Efficacy of Spent Lime as a Soil Amendment for Nutrient Retention in Bioretention Green Stormwater Infrastructure
Abstract
1. Introduction
2. Materials and Methods
2.1. Experimental Setup for Field Mesocosm Study
2.2. Water Sample Collection, Nutrient Analysis and Load Estimation
2.3. Laboratory Bioretention Column Study Set-up
2.4. Substrate Chemical Analysis
2.5. Statistical Analysis
3. Results
3.1. Field Experimental Study
3.1.1. Treatment Effects on Leachate Nutrient Concentrations and Mass
3.1.2. Metal Concentrations with and without WTR
3.2. Laboratory Experimental Study
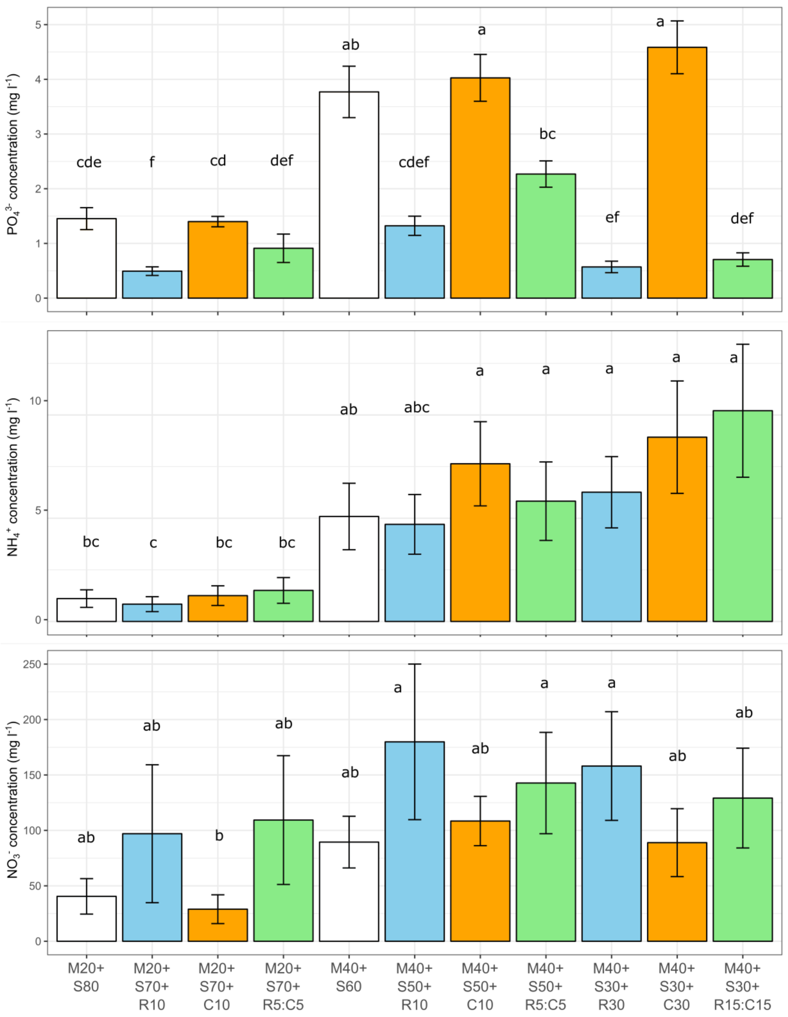
3.2.1. Effluent Nutrient Concentrations from Spent Lime and/or Coir Treatments
4. Discussion
5. Conclusions
Supplementary Materials
Author Contributions
Funding
Acknowledgments
Conflicts of Interest
References
- Liao, K.-H.; Deng, S.; Tan, P.Y. Blue-Green Infrastructure: New Frontier for Sustainable Urban Stormwater Management. In Greening Cities: Forms and Functions; Tan, P.Y., Jim, C.Y., Eds.; Advances in 21st Century Human Settlements; Springer: Singapore, 2017; pp. 203–226. [Google Scholar]
- Cook, E.A. Green site design: Strategies for storm water management. J. Green Build. 2007, 2, 46–56. [Google Scholar] [CrossRef]
- Bratieres, K.; Fletcher, T.D.; Deletic, A.; Zinger, Y. Nutrient and sediment removal by stormwater biofilters: A large-scale design optimisation study. Water Res. 2008, 42, 3930–3940. [Google Scholar] [CrossRef] [PubMed]
- Amanda, C.; Stephanie, H.; Carol, A. Influence of Critical Bioretention Design Factors and Projected Increases in Precipitation due to Climate Change on Roadside Bioretention Performance. J. Environ. Eng. 2018, 144, 04018082. [Google Scholar]
- Dietz, M.E.; Clausen, J.C. A field evaluation of rain garden flow and pollutant treatment. Water Air Soil Pollut. 2005, 167, 123–138. [Google Scholar] [CrossRef]
- Hsieh, C.H.; Davis, A.P. Evaluation and Optimization of Bioretention Media for Treatment of Urban Storm Water Runoff. J. Environ. Eng. 2005, 131, 1521–1531. [Google Scholar] [CrossRef]
- Hunt, W.F.; Jarrett, A.R.; Smith, J.T.; Sharkey, L.J. Evaluating Bioretention Hydrology and Nutrient Removal at Three Field Sites in North Carolina. J. Irrig. Drain. Eng. 2006, 132, 600–608. [Google Scholar] [CrossRef]
- Passeport, E.; Hunt, W.F.; Line, D.E.; Smith, R.A.; Brown, R.A. Field study of the ability of two grassed bioretention cells to reduce storm-water runoff pollution. J. Irrig. Drain. Eng. 2009, 135, 505–510. [Google Scholar] [CrossRef]
- Shrestha, P.; Hurley, S.E.; Wemple, B.C. Effects of different soil media, vegetation and hydrologic treatments on nutrient and sediment removal in roadside bioretention systems. Ecol. Eng. 2018, 112, 116–131. [Google Scholar] [CrossRef]
- Plant and Soil Sciences eLibrary [Internet]. Available online: http://passel.unl.edu/pages/informationmodule.php?idinformationmodule=1130447039&topicorder=3&maxto=10 (accessed on 18 July 2019).
- Erickson Andrew, J.; Gulliver John, S.; Weiss Peter, T. Enhanced Sand Filtration for Storm Water Phosphorus Removal. J. Environ. Eng. 2007, 133, 485–497. [Google Scholar] [CrossRef]
- Belchinskaya, L.; Novikova, L.; Khokhlov, V.; Ly Tkhi, J. Contribution of Ion-Exchange and Non-Ion-Exchange Reactions to Sorption of Ammonium Ions by Natural and Activated Aluminosilicate Sorbent [Internet]. J. Appl. Chem. 2013, pp. 1–9. Available online: https://www.hindawi.com/journals/jac/2013/789410/abs/ (accessed on 28 Febuary 2019).
- Reddy, K.R.; DeLaune, R.D.; DeLaune, R.D. Biogeochemistry of Wetlands: Science and Applications; CRC Press: Boca Raton, FL, USA, 2008. [Google Scholar]
- Bryant, R.B.; Buda, A.R.; Kleinman, P.J.; Church, C.D.; Saporito, L.S.; Folmar, G.J.; Bose, S.; Allen, A.L. Using Flue Gas Desulfurization Gypsum to Remove Dissolved Phosphorus from Agricultural Drainage Waters. J. Environ. Qual. 2012, 41, 664–671. [Google Scholar] [CrossRef]
- Drizo, A.; Frost, C.A.; Grace, J.; Smith, K.A. Physico-chemical screening of phosphate-removing substrates for use in constructed wetland systems. Water Res. 1999, 33, 3595–3602. [Google Scholar] [CrossRef]
- Köse, T.E.; Kıvanç, B. Adsorption of phosphate from aqueous solutions using calcined waste eggshell. Chem. Eng. J. 2011, 178, 34–39. [Google Scholar] [CrossRef]
- Leader, J.W.; Dunne, E.J.; Reddy, K.R. Phosphorus Sorbing Materials: Sorption Dynamics and Physicochemical Characteristics. J. Environ. Qual. 2008, 37, 174–181. [Google Scholar] [CrossRef] [PubMed]
- Vohla, C.; Kõiv, M.; Bavor, H.J.; Chazarenc, F.; Mander, Ü. Filter materials for phosphorus removal from wastewater in treatment wetlands—A review. Ecol. Eng. 2011, 37, 70–89. [Google Scholar] [CrossRef]
- Wang, Z.; Dong, J.; Liu, L.; Zhu, G.; Liu, C. Screening of phosphate-removing substrates for use in constructed wetlands treating swine wastewater. Ecol. Eng. 2013, 54, 57–65. [Google Scholar] [CrossRef]
- Lee, L.Y.; Wang, B.; Guo, H.; Hu, J.Y.; Ong, S.L. Aluminum-Based Water Treatment Residue Reuse for Phosphorus Removal. Water 2015, 7, 1480–1496. [Google Scholar] [CrossRef]
- Liu, J.; Davis, A.P. Phosphorus speciation and treatment using enhanced phosphorus removal bioretention. Environ. Sci. Technol. 2014, 48, 607–614. [Google Scholar] [CrossRef] [PubMed]
- Lucas William, C.; Greenway, M. Phosphorus Retention by Bioretention Mesocosms Using Media Formulated for Phosphorus Sorption: Response to Accelerated Loads. J. Irrig. Drain. Eng. 2011, 137, 144–153. [Google Scholar] [CrossRef]
- O’Neill, S.W.; Davis, A.P. Water treatment residual as a bioretention amendment for phosphorus. II: Long-term column studies. J. Environ. Eng. 2011, 138, 328–336. [Google Scholar] [CrossRef]
- Palmer, E.T.; Poor, C.J.; Hinman, C.; Stark, J.D. Nitrate and Phosphate Removal through Enhanced Bioretention Media: Mesocosm Study [Internet]. Water Environ. Res. 2013, 85, 823–832. [Google Scholar]
- Zhao, Y.; Liu, R.; Awe, O.W.; Yang, Y.; Shen, C. Acceptability of land application of alum-based water treatment residuals—An explicit and comprehensive review. Chem. Eng. J. 2018, 353, 717–726. [Google Scholar] [CrossRef]
- Dayton, E.A.; Basta, N.T.; Jakober, C.A.; Hattey, J.A. Using treatment residuals to reduce phosphorus in agricultural runoff. J. Am. Water Works Assoc. 2003, 95, 151–158. [Google Scholar] [CrossRef]
- Abad, M.; Noguera, P.; Puchades, R.; Maquieira, A.; Noguera, V. Physico-chemical and chemical properties of some coconut coir dusts for use as a peat substitute for containerised ornamental plants. Bioresour. Technol. 2002, 82, 241–245. [Google Scholar] [CrossRef]
- Elliott, H.A.; O’Connor, G.A.; Lu, P.; Brinton, S. Influence of water treatment residuals on phosphorus solubility and leaching. J. Environ. Qual. 2002, 31, 1362–1369. [Google Scholar] [CrossRef] [PubMed]
- Ippolito, J.A.; Barbarick, K.A.; Heil, D.M.; Chandler, J.P.; Redente, E.F. Phosphorus retention mechanisms of a water treatment residual. J. Environ. Qual. 2003, 32, 1857–1864. [Google Scholar] [CrossRef] [PubMed]
- Arachchi, L.V.; Somasiri, L.L.W. Use of coir dust on the productivity of coconut on sandy soils. Cocos 1997, 12, 54–71. [Google Scholar] [CrossRef][Green Version]
- Prasad, M. Physical, chemical and biological properties of coir dust. Acta Hortic. 1997, 450, 21–30. [Google Scholar] [CrossRef]
- Handreck, K.A. Properties of coir dust and its use in the formulation of soilless potting media. Commun. Soil Sci. Plant Anal. 1993, 24, 349–363. [Google Scholar] [CrossRef]
- Chahal, M.K.; Shi, Z.; Flury, M. Nutrient leaching and copper speciation in compost-amended bioretention systems. Sci. Total Environ. 2016, 556, 302–309. [Google Scholar] [CrossRef] [PubMed]
- Feng, W.; Hatt, B.E.; McCarthy, D.T.; Fletcher, T.D.; Deletic, A. Biofilters for Stormwater Harvesting: Understanding the Treatment Performance of Key Metals That Pose a Risk for Water Use. Environ. Sci. Technol. 2012, 46, 5100–5108. [Google Scholar] [CrossRef]
- Small, G.; Shrestha, P.; Kay, A. The fate of compost-derived phosphorus in urban gardens. Int. J. Des. Nat. Ecodyn. 2018, 13, 415–422. [Google Scholar] [CrossRef]
- (2) (PDF) Stormwater Bioretention Systems: Testing the Phosphorus Saturation Index and Compost Feedstocks as Predictive Tools for System Performance [Internet]. ResearchGate. Available online: https://www.researchgate.net/publication/281942689_Stormwater_Bioretention_Systems_Testing_the_Phosphorus_Saturation_Index_and_Compost_Feedstocks_as_Predictive_Tools_for_System_Performance (accessed on 18 July 2019).
- Hatt, B.E.; Deletic, A.; Fletcher, T.D. Stormwater reuse: Designing biofiltration systems for reliable treatment. Water Sci. Technol. 2007, 55, 201–209. [Google Scholar] [CrossRef] [PubMed]
- Iqbal, H.; Garcia-Perez, M.; Flury, M. Effect of biochar on leaching of organic carbon, nitrogen and phosphorus from compost in bioretention systems. Sci. Total Environ. 2015, 521–522, 37–45. [Google Scholar] [CrossRef] [PubMed]
- Liu, K.; Elliott, J.A.; Lobb, D.A.; Flaten, D.N.; Yarotski, J. Nutrient and sediment losses in snowmelt runoff from perennial forage and annual cropland in the Canadian Prairies. J. Environ. Qual. 2014, 43, 1644–1655. [Google Scholar] [CrossRef] [PubMed]
- The Vermont Stormwater Management Manual (VTSMM). Stormwater Treatment Standards; Vermont Agency of Natural Resources: Montpelier, VT, USA, 2016; Volume 1. [Google Scholar]
- WA Department of Ecology. Storm Water Management Manual for Western Washington (SWMMWW); WA Department of Ecology: Olympia, WA, USA, 2019. [Google Scholar]
- Prince George’s County (PGC). Low-Impact Development Design Strategies: An Integrated Design Approach; Maryland, Department of Environmental Resources, Programs and Planning Division: Landover, MD, USA, 1999. [Google Scholar]
- Minnesota Stormwater Manual (MSM): Compost and Stormwater Management. Minnesota Pollution Control Agency. 2017. Available online: https://stormwater.pca.state.mn.us/index.php?title=Compost_and_stormwater_management (accessed on 18 June 2019).
- Minnesota Pollution Control Agency (MPCA). Minnesota Stormwater Manual: Plants for Stormwater Design. 2018. Available online: https://stormwater.pca.state.mn.us/index.php/Minnesota_plant_lists (accessed on 2 January 2018).
- Munter, R.C.; Halverson, T.L.; Anderson, R.D. Quality assurance for plant tissue analysis by ICP-AES. Commun. Soil Sci. Plant Anal. 1984, 15, 1285–1322. [Google Scholar] [CrossRef]
- Fassel, V.A.; Kniseley, R.N. Inductively coupled plasma. Optical emission spectroscopy. Anal Chem. 1974, 46, 1110A–1120a. [Google Scholar] [CrossRef]
- Matejovic, I. Total nitrogen in plant material determinated by means of dry combustion: A possible alternative to determination by Kjeldahl digestion. Commun. Soil Sci. Plant Anal. 1995, 26, 2217–2229. [Google Scholar] [CrossRef]
- SAS Institute. JMP 12.0.0 Software; SAS Institute, Inc.: Cary, NC, USA, 2015. [Google Scholar]
- Agyin-Birikorang, S.; O’Connor, G.A. Lability of Drinking Water Treatment Residuals (WTR) Immobilized Phosphorus. J. Environ. Qual. 2007, 36, 1076–1085. [Google Scholar] [CrossRef]
- Codling, E.E.; Chaney, R.L.; Mulchi, C.L. Biomass yield and phosphorus availability to wheat grown on high phosphorus soils amended with phosphate inactivating residues. I. Drinking water treatment residue. Commun. Soil Sci. Plant Anal. 2002, 33, 1039–1061. [Google Scholar] [CrossRef]
- DeWolfe, J. Water Residuals to Reduce Soil Phosphorous; American Water Works Association: Denver, CO, USA, 2006; 120p. [Google Scholar]
- Dayton, E.A.; Basta, N.T. Use of drinking water treatment residuals as a potential best management practice to reduce phosphorus risk index scores. J. Environ. Qual. 2005, 34, 2112–2117. [Google Scholar] [CrossRef]
- Ippolito, J.A.; Barbarick, K.A.; Elliott, H.A. Drinking water treatment residuals: A review of recent uses. J. Environ. Qual. 2011, 40, 1–12. [Google Scholar] [CrossRef] [PubMed]
- Babatunde, A.O.; Zhao, Y.Q.; Burke, A.M.; Morris, M.A.; Hanrahan, J.P. Characterization of aluminium-based water treatment residual for potential phosphorus removal in engineered wetlands. Environ. Pollut. 2009, 157, 2830–2836. [Google Scholar] [CrossRef] [PubMed]
- Tunesi, S.; Poggi, V.; Gessa, C. Phosphate adsorption and precipitation in calcareous soils: The role of calcium ions in solution and carbonate minerals. Nutr. Cycl. Agroecosyst. 1999, 53, 219–227. [Google Scholar] [CrossRef]
- Kitano, Y.; Okumura, M.; Idogaki, M. Uptake of phosphate ions by calcium carbonate. Geochem. J. 1978, 12, 29–37. [Google Scholar] [CrossRef]
- Lake, B.A.; Coolidge, K.M.; Norton, S.A.; Amirbahman, A. Factors contributing to the internal loading of phosphorus from anoxic sediments in six Maine, USA, lakes. Sci. Total Environ. 2007, 373, 534–541. [Google Scholar] [CrossRef] [PubMed]
- Pinto, O.A.; Tabaković, A.; Goff, T.M.; Liu, Y.; Adair, J.H. Calcium Phosphate and Calcium Phosphosilicate Mediated Drug Delivery and Imaging. In Intracellular Delivery: Fundamentals and Applications; Prokop, A., Ed.; Springer: Dordrecht, The Netherlands, 2011; pp. 713–744. [Google Scholar]
- Wetzel, R.G. Limnology: Lake and River Ecosystems; Gulf Professional Publishing: Houston, TX, USA, 2001; 1023p. [Google Scholar]
- Shrestha, P.; Hurley, S.E.; Adair, E.C. Soil Media CO2 and N2O Fluxes Dynamics from Sand-Based Roadside Bioretention Systems. Water 2018, 10, 185. [Google Scholar] [CrossRef]
- Hurley, S.; Shrestha, P.; Cording, A. Nutrient leaching from compost: Implications for bioretention and other green stormwater infrastructure. J. Sustain. Water Built Environ. 2017, 3, 04017006. [Google Scholar] [CrossRef]
- Kirkkala, T.; Ventelä, A.-M.; Tarvainen, M. Long-term field-scale experiment on using lime filters in an agricultural catchment. J. Environ. Qual. 2012, 41, 410–419. [Google Scholar] [CrossRef]
- Zhao, Y.; Pei, Y.; Xiang, R.; Cheng, Y. Effects of drinking water treatment residuals on the quality of different soils from southern and northern agricultural regions. Res. Environ. Sci. 2016, 29, 1497–1505. [Google Scholar]
- Zamparas, M.; Drosos, M.; Georgiou, Y.; Deligiannakis, Y.; Zacharias, I. A novel bentonite-humic acid composite material BephosTM for removal of phosphate and ammonium from eutrophic waters. Chem. Eng. J. 2013, 225, 43–51. [Google Scholar] [CrossRef]
- Yin, H.; Kong, M. Simultaneous removal of ammonium and phosphate from eutrophic waters using natural calcium-rich attapulgite-based versatile adsorbent. Desalination 2014, 351, 128–137. [Google Scholar] [CrossRef]
- Kim, H.; Seagren, E.A.; Davis, A.P. Engineered Bioretention for Removal of Nitrate from Stormwater Runoff. Water Environ. Res. 2003, 75, 355–367. [Google Scholar] [CrossRef] [PubMed]
- Gottschall, N.; Edwards, M.; Craiovan, E.; Frey, S.K.; Sunohara, M.; Ball, B.; Zoski, E.; Topp, E.; Khan, I.; Clark, I.D.; et al. Amending woodchip bioreactors with water treatment plant residuals to treat nitrogen, phosphorus and veterinary antibiotic compounds in tile drainage. Ecol. Eng. 2016, 95, 852–864. [Google Scholar] [CrossRef]
- Zoski, E.D.; Lapen, D.R.; Gottschall, N.; Murrell, R.S.; Schuba, B.R. Nitrogen, Phosphorus and Bacteria Removal in Laboratory-Scale Woodchip Bioreactors Amended with Drinking Water Treatment Residuals. Trans. ASABE 2013, 56, 1339–1347. [Google Scholar]
- United States Environmental Protection Agency. 2018 Drinking Water Standards and Advisory Tables [Internet]. US EPA, 2018. Available online: https://www.epa.gov/dwstandardsregulations/2018-drinking-water-standards-and-advisory-tables (accessed on 18 July 2019).
- United States Environmental Protection Agency. National Primary Drinking Water Regulation Table [Internet]. US EPA, 2016. Available online: https://www.epa.gov/ground-water-and-drinking-water/national-primary-drinking-water-regulation-table (accessed on 18 July 2019).
- Brown, S.L.; Compton, H.; Basta, N.T. Field test of in situ soil amendments at the Tar Creek National Priorities List Superfund Site. J. Environ. Qual. 2007, 36, 1627–1634. [Google Scholar] [CrossRef]
- Makris, K.C.; Sarkar, D.; Datta, R. Evaluating a drinking-water waste by-product as a novel sorbent for arsenic. Chemosphere 2006, 64, 730–741. [Google Scholar] [CrossRef] [PubMed]
- Namasivayam, C.; Sangeetha, D. Equilibrium and kinetic studies of adsorption of phosphate onto ZnCl2 activated coir pith carbon. J. Colloid Interface Sci. 2004, 280, 359–365. [Google Scholar] [CrossRef]
- Feizi, M.; Jalali, M. Sorption of aquatic phosphorus onto native and chemically-modified plant residues: Modeling the isotherm and kinetics of sorption process. Desalin. Water Treat. 2016, 57, 3085–3097. [Google Scholar] [CrossRef]
- Hongpakdee, P.; Ruamrungsri, S. Water use efficiency, nutrient leaching and growth in potted marigolds affected by coconut coir dust amended in substrate media. Hortic. Environ. Biotechnol. 2015, 56, 27–35. [Google Scholar] [CrossRef]
- Jeyaseeli, D.M.; Raj, S.P. Chemical characteristics of coir pith as a function of its particle size to be used as soilless medium. Ecoscan 2010, 4, 163–169. [Google Scholar]
- Reghuvaran, A.; Ravindranath, A.D. Efficacy of biodegraded coir pith for cultivation of medicinal plants. JSIR 2010, 69, 554–559. [Google Scholar]
- Rhie, Y.H.; Kim, J. Changes in Physical Properties of Various Coir Dust and Perlite Mixes and Their Capacitance Sensor Volumetric Water Content Calibrations. HortScience 2017, 52, 162–166. [Google Scholar] [CrossRef]
- Tariq, U.; Rehman, S.U.; Khan, M.A.; Younis, A.; Yaseen, M.; Ahsan, M. Agricultural and municipal waste as potting media components for the growth and flowering of Dahlia hortensis ‘Figaro. ’ Turk. J. Bot. 2012, 36, 378–385. [Google Scholar]





| Media layer depth | Media composition with (+) WTR | Media composition without (-) WTR |
| Upper layer: 17.48 cm | 100% compost | 100% compost |
| 80% compost: 20% sand | 80% compost: 20% sand | |
| 40% compost: 60% sand | 40% compost: 60% sand | |
| 20% compost: 80% sand | 20% compost: 80% sand | |
| Bottom layer: 13 cm | 60% WTR: 40 % sand | 100% sand |
| Total of 30.48 cm (1 ft) |
| Parameters | Compost | Coir |
|---|---|---|
| Total P, % | 0.713 | 0.036 |
| Total K, % | 1.304 | 0.819 |
| Total organic carbon, % | 36.88 | 41.831 |
| Total N, % | 3.24 | 0.5 |
| C:N ratio | 11.40 | 83.66 |
| Parameters | Value |
|---|---|
| Ca, % | 42.4 |
| Mg, % | 4.63 |
| Fe, % | 1.04 |
| Al, % | 0.579 |
| Na, ppm | 335 |
| Mn, ppm | 159 |
| P, ppm | 105 |
| Cu, ppm | 12.4 |
| Pb, ppm | 3.59 |
| Ni, ppm | 3.42 |
| Zn, ppm | <0.015 |
| Cd, ppm | <0.001 |
| NO3-N, ppm | ND |
| Ammonia, ppm | ND |
| TKN, ppm | ND |
| Column # | 1 Filter Media Layers (Top → Bottom) | Treatment Label |
|---|---|---|
| 1 | 20% manure compost+ 80% sand (control) | M20+S80 |
| 2 | 20% manure compost+ 70% sand+ 10% spent lime | M20+S70+R10 |
| 3 | 20% manure compost+ 70% sand+ 10% coir | M20+S70+C10 |
| 4 | 20% manure compost+ 70% sand+ 5% spent lime: 5% coir | M20+S70+R5:C5 |
| 5 | 40% manure compost + 60% sand (control) | M40+S60 |
| 6 | 40% manure compost+ 50% sand+ 10% spent lime | M40+S50+R10 |
| 7 | 40% manure compost+ 50% sand+ 10% coir | M40+S50+C10 |
| 8 | 40% manure compost+ 50% sand+ 5% spent lime: 5% coir | M40+S50+R5:C5 |
| 9 | 40% manure compost+ 30% sand+ 30% spent lime | M40+S30+R30 |
| 10 | 40% manure compost+ 30% sand+ 30% coir | M40+S30+C30 |
| 11 | 40% manure compost+ 30% sand+ 15% spent lime: 15% coir | M40+S30+R15:C15 |
| Treatment | WTR- | WTR+ | Relative difference (%) | P-value |
|---|---|---|---|---|
| Volume (mL) | ||||
| compost20 | 152 ± 38 | 212 ± 80 | −39 | N.S. |
| compost40 | 260 ± 71 | 148 ± 59 | 43 | N.S. |
| compost80 | 238 ± 68 | 123 ± 43 | 48 | N.S. |
| compost100 | 244 ± 61 | 221 ± 71 | 9 | N.S. |
| PO43− flux (mg) | ||||
| compost20 | 0.03 ± 0.01 | 0.01 ± 0.01 | 51 | N.S. |
| compost40 | 0.33 ± 0.11 | 0.01 ± 0.01 | 96 | 0.0015 |
| compost80 | 1.17 ± 0.36 | 0.02 ± 0.01 | 98 | <0.0001 |
| compost100 | 2.69 ± 0.87 | 0.10 ± 0.13 | 93 | 0.0002 |
| NH4+ flux (mg) | ||||
| compost20 | 0.24 ± 0.10 | 0.23 ± 0.11 | 1 | N.S. |
| compost40 | 0.48 ± 0.21 | 0.20 ± 0.10 | 58 | N.S. |
| compost80 | 2.55 ± 1.42 | 0.25 ± 0.11 | 90 | N.S. |
| compost100 | 2.27 ± 1.39 | 0.81 ± 0.36 | 65 | N.S. |
| NO3− flux (mg) | ||||
| compost20 | 29.7 ± 19.5 | 76.5 ± 67.1 | −158 | N.S. |
| compost40 | 27.4 ± 15.2 | 51.9 ± 32.8 | −89 | N.S. |
| compost80 | 31.5 ± 17.0 | 40.9 ± 24.9 | −30 | N.S. |
| compost100 | 57.0 ± 33.9 | 74.5 ± 67.4 | −31 | N.S. |
© 2019 by the authors. Licensee MDPI, Basel, Switzerland. This article is an open access article distributed under the terms and conditions of the Creative Commons Attribution (CC BY) license (http://creativecommons.org/licenses/by/4.0/).
Share and Cite
Shrestha, P.; Salzl, M.T.; Jimenez, I.J.; Pradhan, N.; Hay, M.; Wallace, H.R.; Abrahamson, J.N.; Small, G.E. Efficacy of Spent Lime as a Soil Amendment for Nutrient Retention in Bioretention Green Stormwater Infrastructure. Water 2019, 11, 1575. https://doi.org/10.3390/w11081575
Shrestha P, Salzl MT, Jimenez IJ, Pradhan N, Hay M, Wallace HR, Abrahamson JN, Small GE. Efficacy of Spent Lime as a Soil Amendment for Nutrient Retention in Bioretention Green Stormwater Infrastructure. Water. 2019; 11(8):1575. https://doi.org/10.3390/w11081575
Chicago/Turabian StyleShrestha, Paliza, Michael T. Salzl, Ivan J. Jimenez, Nelish Pradhan, Megan Hay, Hannah R. Wallace, Jenna N. Abrahamson, and Gaston E. Small. 2019. "Efficacy of Spent Lime as a Soil Amendment for Nutrient Retention in Bioretention Green Stormwater Infrastructure" Water 11, no. 8: 1575. https://doi.org/10.3390/w11081575
APA StyleShrestha, P., Salzl, M. T., Jimenez, I. J., Pradhan, N., Hay, M., Wallace, H. R., Abrahamson, J. N., & Small, G. E. (2019). Efficacy of Spent Lime as a Soil Amendment for Nutrient Retention in Bioretention Green Stormwater Infrastructure. Water, 11(8), 1575. https://doi.org/10.3390/w11081575

