Effect of Land Use/Cover Change on the Hydrological Response of a Southern Center Basin of Chile
Abstract
:1. Introduction
2. Materials and Methods
2.1. Study Watershed
2.2. SWAT Model Description
2.3. Input Data
2.3.1. Topography, Soil, Meteorological and Flow Data
2.3.2. Land Use
2.4. SWAT Sensitivity Analysis, Calibration and Validation
2.5. SWAT Model Performance Evaluation
2.6. Evaluation of the Land Use/Cover Change (LUCC) Effect on the Hydrological Response
3. Results
3.1. Land Use/Cover Change (LUCC)
3.2. Sensitivity Analysis
3.3. SWAT Model Calibration and Validation
3.4. Land Use and Flow Relationship in the Andalien River Basin
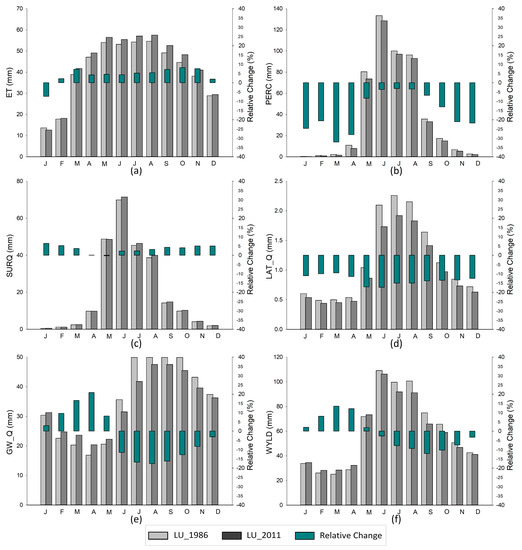
3.5. LUCC Impacts on the Hydrological Response
4. Discussions
4.1. Hydrological Modeling Response
4.2. Hydrological Response and LUCC
5. Conclusions
Author Contributions
Funding
Acknowledgments
Conflicts of Interest
References
- Hassan, R.; Scholes, R.; Ash, N. Ecosystems and Human Well-Being: Current State and Trends; ISLAND: Washington, DC, USA, 2005; Volume 1, ISBN 1-55963-227-5. [Google Scholar]
- Song, X.P.; Hansen, M.C.; Stehman, S.V.; Potapov, P.V.; Tyukavina, A.; Vermote, E.F.; Townshend, J.R. Global land change from 1982 to 2016. Nature 2018, 560, 639–643. [Google Scholar] [CrossRef] [PubMed]
- Foley, J.A.; Defries, R.; Asner, G.P.; Barford, C.; Bonan, G.; Carpenter, S.R.; Chapin, F.S.; Coe, M.T.; Daily, G.C.; Gibbs, H.K.; et al. Global Consequences of Land Use. Science 2005, 309, 570–575. [Google Scholar] [CrossRef] [PubMed] [Green Version]
- Sala, O.E.; Chapin, F.S.; Armesto, J.J.; Berlow, E.; Bloomfield, J.; Dirzo, R.; Huber-Sanwald, E.; Huenneke, L.F.; Jackson, R.B.; Kinzig, A.; et al. Global biodiversity scenarios for the year 2100. Science 2000, 287, 1770–1774. [Google Scholar] [CrossRef] [PubMed]
- Vitousek, P.M.; Mooney, H.A.; Lubchenco, J.; Melillo, J.M. Human Domination of Earth’s Ecosystems. Science 1997, 277, 494–499. [Google Scholar] [CrossRef] [Green Version]
- Haines-Young, R.; Potschin, M. Common International Classification of Ecosystem Services (CICES): Consultation on Version 4; European Environment Agency: København, Denmark, 2013.
- De Groot, R.S.; Wilson, M.A.; Boumans, R.M. A typology for the classification, description and valuation of ecosystem functions, goods and services. Ecol. Econ. 2002, 41, 393–408. [Google Scholar] [CrossRef] [Green Version]
- Fisher, B.; Turner, R.K.; Morling, P. Defining and classifying ecosystem services for decision making. Ecol. Econ. 2009, 68, 643–653. [Google Scholar] [CrossRef] [Green Version]
- Haines-Young, R.; Potschin, M.; Kienast, F. Indicators of ecosystem service potential at European scales: Mapping marginal changes and trade-offs. Ecol. Indic. 2012, 21, 39–53. [Google Scholar] [CrossRef]
- Chen, L.; Xie, G.; Zhang, C.; Pei, S.; Fan, N.; Ge, L.; Zhang, C. Modelling Ecosystem Water Supply Services across the Lancang River Basin. Ecology 2011, 2, 322–327. [Google Scholar]
- Putuhena, W.M.; Cordery, I. Some hydrological effects of changing forest cover from eucalypts to Pinusradiata. Agric. For. Meteorol. 2000, 100, 59–72. [Google Scholar] [CrossRef]
- Huber, A.; Iroume, A. Variability of annual rainfall partitioning for different sites and forest covers in Chile. J. Hydrol. 2001, 248, 78–92. [Google Scholar] [CrossRef]
- Sahin, V.; Hall, M.J. The effects o f afforestation and deforestation on water yields. J. Hydrol. 1996, 178, 293–309. [Google Scholar] [CrossRef]
- Bronstert, A.; Niehoff, D.; Gerd, B. Effects of climate and land-use change on storm runoff generation: Present knowledge and modelling capabilities. Hydrol. Process. 2002, 16, 509–529. [Google Scholar] [CrossRef]
- Echeverria, C.; Coomes, D.; Salas, J.; Lara, A.; Newton, A. Rapid deforestation and fragmentation of Chilean Temperate Forests. Biol. Conserv. 2006, 130, 481–494. [Google Scholar] [CrossRef]
- Aguayo, M.; Pauchard, A.; Azócar, G.; Parra, O. Cambio del uso del suelo en el centrosur de Chile a fines del siglo XX. Entendiendo la dinámicaespacial y temporal delpaisaje. Rev. Chil. Hist. Nat. 2009, 82, 361–374. [Google Scholar] [CrossRef] [Green Version]
- Echeverría, C.; Newton, A.; Nahuelhual, L.; Coomes, D.; Rey-benayas, J.M. How landscapes change: Integration of spatial patterns and human processes in temperate landscapes of southern Chile. Appl. Geogr. 2012, 32, 822–831. [Google Scholar] [CrossRef]
- Lara, A.; Solari, M.E.; Del Rosario Prieto, M.; Peña, M.P. Reconstrucción de la cobertura de la vegetación y uso del suelohacia 1550 y suscambios a 2007 en la ecorregión de los bosquesvaldivianoslluviosos de Chile (35°–43°30′ S). Bosque 2012, 33, 13–23. [Google Scholar] [CrossRef] [Green Version]
- Altamirano, A.; Aplin, P.; Miranda, A.; Cayuela, L.; Algar, A.C.; Field, R. High rates of forest loss and turnover obscured by classical landscape measures. Appl. Geogr. 2013, 40, 199–211. [Google Scholar] [CrossRef]
- Heilmayr, R.; Echeverría, C.; Fuentes, R.; Lambin, E.F. A plantation-dominated forest transition in Chile. Appl. Geogr. 2016, 75, 71–82. [Google Scholar] [CrossRef] [Green Version]
- Nahuelhual, L.; Carmona, A.; Lara, A.; Echeverría, C.; González, M.E. Land-cover change to forest plantations: Proximate causes and implications for the landscape in south-central Chile. Landsc. Urban Plan. 2012, 107, 12–20. [Google Scholar] [CrossRef] [Green Version]
- Zamorano-Elgueta, C.; María, J.; Benayas, R.; Cayuela, L.; Hantson, S.; Armenteras, D. Forest Ecology and Management Native forest replacement by exotic plantations in southern Chile (1985–2011) and partial compensation by natural regeneration. For. Ecol. Manag. 2015, 345, 10–20. [Google Scholar] [CrossRef] [Green Version]
- Miranda, A.; Altamirano, A.; Cayuela, L.; Lara, A.; González, M. Native forest loss in the Chilean biodiversity hotspot revealing the evidence. Reg. Environ. Chang. 2016, 17, 285–297. [Google Scholar] [CrossRef]
- Miranda, A.; Altamirano, A.; Cayuela, L.; Pincheira, F.; Lara, A. Different times, same story: Native forest loss and landscape homogenization in three physiographical areas of south-central of Chile. Appl. Geogr. 2015, 60, 20–28. [Google Scholar] [CrossRef]
- Aguayo, M.; Stehr, A. Respuestahidrológica de unacuenca de mesoescalafrente a futurosescenarios de expansiónforestal. Rev. Geogr. Norte Gd. 2016, 65, 197–214. [Google Scholar] [CrossRef] [Green Version]
- Altamirano, A.; Lara, A. Deforestación en ecosistemastemplados de la precordilleraandinadelcentro-sur de Chile Deforestation in temperate ecosystems of pre-Andean range of south-central Chile. Bosque 2010, 31, 53–64. [Google Scholar] [CrossRef] [Green Version]
- Schulz, J.J.; Cayuela, L.; Echeverria, C.; Salas, J.; Rey Benayas, J.M. Monitoring land cover change of the dryland forest landscape of Central Chile (1975–2008). Appl. Geogr. 2010, 30, 436–447. [Google Scholar] [CrossRef] [Green Version]
- Iroumé, A.; Palacios, H. Afforestation and changes in forest composition affect runoff in large river basins with pluvial regime and Mediterranean climate, Chile. J. Hydrol. 2013, 505, 113–125. [Google Scholar] [CrossRef]
- Lara, A.; Little, C.; Urrutia, R.; Mcphee, J.; Oyarzún, C.; Soto, D.; Donoso, P.; Nahuelhual, L.; Pino, M.; Arismendi, I. Forest Ecology and Management Assessment of ecosystem services as an opportunity for the conservation and management of native forests in Chile. For. Ecol. Manag. 2009, 258, 415–424. [Google Scholar] [CrossRef]
- Little, C.; Lara, A.; McPhee, J.; Urrutia, R. Revealing the impact of forest exotic plantations on water yield in large scale watersheds in South-Central Chile. J. Hydrol. 2009, 374, 162–170. [Google Scholar] [CrossRef]
- Iroumé, A.; Huber, A.; Schulz, K. Summer flows in experimental catchments with different forest covers, Chile. J. Hydrol. 2005, 300, 300–313. [Google Scholar] [CrossRef]
- Shi, Z.H.; Ai, L.; Li, X.; Huang, X.D.; Wu, G.L.; Liao, W. Partial least-squares regression for linking land-cover patterns to soil erosion and sediment yield in watersheds. J. Hydrol. 2013, 498, 165–176. [Google Scholar] [CrossRef]
- Boongaling, C.G.K.; Faustino-Eslava, D.V.; Lansigan, F.P. Modeling land use change impacts on hydrology and the use of landscape metrics as tools for watershed management: The case of an ungauged catchment in the Philippines. Land Use Policy 2018, 72, 116–128. [Google Scholar] [CrossRef]
- Arnold, J.G.; Srinivasan, R.; Muttiah, R.S.; Williams, J.R. Large area Hydrologic Modeling and Assessment Part I: Model Development. J. Am. Water Resour. Assoc. 1998, 34, 73–89. [Google Scholar] [CrossRef]
- Brzozowski, J.; Miatkowski, Z.; Sliwinski, D.; Smarzyńska, K.; Šmietanka, M. Application of SWAT model to small agricultural catchment in Poland. J. Water Land Dev. 2011, 15, 157–166. [Google Scholar] [CrossRef]
- Cibin, R.; Sudheer, K.P. Sensitivity and identifiability of stream flow generation parameters of the SWAT model. Hydrol. Process. 2010, 24, 1133–1148. [Google Scholar] [CrossRef]
- Du, B.; Ji, X.; Harmel, R.D.; Hauck, L.M. Evaluation of a watershed model for estimating daily flow using limited flow measurements. J. Am. Water Resour. Assoc. 2009, 45, 475–484. [Google Scholar] [CrossRef]
- Thampi, S.G.; Raneesh, K.Y.; Surya, T.V. Influence of Scale on SWAT Model Calibration for Streamflow in a River Basin in the Humid Tropics. Water Resour. Manag. 2010, 24, 4567–4578. [Google Scholar] [CrossRef]
- Zhang, X.; Srinivasan, R.; Arnold, J.; Izaurralde, R.C.; Bosch, D. Simultaneous calibration of surface flow and baseflow simulations: A revisit of the SWAT model calibration framework. Hydrol. Process. 2011, 25, 2313–2320. [Google Scholar] [CrossRef]
- Wei, X.; Sauvage, S.; Phuong Le Quynh, T.; Ouillon, S.; Orange, D.; DuyVinh, V.; Sanchez-Perez, J.-M. A Modeling Approach to Diagnose the Impacts of Global Changes on Discharge and Suspended Sediment Concentration within the Red River Basin. Water 2019, 11, 958. [Google Scholar] [CrossRef] [Green Version]
- Galván, L.; Olías, M.; Fernández de Villarán, R.; Domingo-Santos, J.M. Aplicacióndelmodelohidrológico SWAT a la cuenca del ríoMeca (Huelva, España). Geogaceta 2007, 42, 63–66. [Google Scholar]
- Peraza-Castro, M.; Ruiz-Romera, E.; Meaurio, M.; Sauvage, S.; Sánchez-Pérez, J.M. Modelling the impact of climate and land cover change on hydrology and water quality in a forest watershed in the Basque Country (Northern Spain). Ecol. Eng. 2018, 122, 315–326. [Google Scholar] [CrossRef]
- Biancamaria, S.; Mballo, M.; Le, P.; Pérez-Sánchez, J.-M.; Espitalier-Noël, G.; Grusson, Y.; Cakir, R.; Hä, V.; Barathieu, F.; Trasmonte, M.; et al. Total water storage variability from GRACE mission and hydrological models for a 50,000 km 2 temperate watershed: The Garonne River basin (France). J. Hydrol. Reg. Stud. 2019, 24, 100609. [Google Scholar] [CrossRef]
- Stehr, A.; Debels, P.; Romero, F.; Alcayaga, H. Hydrological modelling with SWAT under conditions of limited data availability: Evaluation of results from a Chilean case study. Hydrol. Sci. J. 2008, 53, 588–601. [Google Scholar] [CrossRef]
- Stehr, A.; Debels, P.; Arumi, J.L.; Romero, F.; Alcayaga, H. Combining the Soil and Water Assessment Tool (SWAT) and MODIS imagery to estimate monthly flows in a data-scarce Chilean Andean basin Chil. Hydrol. Sci. J. 2009, 6667, 1053–1067. [Google Scholar] [CrossRef]
- Stehr, A.; Aguayo, M.; Link, O.; Parra, O.; Romero, F.; Alcayaga, H. Modelling the hydrologic response of a mesoscale Andean watershed to changes in land use patterns for environmental planning. Hydrol. Earth Syst. Sci. 2010, 14, 1963–1977. [Google Scholar] [CrossRef] [Green Version]
- Omani, N.; Srinivasan, R.; Karthikeyan, R.; Venkata Reddy, K.; Smith, P.K. Impacts of climate change on the glacier melt runoff from five river basins. Trans. ASABE 2016, 59, 829–848. [Google Scholar]
- Omani, N.; Srinivasan, R.; Karthikeyan, R.; Smith, P.K. Hydrological Modeling of Highly Glacierized Basins (Andes, Alps, and Central Asia). Water 2017, 9, 111. [Google Scholar] [CrossRef] [Green Version]
- ServicioNacional de Geología y MineríaMapaGeológico de Chile escala 1: 1.000.000. 2003. Available online: http://www.ipgp.fr/~dechabal/Geol-millon.pdf (accessed on 1 September 2019).
- Institutoforestal (INFOR). Chilean Statistical Yearbook of Forestry 2019; StatisticaBulletin N° 168: Santiago, Chile, 2019. [Google Scholar]
- Arnold, J.G.; Moriasi, D.N.; Gassman, P.W.; Abbaspour, K.C.; White, M.J.; Srinivasan, R.; Santhi, C.; Harmel, R.D.; Van Griensven, A.; Van Liew, M.W.; et al. Swat: Model Use, Calibration, and Validation. Am. Soc. Agric. Biol. Eng. 2012, 55, 1491–1508. [Google Scholar]
- Zhang, Z. Nonpoint Source and Water Quality Modeling. In Handbook of Engineering Hydrology: Environmental Hydrology and Water Management; Eslamian, S., Ed.; CRC Press: New York, NY, USA, 2014; pp. 261–298. ISBN 9781466552500. [Google Scholar]
- CIREN EstudioAgrológico VIII Región. Descripciones de Suelos: Materiales y Símbolos; CIREN N°121: Santiago, Chile, 1999; ISBN 956-7153-36-1. [Google Scholar]
- Funk, C.; Peterson, P.; Landsfeld, M.; Pedreros, D.; Verdin, J.; Shukla, S.; Husak, G.; Rowland, J.; Harrison, L.; Hoell, A.; et al. The climate hazards infrared precipitation with stations—A new environmental record for monitoring extremes. Sci. Data 2015, 2, 150066. [Google Scholar] [CrossRef] [Green Version]
- Zambrano, F.; Wardlow, B.; Tadesse, T.; Lillo-saavedra, M.; Lagos, O. Evaluating satellite-derived long-term historical precipitation datasets for drought monitoring in Chile. Atmos. Res. 2016, 186, 26–42. [Google Scholar] [CrossRef]
- Abbaspour, K.C.; Yang, J.; Maximov, I.; Siber, R.; Bogner, K.; Mieleitner, J.; Zobrist, J. Modelling hydrology and water quality in the pre-alpine/alpine Thur watershed using SWAT. J. Hydrol. 2007, 333, 413–430. [Google Scholar] [CrossRef]
- Khalid, K.; Ali, M.F.; Rahman, N.F.A.; Mispan, M.R.; Haron, S.H.; Othman, Z.; Bachok, M.F. Sensitivity Analysis in Watershed Model Using SUFI-2 Algorithm. Procedia Eng. 2016, 162, 441–447. [Google Scholar] [CrossRef] [Green Version]
- Arnold, J.G.; Kiniry, J.R.; Srinivasan, R.; Williams, J.R.; Haney, E.B.; Neitsch, S.L. SWAT 2012 Input/Output Documentation; Texas A&M: College Station, TX, USA, 2012. [Google Scholar]
- Guse, B.; Reusser, D.E.; Fohrer, N. How to improve the representation of hydrological processes in SWAT for a lowland catchment—Temporal analysis of parameter sensitivity and model performance. Hydrol. Process. 2014, 28, 2651–2670. [Google Scholar] [CrossRef]
- Abbaspour, K.C.; Rouholahnejad, E.; Vaghefi, S.; Srinivasan, R.; Yang, H.; Kløve, B. A continental-scale hydrology and water quality model for Europe: Calibration and uncertainty of a high-resolution large-scale SWAT model. J. Hydrol. 2015, 524, 733–752. [Google Scholar] [CrossRef] [Green Version]
- Rykiel, E.J. Testing ecological models: The meaning of validation. Ecol. Model. 1996, 90, 229–244. [Google Scholar] [CrossRef]
- Moriasi, D.N.; Arnold, J.G.; Van Liew, M.W.; Bingner, R.L.; Harmel, R.D.; Veith, T.L. Model Evaluation Guidelines for Systematic Quantification of Accuracy in Watershed Simulations. Trans. ASABE 2007, 50, 885–900. [Google Scholar] [CrossRef]
- Le, T.P.Q.; Seidler, C.; Kändler, M.; Tran, T.B.N. Proposed methods for potential evapotranspiration calculation of the Red River basin (North Vietnam). Hydrol. Process. 2012, 26, 2782–2790. [Google Scholar] [CrossRef]
- Tuppad, P.; Douglas-Mankin, K.R.; Lee, T.; Srinivasan, R.; Arnold, J.G. Soil and Water Assessment Tool (SWAT) Hydrologic/ Water Quality Model: Extended Capability and Wider Adoption. Trans. ASABE 2011, 54, 1677–1684. [Google Scholar] [CrossRef]
- Thai, T.H.; Thao, N.P.; Dieu, B.T. Assessment and Simulation of Impacts of Climate Change on Erosion and Water Flow by Using the Soil and Water Assessment Tool and GIS: Case Study in Upper Cau River basin in Vietnam. Vietnam J. Earth Sci. 2017, 39, 376–392. [Google Scholar] [CrossRef] [Green Version]
- Nyeko, M. Hydrologic Modelling of Data Scarce Basin with SWAT Model: Capabilities and Limitations. Water Resour. Manag. 2014, 29, 81–94. [Google Scholar] [CrossRef]
- Saxton, K.E.; Rawls, W.J. Soil Water Characteristic Estimates by Texture and Organic Matter for Hydrologic Solutions. Soil Sci. Soc. Am. J. 2006, 1578, 1569–1578. [Google Scholar] [CrossRef] [Green Version]
- Bosch, D.D.; Arnold, J.G.; Volk, M.; Allen, P.M. Simulation of a Low-Gradient Coastal Plain Watershed Using the SWAT Landscape Model. Trans. ASABE 2010, 53, 1445–1456. [Google Scholar] [CrossRef]
- Bonumá, N.B.; Rossi, C.G.; Arnold, J.G.; Reichert, J.M.; Minella, J.P.; Allen, P.M.; Volk, M. Simulating Landscape Sediment Transport Capacity by Using a Modified SWAT Model. J. Environ. Qual. 2014, 43, 55–66. [Google Scholar] [CrossRef] [PubMed]
- Rathjens, H.; Oppelt, N.; Bosch, D.D.; Arnold, J.G.; Volk, M. Development of a grid-based version of the SWAT landscape model. Hydrol. Process. 2015, 914, 900–914. [Google Scholar] [CrossRef]
- Sun, X.; Garneau, C.; Volk, M.; Arnold, J.G.; Srinivasan, R.; Sauvage, S.; Sánchez-Pérez, J.M. Improved simulation of river water and groundwater exchange in an alluvial plain using the SWAT model. Hydrol. Process. 2015, 30, 187–202. [Google Scholar] [CrossRef] [Green Version]
- Morán-Tejeda, E.; Zabalza, J.; Rahman, K.; Gago-Silva, A.; López-Moreno, J.I.; Vicente-Serrano, S.; Beniston, M. Hydrological impacts of climate and land-use changes in a mountain watershed: Uncertainty estimation based on model comparison. Ecohydrology 2014, 8, 1396–1416. [Google Scholar] [CrossRef]
- Neitsch, S.L.; Arnold, J.G.; Kiniry, J.R.; Williams, J.R. Soil and Water Assessment Tool Theoretical Documentation. Version 2005; Texas A&M AgriLife Blackland Research & Extension Center: Temple, TX, USA, 2005. [Google Scholar]
- Olivera-Guerra, L.; Mattar, C.; Galleguillos, M. Estimation of real evapotranspiration and its variation in Mediterranean landscapes of central-southern Chile. Int. J. Appl. Earth Obs. Geoinform. 2014, 28, 160–169. [Google Scholar] [CrossRef]
- Huber, A.; Iroumé, A.; Bathurst, J. Effect of Pinusradiata plantations on water balance in Chile. Hydrol. Process. 2008, 22, 142–148. [Google Scholar] [CrossRef]
- Otero, L.; Contreras, A.; Barrales, L. Análisis de los efectosambientalesdelreemplazo de bosquenativoporplantaciones (efectossobrecuatromicrocuencas en la provincia de Valdivia). Cienc. Investig. For. 1994, 8, 253–276. [Google Scholar]
- Jones, J.; Almeida, A.; Cisneros, F.; Iroumé, A.; Jobbágy, E.; Lara, A.; de Paula Lima, W.; Little, C.; Llerena, C.; Silveira, L.; et al. Forests and water in South America. Hydrol. Process. 2017, 31, 972–980. [Google Scholar] [CrossRef]
- Alvarez-Garreton, C.; Lara, A.; Boisier, J.P.; Galleguillos, M. The impacts of native forests and forest plantations on water supply in Chile. Forests 2019, 10, 473. [Google Scholar] [CrossRef] [Green Version]
- Benra, F.; Nahuelhual, L.; Gaglio, M.; Gissi, E.; Aguayo, M.; Jullian, C.; Bonn, A. Ecosystem services tradeoffs arising from non-native tree plantation expansion in southern Chile. Landsc. Urban. Plan. 2019, 190, 103589. [Google Scholar] [CrossRef]
- Jullian, C.; Nahuelhual, L.; Mazzorana, B.; Aguayo, M. Assessment of the ecosystem service of water regulation under scenarios of conservation of native vegetation and expansion of forest plantations in south-central Chile. Bosque 2018, 39, 277–289. [Google Scholar] [CrossRef] [Green Version]
- Ahmad, I.; Verma, V.; Verma, M.K. Application of Curve Number Method for Estimation of Runoff Potential in GIS Environment. In Proceedings of the 2nd International Conference on Geological and Civil Engineering; IPCBEE: Singapore, 2015; Volume 80. [Google Scholar]
- United States Department of Agriculture (USDA). Hydrology Training Series: Runoff Curve Number Computations. Available online: https://www.nrcs.usda.gov/Internet/FSE_DOCUMENTS/stelprdb1082992.pdf (accessed on 25 April 2019).
- CONAMA-DGF. Estudio de la Variabilidad Climática en Chile Para el Siglo XXI; Departamento de Geofísica: Santiago, Chile, 2006. [Google Scholar]
- Falvey, M.; Garreaud, D. Regional cooling in a warming world: Recent temperature trends in the southeast Pacific and along the west coast of subtropical South America (1979–2006). J. Geophys. Res. 2009, 114, 1–16. [Google Scholar] [CrossRef]







| Input Data | Description | Source | |
|---|---|---|---|
| Meteorological Data | Extreme temperatures | Minimum and maximum daily temperatures. Period 1981–2013. Spatial resolution (30 × 35 km) | CFSR global base. Available at https://globalweather.tamu.edu/ |
| Precipitation | Daily precipitation. Period 1981–2013 (0.05 spatial resolution) | CHIRPS database. Available at http://chg.geog.ucsb.edu/data/chirps/ | |
| Spatial Data | DEM | Digital elevation model (12.5 m resolution) | Alos-1 Palsar Sensor. Available at https://vertex.daac.asf.alaska.edu/ |
| Soil type | Agrological studies of the Biobío region (1:70,000 spatial resolution) | CIREN 1999 | |
| Land use | Soil use map 1986, 2001, 2011 (1:30,000 spatial resolution) | (Heilmayr) in 2016 [20] |
| Parameter | Description |
|---|---|
| EPCO | Plant uptake compensation factor. |
| GW_REVAP | Groundwater “revap” coefficient |
| CNCOEF | Plant ET curve number coefficient |
| SURLAG | Surface runoff lag time. |
| CN2 | SCS runoff curve number f. |
| SLSUBBSN | Longitud media de la pendiente (m) |
| OV_N | Manning’s “n” value for overland flow |
| SOL_AWC | Available water capacity of the soil layer |
| FFCB | Initial soil water storage expressed as a fraction of field capacity water content |
| LAT_TIME | Lateral flow travel time |
| GW DELAY | Groundwater delay (days) |
| ALPHA_BF | Baseflow alpha factor (days) |
| GWQMN | Threshold depth of water in the shallow aquifer required for return flow to occur (mm) |
| RCHRG_DP | Deep aquifer percolation fraction |
| TRNSRCH | Fraction of transmission losses from main channel that enter deep aquifer. |
| CH_N1 | Manning’s “n” value for the tributary channels |
| CH_N2 | Manning’s “n” value for the main channel |
| Land Use | LUCC (%) | Relative Changes (%) | ||||
|---|---|---|---|---|---|---|
| LU_1986 | LU_2001 | LU_2011 | 1986–2001 | 2001–2011 | 1986–2011 | |
| Native forest | 18.72 | 12.04 | 5.34 | −6.68 | −6.69 | −13.38 |
| Plantation | 35.22 | 49.92 | 63.86 | 14.70 | 13.94 | 28.64 |
| Scrub | 28.58 | 21.79 | 11.26 | −6.79 | −10.53 | −17.32 |
| Agriculture | 16.56 | 14.64 | 17.25 | −1.92 | 2.61 | 0.69 |
| Other | 0.92 | 1.62 | 2.28 | 0.70 | 0.66 | 1.36 |
| Parameter | Parameter Description | Calibration Values | ||
|---|---|---|---|---|
| Adjusted Value | Minimum Value | Maximum Value | ||
| CH_N1 | Manning’s “n” value for the tributary channels. | 27.7 | 11.1 | 30 |
| CNCOEF | Plant ET curve number coefficient. | 1.4 | 1 | 2 |
| ALPHA_BF | Baseflow alpha factor (days) | 0.9 | 0.45 | 1 |
| GW_DELAY | Groundwater delay (days). | 159 | 0 | 273.7 |
| SURLAG | Surface runoff lag time. | 11.6 | 1 | 17.4 |
| GWQMN | Threshold depth of water in the shallow aquifer required for return flow to occur (mm). | 1408 | 1351 | 4058 |
| SLSUBBSN | Average lenght of the slope (m). | 111.7 | 49.9 | 129.9 |
| Statisticians | Without Calibration (1984–1992) | Calibration (1984–1992) | Validation (1994–2002) | Validation (2005–2013) |
|---|---|---|---|---|
| R2 | 0.80 | 0.77 | 0.75 | 0.69 |
| NSE | 0.18 | 0.77 | 0.74 | 0.69 |
| PBIAS | 49.43% | 5.67% | 0.91% | −1.18% |
| Monthly Relative Changes (%) | ||||||
|---|---|---|---|---|---|---|
| MONTH | ET | PERC | SURQ | LAT_Q | GW_Q | WYLD |
| January | −7.38 | −24.66 | 6.42 | −11.03 | 2.95 | 2.07 |
| February | 2.20 | −20.59 | 5.18 | −10.01 | 9.63 | 8.04 |
| March | 7.27 | −32.08 | 3.70 | −9.55 | 16.57 | 13.47 |
| April | 4.23 | −28.09 | 0.06 | −11.54 | 20.85 | 12.14 |
| May | 4.53 | −8.40 | −0.29 | −17.09 | 8.18 | 1.99 |
| June | 4.31 | −3.64 | 2.28 | −17.33 | −11.57 | −2.63 |
| July | 5.19 | −3.13 | 2.35 | −15.06 | −16.86 | −7.84 |
| August | 5.44 | −3.44 | 3.17 | −15.01 | −17.62 | −9.38 |
| September | 7.14 | −6.81 | 4.31 | −13.84 | −16.25 | −12.13 |
| October | 8.16 | −13.07 | 4.02 | −13.50 | −12.81 | −10.25 |
| November | 7.58 | −21.04 | 5.00 | −13.36 | −8.35 | −7.49 |
| December | 1.92 | −21.82 | 5.00 | −12.51 | −3.11 | −3.27 |
| Annual average | 4.22 | −15.57 | 3.43 | −13.32 | −2.37 | −1.27 |
© 2020 by the authors. Licensee MDPI, Basel, Switzerland. This article is an open access article distributed under the terms and conditions of the Creative Commons Attribution (CC BY) license (http://creativecommons.org/licenses/by/4.0/).
Share and Cite
Martínez-Retureta, R.; Aguayo, M.; Stehr, A.; Sauvage, S.; Echeverría, C.; Sánchez-Pérez, J.-M. Effect of Land Use/Cover Change on the Hydrological Response of a Southern Center Basin of Chile. Water 2020, 12, 302. https://doi.org/10.3390/w12010302
Martínez-Retureta R, Aguayo M, Stehr A, Sauvage S, Echeverría C, Sánchez-Pérez J-M. Effect of Land Use/Cover Change on the Hydrological Response of a Southern Center Basin of Chile. Water. 2020; 12(1):302. https://doi.org/10.3390/w12010302
Chicago/Turabian StyleMartínez-Retureta, Rebeca, Mauricio Aguayo, Alejandra Stehr, Sabine Sauvage, Cristian Echeverría, and José-Miguel Sánchez-Pérez. 2020. "Effect of Land Use/Cover Change on the Hydrological Response of a Southern Center Basin of Chile" Water 12, no. 1: 302. https://doi.org/10.3390/w12010302

