Experimental Study on Aeration Performance and Bubble Characteristics of Inverted Umbrella Aerator
Abstract
1. Introduction
2. Materials and Methods
2.1. Experimental Materials
2.2. Experimental Scheme
3. Results and Discussion
3.1. Results and Discussion of Dissolved Oxygen Concentration
3.1.1. Variation of Dissolved Oxygen Concentration
3.1.2. Standard Oxygen Mass Transfer Coefficient Fitting of Different Working Conditions
- (1)
- The turbulent intensity near the impeller increased with an increase of rotational speed. The liquid film thickness decreased with the action of strong turbulence. The resistance of free surface mass transfer was decreased, which was beneficial to oxygen transfer. That is, the mass transfer rate at free surface was accelerated.
- (2)
- The axial lifting of the aeration impeller increased with an increase of rotational speed, which increased the height and radiation radius of hydraulic jump effectively and the contact area between liquid and air was enlarged. More air was entrapped into the liquid and bubbles were generated, which was beneficial to bubble mass transfer.
3.2. Results and Discussion of High-Speed Photography
3.2.1. Bubble Characteristic Parameters Extraction
- 1.
- Bubble equivalent diameter
- 2.
- Bubble coordinates
- 3.
- Gas holdup
3.2.2. Analysis of Bubble Characteristics
- 1.
- Bubble size
- 2.
- Bubble distribution
- 3.
- Variation of gas holdup
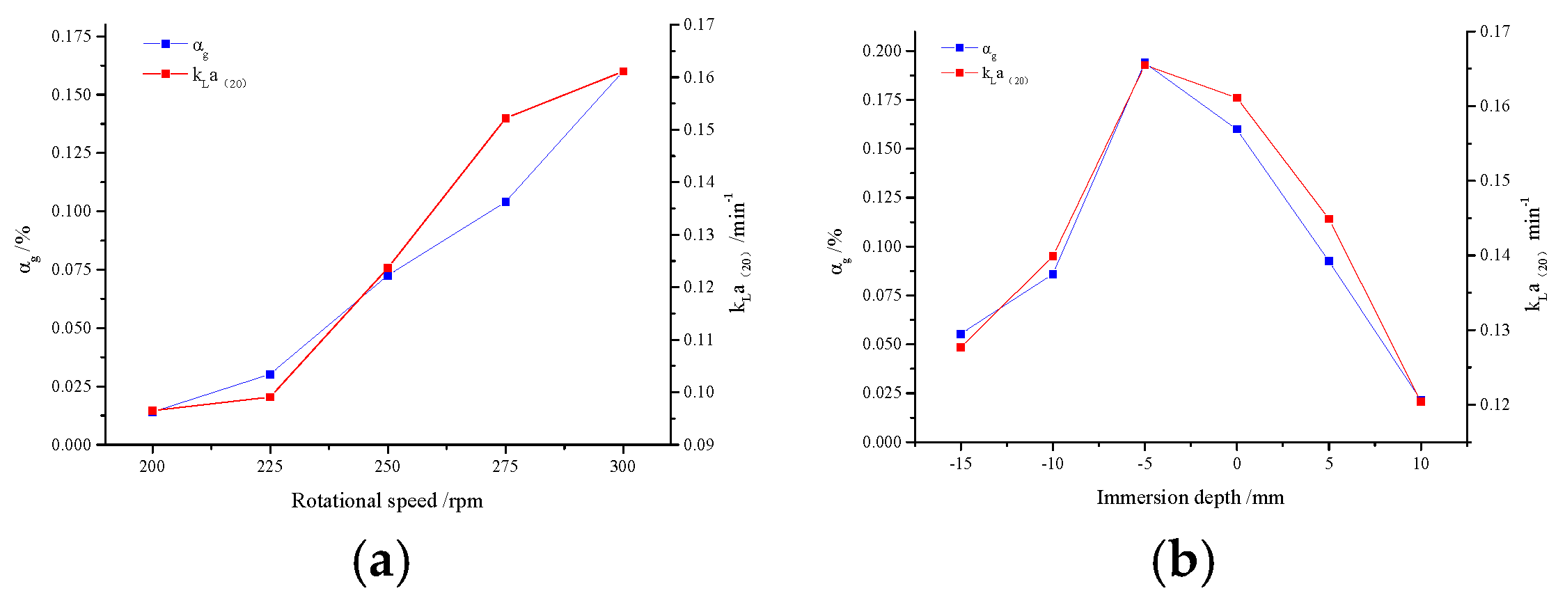
4. Relationship between Gas Holdup and Aeration Performance
5. Conclusions
- 1.
- The standard oxygen mass transfer coefficient increased linearly with an increase of rotational speed at a certain immersion depth. Standard oxygen mass transfer coefficient increased firstly then decreased with a decrease of immersion depth when rotational speed is kept constant. The standard oxygen mass transfer coefficient was the highest when the immersion depth was −5 mm.
- 2.
- The bubble size ranged from 0.1 mm to 1.59 mm under different working conditions, and 0–0.88 mm bubbles play an important role in the reaeration process of the inverted umbrella aerator.
- 3.
- With an increase of rotational speed, the gas holdup and the standard oxygen mass transfer coefficient increased. With the lifting of the impeller, the gas holdup and the standard oxygen mass transfer coefficient first decreased and then increased. The variation of gas holdup corresponded to the standard oxygen mass transfer coefficient. Bubbles play a leading role in the process of oxygen mass transfer.
Author Contributions
Funding
Acknowledgments
Conflicts of Interest
References
- Rowe, P.N. A note on the motion of a bubble rising through a fluidized bed. Chem. Eng. Sci. 1964, 19, 75–77. [Google Scholar] [CrossRef]
- Rowe, P.N.; Partridge, B.A. An x-ray study of bubbles in fluid-ised beds. Chem. Eng. Res. Des. 1997, 75, S116–S134. [Google Scholar] [CrossRef]
- Rowe, P.N.; Yacono, C.X.R. The bubbling behavior of fine powders when fluidized. Chem. Eng. Sci. 1976, 31, 1179–1192. [Google Scholar] [CrossRef]
- Wang, S.K.; Lee, S.J.; Jones, O.C.; Jr, R.T.L. 3-D turbulence structure and phase distribution measurements in bubbly two-phase flows. Int. J. Multiphas. Flow 1987, 13, 327–343. [Google Scholar] [CrossRef]
- Kitagawa, A.; Sugiyama, K.; Murai, Y. Experimental detection of bubble-bubble interactions in a wall-sliding bubble swarm. Int. J. Multiphas. Flow 2014, 30, 1213–1234. [Google Scholar] [CrossRef]
- Revankar, S.T.; Ishii, M. Local interfacial area measurement in bubbly flow. Int. J. Heat Mass Transf. 1992, 35, 913–925. [Google Scholar] [CrossRef]
- Lee, W.H.; Lee, J.H.; Bishop, P.L.; Papautsky, I. Biological ap-plication of micro-electro mechanical systems microelectrode a-ray sensors for direct measurement of phosphate in the enhanced biological phosphorous removal process. Water Environ. Res. 2009, 81, 748–754. [Google Scholar] [CrossRef] [PubMed]
- Loubière, K.; Castaignède, V.; Hébrard, G.; Roustan, M. Bubble formation at a flexible orifice with liquid cross-flow. Int. J. Heat Mass Transf. 2012, 43, 717–725. [Google Scholar] [CrossRef]
- Cao, R.J.; Chen, X.C. Test and measurement of high power inverse cone surface aerator. Water Wastewater Eng. 2002, 28, 67–70. [Google Scholar]
- Dong, L.; Wang, Y.; Dai, C.; Liu, H.L.; Ming, J.Y. Prediction of aeration performance for inverted umbrella aerator based on dimensional analysis. J. Chem. Eng. Jpn. 2019, 52, 369–376. [Google Scholar] [CrossRef]
- Guo, X.S.; Zhou, X.; Chen, Q.W.; Liu, J.X. Flow field and dis-solved oxygen distributions in the outer channel of the orbal oxi-dation ditch by monitor and CFD simulation. J. Environ. Sci China 2013, 25, 645–651. [Google Scholar] [CrossRef]
- Dong, L.; Guo, J.N.; Liu, J.W.; Liu, H.L.; Dai, C. Experimental study and numerical simulation of gas–liquid two-phase flow in aeration tank based on CFD-PBM coupled model. Water 2020, 12, 1569. [Google Scholar] [CrossRef]
- Karpinska, A.M.; Dias, M.M.; Boaventura, A.R.; Santos, R.J. Modeling of the hydrodynamics and energy expenditure of oxi-dation ditch aerated with hydrojets using CFD codes. Water Qual. Res. J. Can. 2015, 50, 83–94. [Google Scholar] [CrossRef]
- Zhou, W.Z.; Fan, K.; Gou, Q.Z. Study on oxygen transfer characteristics of inverted-umbrella type surface aerator. Ind. Water Wastewater 2013, 44, 58–60. [Google Scholar]
- Liu, J.W. Gas-Liquid Flow Mechanism and Optimization Design Research for Inverted Umbrella Aerator. Master’s Thesis, Jiangsu University, Zhenjiang, China, 2019. [Google Scholar]
- Ming, J.Y. Free Surface Capture and Aeration Research on Inverse Umbrella Aerator. Master’s Thesis, Jiangsu University, Zhenjiang, China, 2017. [Google Scholar]
- Inverted-Umbrella Type Surface Aerator; Standards Press of China: Beijing, China, 2014; p. 9.
- Zaruba, A.; Krepper, E.; Prasser, H.M.; Vanga, B.N.R. Experimental study on bubble motion in a rectangular bubble column using high-speed video observations. Flow Meas. Instrum. 2005, 16, 277–287. [Google Scholar] [CrossRef]
- Jesus, S.S.D.; Neto, J.M.; Santana, A.; Filho, R.M. Influence of impeller type on hydrodynamics and gas-liquid mass-transfer in stirred airlift bioreactor. AIChE J. 2015, 61, 3159–3171. [Google Scholar] [CrossRef]
- Wang, C.L.; Zhang, J.L.; Zhang, M.Q. Hydrodynamics and oxygen mass transfer properties of the hemi-cambered pitched blade turbines. Chem. Ind. Eng. Prog. 2018, 37, 35–46. [Google Scholar]










| Name | Type | Range | Precision | Manufacturer |
|---|---|---|---|---|
| Portable dissolved oxygen meter | JPB-607A | 0~20 mg/L | ±0.3 mg/L | Lei Ci in Shanghai |
| Projects | Technical Index |
|---|---|
| Maximum resolution | 1024 × 1024 |
| Pixel size/μm | 14 × 14 |
| Memory/G | 16 |
| Continuous shooting time/s | 45 |
| Whole resolution shooting speed/Frames Per Second (fps) | 4000 |
| Reduced resolution shooting speed/fps | 256,000 |
| Liquid Level Height H/ mm | 200 mm | ||||||||
| Immersion Depth Hl/ mm | +10 mm | +5 mm | 0 mm | −5 mm | −10 mm | −15mm | |||
| Rotational Speed n/ rpm | 100 | 125 | 150 | 175 | 200 | 225 | 250 | 275 | 300 |
| Rotational Speed n/(r/min) | Standard Oxygen Mass Transfer Coefficient kLa(20)/(min−1) | |||||
|---|---|---|---|---|---|---|
| Hl = +10 mm | Hl = +5 mm | Hl = 0 mm | Hl = −5 mm | Hl = −10 mm | Hl = −15 mm | |
| 100 | 0.0256 | 0.0342 | 0.0374 | 0.0397 | 0.0357 | 0.0280 |
| 125 | 0.0313 | 0.0404 | 0.0463 | 0.0547 | 0.0445 | 0.0368 |
| 150 | 0.0374 | 0.0543 | 0.0637 | 0.0680 | 0.0601 | 0.0484 |
| 175 | 0.0509 | 0.0696 | 0.0776 | 0.0864 | 0.0703 | 0.0567 |
| 200 | 0.0651 | 0.0883 | 0.0965 | 0.0985 | 0.0864 | 0.0695 |
| 225 | 0.0747 | 0.0914 | 0.0991 | 0.1077 | 0.0954 | 0.0801 |
| 250 | 0.0899 | 0.1110 | 0.1237 | 0.1414 | 0.1165 | 0.0901 |
| 275 | 0.0994 | 0.1349 | 0.1522 | 0.1569 | 0.1301 | 0.1121 |
| 300 | 0.1204 | 0.1449 | 0.1611 | 0.1655 | 0.1399 | 0.1277 |
© 2020 by the authors. Licensee MDPI, Basel, Switzerland. This article is an open access article distributed under the terms and conditions of the Creative Commons Attribution (CC BY) license (http://creativecommons.org/licenses/by/4.0/).
Share and Cite
Dai, C.; Guo, J.; Liu, J.; Dong, L.; Liu, H. Experimental Study on Aeration Performance and Bubble Characteristics of Inverted Umbrella Aerator. Water 2020, 12, 2809. https://doi.org/10.3390/w12102809
Dai C, Guo J, Liu J, Dong L, Liu H. Experimental Study on Aeration Performance and Bubble Characteristics of Inverted Umbrella Aerator. Water. 2020; 12(10):2809. https://doi.org/10.3390/w12102809
Chicago/Turabian StyleDai, Cui, Jinnan Guo, Jiawei Liu, Liang Dong, and Houlin Liu. 2020. "Experimental Study on Aeration Performance and Bubble Characteristics of Inverted Umbrella Aerator" Water 12, no. 10: 2809. https://doi.org/10.3390/w12102809
APA StyleDai, C., Guo, J., Liu, J., Dong, L., & Liu, H. (2020). Experimental Study on Aeration Performance and Bubble Characteristics of Inverted Umbrella Aerator. Water, 12(10), 2809. https://doi.org/10.3390/w12102809

