Assessing Impacts of Climate Change and Human Activities on Streamflow and Sediment Discharge in the Ganjiang River Basin (1964–2013)
Abstract
1. Introduction
2. Materials and Methods
2.1. Study Area and Datasets
2.1.1. Study Area
2.1.2. Data
2.2. Methodologies
2.2.1. Trends Test to Detect Changes of Precipitation, Streamflow, and Sediment Discharge
2.2.2. Breakpoint Analysis to Detect the Transition Year
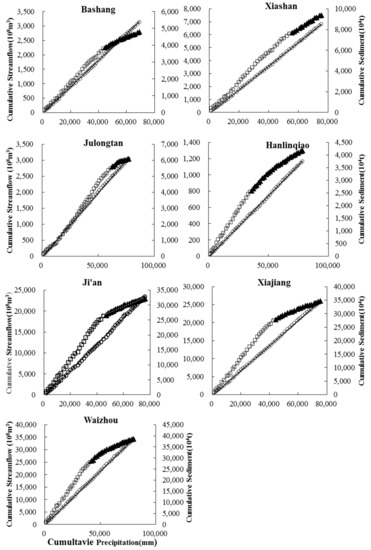
2.2.3. Double Mass Curve to Detect the Impact of Precipitation and Human Activity
3. Results and Discussion
3.1. Seasonal Distribution of Hydro-Meteorological Variables
3.2. Trends in Seasonal and Annual Hydro-Meteorological Variables
3.3. Abrupt Changes in Sediment Discharge
3.4. Impacts of Precipitation and Human Interference
3.5. Driving Factors of Sediment Discharge Change
4. Conclusions
Author Contributions
Funding
Conflicts of Interest
References
- IPCC Climate Change 2007: The Physical Science Basis. Contribution of Working Group I to the Fourth Assessment Report of the Intergovernmental Panel on Climate Change Cambrigde; Cambridge University Press: Cambridge, UK, 2007.
- Walling, D.E. The sediment delivery problem. J. Hydrol. 1983, 65, 209–237. [Google Scholar] [CrossRef]
- De Vente, J.; Poesen, J. Predicting soil erosion and sediment yield at the basin scale: Scale issues and semi-quantitative models. Earth Sci. Rev. 2005, 71, 95–125. [Google Scholar] [CrossRef]
- Moraes, J.M.; Pellegrino, G.Q.; Ballester, M.V.; Martinelli, L.A.; Victoria, R.L.; Krusche, A.V. Trends in hydrological parameters of a southern Brazilian watershed and its relation to human induced changes. Water Resour. Manag. 1998, 12, 295–311. [Google Scholar] [CrossRef]
- Mu, X.; Zhang, X.; Shao, H.; Gao, P.; Wang, F.; Jiao, J.; Zhu, J. Dynamic changes of sediment discharge and the influencing factors in the Yellow River, China, for the recent 90 years. CLEAN–Soil Air Water 2012, 40, 303–309. [Google Scholar] [CrossRef]
- Walling, D.E.; Fang, D. Recent trends in the suspended sediment loads of the world’s rivers. Glob. Planet Chang. 2003, 39, 111–126. [Google Scholar] [CrossRef]
- Wang, Y.; Ding, Y.; Ye, B.; Liu, F.; Wang, J. Contributions of climate and human activities to changes in runoff of the Yellow and Yangtze rivers from 1950 to 2008. Sci. China Earth Sci. 2013, 56, 1398–1412. [Google Scholar] [CrossRef]
- Charles, J.V.; Michel, M.; Balázs, F.; Keshav, S.; Pamela, G.; James, P.M.S. Anthropogenic sediment retention: Major global impact from registered river impoundments. Glob. Planet. Chang. 2003, 39, 169–190. [Google Scholar]
- Christer, N.; Reidy, C.A.; Mats, D.; Carmen, R. Fragmentation and flow regulation of the world’s large river systems. Science 2005, 308, 405–408. [Google Scholar] [CrossRef]
- James, P.M.S.; Charles, J.V.R.S.; Albert, J.K.; Pamela, G. Impact of humans on the flux of terrestrial sediment to the global coastal ocean. Science 2005, 308, 376–380. [Google Scholar]
- Jiang, T.; Su, B.; Hartmann, H. Temporal and spatial trends of precipitation and river flow in the Yangtze River Basin, 1961–2000. Geomorphology 2007, 85, 143–154. [Google Scholar] [CrossRef]
- Miao, C.; Ni, J.; Borthwick, A.G.; Yang, L. A preliminary estimate of human and natural contributions to the changes in water discharge and sediment load in the Yellow River. Glob. Planet. Chang. 2011, 76, 196–205. [Google Scholar] [CrossRef]
- Bobrovitskaya, N.N.; Kokorev, A.V.; Lemeshko, N.A. Regional patterns in recent trends in sediment yields of Eurasian and Siberian rivers. Glob. Planet. Chang. 2003, 39, 127–146. [Google Scholar] [CrossRef]
- Croke, J.; Mockler, S.; Fogarty, P.; Takken, I. Sediment concentration changes in runoff pathways from a forest road network and the resultant spatial pattern of catchment connectivity. Geomorphology 2005, 68, 257–268. [Google Scholar] [CrossRef]
- Dey, P.; Mishra, A. Separating the impacts of climate change and human activities on streamflow: A review of methodologies and critical assumptions. J. Hydrol. 2017, 548, 278–290. [Google Scholar] [CrossRef]
- Zhang, Q.; Xu, C.; Singh, V.P.; Yang, T. Multiscale variability of sediment load and streamflow of the lower Yangtze River basin: Possible causes and implications. J. Hydrol. 2009, 368, 96–104. [Google Scholar] [CrossRef]
- Guo, H.; Hu, Q.; Jiang, T. Annual and seasonal streamflow responses to climate and land-cover changes in the Poyang Lake basin, China. J. Hydrol. 2008, 355, 106–122. [Google Scholar] [CrossRef]
- Gao, J.; Jia, J.; Kettner, A.J.; Xing, F.; Wang, Y.; Xu, X.; Yang, Y.; Zou, X.; Gao, S.; Qi, S. Changes in water and sediment exchange between the Changjiang River and Poyang Lake under natural and anthropogenic conditions, China. Sci. Total Environ. 2014, 481, 542–553. [Google Scholar] [CrossRef] [PubMed]
- Jiang, C.; Zhang, L.; Tang, Z. Multi-temporal scale changes of streamflow and sediment discharge in the headwaters of Yellow River and Yangtze River on the Tibetan Plateau, China. Ecol. Eng. 2017, 102, 240–254. [Google Scholar] [CrossRef]
- Li, L.; Zhang, L.; Wang, H.; Wang, J.; Yang, J.; Jiang, D.; Li, J.; Qin, D. Assessing the impact of climate variability and human activities on streamflow from the Wuding River basin in China. Hydrol. Process. Int. J. 2007, 21, 3485–3491. [Google Scholar] [CrossRef]
- Gao, P.; Mu, X.; Wang, F. An Analysis of Streamflow and Sediment Discharge in Ganjiang River Trend and Driving Force. China Rural Water Hydropower 2012, 1, 56–59. [Google Scholar]
- Guo, L.; Yu, Q.; Gao, P.; Nie, X.; Liao, K.; Chen, X.; Hu, J.; Mu, X. Trend and change-point analysis of streamflow and sediment discharge of the Gongshui River in China during the last 60 years. Water 2018, 10, 1273. [Google Scholar] [CrossRef]
- Sun, P.; Zhang, Q.; Chen, X.; Chen, Y. Spatio-temporal patterns of sediment and runoff changes in the Poyang Lake Basin and underlying causes. Acta Geogr. Sin. 2010, 65, 828–840. [Google Scholar]
- Zheng, H.; Fang, S.; Yang, J.; Xie, S.; Chen, X. Analysis on evolution characteristics and impacting factors of annual runoff and sediment in the Ganjiang River during 1970–2009. J. Soil Water Conserv. 2012, 26, 28–32. [Google Scholar]
- Kendall, M.G. Rank Correlation Methods; Charles Griffin: London, UK, 1975. [Google Scholar]
- Mann, H.B. Nonparametric tests against trend. Econometrica 1945, 13, 245–259. [Google Scholar] [CrossRef]
- Pettitt, A.N. A Non-Parametric Approach to the Change-Point Problem. J. R. Stat. Soc. Ser. C (Appl. Stat.) 1979, 28, 126–135. [Google Scholar] [CrossRef]
- Gao, P.; Mu, X.; Wang, F.; Li, R. Changes in streamflow and sediment discharge and the response to human activities in the middle reaches of the Yellow River. Hydrol. Earth Syst. Sci. 2011, 15, 1–10. [Google Scholar] [CrossRef]
- Mu, X.; Li, Y.; Gao, P.; Shao, H.; Wang, F. The runoff declining process and water quality in Songhuajiang River catchment, China under global climatic change. CLEAN–Soil Air Water 2012, 40, 394–401. [Google Scholar] [CrossRef]
- Gao, P.; Li, P.; Zhao, B.; Xu, R.; Zhao, G.; Sun, W.; Mu, X. Use of double mass curves in hydrologic benefit evaluations. Hydrol. Process. 2017, 31, 4639–4646. [Google Scholar] [CrossRef]
- Li, T.; Wang, S.; Liu, Y.; Fu, B.; Zhao, W. Driving forces and their contribution to the recent decrease in sediment flux to ocean of major rivers in China. Sci. Total Environ. 2018, 634, 534–541. [Google Scholar] [CrossRef]
- Soil and Water Conservation Committee Office of Jiangxi Province. Water and Soil Conservation Project in the Seven Major Basins of China: Document Literature on the Key Management of the Gongshui River Basin in Jiangxi Province; Office of Soil and Water Conservation Committee of Jiangxi Province: Nanchang, China, 1997. [Google Scholar]





| Location | Hydrological Stations | Drainage Area (km2) | Latitude | Longitude | Precipitation † (mm) | Streamflow † (108 m3) | Sediment Discharge † (104 t) |
|---|---|---|---|---|---|---|---|
| Upstream | Bashang | 7657 | 114°57′ | 25°49′ | 1383 | 62.50 | 95.63 |
| Xiashan | 15,975 | 115°10′ | 25°55′ | 1510 | 136.22 | 187.90 | |
| Julongtan | 7751 | 115°07′ | 25°49′ | 1547 | 60.95 | 121.76 | |
| Hanlinqiao | 2689 | 115°12′ | 26°03′ | 1567 | 23.33 | 83.59 | |
| Midstream | Ji’an | 56,223 | 114°59′ | 27°06′ | 1522 | 469.27 | 643.51 |
| Xiajiang | 62,724 | 115°15′ | 27°55′ | 1508 | 515.14 | 695.57 | |
| Downstream | Waizhou | 80,948 | 115°84′ | 28°63′ | 1596 | 683.59 | 836.04 |
| Stations | Item | January | February | March | April | May | June | July | August | September | October | November | December | Year | April–September |
|---|---|---|---|---|---|---|---|---|---|---|---|---|---|---|---|
| Waizhou | P (mm) | 67.12 | 100.10 | 163.74 | 227.40 | 245.44 | 300.95 | 144.35 | 113.51 | 66.70 | 55.40 | 66.56 | 44.38 | 1595.67 | 1098.36 |
| Percentage | 4.21% | 6.27% | 10.26% | 14.25% | 15.38% | 18.86% | 9.05% | 7.11% | 4.18% | 3.47% | 4.17% | 2.78% | 100.00% | 68.83% | |
| R (108 m3) | 23.15 | 30.06 | 58.93 | 96.08 | 110.10 | 124.07 | 73.58 | 48.57 | 41.35 | 30.71 | 26.54 | 22.46 | 685.62 | 493.76 | |
| Percentage | 3.38% | 4.39% | 8.60% | 14.01% | 16.06% | 18.10% | 10.73% | 7.08% | 6.03% | 4.48% | 3.87% | 3.28% | 100.00% | 72.02% | |
| S (104 t) | 9.17 | 17.70 | 72.01 | 157.78 | 173.40 | 213.40 | 82.11 | 38.54 | 35.92 | 18.49 | 10.67 | 6.84 | 836.04 | 701.15 | |
| Percentage | 1.10% | 2.12% | 8.61% | 18.87% | 20.74% | 25.53% | 9.82% | 4.61% | 4.30% | 2.21% | 1.28% | 0.82% | 100.00% | 83.87% | |
| Ji’an | P (mm) | 65.35 | 88.91 | 154.19 | 206.24 | 219.52 | 221.85 | 121.38 | 122.96 | 69.83 | 63.14 | 72.38 | 49.11 | 1454.85 | 961.77 |
| Percentage | 4.49% | 6.11% | 10.60% | 14.18% | 15.09% | 15.25% | 8.34% | 8.45% | 4.80% | 4.34% | 4.98% | 3.38% | 100.00% | 66.11% | |
| R (108 m3) | 16.83 | 21.44 | 43.27 | 64.78 | 75.82 | 83.18 | 45.24 | 35.68 | 27.49 | 21.73 | 18.00 | 15.82 | 469.27 | 332.19 | |
| Percentage | 3.59% | 4.57% | 9.22% | 13.80% | 16.16% | 17.73% | 9.64% | 7.60% | 5.86% | 4.63% | 3.84% | 3.37% | 100.00% | 70.79% | |
| S (104 t) | 7.42 | 14.75 | 66.40 | 116.32 | 135.22 | 158.44 | 51.31 | 38.39 | 28.25 | 15.75 | 6.58 | 4.67 | 643.51 | 527.94 | |
| Percentage | 1.15% | 2.29% | 10.32% | 18.08% | 21.01% | 24.62% | 7.97% | 5.97% | 4.39% | 2.45% | 1.02% | 0.73% | 100.00% | 82.04% | |
| Xiashan | P (mm) | 63.82 | 104.76 | 165.46 | 192.11 | 228.70 | 224.42 | 117.11 | 144.76 | 109.83 | 69.82 | 53.26 | 44.66 | 1518.72 | 1016.94 |
| Percentage | 4.20% | 6.90% | 10.89% | 12.65% | 15.06% | 14.78% | 7.71% | 9.53% | 7.23% | 4.60% | 3.51% | 2.94% | 100.00% | 66.96% | |
| R (108 m3) | 4.50 | 6.09 | 12.78 | 19.13 | 23.12 | 27.80 | 12.54 | 9.89 | 7.74 | 5.66 | 4.37 | 3.87 | 137.49 | 100.23 | |
| Percentage | 3.27% | 4.43% | 9.30% | 13.92% | 16.82% | 20.22% | 9.12% | 7.19% | 5.63% | 4.12% | 3.18% | 2.81% | 100.00% | 72.90% | |
| S (104 t) | 2.78 | 4.65 | 19.12 | 35.58 | 44.14 | 57.95 | 14.10 | 11.22 | 8.09 | 2.97 | 2.14 | 1.43 | 204.18 | 171.09 | |
| Percentage | 1.36% | 2.28% | 9.37% | 17.43% | 21.62% | 28.38% | 6.91% | 5.50% | 3.96% | 1.45% | 1.05% | 0.70% | 100.00% | 83.79% | |
| Bashang | P(mm) | 70.87 | 91.80 | 162.86 | 176.23 | 213.39 | 202.33 | 107.65 | 154.29 | 83.90 | 52.26 | 41.01 | 30.25 | 1386.83 | 937.79 |
| Percentage | 5.11% | 6.62% | 11.74% | 12.71% | 15.39% | 14.59% | 7.76% | 11.13% | 6.05% | 3.77% | 2.96% | 2.18% | 100.00% | 67.62% | |
| R (108 m3) | 2.61 | 2.94 | 5.36 | 7.64 | 8.83 | 10.34 | 6.21 | 5.46 | 4.45 | 3.42 | 2.91 | 2.50 | 62.67 | 42.93 | |
| Percentage | 4.17% | 4.70% | 8.55% | 12.18% | 14.09% | 16.50% | 9.91% | 8.71% | 7.11% | 5.45% | 4.64% | 3.99% | 100.00% | 68.51% | |
| S (104 t) | 1.03 | 2.13 | 10.07 | 17.40 | 20.17 | 25.00 | 7.99 | 6.86 | 5.64 | 3.16 | 1.04 | 0.57 | 101.06 | 86.21 | |
| Percentage | 1.02% | 2.11% | 9.97% | 17.22% | 19.96% | 24.73% | 7.90% | 6.79% | 5.58% | 3.13% | 1.03% | 0.56% | 100.00% | 85.31% | |
| Julongtan | P (mm) | 69.65 | 105.54 | 181.73 | 190.14 | 234.56 | 228.95 | 119.85 | 152.24 | 103.01 | 68.32 | 54.85 | 48.95 | 1557.79 | 1028.76 |
| Percentage | 4.47% | 6.77% | 11.67% | 12.21% | 15.06% | 14.70% | 7.69% | 9.77% | 6.61% | 4.39% | 3.52% | 3.14% | 100.00% | 66.04% | |
| R (108 m3) | 2.04 | 2.56 | 5.31 | 8.31 | 9.58 | 11.61 | 5.60 | 5.11 | 4.22 | 2.83 | 2.15 | 1.85 | 61.16 | 44.42 | |
| Percentage | 3.34% | 4.19% | 8.68% | 13.60% | 15.66% | 18.98% | 9.16% | 8.35% | 6.90% | 4.62% | 3.52% | 3.02% | 100.00% | 72.64% | |
| S (104 t) | 1.29 | 3.16 | 13.72 | 23.75 | 25.81 | 31.33 | 7.71 | 10.76 | 6.43 | 1.96 | 0.74 | 0.54 | 127.21 | 105.80 | |
| Percentage | 1.01% | 2.48% | 10.78% | 18.67% | 20.29% | 24.63% | 6.06% | 8.46% | 5.05% | 1.54% | 0.58% | 0.43% | 100.00% | 83.17% | |
| Hanlinqiao | P (mm) | 72.14 | 107.26 | 181.37 | 202.72 | 244.06 | 227.65 | 133.00 | 130.32 | 98.15 | 72.88 | 56.97 | 47.52 | 1574.04 | 1035.89 |
| Percentage | 4.58% | 6.81% | 11.52% | 12.88% | 15.51% | 14.46% | 8.45% | 8.28% | 6.24% | 4.63% | 3.62% | 3.02% | 100.00% | 65.81% | |
| R (108 m3) | 0.82 | 1.09 | 2.11 | 3.22 | 3.79 | 4.62 | 2.26 | 1.71 | 1.30 | 1.05 | 0.85 | 0.74 | 23.56 | 16.90 | |
| Percentage | 3.49% | 4.62% | 8.97% | 13.68% | 16.09% | 19.60% | 9.58% | 7.27% | 5.53% | 4.44% | 3.59% | 3.15% | 100.00% | 71.74% | |
| S (104 t) | 1.06 | 2.45 | 8.38 | 15.16 | 17.99 | 22.83 | 7.58 | 6.43 | 4.07 | 2.18 | 1.01 | 0.58 | 89.72 | 74.06 | |
| Percentage | 1.18% | 2.74% | 9.34% | 16.90% | 20.06% | 25.44% | 8.44% | 7.17% | 4.54% | 2.43% | 1.12% | 0.65% | 100.00% | 82.54% |
| Variables | Stations | Annual | Seasonal | |||
|---|---|---|---|---|---|---|
| January–March | April–June | July–September | October–December | |||
| Precipitation | Bashang | −0.22 NS | 1.37 * | −1.25 NS | −1.08 NS | 0.66 NS |
| Xiashan | 0.59 NS | 0.08 NS | −1.86 ** | 0.88 NS | −2.15 ** | |
| Julongtan | −0.15 NS | 0.67 NS | −1.02 NS | 1.33 * | −1.52 * | |
| Hanlinqiao | 0.67 NS | −1.52 * | −0.62 NS | 1.62 * | −1.33 * | |
| Ji’an | 0.47 NS | 1.43 * | −0.14 NS | 1.03 NS | −0.27 NS | |
| Xiajiang | 1.14 NS | - | - | - | - | |
| Waizhou | 0.62 NS | 1.48 * | 0.13 NS | 0.55 NS | 0.28 NS | |
| Streamflow | Bashang | 0.54 NS | 0.05 NS | -1.30 * | 1.90 ** | 0.28 NS |
| Xiashan | 0.44 NS | 0.87 NS | −0.90 NS | 2.00 ** | 0.70 NS | |
| Julongtan | 0.80 NS | 0.69 NS | −0.44 NS | 1.59 * | −0.55 NS | |
| Hanlinqiao | 0.69 NS | 1.41 * | -1.41 * | 2.02 ** | 1.25 NS | |
| Ji’an | 0.57 NS | 1.19 NS | −0.70 NS | 1.72 ** | 0.89 NS | |
| Xiajiang | 0.68 NS | - | - | - | - | |
| Waizhou | 0.59 NS | 1.10 NS | −1.00 NS | 1.20 NS | 0.80 NS | |
| Sediment | Bashang | −4.27 ** | -1.42 * | −3.40 ** | −1.64 ** | −2.19 ** |
| Xiashan | −2.98 ** | −1.54 * | −3.11 ** | −0.84 NS | −1.54 * | |
| Julongtan | −1.94 ** | 0.42 NS | −1.29 * | 0.50 NS | −1.71 ** | |
| Hanlinqiao | −4.68 ** | −1.91 ** | −4.43 ** | −1.22 NS | −1.25 NS | |
| Ji’an | −5.60 ** | −2.43 ** | −5.57 ** | −4.02 ** | −2.47 ** | |
| Xiajiang | −5.30 ** | - | - | - | - | |
| Waizhou | −6.03 ** | −1.84 ** | −5.29 ** | −3.31 ** | −1.44 * | |
| Stations | Regression Equation | Sc (104 t) | So (104 t) | Sc − So (104 t) | 100 × (Sc − So)/Sc (%) |
|---|---|---|---|---|---|
| Bashang | (R2 = 0.998, N = 31) | 6094.97 | 4781.36 | 1313.61 | 21.55 |
| Xiashan | (R2 = 0.998, N = 35) | 10,839.49 | 9394.82 | 1444.67 | 13.33 |
| Julongtan | (R2 = 0.994, N = 39) | 7007.48 | 6087.97 | 919.52 | 13.12 |
| Hanlinqiao | (R2 = 0.999, N = 22) | 5743.65 | 4179.38 | 1564.27 | 27.23 |
| Ji’an | (R2 = 0.998, N = 29) | 46,008.36 | 32,175.43 | 13,832.43 | 30.07 |
| Xiajiang | (R2 = 0.998, N = 29) | 49,807.30 | 34,778.40 | 15,028.90 | 30.17 |
| Waizhou | (R2 = 0.999, N = 26) | 55,929.87 | 38,533.39 | 17,396.48 | 31.10 |
| Station | Period | Impact of Precipitation (%) | Impact of Human (%) | |||
|---|---|---|---|---|---|---|
| Bashang | Before 1994 | 122.27 | ||||
| After 1994 | 52.15 | 119.39 | 70.12 | 4.11 | 95.89 | |
| Xiashan | Before 1998 | 216.44 | ||||
| After 1998 | 121.29 | 204.05 | 95.14 | 13.02 | 86.98 | |
| Julongtan | Before 2002 | 140.79 | ||||
| After 2002 | 86.49 | 135.56 | 86.49 | 6.04 | 93.96 | |
| Hanlinqiao | Before 1985 | 115.35 | ||||
| After 1985 | 58.63 | 113.67 | 56.72 | 2.97 | 97.03 | |
| Ji’an | Before 1992 | 907.62 | ||||
| After 1992 | 278.79 | 905.68 | 628.83 | 0.31 | 99.69 | |
| Xiajiang | Before 1992 | 946.31 | ||||
| After 1992 | 349.30 | 1025.83 | 597.00 | −13.31 | 113.31 | |
| Waizhou | Before 1989 | 1081.37 | ||||
| After 1989 | 434.07 | 1135.41 | 647.30 | −8.35 | 108.35 |
| Year | 1965 | 1975 | 1985 | 1995 | 2005 | 2015 |
|---|---|---|---|---|---|---|
| Forest coverage | 37.3 | 36.5 | 33.1 | 50.9 | 60.05 | 63.1 |
| Station | Tributary (Including Counties) | Before 1980 | 1981–2000 | 2001–2013 | Grand Total | ||||
|---|---|---|---|---|---|---|---|---|---|
| Number of Reservoirs | Drainage Area (km2) | Number of Reservoirs | Drainage Area (km2) | Number of Reservoirs | Drainage Area (km2) | Number of Reservoirs | Drainage Area (km2) | ||
| Bashang | Zhangshui (Chongyi, Dayu, Shangyou, Nankang) | 5 | 2938 | 5 | 9835 | 3 | 1667 | 13 | 14,440 |
| Xiashan | Gongshui (Anyuan, Xunwu, Huichang, Ruijin, Yudu, Ningdu, Shicheng) | 8 | 1129 | 4 | 4016 | 8 | 61,049 | 20 | 66,193 |
| Julongtan | Taojiang (Quannan, Longnan, Xinfeng, Ganxian) | 8 | 649 | 2 | 502 | 3 | 14,071 | 13 | 15,222 |
| Hanlinqiao | Pingjiang (Xingguo) | 2 | 965 | 0 | 0 | 0 | 0 | 2 | 965 |
| Xiajiang | All counties in Ji’an and Le’an in Fuzhou | 33 | 5071 | 10 | 38,758 | 8 | 67,291 | 51 | 111,119 |
| Ji’an | |||||||||
| Waizhou | All counties in Xinyu and Yichun (except Fengcheng) | 39 | 5451 | 6 | 1416 | 1 | 15 | 46 | 6883 |
| Grand total | 95 | 16,203 | 27 | 54,526 | 23 | 144,093 | 145 | 214,821 | |
© 2019 by the authors. Licensee MDPI, Basel, Switzerland. This article is an open access article distributed under the terms and conditions of the Creative Commons Attribution (CC BY) license (http://creativecommons.org/licenses/by/4.0/).
Share and Cite
Guo, L.-P.; Mu, X.-M.; Hu, J.-M.; Gao, P.; Zhang, Y.-F.; Liao, K.-T.; Bai, H.; Chen, X.-L.; Song, Y.-J.; Jin, N.; et al. Assessing Impacts of Climate Change and Human Activities on Streamflow and Sediment Discharge in the Ganjiang River Basin (1964–2013). Water 2019, 11, 1679. https://doi.org/10.3390/w11081679
Guo L-P, Mu X-M, Hu J-M, Gao P, Zhang Y-F, Liao K-T, Bai H, Chen X-L, Song Y-J, Jin N, et al. Assessing Impacts of Climate Change and Human Activities on Streamflow and Sediment Discharge in the Ganjiang River Basin (1964–2013). Water. 2019; 11(8):1679. https://doi.org/10.3390/w11081679
Chicago/Turabian StyleGuo, Li-Ping, Xing-Min Mu, Jian-Min Hu, Peng Gao, Yong-Fen Zhang, Kai-Tao Liao, Hua Bai, Xiu-Long Chen, Yue-Jun Song, Ning Jin, and et al. 2019. "Assessing Impacts of Climate Change and Human Activities on Streamflow and Sediment Discharge in the Ganjiang River Basin (1964–2013)" Water 11, no. 8: 1679. https://doi.org/10.3390/w11081679
APA StyleGuo, L.-P., Mu, X.-M., Hu, J.-M., Gao, P., Zhang, Y.-F., Liao, K.-T., Bai, H., Chen, X.-L., Song, Y.-J., Jin, N., & Yu, Q. (2019). Assessing Impacts of Climate Change and Human Activities on Streamflow and Sediment Discharge in the Ganjiang River Basin (1964–2013). Water, 11(8), 1679. https://doi.org/10.3390/w11081679

