Short-Term Response of Young Mandarin Trees to Desalinated Seawater Irrigation
Abstract
1. Introduction
2. Material and Methods
2.1. Experimental Plot and Irrigation Treatments
2.2. Irrigation System, Management and Treatments
2.3. Irrigation Water Quality
2.4. Soil Characterization
2.5. Determinations in Plants
2.5.1. Vegetative Growth
2.5.2. Leaf Water Relations
2.5.3. Leaf Analysis
2.5.4. Gas Exchange Parameters
2.5.5. Yield and Fruit Quality
2.5.6. Economic Assessment
2.6. Statistical Analysis
3. Results and Discussion
3.1. Irrigation Water Quality and Volume Applied
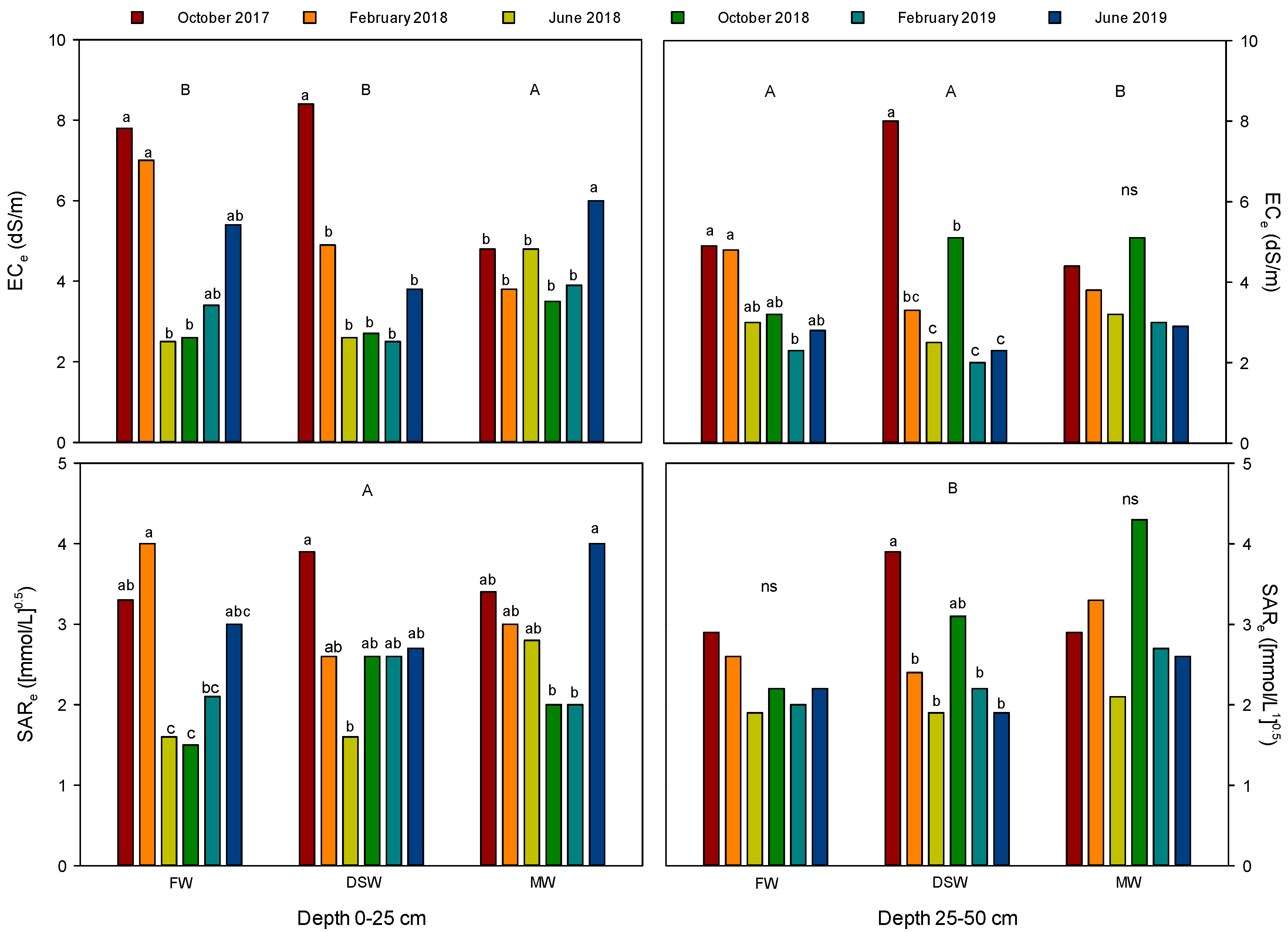
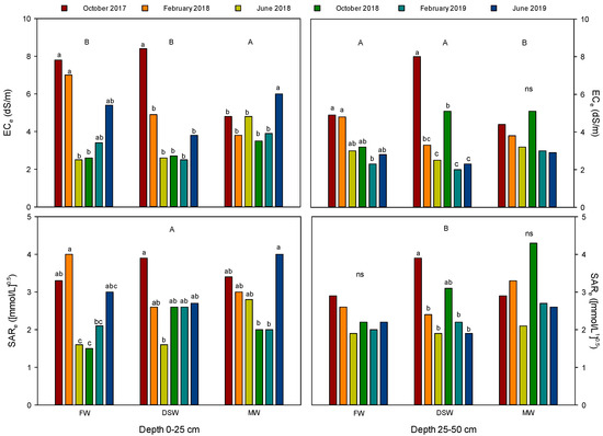
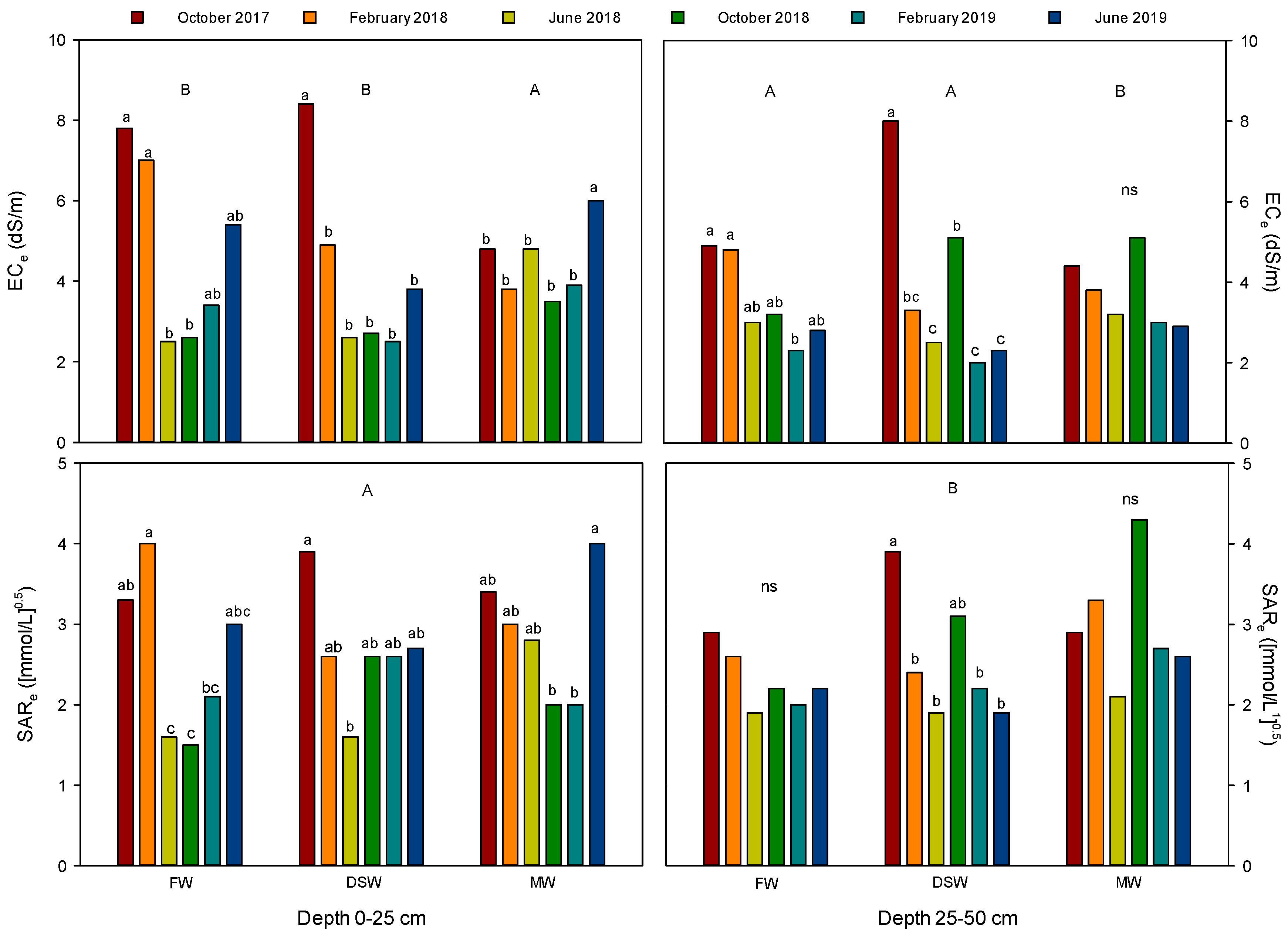
3.2. Soil Salinity and Sodicity
3.3. Leaf Mineral Analysis and Phytotoxic Elements
3.4. Plant Water Status and Leaf Gas Exchange
3.5. Yield and Fruit Quality
3.6. Economic Assessment
4. Conclusions
Author Contributions
Funding
Acknowledgments
Conflicts of Interest
References
- Food and Agriculture Organization of the United Nations (FAO). The Future of Food and Agriculture—Trends and Challenges; FAO: Rome, Italy, 2017. [Google Scholar]
- Faures, J.M.; Bartley, D.; Bazza, M.; Burke, J.; Hoogeveen, J.; Soto, D.; Steduto, P. Climate Smart Agriculture Sourcebook; FAO: Rome, Italy, 2013; 557p. [Google Scholar]
- Confederación Hidrográfica de la Cuenca del Segura. Plan Hidrológico de la Cuenca del Segura 2015–2021; CHS: Murcia, Spain, 2015. (In Spanish) [Google Scholar]
- Martínez-Alvarez, V.; González-Ortega, M.J.; Martin-Gorriz, B.; Soto-García, M.; Maestre-Valero, J.F. The use of desalinated seawater for crop irrigation in the Segura River Basin (south-eastern Spain). Desalination 2017, 422, 153–164. [Google Scholar] [CrossRef]
- Martínez-Alvarez, V.; Maestre-Valero, J.F.; González-Ortega, M.J.; Gallego-Elvira, B.; Martin Gorriz, B. Characterization of the Agricultural Supply of Desalinated Seawater in Southeastern Spain. Water 2019, 11, 1233. [Google Scholar] [CrossRef]
- Raveh, E.; Ben-Gal, A. Leveraging Sustainable Irrigated Agriculture via Desalination: Evidence from a Macro-Data Case Study in Israel. Sustainability 2018, 10, 974. [Google Scholar] [CrossRef]
- Bates, B.; Kundzewicz, Z.W.; Wu, S.; Palutikof, J. (Eds.) Climate Change and Water, Technical Paper of the Intergovernmental Panel on Climate Change; IPCC Secretariat: Geneva, Switzerland, 2008. [Google Scholar]
- Aznar-Sánchez, J.A.; Belmonte-Ureña, L.J.; Valera, D.L. Perceptions and Acceptance of Desalinated Seawater for Irrigation: A Case Study in the Níjar District (Southeast Spain). Water 2017, 9, 408. [Google Scholar] [CrossRef]
- Ben-Gal, A.; Yermiyahu, U.; Cohen, S. Fertilization and blending alternatives for irrigation with desalinated water. J. Environ. Qual. 2009, 38, 529–536. [Google Scholar] [CrossRef] [PubMed]
- Hilal, N.; Kim, G.J.; Somerfield, C. Boron removal from saline water: A comprehensive review. Desalination 2011, 273, 23–35. [Google Scholar] [CrossRef]
- Mandal, U.K.; Bhardwaj, A.K.; Warrington, D.N.; Goldstein, D.; Tal, A.B.; Levy, G.J. Changes in soil hydraulic conductivity, runoff, and soil loss due to irrigation with different types of saline–sodic water. Geoderma 2008, 144, 509–516. [Google Scholar] [CrossRef]
- Shaffer, D.L.; Yip, N.Y.; Gilron, J.; Elimelech, M. Seawater desalination for agriculture by integrated forward and reverse osmosis: Improved product water quality for potentially less energy. J. Membr. Sci. 2012, 415–416, 1–8. [Google Scholar] [CrossRef]
- Martin-Gorriz, B.; Soto-García, M.; Martínez-Alvarez, V. Energy and greenhouse-gas emissions in irrigated agriculture of SE (southeast) Spain. Effects of alternative water supply scenarios. Energy 2014, 77, 478–488. [Google Scholar] [CrossRef]
- Palomar, P.; Losada, I.J. Desalination in Spain: Recent developments and recommendations. Desalination 2010, 255, 97–106. [Google Scholar] [CrossRef]
- Maestre-Valero, J.F.; Martin-Gorriz, B.; Soto-Garcia, M.; Martínez-Mate, M.A.; Martinez-Alvarez, V. Producing lettuce in soil-based or in soilless outdoor systems. Which is more economically profitable? Agric. Water Manag. 2018, 206, 48–55. [Google Scholar] [CrossRef]
- Martínez-Alvarez, V.; Martin-Gorriz, B.; Soto-García, M. Seawater desalination for crop irrigation—A review of current experiences and revealed key issues. Desalination 2016, 381, 58–70. [Google Scholar] [CrossRef]
- Allen, R.G.; Pereira, L.S.; Raes, D.; Smith, M. Crop Evapotranspiration Guidelines for Computing Crop Water Requirements; FAO Irrigation and Drainage Paper No. 56; FAO: Rome, Italy, 1998; pp. 15–27. [Google Scholar]
- Castel, J.R.; Bautista, I.; Ramos, C.; Cruz, G. Evapotranspiration and irrigation efficiency of mature orange orchards in Valencia (Spain). Irrig. Drain. Syst. 1987, 3, 205–217. [Google Scholar] [CrossRef]
- Fereres, E.; Castel, J.R. Drip Irrigation Management. Division of Agricultural Sciences; Leatlet 21259; University of California: Oakland, CA, USA, 1981. [Google Scholar]
- Rhoades, J.D. Soluble salts. In Methods of Soil Analysis Part 2, Chemical and Microbiological Properties; Page, A.L., Miller, R.H., Kenney, D.R., Eds.; Agronomy Monograph; Soil Science Society of America: Madison, WI, USA, 1982; Volume 9, pp. 167–178. [Google Scholar]
- Turner, N.C. Measurements of plant water status by pressure chamber technique. Irrig. Sci. 1988, 9, 289–308. [Google Scholar] [CrossRef]
- McCutchan, H.; Shackel, K.A. Stem-water potential as a sensitive indicator of water stress in prune trees (Prunus domestica L. cv French). J. Am. Soc. Hortic. Sci. 1992, 117, 607–611. [Google Scholar] [CrossRef]
- Duchaufour, P.H. Precis de Pedologie; Masson: Paris, France, 1970; pp. 257–280. [Google Scholar]
- Bates, L.S.M.; Waldren, R.P.; Teare, I.D. Rapid determination of free proline for water stress studies. Plant Soil 1973, 39, 205–207. [Google Scholar] [CrossRef]
- Torrecillas, A.; León, A.; del Amor, F.; Martínez-Mompeán, M.C. Determinación rápida de clorofila en discos foliares de limonero. Fruits 1984, 39, 617–622. (In Spanish) [Google Scholar]
- Sinclair, T.R.; Allen, L.H. Carbon dioxide and water vapour exchange of leaves on field-grown citrus trees. J. Exp. Bot. 1982, 33, 1166–1175. [Google Scholar] [CrossRef]
- Syvertsen, J.P. Light acclimation in citrus leaves. II. CO2 assimilation and light, water and nitrogen use efficiency. J. Am. Soc. Hortic. Sci. 1984, 109, 812–817. [Google Scholar]
- von Caemmerer, S.; Farquhar, G.D. Some relationships between the biochemistry of photosynthesis and the gas exchange of leaves. Planta 1981, 153, 376–387. [Google Scholar] [CrossRef]
- Yermiyahu, U.; Tal, A.; Ben-Gal, A.; Bar-Tal, A.; Tarchitzky, J.; Lahav, O. Rethinking desalinated water quality and agriculture. Science 2007, 318, 920–921. [Google Scholar] [CrossRef] [PubMed]
- Grattan, S.R.; Diaz, F.J.; Pedrero, F.; Vivaldi, G.A. Assessing the suitability of saline wastewaters for irrigation of Citrus spp.: Emphasis on boron and specific-ion interactions. Agric. Water Manag. 2015, 157, 48–58. [Google Scholar] [CrossRef]
- Voutchkov, N.; Semiat, R. Chapter 3. Seawater Desalination. In Advanced Membrane Technology and Applications, 1st ed.; Li, N.N., Fane, A.G., Ho, W.W., Matsuura, T., Eds.; John Wiley & Sons, Inc.: Hoboken, NJ, USA, 2008; pp. 47–86. [Google Scholar]
- Hanson, B.; Grattan, S.; Fulton, A. Agricultural Salinity and Drainage; Water Management Series Publication; University of California: Davis, CA, USA, 2006; Volume 3375, 157p. [Google Scholar]
- Muyen, Z.; Moore, G.A.; Wrigley, R.J. Soil salinity and sodicity effects of wastewater irrigation in South East Australia. Agric. Water Manag. 2011, 99, 33–41. [Google Scholar] [CrossRef]
- Legaz, F.; Serna, M.D.; Ferrer, P.; Cebolla, V.; Primo-Millo, E. Análisis de Hojas, Suelos y Aguas Para el Diagnóstico Nutricional de Plantaciones de Cítricos. Procedimiento de Toma de Muestras; Generalitat Valenciana: Valencia, Spain, 1995; Volume 27. (In Spanish)
- Rubio, F.; Flores, P.; Navarro, J.M.; Martínez, V. Effects of Ca2+, K+ and cGMP on Na+ uptake in pepper plants. Plant Sci. 2003, 165, 1043–1049. [Google Scholar] [CrossRef]
- Grieve, C.M.; Grattan, S.R.; Maas, E.V. Plant salt tolerance. In Agricultural Salinity Assessment and Management, 2nd ed.; Wallender, W.W., Tanji, K.K., Eds.; ASCE Manuals and Reports on Engineering Practice No. 71; American Society of Civil Engineers (ASCE): Reston, VA, USA, 2012; pp. 405–459. [Google Scholar]
- Romero-Trigueros, C.; Nortes, P.A.; Pedrero, F.; Mounzer, O.; Alarcón, J.J.; Bayona, J.M.; Nicolás, E. Assessment of the viability of using saline reclaimed water in grapefruit in medium to long term. Span. J. Agric. Res. 2014, 12, 1137–1148. [Google Scholar] [CrossRef]
- Abu-Daba´an, R.; Al-Najar, H. The Effect of Long Term Irrigation by Treated Effluent on Boron Accumulation in Soil and Citrus Plants. Asian Rev. Environ. Earth Sci. 2018, 5, 22–26. [Google Scholar] [CrossRef][Green Version]
- Embleton, T.W.; Jones, W.W.; Labanauskas, C.K.; Reuther, W. Leaf analysis as a diagnostic tool and guide to fertilization. In The Citrus Industry; Reuther, W., Ed.; University of California: Berkely, CA, USA, 1973; Volume 3, pp. 183–210. [Google Scholar]
- Gimeno, V.; Simon, I.; Nieves, M.; Martinez, V.; Camara-Zapata, J.M.; Garcia, A.L.; García-Sánchez, F. The physiological and nutritional responses to an excess of boron by Verna lemon trees that were grafted on four contrasting rootstocks. Trees 2012, 26, 1513–1526. [Google Scholar] [CrossRef]
- Mesquita, G.L.; Zambrosi, F.C.B.; Tanaka, F.A.O.; Boaretto, R.M.; Quaggio, J.A.; Ribeiro, R.V.; Mattos, D., Jr. Anatomical and physiological responses of citrus trees to varying boron availability are dependent on rootstock. Front. Plant Sci. 2016, 7, 224. [Google Scholar] [CrossRef]
- Pérez-Pérez, J.G.; Romero, P.; Navarro, J.M.; Botía, P. Response of sweet orange cv ‘Lane late’ to deficit irrigation in two rootstocks. I: Water relations, leaf gas exchange and vegetative growth. Irrig. Sci. 2008, 26, 519–529. [Google Scholar] [CrossRef]
- Pedrero, F.; Maestre-Valero, J.F.; Mounzer, O.; Nortes, P.A.; Alcobendas, R.; Romero-Trigueros, R.; Bayona, J.M.; Alarcón, J.J.; Nicolás, E. Response of young ‘Star Ruby’ grapefruit trees to regulated deficit irrigation with saline reclaimed water. Agric. Water Manag. 2015, 158, 51–60. [Google Scholar] [CrossRef]
- Nicolás, E.; Alarcón, J.J.; Mounzer, O.; Pedrero, F.; Nortes, P.A.; Alcobendas, R.; Romero-Trigueros, C.; Bayona, J.M.; Maestre-Valero, J.F. Long-term physiological and agronomic responses of mandarin trees to irrigation with saline reclaimed water. Agric. Water Manag. 2016, 166, 1–8. [Google Scholar] [CrossRef]
- Pérez-Pérez, J.G.; Syvertsen, J.P.; Botía, P.; García-Sánchez, F. Leaf water relations and net gas exchange responses of salinized Carrizo citrange seedlings during drought stress and recovery. Ann. Bot. 2007, 100, 335–345. [Google Scholar] [CrossRef] [PubMed]
- Ashraf, M.; Harris, P.J.C. Potential Biochemical Indicators of Salinity Tolerance in Plants. Plant Sci. 2004, 166, 3–16. [Google Scholar] [CrossRef]
- Medrano, H.; Tomás, M.; Martorell, S.; Flexas, J.; Hernández, E.; Roselló, J.; Pou, A.; Escalona, J.M.; Bota, J. From leaf to whole-plant water use efficiency (WUE) in complex canopies: Limitations of leaf WUE as a selection target. Crop J. 2015, 3, 220–228. [Google Scholar] [CrossRef]
- Ayers, R.S.; Westcot, D.W. Water Quality for Agriculture; FAO Irrigation and Drainage Paper 29; Food and Agriculture Organization of the United Nations: Rome, Italy, 1985. [Google Scholar]
- Navarro, J.M.; Pérez-Pérez, J.G.; Romero, P.; Botía, P. Analysis of the changes in quality in mandarin fruit, produced by deficit irrigation treatments. Food Chem. 2010, 119, 1591–1596. [Google Scholar] [CrossRef]
- Navarro, J.M.; Gómez-Gómez, A.; Pérez-Pérez, J.G.; Botía, P. Effect of saline conditions on the maturation process of Clementine Clemenules fruits on two different rootstocks. Span. J. Agric. Res. 2010, 8, S21–S29. [Google Scholar] [CrossRef]




| Parameters | Units | FW | DSW | MW | |||
|---|---|---|---|---|---|---|---|
| Oct-2017 to Sept-2018 | Oct-2018 to Jun-2019 | Oct-2017 to Sept-2018 | Oct-2018 to Jun-2019 | Oct-2017 to Sept-2018 | Oct-2018 to Jun-2019 | ||
| pH | 7.7 ± 0.2 | 7.8 ± 0.1 | 7.9 ± 0.3 | 7.9 ± 0.8 | 7.7 ± 0.2 | 7.8 ± 0.1 | |
| ECw | dS/m | 1.7 ± 0.4 | 1.1 ± 0.0 | 0.9 ± 0.0 | 0.9 ± 0.2 | 1.4 ± 0.2 | 1.0 ± 0.1 |
| Ca2+ | mg/L | 65.1 ± 12.9 | 59.9 ± 9.4 | 24.3 ± 6.5 | 30.5 ± 18.0 | 45.2 ± 8.9 | 45.5 ± 9.2 |
| Mg2+ | mg/L | 44.4 ± 12.3 | 31.7 ± 5.2 | 9.1 ± 2.1 | 10.7 ± 10.7 | 27.9 ± 5.8 | 21.8 ± 6.4 |
| Na+ | mg/L | 195.1 ± 72.7 | 128.0 ± 25.3 | 152.6 ± 19.1 | 109.6 ± 38.2 | 175.9 ± 37.2 | 130.1 ± 7.2 |
| K+ | mg/L | 11.7 ± 2.8 | 7.2 ± 1.6 | 7.1 ± 1.0 | 5.9 ± 2.9 | 10.1 ± 2.2 | 6.4 ± 1.1 |
| B3+ | mg/L | 0.61 ± 0.28 | 0.49 ± 0.07 | 0.84 ± 0.11 | 0.85 ± 0.19 | 0.72 ± 0.11 | 0.71 ± 0.09 |
| Cl− | mg/L | 298.2 ± 114.8 | 189.0 ± 24.2 | 244.5 ± 37.7 | 178.2 ± 63.2 | 266.6 ± 65.2 | 206.9 ± 15.3 |
| SO42− | mg/L | 181.1 ± 48.6 | 159.5 ± 34.2 | 14.5 ± 4.1 | 34.6 ± 53.4 | 95.9 ± 25.6 | 98.9 ± 28.9 |
| NO3− | mg/L | 6.6 ± 1.7 | 8.7 ± 2.8 | 2.2 ± 2.2 | 4.3 ± 4.6 | 5.3 ± 1.9 | 4.9 ± 1.5 |
| PO43− | mg/L | LD * < 0.76 | LD * < 0.76 | LD * < 0.76 | LD * < 0.76 | LD * < 0.76 | LD * < 0.76 |
| SARw | [mmol/L]0.5 | 4.5 ± 1.4 | 3.4 ± 0.7 | 6.8 ± 0.8 | 4.7 ± 1.6 | 5.1 ± 0.9 | 4.0 ± 1.0 |
| Max threshold Na+ | 115 mg/L Grattan et al. [30] | ||||||
| Max threshold Cl− | 350 mg/L Hanson et al. [32]; 152–238 mg/L Grattan et al. [30] | ||||||
| Max threshold B3+ | 0.5 mg/L Martínez-Alvarez et al. [4]; Voutchkov and Semiat [31] | ||||||
| Parameters | FW | DSW | MW | Significance |
|---|---|---|---|---|
| gs | 0.069 ± 0.006 | 0.064 ± 0.007 | 0.071 ± 0.012 | ns |
| A | 6.80 ± 0.32 | 6.56 ± 0.54 | 7.18 ± 0.82 | ns |
| E | 1.76 ± 0.09 | 1.69 ± 0.12 | 1.81 ± 0.22 | ns |
| Ci | 204 ± 12 | 199 ± 11 | 201 ± 13 | ns |
| A/E | 4.23 ± 0.07 | 4.20 ± 0.14 | 4.31 ± 0.13 | ns |
| A/gs | 105 ± 7 | 108 ± 7 | 107 ± 9 | ns |
| Season | Treatment | Tree Canopy Equatorial Area (m2) | Crop Load (Fruits/Tree) | Yield (kg/Tree) | Yield/Tree Canopy Equatorial Area (kg/m2) | Fruit Weight (g) |
|---|---|---|---|---|---|---|
| February 2018 | FW | 1.2 ± 0.3 | 10.7 ± 14.9 | 1.3 ± 1.9 | 1.1 ± 1.6 | 120.3 ± 5.5 |
| DSW | 1.4 ± 0.4 | 31.5 ± 33.7 | 4.9 ± 4.2 | 3.5 ± 2.9 | 138.3 ± 18.9 | |
| MW | 1.5 ± 0.7 | 23.0 ± 8.1 | 3.1 ± 1.4 | 2.1 ± 0.9 | 134.7 ± 30.1 | |
| Significance | ns | ns | ns | ns | ns | |
| February 2019 | FW | 3.1 ± 0.4 | 118.3 ± 78.5 | 13.9 ± 8.2 | 4.5 ± 2.6 | 122.7 ± 15.2 |
| DSW | 3.3 ± 0.7 | 97.0 ± 54.1 | 11.4 ± 6.2 | 3.6 ± 1.9 | 120.3 ± 11.3 | |
| MW | 3.2 ± 1.0 | 161.2 ± 58.1 | 18.1 ± 6.2 | 5.5 ± 1.8 | 113.7 ± 9.6 | |
| Significance | ns | ns | ns | ns | ns |
| Season | Treatment | Equatorial Diameter (mm) | Longitudinal Diameter (mm) | Juice Content (%) | Soluble Solid Content (ºBrix) | Peel Thickness (mm) | Titratable Acid (%) | Maturity Index |
|---|---|---|---|---|---|---|---|---|
| February 2018 | FW | - | - | 50.7 ± 2.3 | 11.7 ± 1.6 | - | - | - |
| DSW | - | - | 50.3 ± 1.6 | 12.4 ± 0.8 | - | - | - | |
| MW | - | - | 51.1 ± 2.2 | 12.7 ± 0.5 | - | - | - | |
| Significance | - | - | ns | ns | - | - | - | |
| February 2019 | FW | 66.1 ± 2.3 | 56.3 ± 2.3 | 46.2 ± 1.77 | 13.5 ± 1.1 | 2.9 ± 0.2 | 1.4 ± 0.2 | 9.5 ± 0.6 |
| DSW | 66.0 ± 2.2 | 56.2 ± 1.2 | 45.3 ± 1.64 | 14.2 ± 0.8 | 3.0 ± 0.2 | 1.6 ± 0.1 | 9.0 ± 0.8 | |
| Significance | 65.3 ± 2.5 | 56.8 ± 2.4 | 43.7 ± 1.79 | 14.0 ± 0.9 | 2.8 ± 0.2 | 1.5 ± 0.3 | 9.5 ± 1.1 | |
| ANOVA | ns | ns | ns | ns | ns | ns | ns |
| Title | Oct-2017 to Sept-2018 | Oct-2018 to Jun-2019 | ||||
|---|---|---|---|---|---|---|
| €/ha | FW | DSW | MW | FW | DSW | MW |
| Water cost | 582 | 998 | 790 | 543 | 931 | 737 |
| Fruit selling income | 270 ± 394a | 1017 ±872a | 643 ± 290a | 2885 ± 1702a | 2366 ± 1287a | 3757 ± 1287a |
| Income−Outlay | −312 ± 187a | 19 ±126a | −146 ± 499a | 2342 ± 1159ab | 1435 ± 356b | 3020 ± 549a |
© 2020 by the authors. Licensee MDPI, Basel, Switzerland. This article is an open access article distributed under the terms and conditions of the Creative Commons Attribution (CC BY) license (http://creativecommons.org/licenses/by/4.0/).
Share and Cite
Maestre-Valero, J.F.; Martínez-Alvarez, V.; Jódar-Conesa, F.J.; Acosta, J.A.; Martin-Gorriz, B.; Robles, J.M.; Pérez-Pérez, J.G.; Navarro, J.M. Short-Term Response of Young Mandarin Trees to Desalinated Seawater Irrigation. Water 2020, 12, 159. https://doi.org/10.3390/w12010159
Maestre-Valero JF, Martínez-Alvarez V, Jódar-Conesa FJ, Acosta JA, Martin-Gorriz B, Robles JM, Pérez-Pérez JG, Navarro JM. Short-Term Response of Young Mandarin Trees to Desalinated Seawater Irrigation. Water. 2020; 12(1):159. https://doi.org/10.3390/w12010159
Chicago/Turabian StyleMaestre-Valero, Jose F., Victoriano Martínez-Alvarez, Francisco J. Jódar-Conesa, Jose A. Acosta, Bernardo Martin-Gorriz, Juan M. Robles, Juan G. Pérez-Pérez, and Josefa M. Navarro. 2020. "Short-Term Response of Young Mandarin Trees to Desalinated Seawater Irrigation" Water 12, no. 1: 159. https://doi.org/10.3390/w12010159
APA StyleMaestre-Valero, J. F., Martínez-Alvarez, V., Jódar-Conesa, F. J., Acosta, J. A., Martin-Gorriz, B., Robles, J. M., Pérez-Pérez, J. G., & Navarro, J. M. (2020). Short-Term Response of Young Mandarin Trees to Desalinated Seawater Irrigation. Water, 12(1), 159. https://doi.org/10.3390/w12010159

