Water Quality and Hydromorphological Variability in Greek Rivers: A Nationwide Assessment with Implications for Management
Abstract
1. Introduction
2. Materials and Methods
2.1. Description of Data
2.2. Statistical Analysis
2.3. Physicochemical Variables Analysis at the Sub-Basin Scale
3. Results
3.1. Relationships Among Environmental Parameters
3.2. Environmental Gradients of Water Quality and Hydromorphology
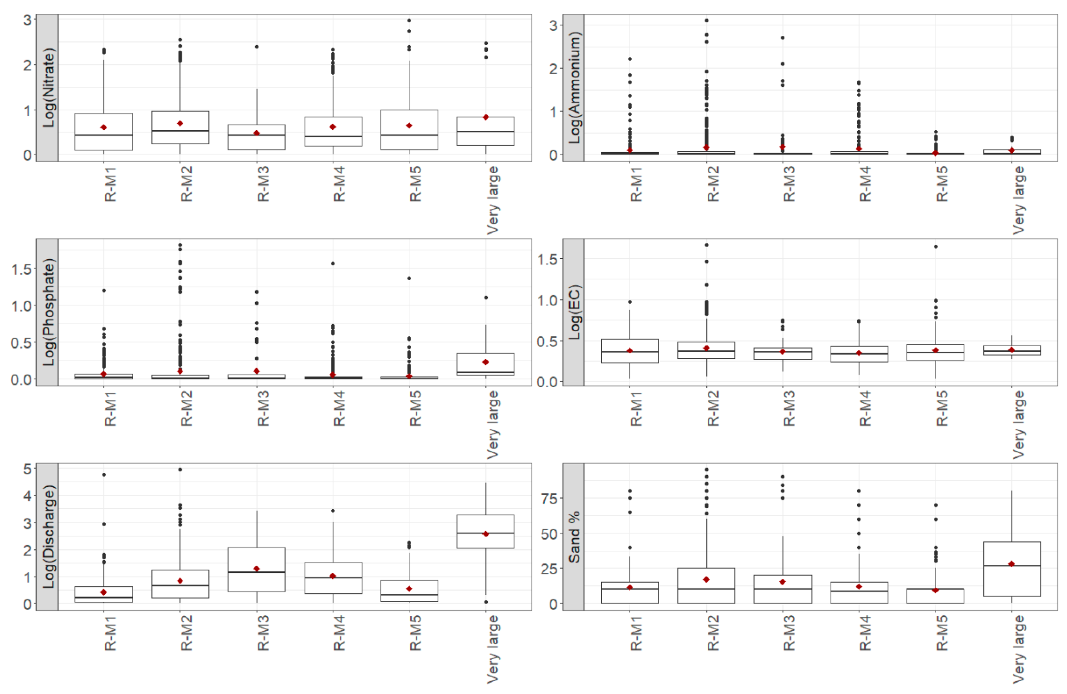
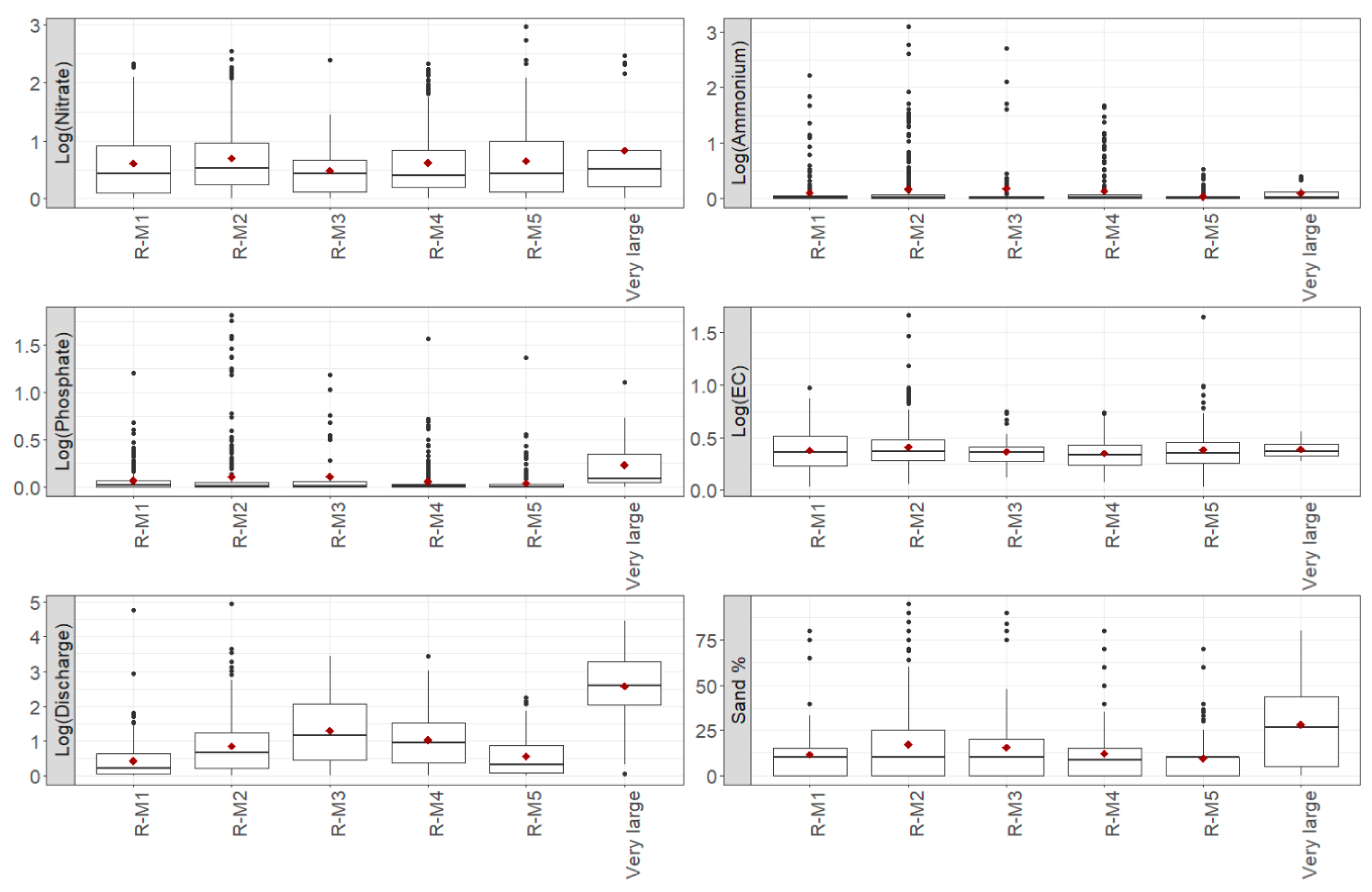
3.3. Variability among ICTs and RBDs
3.4. Relationships Between Water Chemistry and Land Uses
4. Discussion
4.1. Water Quality and Hydromorphological Status in GREEK Rivers
4.2. Spatial Patterns of Variability Among Rivers
5. Conclusions and Implications for Further Management
Author Contributions
Funding
Conflicts of Interest
References
- Europea Comunidad. Directive of the European Parliament and of the Council 2000/60/EC Establishing a Framework for Community Action in the Field of Water Policy. Available online: https://www.eea.europa.eu/policy-documents/directive-2000-60-ec-of (accessed on 27 June 2019).
- Nikolaou, A.D.; Meric, S.; Lekkas, D.F.; Naddeo, V.; Belgiorno, V.; Groudev, S.; Tanik, A. Multi-parametric water quality monitoring approach according to the WFD application in Evros trans-boundary river basin: Priority pollutants. Desalination 2008, 226, 3–320. [Google Scholar] [CrossRef]
- European Commission. Commission Staff Working Document European Overview (1/2) Accompanying the document Report From the Commission to the European Parliament and the Council on the Implementation of the Water Framework Directive (2000/60/EC) River Basin Management Plans. Available online: https://publications.europa.eu/en/publication-detail/-/publication/85d9694d-d1d7-48bb-9402-d6da989eb9df/language-en (accessed on 27 June 2019).
- Muhar, S.; Januschke, K.; Kail, J.; Poppe, M.; Schmutz, S.; Hering, D.; Buijse, A.D. Evaluating good-practice cases for river restoration across Europe: Context, methodological framework, selected results and recommendations. Hydrobiologia 2016, 769, 3–19. [Google Scholar] [CrossRef]
- European Commission. Common Implementation Strategy for the Water Framework Directive (2000/60/Ec). River Basin Management in a Changing Climate. 2009, Volume 24. Available online: https://circabc.europa.eu/sd/a/a88369ef-df4d-43b1-8c8c-306ac7c2d6e1/Guidance%20document%20n%2024%20-%20River%20Basin%20Management%20in%20a%20Changing%20Climate_FINAL.pdf (accessed on 27 June 2019).
- Quevauviller, P. Adapting to climate change: Reducing water-related risks in Europe—EU policy and research considerations. Environ. Sci. Policy 2011, 14, 722–729. [Google Scholar] [CrossRef]
- Wilby, R.L.; Orr, H.G.; Hedger, M.; Forrow, D.; Blackmore, M. Risks posed by climate change to the delivery of Water Framework Directive objectives in the UK. Environ. Int. 2006, 32, 1043–1055. [Google Scholar] [CrossRef] [PubMed]
- Voulvoulis, N.; Arpon, K.D.; Giakoumis, T. The EU Water Framework Directive: From great expectations to problems with implementation. Sci. Total Environ. 2017, 575, 358–366. [Google Scholar] [CrossRef] [PubMed]
- Giakoumis, T.; Voulvoulis, N. The transition of EU water policy towards the water framework directive’s integrated river basin management paradigm. Environ. Manag. 2018, 62, 819–831. [Google Scholar] [CrossRef] [PubMed]
- Carvalho, L.; Mackay, E.B.; Cardoso, A.C.; Baattrup-Pedersen, A.; Birk, S.; Blackstock, K.L.; Borics, G.; Borja, A.; Feld, C.K.; Ferreira, M.T.; et al. Protecting and restoring Europe’s waters: An analysis of the future development needs of the Water Framework Directive. Sci. Total Environ. 2019, 658, 1228–1238. [Google Scholar] [CrossRef]
- Lekka, E.; Kagalou, I.; Lazaridou-Dimitriadou, M.; Albanis, T.; Dakos, V.; Lambropoulou, D.; Sakkas, V. Assessment of the water and habitat quality of a Mediterranean river (Kalamas, Epirus, Hellas), in accordance with the EU water framework directive. Acta Hydrochim. Hydrobiol. 2004, 32, 175–188. [Google Scholar] [CrossRef]
- Theodoropoulos, C.; Iliopoulou-Georgudaki, J. Response of biota to land use changes and water quality degradation in two medium-sized river basins in southwestern Greece. Ecol. Indic. 2010, 10, 1231–1238. [Google Scholar] [CrossRef]
- Lazaridou, M.; Ntislidou, C.; Karaouzas, I.; Skoulikidis, N. Harmonisation of a new assessment method for estimating the ecological quality status of Greek running waters. Ecol. Indic. 2018, 84, 683–694. [Google Scholar] [CrossRef]
- Lazaridou, M.; Ntislidou, C.; Karaouzas, I.; Skoulikidis, N.; Birk, S. Harmonization of the assessment method for classifying the ecological quality status of very large Greek rivers. Knowl. Manag. Aquat. Ecosyst. 2018, 419, 50. [Google Scholar] [CrossRef]
- Dimitriou, E.; Markogianni, V.; Mentzafou, A.; Karaouzas, I.; Zogaris, S. Ecological status assessment of Pikrodafni stream (Attica, Greece), restoration and management measures. Desalin. Water Treat. 2015, 56, 1248–1255. [Google Scholar] [CrossRef]
- Feio, M.J.; Calapez, A.R.; Elias, C.L.; Cortes, R.M.V.; Graça, M.A.S.; Pinto, P.; Almeida, S.F.P. The paradox of expert judgment in rivers ecological monitoring. J. Environ. Manag. 2016, 184, 609–616. [Google Scholar] [CrossRef]
- Carré, C.; Meybeck, M.; Esculier, F. The Water Framework Directive’s “percentage of surface water bodies at good status”: Unveiling the hidden side of a “hyperindicator”. Ecol. Indic. 2017, 78, 371–380. [Google Scholar] [CrossRef]
- Skoulikidis, N.T.; Amaxidis, Y.; Bertahas, I.; Laschou, S.; Gritzalis, K. Analysis of factors driving stream water composition and synthesis of management tools—A case study on small/medium Greek catchments. Sci. Total Environ. 2006, 362, 205–241. [Google Scholar] [CrossRef]
- Dimitriou, E.; Mentzafou, A.; Zogaris, S.; Tzortziou, M.; Gritzalis, K.; Karaouzas, I.; Nikolaidis, C. Assessing the environmental status and identifying the dominant pressures of a trans-boundary river catchment, to facilitate efficient management and mitigation practices. Environ. Earth Sci. 2012, 66, 1839–1852. [Google Scholar] [CrossRef]
- Markogianni, V.; Varkitzi, I.; Pagou, K.; Dimitriou, E. Nutrient flows and related impacts between a Mediterranean river and the associated coastal area. Cont. Shelf Res. 2017, 134, 1–14. [Google Scholar] [CrossRef]
- Stefanidis, K.; Panagopoulos, Y.; Mimikou, M. Impact assessment of agricultural driven stressors on benthic macroinvertebrates using simulated data. Sci. Total Environ. 2016, 540, 32–42. [Google Scholar] [CrossRef]
- Simeonov, V.; Stratis, J.A.; Samara, C.; Zachariadis, G.; Voutsa, D.; Anthemidis, A.; Sofoniou, M.; Kouimtzis, T. Assessment of the surface water quality in Northern Greece. Water Res. 2003, 37, 4119–4124. [Google Scholar] [CrossRef]
- Skoulikidis, N.T. The environmental state of rivers in the Balkans-A review within the DPSIR framework. Sci. Total Environ. 2009, 407, 2501–2516. [Google Scholar] [CrossRef]
- Kotti, M.E.; Vlessidis, A.G.; Thanasoulias, N.C.; Evmiridis, N.P. Assessment of river water quality in Northwestern Greece. Water Resour. Manag. 2005, 19, 77–94. [Google Scholar] [CrossRef]
- Antonopoulos, V.Z.; Papamichail, D.M.; Mitsiou, K.A. Statistical and trend analysis of water quality and quantity data for the Strymon River in Greece. Hydrol. Earth Syst. Sci. 2010, 5, 679–692. [Google Scholar] [CrossRef]
- Greek Government Gazette II 1635 of 9 June 2016. Modification of Article 19 of Annex 19 to Presidential Decree 51/2007 (A’54), as modified by Article 5 of Law 4117/2013 (A29), in Compliance with Directive 2014/101/EU of the European Council of 30 October 2014. Available online: www.et.gr (accessed on 27 June 2019).
- Bastian, M.; Heymann, S. Gephi: An open source software for exploring and manipulating networks. In Proceedings of the Third International AAAI Conference on Weblogs and Social Media, San Jose, CA, USA, 17–20 May 2009. [Google Scholar]
- Wei, T.; Simko, V. R package “corrplot”: Visualization of a Correlation Matrix. Available online: https://github.com/taiyun/corrplot (accessed on 2 April 2019).
- Lê, S.; Josse, J.; Husson, F. {FactoMineR}: A package for multivariate analysis. J. Stat. Softw. 2008, 25, 1–18. [Google Scholar] [CrossRef]
- R Core Team. R: A Language and Environment for Statistical Computing. Available online: https://www.r-project.org/ (accessed on 2 April 2019).
- Crouzet, P.; le Gall, G.; Gomez, O. EEA Catchments and Rivers Network System ECRINS v1.1. Available online: https://www.eea.europa.eu/publications/eea-catchments-and-rivers-network (accessed on 27 June 2019).
- Fennel, K.; Testa, J.M. Biogeochemical controls on coastal hypoxia. Ann. Rev. Mar. Sci. 2018, 11, 105–130. [Google Scholar] [CrossRef]
- Bu, C.; Wang, Y.; Ge, C.; Ahmad, H.A.; Gao, B.; Ni, S.Q. dissimilatory nitrate reduction to ammonium in the yellow river estuary: Rates, abundance, and community diversity. Sci. Rep. 2017, 7, 1–11. [Google Scholar] [CrossRef]
- Bouraoui, F.; Grizzetti, B. Modelling mitigation options to reduce diffuse nitrogen water pollution from agriculture. Sci. Total Environ. 2014, 468–469, 1267–1277. [Google Scholar] [CrossRef]
- Grizzetti, B.; Pistocchi, A.; Liquete, C.; Udias, A.; Bouraoui, F.; van de Bund, W. Erratum: Human pressures and ecological status of European rivers. Sci. Rep. 2017, 7, 6941. [Google Scholar] [CrossRef]
- Stefanidis, K.; Panagopoulos, Y.; Mimikou, M. Response of a multi-stressed Mediterranean river to future climate and socio-economic scenarios. Sci. Total Environ. 2018, 627, 756–769. [Google Scholar] [CrossRef]
- Karaouzas, I. Agro-industrial wastewater pollution in Greek river ecosystems. In The Rivers of Greece. Evolution, Current Status and Perspectives; Skoulikidis, N., Dimitriou, E., Karaouzas, I., Eds.; Springer: Berlin/Heidelberg, Germany, 2016; pp. 169–204. ISBN 978-3-662-55369-5. [Google Scholar]
- Skoulikidis, N. The state and origin of river water composition in Greece. In The Rivers of Greece. Evolution, Current Status and Perspectives; Skoulikidis, N., Dimitriou, E., Karaouzas, I., Eds.; Springer: Berlin/Heidelberg, Germany, 2016; pp. 97–127. ISBN 978-3-662-55369-5. [Google Scholar]
- Donohue, I.; McGarrigle, M.L.; Mills, P. Linking catchment characteristics and water chemistry with the ecological status of Irish rivers. Water Res. 2006, 40, 91–98. [Google Scholar] [CrossRef]
- Roberts, W.M.; Fealy, R.M.; Doody, D.G.; Jordan, P.; Daly, K. Estimating the effects of land use at different scales on high ecological status in Irish rivers. Sci. Total Environ. 2016, 572, 618–625. [Google Scholar] [CrossRef]
- Bowes, M.J.; Smith, J.T.; Neal, C.; Leach, D.V.; Scarlett, P.M.; Wickham, H.D.; Harman, S.A.; Armstrong, L.K.; Davy-Bowker, J.; Haft, M.; et al. Changes in water quality of the River Frome (UK) from 1965 to 2009: Is phosphorus mitigation finally working? Sci. Total Environ. 2011, 409, 3418–3430. [Google Scholar] [CrossRef]
- Naden, P.S.; Murphy, J.F.; Old, G.H.; Newman, J.; Scarlett, P.; Harman, M.; Duerdoth, C.P.; Hawczak, A.; Pretty, J.L.; Arnold, A.; et al. Understanding the controls on deposited fine sediment in the streams of agricultural catchments. Sci. Total Environ. 2016, 547, 366–381. [Google Scholar] [CrossRef]
- Mathers, K.L.; Rice, S.P.; Wood, P.J. Discharge and suspended sediment time series as controls on fine sediment ingress into gravel river beds. Catena 2019, 173, 253–263. [Google Scholar] [CrossRef]
- Florsheim, J.L.; Pellerin, B.A.; Oh, N.H.; Ohara, N.; Bachand, P.A.M.; Bachand, S.M.; Bergamaschi, B.A.; Hernes, P.J.; Kavvas, M.L. From deposition to erosion: Spatial and temporal variability of sediment sources, storage, and transport in a small agricultural watershed. Geomorphology 2011, 132, 272–286. [Google Scholar] [CrossRef]
- Jones, J.I.; Collins, A.L.; Naden, P.S.; Sear, D.A. The relationship between fine sediment and macrophytes in rivers. River Res. Appl. 2012, 28, 1006–1018. [Google Scholar] [CrossRef]
- Voutsa, D.; Manoli, E.; Samara, C.; Sofoniou, M.; Stratis, I. A study of surface water quality in Macedonia, Greece: Speciation of nitrogen and phosphorus. Water Air Soil Pollut. 2001, 129, 13–32. [Google Scholar] [CrossRef]
- European Environment Agency. European Waters—Assessment of Status and Pressures; No 8/2012.; European Environment Agency: Copenhagen, Denmark, 2012. [Google Scholar]
- Solheim, A.L.; Austnes, K.; Kristensen, P.; Peterlin, M.; Kodeš, V.; Collins, R.; Semerádová, S.; Künitzer, A.; Filippi, R.; Prchalová, H.; et al. Ecological and Chemical Status and Pressures in European Waters. Thematic Assessment for EEA Water 2012 Report; ETC/ICM: Prague, Czech Republic, 2012. [Google Scholar]
- Spänhoff, B.; Dimmer, R.; Friese, H.; Harnapp, S.; Herbst, F.; Jenemann, K.; Mickel, A.; Rohde, S.; Schönherr, M.; Ziegler, K.; et al. Ecological status of rivers and streams in Saxony (Germany) according to the water framework directive and prospects of improvement. Water 2012, 4, 887–904. [Google Scholar] [CrossRef]
- Bowes, M.J.; Jarvie, H.P.; Naden, P.S.; Old, G.H.; Scarlett, P.M.; Roberts, C.; Armstrong, L.K.; Harman, S.A.; Wickham, H.D.; Collins, A.L. Identifying priorities for nutrient mitigation using river concentration-flow relationships: The Thames basin, UK. J. Hydrol. 2014, 517, 1–12. [Google Scholar] [CrossRef]
- Halliday, S.J.; Skeffington, R.A.; Wade, A.J.; Bowes, M.J.; Gozzard, E.; Newman, J.R.; Loewenthal, M.; Palmer-Felgate, E.J.; Jarvie, H.P. High-frequency water quality monitoring in an urban catchment: Hydrochemical dynamics, primary production and implications for the Water Framework Directive. Hydrol. Process. 2015, 29, 3388–3407. [Google Scholar] [CrossRef]
- Trepel, M. Towards ecohydrological nutrient management for river basin districts. Ecohydrol. Hydrobiol. 2016, 16, 92–98. [Google Scholar] [CrossRef]
- Follett, R. (Ed.) Nitrogen Management and Ground Water Protection. Developments in Agricultural and Managed Forest Ecology, Volume 21; Elsevier Science Publishers B.V.: Amsterdam, The Netherlands, 1989; ISBN 9780444599391. [Google Scholar]
- Hansen, B.; Thorling, L.; Schullehner, J.; Termansen, M.; Dalgaard, T. Groundwater nitrate response to sustainable nitrogen management. Sci. Rep. 2017, 7, 1–12. [Google Scholar] [CrossRef]
- Wild, L.M.; Mayer, B.; Einsiedl, F. Decadal delays in groundwater recovery from nitrate contamination caused by Low O2 reduction rates. Water Resour. Res. 2018, 54, 9996–10012. [Google Scholar] [CrossRef]
- Scheurer, K.; Alewell, C.; Bänninger, D.; Burkhardt-Holm, P. Climate and land-use changes affecting river sediment and brown trout in alpine countries—A review. Environ. Sci. Pollut. Res. 2009, 16, 232–242. [Google Scholar] [CrossRef]
- Samaras, A.G.; Koutitas, C.G. Modeling the impact of climate change on sediment transport and morphology in coupled watershed-coast systems: A case study using an integrated approach. Int. J. Sediment. Res. 2014, 29, 304–315. [Google Scholar] [CrossRef]
- Luo, P.; Zhou, M.; Deng, H.; Lyu, J.; Cao, W.; Takara, K.; Nover, D.; Geoffrey Schladow, S. Impact of forest maintenance on water shortages: Hydrologic modeling and effects of climate change. Sci. Total Environ. 2018, 615, 1355–1363. [Google Scholar] [CrossRef]
- Dimitriou, E.; Stavroulaki, E. Assessment of riverine morphology and habitat regime using unmanned aerial vehicles in a Mediterranean environment. Pure Appl. Geophys. 2018, 175, 3247–3261. [Google Scholar] [CrossRef]











| RBD Code | RBD Name | No Sites |
|---|---|---|
| GR01 | Western Peloponnese | 36 |
| GR02 | Northern Peloponnese | 33 |
| GR03 | Eastern Peloponnese | 13 |
| GR04 | West Central Greece | 35 |
| GR05 | Epirus | 27 |
| GR06 | Attica | 6 |
| GR07 | East Central Greece | 30 |
| GR08 | Thessaly | 43 |
| GR09 | Western Macedonia | 25 |
| GR10 | Central Macedonia | 20 |
| GR11 | Eastern Macedonia | 25 |
| GR12 | Thrace | 25 |
| GR13 | Crete | 26 |
| GR14 | Aegean Islands | 8 |
| Total | 352 |
| Variable | Mean | Median | Min. | Max. | sd | se |
|---|---|---|---|---|---|---|
| Physicochemical variables | ||||||
| Electrical conductivity (μS/cm) | 490 | 420 | 60 | 3320 | 320 | 320 |
| Total dissolved solids (mg/L) | 295 | 253 | 28 | 2155 | 192 | 10 |
| pH | 8.02 | 8.05 | 6.65 | 9.43 | 0.46 | 0.02 |
| Nitrate (mg/L) | 1.26 | 0.60 | 0.01 | 16.46 | 1.89 | 0.10 |
| Nitrite (mg/L) | 0.06 | 0.004 | 0.00 | 7.75 | 0.43 | 0.02 |
| Ammonium (mg/L) | 0.22 | 0.02 | 0.00 | 21.24 | 1.33 | 0.07 |
| Dissolved inorganic nitrogen (mg/L) | 1.54 | 0.69 | 0.01 | 21.34 | 2.44 | 0.13 |
| Phosphate (mg/L) | 0.14 | 0.02 | 0.00 | 4.98 | 0.47 | 0.03 |
| Oxygen saturation (%) | 99.62 | 101.05 | 20.30 | 169.30 | 17.03 | 0.91 |
| Hydromorphological variables | ||||||
| Rock (%) | 2.52 | 0.00 | 0.00 | 85.00 | 9.32 | 0.50 |
| Boulders (%) | 11.00 | 8.01 | 0.00 | 70.00 | 13.12 | 0.70 |
| Cobbles (%) | 28.99 | 28.51 | 0.00 | 90.00 | 18.65 | 0.99 |
| Pebbles (%) | 21.47 | 20.00 | 0.00 | 70.00 | 11.60 | 0.62 |
| Gravel (%) | 13.68 | 13.00 | 0.00 | 60.00 | 8.53 | 0.45 |
| Sand (%) | 13.84 | 10.00 | 0.00 | 95.00 | 15.56 | 0.83 |
| Silt and Clay (%) | 8.62 | 3.93 | 0.00 | 100.00 | 15.95 | 0.85 |
| Channel vegetation (%) | 11.78 | 5.00 | 0.00 | 100.00 | 18.00 | 0.96 |
| Canopy shade (%) | 20.98 | 20.00 | 0.00 | 95.00 | 23.66 | 1.26 |
| Right bank vegetation (%) | 46.43 | 45.52 | 0.00 | 100.00 | 32.03 | 1.71 |
| Left bank vegetation (%) | 47.03 | 46.31 | 0.00 | 100.00 | 31.76 | 1.69 |
| Channel width (m) | 12.95 | 7.50 | 1.05 | 380.00 | 24.39 | 1.30 |
| Channel depth (cm) | 41.98 | 37.75 | 0.00 | 245.00 | 30.05 | 1.60 |
| Flow (m/s) | 0.34 | 0.28 | 0.00 | 2.26 | 0.28 | 0.01 |
| Discharge (m3/s) | 1.95 | 0.63 | 0.01 | 53.53 | 4.29 | 0.23 |
| Variable | Nitrate | Phosphate | Ammonium | EC | NCS |
|---|---|---|---|---|---|
| (Intercept) | 1.02 ** | 0.35 * | 0.26 | 0.80 *** | 3.59 *** |
| Artificial LUs | 0.19 *** | 0.08 *** | 0.11 *** | 0.04 *** | −0.46 *** |
| Agricultures | 0.18 *** | −0.01 | −0.01 | 0.04 *** | −0.14 ** |
| Forests and Semi-natural areas | −0.10 | −0.06 | −0.04 | −0.10 *** | 0.11 * |
| R2 | 0.32 | 0.15 | 0.14 | 0.31 | 0.46 |
© 2019 by the authors. Licensee MDPI, Basel, Switzerland. This article is an open access article distributed under the terms and conditions of the Creative Commons Attribution (CC BY) license (http://creativecommons.org/licenses/by/4.0/).
Share and Cite
Stefanidis, K.; Papaioannou, G.; Markogianni, V.; Dimitriou, E. Water Quality and Hydromorphological Variability in Greek Rivers: A Nationwide Assessment with Implications for Management. Water 2019, 11, 1680. https://doi.org/10.3390/w11081680
Stefanidis K, Papaioannou G, Markogianni V, Dimitriou E. Water Quality and Hydromorphological Variability in Greek Rivers: A Nationwide Assessment with Implications for Management. Water. 2019; 11(8):1680. https://doi.org/10.3390/w11081680
Chicago/Turabian StyleStefanidis, Konstantinos, George Papaioannou, Vassiliki Markogianni, and Elias Dimitriou. 2019. "Water Quality and Hydromorphological Variability in Greek Rivers: A Nationwide Assessment with Implications for Management" Water 11, no. 8: 1680. https://doi.org/10.3390/w11081680
APA StyleStefanidis, K., Papaioannou, G., Markogianni, V., & Dimitriou, E. (2019). Water Quality and Hydromorphological Variability in Greek Rivers: A Nationwide Assessment with Implications for Management. Water, 11(8), 1680. https://doi.org/10.3390/w11081680
