A Non-Tuned Machine Learning Technique for Abutment Scour Depth in Clear Water Condition
Abstract
1. Introduction
2. Materials and Methods
2.1. Data Collection
2.2. Extreme Learning Machine
- ➢
- A sine function inserts the actual amount that has −1 to +1 efficiency.
- ➢
- Sigmoid is a continuous function that gradually changes between asymptotic values of 0 and 1 or −1 and +1.
- ➢
- When neurons use a hard limit transfer function, and if the input threshold net is gained, the output is 1, otherwise 0.
- ➢
- The radial basis function output is based on the distance from the origin points.
- ➢
- A triangular basis function can serve as a neuron transfer function. This function calculates the output layer from a given input layer.
- (i)
- Generate the hidden layer bias (b); randomly generate the weight vector (w) that links the input and hidden layers;
- (ii)
- Compute the hidden layer output matrix (H);
- (iii)
- Compute the output weight.
2.3. Methodology
2.4. The Goodness of Fit Statistics
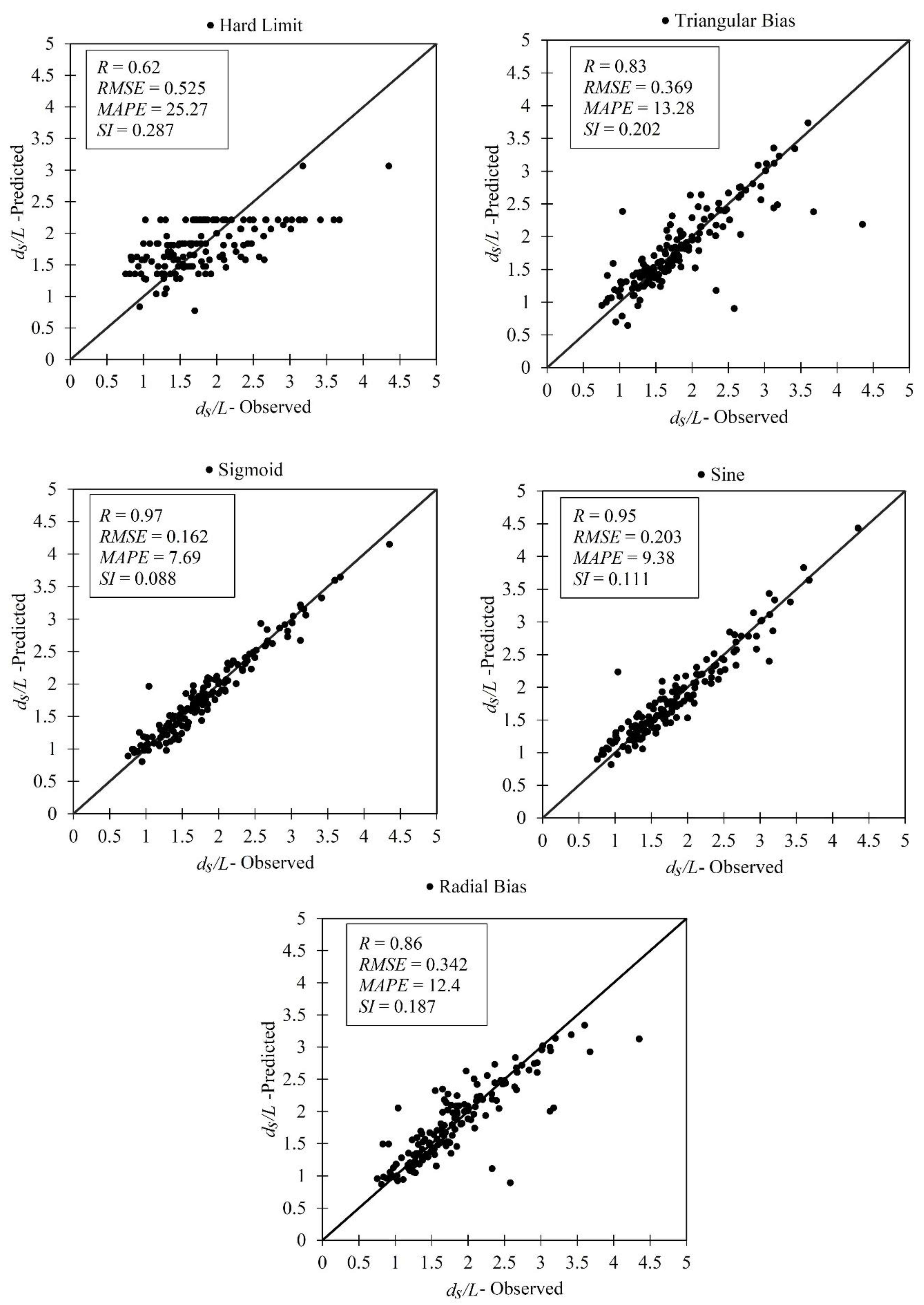
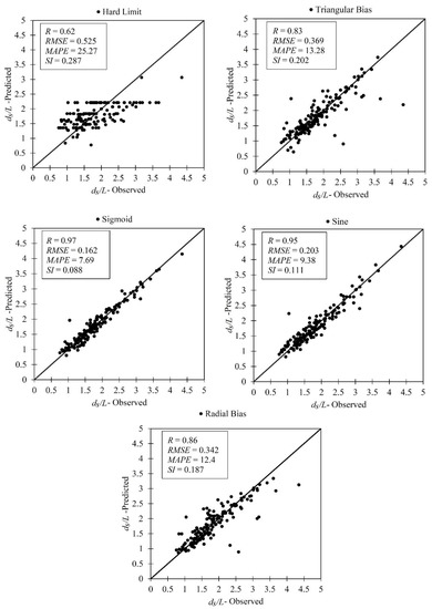
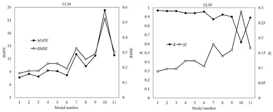
3. Results
4. Discussion
5. Conclusions
- ➢
- Predicting the normalized scour depth over abutment length (ds/L) at bridge abutments in clear water condition and on a uniform sediment bed was a function of relative depth (h/L), excess abutment Froude number (Fe), relative sediment size (d50/L), and the structure’s geometric coefficient (Ks).
- ➢
- Among the nonlinear activation functions used in extreme learning machines, the sigmoid activation function exhibited good accuracy (R = 0.97) and mean error below 8% (MAPE = 7.69%) in estimating the scour depth at bridge abutments.
- ➢
- Among the four parameters affecting scour depth, elimination of Fe and d50/L led to a 24% increase in relative error (MAPE = 23.57). The combination of h/L and Fe performed the best compared to the other two-parameter models.
- ➢
- According to the ELM method, Model 1 that included all parameters (Fe, d50/L, Ks, h/L) for predicting the relative scour depth around abutments embedded on a bed with uniform materials in clear water condition was deemed the best model.
- ➢
- The best ELM model (ELM1) predicted the relative scour depth around abutments with greater accuracy than the conventional regression and AI-based techniques.
Supplementary Materials
Author Contributions
Funding
Conflicts of Interest
References
- Melville, B.W.; Sutherland, A.J. Design method for local scour at bridge piers. J. Hydraul. Eng. 1988, 114, 1210–1226. [Google Scholar] [CrossRef]
- Macky, G.H. Survey of Roading Expenditure Due to Scour; C.R. 90.09; Department of Scientific and Industrial Research (DSIR) Hydrology Centre: Christchurch, New Zealand, 1990.
- Cardoso, A.H.; Bettess, R. Effects of time and channel geometry on scour at bridge abutments. J. Hydraul. Eng. 1999, 125, 388–399. [Google Scholar] [CrossRef]
- Azamathulla, H.M.; Ghani, A.A.; Zakaria, N.A.; Guven, A. Genetic programming to predict bridge pier scour. J. Hydraul. Eng. 2009, 136, 165–169. [Google Scholar] [CrossRef]
- Ghazvinei, P.T.; Mohamed, T.A.; Ghazali, A.H.; Huat, B.K. Scour hazard assessment and bridge abutment instability analysis. Electron. J. Geotech. Eng. 2012, 17, 2213–2224. [Google Scholar]
- Lim, S.Y. Equilibrium clear-water scour around an abutment. J. Hydraul. Eng. 1997, 123, 237–243. [Google Scholar] [CrossRef]
- Kwan, T.F. A Study of Abutment Scour; University of Auckland: Auckland, New Zealand, 1988. [Google Scholar]
- May, R.W.; Ackers, J.C.; Kirby, A.M. Manual on Scour at Bridges and Other Hydraulic Structures; Pub. No. 551; Construction Industry Research and Information Association: London, UK, 2002. [Google Scholar]
- Hosseini, K.; Karami, H.; Hosseinjanzadeh, H.; Ardeshir, A. Prediction of time-varying maximum scour depth around short abutments using soft computing methodologies-A comparative study. KSCE J. Civ. Eng. 2015, 20, 2070–2081. [Google Scholar] [CrossRef]
- Manzouri, M.; Azimi, A.H. Laboratory experiments evaluating sedimentation and mound formation of obliquely discharged sand particles in stagnant water. Int. J. Sediment Res. 2019, 34, 564–576. [Google Scholar] [CrossRef]
- Azimi, A.H.; Qian, Y.; Zhu, D.Z.; Rajaratnam, N. An experimental study on circular slurry wall jets. Int. J. Multiph. Flow 2015, 74, 34–44. [Google Scholar] [CrossRef]
- Laursen, E.M. Analysis of relief bridge scour. J. Hydraul. Div. 1963, 89, 93–118. [Google Scholar]
- Gill, M.A. Erosion of sand beds around spur dikes. J. Hydraul. Div. ASCE 1972, 98, 1587–1602. [Google Scholar]
- Tey, C.B. Local Scour at Bridge Abutments; University of Auckland: Auckland, New Zealand, 1984. [Google Scholar]
- Azimi, A.H.; Zhu, D.Z.; Rajaratnam, N. An experimental study of sand deposition from slurry wall jets. J. Eng. Mech. ASCE 2014, 140, 296–314. [Google Scholar] [CrossRef]
- Melville, B.W. Local scour at bridge abutments. J. Hydraul. Eng. 1992, 118, 615–631. [Google Scholar] [CrossRef]
- Dey, S.; Barbhuiya, A.K. Clear water scour at abutments. Proc. Inst Civ Eng. Water Manag. 2004, 157, 77–97. [Google Scholar] [CrossRef]
- Fael, C.M.; Simarro-Grande, G.; Martín-Vide, J.P.; Cardoso, A.H. Local scour at vertical-wall abutments under clear-water flow conditions. Water Resour. Res. 2006, 42, W10408. [Google Scholar] [CrossRef]
- Abou-Seida, M.M.; Elsaeed, G.H.; Mostafa, T.M.; Elzahry, E.F. Local scour at bridge abutments in cohesive soil. J. Hydraul. Res. 2012, 50, 171–180. [Google Scholar] [CrossRef]
- Kumcu, S.Y.; Kokpinar, M.A.; Gogus, M. Scour protection around vertical-wall bridge abutments with collars. KSCE J. Civ. Eng. 2014, 18, 1884–1895. [Google Scholar] [CrossRef]
- Barbhuiya, A.K.; Mazumder, M.H. Live-bed local scour around vertical-wall abutments. ISH J. Hydraul. Eng. 2014, 20, 339–351. [Google Scholar] [CrossRef]
- Dey, S.; Barbhuiya, A.K. Time variation of scour at abutments. J. Hydraul. Eng. 2005, 131, 11–23. [Google Scholar] [CrossRef]
- Muzzammil, M. ANFIS approach to the scour depth prediction at a bridge Abutment. J. Hydroinformatics 2010, 12, 474–485. [Google Scholar] [CrossRef]
- Ettema, R.; Melville, B.W.; Barkdoll, B. Scale effect in pier-scour experiments. J. Hydraul. Eng. 1998, 124, 639–642. [Google Scholar] [CrossRef]
- Bateni, S.M.; Borghei, S.M.; Jeng, D.S. Neural network and neuro-fuzzy assessments for scour depth around bridge piers. Eng. Appl. Artif. Intell. 2007, 20, 401–414. [Google Scholar] [CrossRef]
- Zanganeh, M.; Yeganeh-Bakhtiary, A.; Yamashita, T. ANFIS and ANN models for the estimation of wind and wave-induced current velocities at Joeutsu-Ogata coast. J. Hydroinformat. 2016, 18, 371–391. [Google Scholar] [CrossRef][Green Version]
- Khan, M.; Azamathulla, H.M.; Tufail, M. Gene-expression programming to predict pier scour depth using laboratory data. J. Hydroinformat. 2012, 14, 628–645. [Google Scholar] [CrossRef]
- Azamathulla, H.M. Gene-expression programming to predict scour at a bridge abutment. J. Hydroinformat. 2012, 14, 324–331. [Google Scholar] [CrossRef]
- Roushangar, K.; Akhgar, S.; Erfan, A.; Shiri, J. Modeling scour depth downstream of grade-control structures using data driven and empirical approaches. J. Hydroinformat. 2016, 18, 946–960. [Google Scholar] [CrossRef]
- Azimi, H.; Bonakdari, H.; Ebtehaj, I.; Ashraf Talesh, S.H.; Jamali, A. Evolutionary Pareto Optimization of an ANFIS Network for Modeling Scour at Pile Groups in Clear Water Condition. Fuzzy Sets Syst. 2016, 319, 50–69. [Google Scholar] [CrossRef]
- Sharafi, H.; Ebtehaj, I.; Bonakdari, H.; Zaji, A.H. Design of a Support Vector Machine with Different Kernel Functions to Predict Scour Depth around Bridge Piers. Nat. Hazards 2016, 84, 2145–2162. [Google Scholar] [CrossRef]
- Najafzadeh, M.; Barani, G.A.; Azamathulla, H.M. Prediction of pipeline scour depth in clear-water and live-bed conditions using group method of data handling. Neural Comput. Appl. 2014, 24, 629–635. [Google Scholar] [CrossRef]
- Najafzadeh, M.; Barani, G.A.; Hessami-Kermani, M.R. Group method of data handling to predict scour at downstream of a ski-jump bucket spillway. Earth Sci. Inf. 2014, 7, 231–248. [Google Scholar] [CrossRef]
- Najafzadeh, M.; Barani, G.A.; Kermani, M.R. GMDH based back propagation algorithm to predict abutment scour in cohesive soils. Ocean Eng. 2013, 59, 100–106. [Google Scholar] [CrossRef]
- Najafzadeh, M.; Lim, S.Y. Application of improved neuro-fuzzy GMDH to predict scour depth at sluice gates. Earth Sci. Inf. 2015, 8, 187–196. [Google Scholar] [CrossRef]
- Etemad-Shahidi, A.; Bonakdar, L.; Jeng, D.S. Estimation of scour depth around circular piers: Applications of model tree. J. Hydroinformat. 2015, 17, 226–238. [Google Scholar] [CrossRef]
- Bateni, S.M.; Jeng, D.S. Estimation of pile group scour using adaptive neuro-fuzzy approach. Ocean Eng. 2007, 34, 1344–1354. [Google Scholar] [CrossRef]
- Muzzammil, M. Application of neural networks to scour depth prediction at the bridge abutments. Eng. Appl. Comput. Fluid Mech. 2008, 2, 30–40. [Google Scholar] [CrossRef]
- Ghani, A.A.; Azamathulla, H. Gene-expression programming for sediment transport in sewer pipe systems. J. Pipeline Syst. Eng. Pract. 2010, 2, 102–106. [Google Scholar]
- Begum, S.A.; Fujail, A.M.; Barbhuiya, A.K. Artificial neural network to predict equilibrium local scour depth around semicircular bridge abutments. In Proceedings of the 6th SASTech, Kuala Lumpur, Malaysia, 24–25 March 2012; Organized by Khavaran Institute of Higher Education: Kuala Lumpur, Malaysia, 2012. [Google Scholar]
- Zamani, A.; Sorbi, M.R.; Safavi, A.A. Application of neural network and ANFIS model for earthquake occurrence in Iran. Earth Sci. Inf. 2013, 6, 71–85. [Google Scholar] [CrossRef]
- Mehr, A.D.; Kahya, E.; Bagheri, F.; Deliktas, E. Successive-station monthly streamflow prediction using neuro-wavelet technique. Earth Sci. Inf. 2014, 7, 217–229. [Google Scholar] [CrossRef]
- Hassan, M.; Shamim, M.A.; Hashmi, H.N.; Ashiq, S.Z.; Ahmed, I.; Pasha, G.A.; Naeem, U.A.; Ghumman, A.R.; Han, D. Predicting streamflows to a multipurpose reservoir using artificial neural networks and regression techniques. Earth Sci. Inf. 2015, 8, 337–352. [Google Scholar] [CrossRef]
- Ebtehaj, I.; Bonakdari, H.; Gharabaghi, B. Closure to “An integrated framework of Extreme Learning Machines for predicting scour at pile groups in clear water condition by Ebtehaj, I., Bonakdari, H., Moradi, F., Gharabaghi, B., Khozani, Z.S.”. Coast. Eng. 2019, 147, 135–137. [Google Scholar] [CrossRef]
- Ebtehaj, I.; Bonakdari, H.; Shamshirband, S.; Ismail, Z.; Hashim, R. New Approach to Estimate Velocity at Limit of Deposition in Storm Sewers Using Vector Machine Coupled with Firefly Algorithm. J. Pipeline Syst. Eng. Pract. 2016, 20, 04016018. [Google Scholar] [CrossRef]
- Moradi, F.; Bonakdari, H.; Kisi, O.; Ebtehaj, I.; Shiri, J.; Gharabaghi, B. Abutment scour depth modeling using neuro-fuzzy-embedded techniques. Mar. Georesour. Geotechnol. 2019, 37, 190–200. [Google Scholar] [CrossRef]
- Azimi, H.; Bonakdari, H.; Ebtehaj, I.; Shabanlou, S.; Talesh, S.H.A.; Jamali, A. A pareto design of evolutionary hybrid optimization of ANFIS model in prediction abutment scour depth. Sādhanā 2019, 44, 169–182. [Google Scholar] [CrossRef]
- Huang, G.B.; Zhou, H.; Ding, X.; Zhang, R. Extreme learning machine for regression and multiclass classification. IEEE Trans. Syst. Man Cyber Part B 2012, 42, 513–529. [Google Scholar] [CrossRef] [PubMed]
- Huang, G.B.; Zhu, Q.Y.; Siew, C.K. Extreme learning machine: Theory and applications. Neurocomputing 2006, 70, 489–501. [Google Scholar] [CrossRef]
- Cheng, G.J.; Cai, L.; Pan, H.X. Comparison of Extreme Learning Machine with Support Vector Regression for Reservoir Permeability Prediction. Comput. Intell. Secur. 2009, 2, 173–176. [Google Scholar]
- Ebtehaj, I.; Bonakdari, H.; Shamshirband, S. Extreme learning machine assessment for estimating sediment transport in open channels. Eng. Comput. 2016, 32, 691–704. [Google Scholar] [CrossRef]
- Naganna, S.R.; Deka, P.C.; Ghorbani, M.A.; Biazar, S.M.; Al-Ansari, N.; Yaseen, Z.M. Dew point temperature estimation: Application of artificial intelligence model integrated with nature-inspired optimization algorithms. Water 2019, 11, 742. [Google Scholar] [CrossRef]
- Niu, W.J.; Feng, Z.K.; Feng, B.F.; Min, Y.W.; Cheng, C.T.; Zhou, J.Z. Comparison of multiple linear regression.; artificial neural network.; extreme learning machine.; and support vector machine in deriving operation rule of hydropower reservoir. Water 2019, 11, 88. [Google Scholar] [CrossRef]
- Ren, J.; Ren, B.; Zhang, Q.; Zheng, X. A Novel Hybrid Extreme Learning Machine Approach Improved by K Nearest Neighbor Method and Fireworks Algorithm for Flood Forecasting in Medium and Small Watershed of Loess Region. Water 2019, 11, 1848. [Google Scholar] [CrossRef]
- Zhu, R.; Yang, L.; Liu, T.; Wen, X.; Zhang, L.; Chang, Y. Hydrological Responses to the Future Climate Change in a Data Scarce Region.; Northwest China: Application of Machine Learning Models. Water 2019, 11, 1588. [Google Scholar] [CrossRef]
- Bhasin, V.; Bedi, P.; Singh, N.; Aggarwal, C. FS-EHS: Harmony Search Based Feature Selection Algorithm for Steganalysis Using ELM. In Innovations in Bio-Inspired Computing and Applications. Advances in Intelligent Systems and Computing; Snášel, V., Abraham, A., Krömer, P., Pant, M., Muda, A., Eds.; Springer: Cham, Switzerland, 2016; Volume 424. [Google Scholar]
- Shen, Y.; Xu, J.; Li, H.; Xiao, L. ELM-based spectral-spatial classification of hyperspectral images using bilateral filtering information on spectral band-subsets. In Proceedings of the IEEE International Geoscience and Remote Sensing Symposium (IGARSS), Beijing, China, 10–15 July 2016; pp. 497–500. [Google Scholar]
- Ebtehaj, I.; Bonakdari, H. A Comparative Study of Extreme Learning Machines and Support Vector Machines in Prediction of Sediment Transport in Open Channels. Int. J. Eng. Ttrans. B Appl. 2016, 29, 1523–1530. [Google Scholar]
- Huang, G.B.; Chen, L.; Siew, C.K. Universal approximation using incremental constructive feedforward networks with random hidden nodes. IEEE Trans. Neural Netw. Learn. Syst. 2006, 17, 879–892. [Google Scholar] [CrossRef] [PubMed]
- Liang, N.Y.; Huang, G.B.; Saratchandran, P.; Sundararajan, N. A fast and accurate online sequential learning algorithm for feedforward networks. IEEE Trans. Neural Netw. Learn. Syst. 2006, 17, 1411–1423. [Google Scholar] [CrossRef] [PubMed]
- Raudkivi, A.J.; Ettema, R. Clear-water scour at cylindrical piers. J. Hydraul. Eng. 1983, 109, 338–350. [Google Scholar] [CrossRef]
- Sheppard, D.M.; Odeh, M.; Glasser, T. Large scale clear-water local pier scour experiments. J. Hydraul. Eng. 2004, 130, 957–963. [Google Scholar] [CrossRef]
- Firat, M.; Gungor, M. Generalized regression neural networks and feedforward neural networks for prediction of scour depth around bridge piers. Adv. Eng. Softw. 2009, 40, 731–737. [Google Scholar] [CrossRef]
- Azamathulla, H.; Abghani, A.M.; Zakaria, N.A. An ANFIS based approach for predicting the scour below Flip-Bucket spillway. In Proceedings of the 2nd International Conference on Managing River in the 21st Century: Solution towards Sustainable River Basins, Riverside Kuching, Sarawak, 6–8 June 2007. [Google Scholar]
- Yasa, R.; Etemad-Shahidi, A. Classification and regression trees approach for predicting current-induced scour depth under pipelines. J. Offshore Mech. Arct. Eng. 2014, 136, 011702. [Google Scholar] [CrossRef]
- Najafzadeh, M.; Etemad-Shahidi, A.; Lim, S.Y. Scour prediction in long contractions using ANFIS and SVM. Ocean Eng. 2016, 111, 128–135. [Google Scholar] [CrossRef]
- Eray, O.; Mert, C.; Kisi, O. Comparison of multi-gene genetic programming and dynamic evolving neural-fuzzy inference system in modeling pan evaporation. Hydrol. Res. 2018, 49, 1221–1233. [Google Scholar] [CrossRef]
- Taylor, K.E. Summarizing multiple aspects of model performance in a single diagram. J. Geophys. Res. Atmos. 2001, 106, 7183–7192. [Google Scholar] [CrossRef]
- Ebtehaj, I.; Sattar, A.M.; Bonakdari, H.; Zaji, A.H. Prediction of scour depth around bridge piers using self-adaptive extreme learning machine. J. Hydroinformat. 2016, 19, 207–224. [Google Scholar] [CrossRef]
- Khozani, Z.S.; Bonakdari, H.; Ebtehaj, I. An analysis of shear stress distribution in circular channels with sediment deposition based on Gene Expression Programming. Int. J. Sediment Res. 2017, 32, 575–584. [Google Scholar] [CrossRef]
- Newcombe, R.G. Interval estimation for the difference between independent proportions: Comparison of eleven methods. Stat. Med. 1998, 17, 873–890. [Google Scholar] [CrossRef]
- Ballio, F.; Teruzzi, A.; Radice, A. Constriction effects in clear-water scour at abutments. J. Hydraul. Eng. 2009, 135, 140–145. [Google Scholar] [CrossRef]
- Azimi, H.; Bonakdari, H.; Ebtehaj, I.; Gharabaghi, B.; Khoshbin, F. Evolutionary design of generalized group method of data handling-type neural network for estimating the hydraulic jump roller length. Acta Mech. 2018, 229, 1197–1214. [Google Scholar] [CrossRef]
- Gholami, A.; Bonakdari, H.; Zeynoddin, M.; Ebtehaj, I.; Gharabaghi, B.; Khodashenas, S.R. Reliable method of determining stable threshold channel shape using experimental and gene expression programming techniques. Neural Comput. Appl. 2019, 31, 5799–5817. [Google Scholar] [CrossRef]













| Variable | Min | Max | Mean | Variance | Standard Deviation |
|---|---|---|---|---|---|
| d50 (mm) | 0.26 | 3.1 | 0.92 | 0.51 | 0.71 |
| h (m) | 0.05 | 0.25 | 0.16 | 0.004 | 0.06 |
| U (m/s) | 0.219 | 0.67 | 0.35 | 0.013 | 0.11 |
| ds (m) | 0.024 | 0.293 | 0.13 | 0.003 | 0.06 |
| L (m) | 0.04 | 0.13 | 0.08 | 0.001 | 0.03 |
| B (m) | 0.08 | 0.36 | 0.18 | 0.006 | 0.08 |
| Model. No | Fe | h/L | d50/L | Ks |
|---|---|---|---|---|
| ELM1 | ||||
| ELM2 | ||||
| ELM3 | ||||
| ELM4 | ||||
| ELM5 | ||||
| ELM6 | ||||
| ELM7 | ||||
| ELM8 | ||||
| ELM9 | ||||
| ELM10 | ||||
| ELM11 |
| Model | MIEE | SDEE | 95% CB | WUB |
|---|---|---|---|---|
| ELM1 | 0.001 | 0.162 | (−0.025 0.028) | ±0.026 |
| Moradi et al. [46] | 0.044 | 0.344 | (−0.012 0.100) | ±0.056 |
| Azimi et al. [47] | −0.044 | 0.304 | (−0.093 0.006) | ±0.050 |
| Muzzammil [23] | −1.613 | 0.702 | (−1.728 −1.499) | ±0.114 |
| Dey and Barbhuiya [22] | −0.171 | 0.757 | (−0.294 −0.047) | ±0.123 |
© 2020 by the authors. Licensee MDPI, Basel, Switzerland. This article is an open access article distributed under the terms and conditions of the Creative Commons Attribution (CC BY) license (http://creativecommons.org/licenses/by/4.0/).
Share and Cite
Bonakdari, H.; Moradi, F.; Ebtehaj, I.; Gharabaghi, B.; Sattar, A.A.; Azimi, A.H.; Radecki-Pawlik, A. A Non-Tuned Machine Learning Technique for Abutment Scour Depth in Clear Water Condition. Water 2020, 12, 301. https://doi.org/10.3390/w12010301
Bonakdari H, Moradi F, Ebtehaj I, Gharabaghi B, Sattar AA, Azimi AH, Radecki-Pawlik A. A Non-Tuned Machine Learning Technique for Abutment Scour Depth in Clear Water Condition. Water. 2020; 12(1):301. https://doi.org/10.3390/w12010301
Chicago/Turabian StyleBonakdari, Hossein, Fatemeh Moradi, Isa Ebtehaj, Bahram Gharabaghi, Ahmed A. Sattar, Amir Hossein Azimi, and Artur Radecki-Pawlik. 2020. "A Non-Tuned Machine Learning Technique for Abutment Scour Depth in Clear Water Condition" Water 12, no. 1: 301. https://doi.org/10.3390/w12010301
APA StyleBonakdari, H., Moradi, F., Ebtehaj, I., Gharabaghi, B., Sattar, A. A., Azimi, A. H., & Radecki-Pawlik, A. (2020). A Non-Tuned Machine Learning Technique for Abutment Scour Depth in Clear Water Condition. Water, 12(1), 301. https://doi.org/10.3390/w12010301

