholar] [CrossRef]
- Natho, S.; Tschikof, M.; Bondar-Kunze, E.; Hein, T. Modeling the effect of enhanced lateral connectivity on nutrient retention capacity in large river floodplains: How much connected floodplain do we need? Front. Environ. Sci. 2020, 8. [Google Scholar] [CrossRef]
- Stachelek, J.; Soranno, P.A. Does freshwater connectivity influence phosphorus retention in lakes? Limnol. Oceanogr. 2019, 64, 1586–1599. [Google Scholar] [CrossRef]
- Xie, F.; Dai, Y.; Zhu, Z.; Li, G.; Li, H.; He, Z.; Geng, S.; Wu, F. Adsorption of phosphate by sediments in a eutrophic lake: Isotherms, kinetics, thermodynamics and the influence of dissolved organic matter. Colloid. Surface. A 2019, 562, 16–25. [Google Scholar] [CrossRef]






| NH4+ (a) | NO3− (b) | PO43− | TN | TP (c) | TOC | C:N | |
|---|---|---|---|---|---|---|---|
| mg·kg−1 | g·kg−1 | ||||||
| Reservoir | |||||||
| 1 | 12.71 | 1.07 | 0.38 | 4.11 | 1.37 | 48.21 | 11.60 |
| 2 | 9.23 | 0.87 | 1.18 | 2.28 | 1.48 | 29.19 | 10.19 |
| 3 | 12.48 | 0.78 | 1.16 | 4.28 | 1.58 | 29.00 | 6.92 |
| 4 | 8.68 | 0.64 | 1.01 | 2.59 | 1.04 | 22.75 | 8.81 |
| 5 | 18.95 | 0.87 | 0.21 | 2.07 | 1.28 | 24.93 | 11.69 |
| 6 | 6.74 | 1.03 | 1.74 | 2.35 | 0.88 | 27.57 | 12.31 |
| 7 | 8.08 | 0.83 | 0.73 | 3.01 | 1.01 | 25.50 | 7.84 |
| 8 | 11.76 | 1.08 | 2.44 | 3.36 | 4.19 | 34.48 | 10.09 |
| 9 | 15.54 | 1.39 | 1.41 | 5.71 | 1.32 | 30.86 | 6.82 |
| 10 | 16.63 | 1.15 | 1.96 | 5.06 | 2.38 | 64.47 | 13.13 |
| mean | 12.08 | 0.97 | 1.22 | 3.48 | 1.65 | 33.70 | 9.94 |
| CV (%) | 50 | 44 | 58 | 66 | 69 | 38 | 37 |
| LSD | 15.907 | 1.309 | 1.528 | 5.644 | 2.232 | 57.273 | 1.110 |
| Part of Reservoir | |||||||
| S | 11.99 | 0.90 | 1.11 | 3.18 | 1.51 | 33.16 | 10.48 |
| M | 10.23 | 0.99 | 1.27 | 3.38 | 1.58 | 31.78 | 9.06 |
| N | 14.02 | 1.02 | 1.28 | 3.89 | 1.87 | 36.15 | 10.27 |
| mean | 12.08 | 0.97 | 1.22 | 3.48 | 1.65 | 33.70 | 9.94 |
| CV (%) | 16 | 7 | 8 | 11 | 12 | 7 | 8 |
| LSD | 6.680 | 0.494 | 0.925 | 2.315 | 1.312 | 23.798 | 4.140 |
| Parameter | NH4+ (a) | NO3− (b) | PO43− | TN | TP (c) |
|---|---|---|---|---|---|
| NH4+(a) | 1.000 | ||||
| NO3−(b) | 0.608 * | 1.000 | |||
| PO43− | 0.637 * | 0.755 * | 1.000 | ||
| TN | −0.093 | 0.286 | 0.270 | 1.000 | |
| TP(c) | 0.290 | 0.295 | 0.343 | 0.594 * | 1.000 |
| TOC | 0.375 * | 0.431 * | 0.580 * | 0.225 | 0.463 * |
| Sand | −0.358 | −0.432 * | −0.688 * | −0.293 | −0.327 |
| Silt | 0.351 | 0.423 * | 0.658 * | 0.386 * | 0.486 * |
| Clay | 0.342 | 0.412 * | 0.677 * | 0.166 | 0.121 |
| Length | −0.262 | 0.051 | −0.192 | −0.056 | −0.356 |
| Max. depth | −0.213 | −0.055 | −0.320 | −0.300 | −0.405 * |
| Distance from the river channel | 0.072 | 0.028 | −0.155 | −0.177 | −0.444 * |
| Area | −0.288 | −0.120 | −0.296 | −0.159 | −0.437 * |
| Angle | −0.447 * | −0.205 | −0.451 * | 0.044 | 0.040 |
| Number | Area | Change | |||
|---|---|---|---|---|---|
| 2017 | Spring 2019 | Autumn 2019 | 2017–Spring 2019 | Spring–Autumn 2019 | |
| m2 | m2 | m2 | % | % | |
| 1 | 1720 | 1548 | 746 | −10% | −52% |
| 2 | 3780 | 1003 | 409 | −73% | −59% |
| 3 | 480 | 436 | 68 | −9% | −84% |
| 4 | 5470 | 1081 | 320 | −80% | −70% |
| 5 | 5100 | 5058 | 3168 | −1% | −37% |
| 6 | 8000 | 6065 | 3020 | −24% | −50% |
| 7 | 9530 | 9458 | 4022 | −1% | −57% |
| 8 | 1350 | 803 | 134 | −41% | −83% |
| 9 | 2950 | 2036 | 1228 | −31% | −40% |
| 10 | 3860 | 103 | 15 | −97% | −85% |
| NH4+ (a) | NO3− (b) | PO43− | TN | TP (c) | |
|---|---|---|---|---|---|
| mg·L−1 | |||||
| Reservoir | |||||
| 1 | 0.30 | 0.08 | 0.14 | 12.37 | 2.45 |
| 2 | 0.44 | 0.13 | 0.07 | 21.23 | 2.07 |
| 3 | 0.63 | 0.10 | 0.15 | 7.33 | 7.63 |
| 4 | 0.44 | 0.08 | 0.09 | 23.47 | 3.98 |
| 5 | 0.37 | 0.04 | 0.06 | 18.71 | 2.28 |
| 6 | 0.27 | 0.08 | 0.13 | 20.91 | 2.37 |
| 7 | 0.49 | 0.11 | 0.08 | 19.97 | 3.77 |
| 8 | 3.38 | 0.16 | 0.20 | 32.85 | 3.75 |
| 9 | 0.65 | 0.10 | 0.05 | 5.60 | 2.50 |
| 10 | 1.49 | 0.22 | 0.30 | 30.24 | 3.95 |
| mean | 0.85 | 0.11 | 0.13 | 19.27 | 3.45 |
| CV [%] | 113 | 45 | 60 | 46 | 60 |
| LSD | 1.407 | 0.137 | 0.309 | 59.205 | 8.983 |
| Parameter | Water | |||||
|---|---|---|---|---|---|---|
| NH4+ (a) | NO3− (b) | PO43− | TN | TP (c) | ||
| Water | NH4+(a) | 1.000 | ||||
| NO3−(b) | 0.626 * | 1.000 | ||||
| PO43− | 0.590 * | 0.686 * | 1.000 | |||
| TN | 0.440 * | 0.403 * | 0.415 * | 1.000 | ||
| TP(c) | 0.192 | 0.215 | 0.191 | 0.098 | 1.000 | |
| Parameter | Water | |||||
|---|---|---|---|---|---|---|
| NH4+ (a) | NO3− (b) | PO43− | TN | TP (c) | ||
| Sediments | NH4+(a) | 0.137 | 0.089 | 0.195 | −0.145 | −0.024 |
| NO3−(b) | 0.292 | 0.341 | 0.247 | −0.124 | −0.377 | |
| PO43− | 0.744 * | 0.722 * | 0.614 | 0.519 | 0.149 | |
| TN | 0.194 | 0.450 | 0.387 | −0.361 | 0.280 | |
| TP(c) | 0.980 * | 0.636 * | 0.616 | 0.578 | 0.165 | |
| TOC | 0.289 | 0.681 * | 0.816 * | 0.268 | −0.006 | |
| Sand | −0.089 | −0.647 * | −0.678 * | 0.066 | −0.440 | |
| Silt | 0.269 | 0.747 * | 0.805 * | 0.105 | 0.492 | |
| Clay | −0.088 | 0.521 | 0.524 | −0.229 | 0.369 | |
Publisher’s Note: MDPI stays neutral with regard to jurisdictional claims in published maps and institutional affiliations. |
© 2020 by the authors. Licensee MDPI, Basel, Switzerland. This article is an open access article distributed under the terms and conditions of the Creative Commons Attribution (CC BY) license (http://creativecommons.org/licenses/by/4.0/).
Share and Cite
Gmitrowicz-Iwan, J.; Ligęza, S.; Pranagal, J.; Smal, H.; Olenderek, H. Small Floodplain Reservoirs in the Face of Climate Change—Sink or Source of Nutrients? Water 2020, 12, 3423. https://doi.org/10.3390/w12123423
Gmitrowicz-Iwan J, Ligęza S, Pranagal J, Smal H, Olenderek H. Small Floodplain Reservoirs in the Face of Climate Change—Sink or Source of Nutrients? Water. 2020; 12(12):3423. https://doi.org/10.3390/w12123423
Chicago/Turabian StyleGmitrowicz-Iwan, Joanna, Sławomir Ligęza, Jacek Pranagal, Halina Smal, and Heronim Olenderek. 2020. "Small Floodplain Reservoirs in the Face of Climate Change—Sink or Source of Nutrients?" Water 12, no. 12: 3423. https://doi.org/10.3390/w12123423
APA StyleGmitrowicz-Iwan, J., Ligęza, S., Pranagal, J., Smal, H., & Olenderek, H. (2020). Small Floodplain Reservoirs in the Face of Climate Change—Sink or Source of Nutrients? Water, 12(12), 3423. https://doi.org/10.3390/w12123423

