Abstract
The accuracy of a complementary relationship (CR) evapotranspiration (ET) model depends on how to parameterize the relationship between apparent potential ET and actual ET as the land surface changes from wet to dry. Yet, the validity of its inherent symmetric assumption of the original CR framework, i.e., the B value equal to one, is controversial. In this study, we conduct a comparative study between a linear, symmetric version (B = 1) and a nonlinear, asymmetric version (B is not necessarily equal to 1) of the advection-aridity (AA) CR model in a large ephemeral lake, which experiences dramatic changes in surface/atmosphere humidity. The results show that B was typically 1.1 ± 1.4 when ET ≤ ETPT ≤ ETPM, where ETPM and ETPT are estimated using the Penman (PM) and Priestley–Taylor (PT) equations, respectively; the AA model performed reasonably well in this case. However, the value of B can be negative and deviate from 1 significantly if the inequality ET ≤ ETPT ≤ ETPM is violated, which is quite common in humid environments. Because the actual ET can be negatively (B > 0) or positively (B < 0) related to the evaporative demand of the air, the nonlinear AA model generally performs better than the AA model if ET ≤ ETPM is satisfied. Although B is not significantly correlated with the atmospheric relative humidity (RH), both models, especially the nonlinear AA model, resulted in negative biases when ET > ETPM, which generally occur at high RH conditions. Both the linear and the nonlinear AA models performed better under higher water level conditions, however, our study highlights the need for higher-order (≥3) polynomial functions when CR models are applied in humid environments.
1. Introduction
Evapotranspiration (ET), which refers to water vapor transfer from the land surface to the atmosphere [1], serves as a key variable in hydrological and ecological cycles [2,3,4]. Numerous ET models [5,6,7] have been proposed in the past 50 years, among which complementary relationship (CR) models have been widely used because of their simple formulation and relatively few input requirements. The actual ET [8,9] or, specifically, its component, soil evaporation [10,11,12], can be readily estimated using the CR concept and meteorological variables. Additionally, CR provides a simple but useful tool for evaluating global hydrological responses to climate change [13,14].
CR was first proposed by Bouchet [15] and was further developed by many others [16,17,18,19,20,21,22,23]. CR refers to the opposite behaviors of the actual ET (ETa) and the apparent potential ET (ETpa) when they deviate from the potential evaporation (ETpo) as the land surface changes from completely wet to completely dry. ETa of a large uniform area occurs at its potential rate (ETpo) if the evaporating surface is saturated and the ambient air is fully adjusted to the saturation condition of the surface. ETpa, which is usually represented by pan evaporation, also equals ETpo in this case. Therefore, as the land surface becomes dry, ETa decreases due to the limited water supply, whereas ETpa increases because of the extra sensible energy, i.e., Q1 = ETpo − ETa, will be used to increase ETpa by the amount of Q2, where Q2 = ETpa − ETpo. B = Q2/Q1 represents the ratio of the sensible energy that has been used in increasing the evaporative demand of the air. B has to be parameterized in CR applications. For example, the aridity-advection (AA) model [16] assumes that B = 1, i.e., ETpa − ETpo = ETpo − ETa. Therefore, actual ET can be estimated readily from the potential and apparent potential ET, ETa =2 ETpo − ETpa. Although the AA model has been intensively used at various spatial and temporal scales, e.g., catchment scales [24], local-site scales [25], daily scales [26] and sub-daily scales [27], studies have shown that Q2 is not necessarily equal to Q1 under local advection conditions [26,28]. Szilagyi [29] concluded that the symmetric assumption is valid only when no energy exchange occurs between the source of ETpa and its surroundings. Recently, Brutsaert [21] formulated a nonlinear version of the AA model (denoted as NAA in this paper) by invoking a generalized complementary principle with physical constraints, thus eliminating the B = 1 assumption. The NAA model has been tested using flux measurements or water balance results under various climatic and vegetation conditions [30,31,32,33]. However, few studies have compared the applicability of the linear (B = 1) and nonlinear (B is not necessarily equal to 1) AA models.
Note that CR describes the ET of the land surface that changes from completely wet to completely dry. However, few studies have examined the utility of the CR models and the B = 1 assumption under an environment that experiences large humidity variations in both the land surface and the atmosphere. In addition, by definition, ET ≤ ETpo ≤ ETpa is valid in any circumstances. However, ETpa and ETpo are usually estimated using the Penman (PM) and Priestley–Taylor (PT) equations, respectively. At humid conditions, the equality ET ≤ ETPT ≤ ETPM can be violated, which may introduce errors in CR applications. In this paper, we conduct a comparative study between the AA and NAA models in a large ephemeral lake and examine the variations in B under different saturation conditions. The eddy covariance (EC) system that was located in an ephemeral lake provides ET measurements under the land surface and water surface conditions.
2. Model Description and General Definitions
Potential evaporation (ETpo, W/m2) refers to the evaporation rate of a large uniform saturated surface where the ambient air has been fully adjusted to the saturation condition of the surface. ETpo is mainly controlled by the available energy, i.e., Rn − G, where Rn and G are the net radiation (W/m2) and soil heat flux (W/m2), respectively. ETpo is usually estimated using the Priestley–Taylor equation [34], ETPT, as shown in Equation (1), where Δ (hPa/K) is the slope of the saturated vapor pressure to the air temperature and γ (hPa/K) is the psychrometric constant. Δ and γ are functions of air temperature and air pressure, respectively. α is a parameter that is widely accepted as 1.26 from the work of Priestley and Taylor [34].
Apparent potential evaporation ETpa (W/m2) refers to the evaporation rate of a small saturated surface, e.g., the evaporating pan, which is surrounded by a large non-saturated homogeneous surface. ETpa thus represents the evaporative demand of the air. ETpa can be represented using pan evaporation measurements or can be estimated using the Penman equation [35], ETPM, as shown in Equation (2). Ea is calculated as the product of the vapor pressure deficit (VPD, hPa) and the wind function, i.e., f(u2) = 7.43 × (1 + 0.54u2) [36], where u2 is the wind speed at the height of 2 m. u2 is estimated using the wind speed measurement ur at the height of zr [37].
Both ETa and ETpa are equal to ETpo when the surface and the atmosphere are both saturated. As the evaporating surface changes from wet to dry, ETpa increases, whereas ETa decreases. The original AA model [16] states that the deviations of ETpa and ETa with ETpo are equal to each other, i.e., ETpa − ETpo = ETpo − ETa. Therefore, the actual ET can be estimated using ETpo and ETpa, as shown as follows:
Brutsaert [21] abandoned the assumption that ETpa − ETpo = ETpo − ETa. Instead, he solved a more generalized function y = x − ∑aixi (i = 0, …, n), where x = ETpo/ETpa, and y = ETa/ETpa, by invoking the physical constraints as boundary conditions, as shown as follows.
A cubic polynomial equation satisfies the four boundary conditions, i.e.,
or, in terms of ET,
When applying the AA and the NAA model, ETpa and ETpo are substituted by ETPM and ETPT. ETPM and ETPT are mainly used in the subsequent analysis in the rest of the paper.
3. Study Area and Data Processing
We use EC and meteorological measurements from Poyang Lake (28°22′–29°45′ N, 115°47′–116°45′ E) in this study. Poyang Lake is located on the south bank of the Yangtze River (Figure 1). The Poyang Lake basin is characterized as humid subtropical climate. Annual mean air temperature is 17.5 °C and mean annual precipitation is 1635.9 mm for 1960–2010. Precipitation is the largest in April, May, and June, and decreases sharply from July to September [38]. Five rivers (Xiushui, Ganjiang, Fuhe, Xinjiang, and Raohe) are the main water suppliers to the lake [39], and the lake discharges to the Yangtze River at Hukou (Figure 1). The inundated area of Poyang Lake varies remarkably from more than 3000 km2 in summer to less than 1000 km2 in winter [39,40,41].
Figure 1.
The study area and the measuring site in Sheshan Island. Surroundings of the measuring site are revealed using Landsat 8 images acquired at 24 August (high-water) and 13 February (low-water), 2015.
Eddy covariance and meteorological devices were mounted on a 38-m tower (29.09° N, 116.38° E) on Sheshan Island (Figure 1), which is located in a periodically inundated zone of Poyang Lake. Xingzi station is the most representative site of the overall water level status of Poyang Lake [42]. The water surface coverage within the EC footprint ranges from >90% when the water level at Xingzi station is greater than 14 m to less than 20% when the water level is less than 12 m during the low-water period [43]. The EC system thus measures the latent heat flux (LE, equivalence to ET in energy units, W/m2) from the water surface and land surface during the high-water and low-water periods, respectively. In addition, surface radiation components, including the downward/upward short-wave and long-wave radiation are measured by the pyrgeometers/pyranometers (CNR4, Kipp & Zonen B.V., Delft, The Netherlands), and the air temperature and relative humidity are measured by HMP155A (Vaisala, Helsinki, Finland).
Nighttime data were not used to avoid the underestimation of LE under low turbulence conditions. Moreover, the data points at which the available energy (H + LE) is smaller than 10 W/m2 were also discarded. Therefore, the data at the timings when the downward shortwave radiation and the available energy were larger than 10 W/m2 within a day were aggregated to the daily scales for analysis. Daily data (1 January–21 December 2015) from Poyang Lake were used for the analysis in this study.
4. Results
4.1. Seasonal Variations in Surface/Atmosphere Humidity Conditions
The water level (WL) of Poyang Lake usually experiences dramatic seasonal changes. In 2015, the WL fluctuated from 7.6 to 19.5 m, with the minimum and maximum values occurring on DOY 48 and DOY 175, respectively (Figure 2A). The WL was approximately 8 m in January and February when the bottom of the lake region was exposed with mudflat and short grass. The WL rose to an average of 11.9 m during March and April, and then rose rapidly to an average of 16.0 m during May and June. Mixed footprints (water + land) existed during March and April, whereas footprints basically consisted of the water surface in May and June. The EC system still measured the water surface evaporation during July and August, when the WL was 16.1 m on average. The WL fell to an average of 13.1 m during September and October, and an average of 12.7 m during November and December. The lake bottom was exposed for only a short period around DOY 310 when the WL was less than 12 m.
Figure 2.
Seasonal variations in the (A) water level (Xingzi station), (B) air temperature, dew temperature, (C) relative humidity and (D) VPD in 2015. DOY is day of the year.
A single-peak sinusoidal seasonal cycle was found for the air temperature (Ta) (Figure 2B). The minimum Ta was still larger than 0 °C, whereas the maximum reached approximately 30 °C. The dew temperature (Td) was an average of 4.4 °C lower than Ta. The difference between Ta and Td was highly correlated (−0.99) with relative humidity (RH). RH was generally higher during the period of high WL. However, RH also reached as high as 80% when WL was the lowest, e.g., from January to March. In contrast, VPD during January to March was generally smaller than in the high-water period because the saturated vapor pressure of the air was lower in the spring due to the low Ta.
4.2. CR under Different Surface/Atmosphere Humidity Conditions
The relationships between LE and the apparent potential LE are shown in Figure 3 under different surface/atmosphere humidity conditions. For proper demonstration, the y-axis was scaled using LEPT. Superficially, the scatter points in Figure 3 do not seem to conform to one single pattern. However, we observe that in the high RH (≥85%) and LE/LEPM > 1 condition, LE/LEPT increases as LE/LEPM increases. In addition, when the ideal inequality LE ≤ LEPT ≤ LEPM is met, LEPM/LEPT and LE/LEPT exhibit opposite trends as LE/LEPM increases, as shown in the fitted line in Figure 3. The rest of the data points, e.g., those in the ellipse in Figure 3A, occur when both LEPM/LEPT and LE/LEPT are larger than 1.
Figure 3.
Complementary relationship under various water level and atmospheric humidity conditions throughout the year. (A), Jan and Feb; (B), Mar and Apr; (C), May and Jun; (D), Jul and Aug; (E), Sep and Oct; (F), Nov and Dec.
Therefore, for proper demonstration, we divided the dataset into three categories. Category 1 satisfies the ideal inequality LE ≤ LEPT ≤ LEPM. Category 2 violates the inequality LE ≤ LEPT ≤ LEPM but still satisfies the inequality LE ≤ LEPM, i.e., LE may be larger than LEPT or LEPT may be larger than LEPM in this category (e.g., those in the ellipse in Figure 3A). Category 3 contains the data points where LE is larger than LEPM, which generally occurs under RH ≥ 85% conditions. Notably, each category broadly exists in all water level conditions (Figure 3). The number of data points in each category is shown in Table 1. Category 1 and 3 consist of 27.4% and 28.1% of the total data, respectively, and category 2 accounts for the largest proportion of the data. The proportion of data in category 1 reaches its maximum in the period of January and February when the lake bottom is rarely covered by water. As the water level rises, the proportion of data in category 1 in the entire dataset generally decreases, especially during the rapid water-rising period, e.g., May and June.
Table 1.
Numbers of data points in each category.
When LE ≤ LEPT ≤ LEPM, LEPM/LEPT and LE/LEPT exhibit opposite trends as LE/LEPM increases (Figure 3). Both the upper (LEPM/LEPT) and lower (LE/LEPT) scatter points in Figure 3 were fitted using exponential functions. The slopes of the fitted LEPM/LEPT curves are generally smaller in high-water periods, whereas the slopes of the lower line exhibit no significant changes with the water level. Both LEPM/LEPT and LE/LEPT do not seem to be significantly correlated with RH (Figure 3). In addition, the B values exhibit no significant trends with RH or the water level. The mean values of B are approximately 1.1 during most of the periods (Figure 4A,B,D,E), indicating that the AA model assumption is generally feasible for category 1 data. However, the value of B can also be close to 2 during the rapid water-rising periods, e.g., May and June, and November and December. It is worth noting that the number of data points during the rapid water-rising periods is much smaller than in other periods.
Figure 4.
The relationship between B and RH under various water level conditions throughout the year. (A), Jan and Feb; (B), Mar and Apr; (C), May and Jun; (D), Jul and Aug; (E), Sep and Oct; (F), Nov and Dec.
The value of B is generally negative for category 2 data because LEPT is usually smaller than both LE and LEPM (Figure 3). The negative value of B in the equation LEPM − LEPT = B (LEPT − LE) implies that LE increases rather than decreases with increasing atmospheric demand (LEPM). Note that the B values in this category do not seem to exhibit significant trends with RH. However, the distribution of B is correlated with the water level. B is much closer to 0 during the high-water periods, i.e., May to October. The mean values of B are −1.9, −2.0 and −1.6 in Figure 4C–E, respectively, which are larger than those in other periods (Figure 4A,B,F). In addition, more data points are distributed approximately 0 from May to October than in other periods. One main reason for this phenomenon may be because LEPT is close to LEPM for water-covered surfaces.
The LE ≥ LEPM cases (category 3) generally occur when RH is relatively large (>85%). Note that most of the points in category 3 satisfy the inequality LE ≥ LEPT ≥ LEPM; therefore, B is generally positive in category 3. Compared to category 2, the value of B in category 3 is much closer to 0 during the low-water periods, which is shown in Figure 4A,B,F.
4.3. Comparison of the AA and the NAA Simulations on the LEPT/LEPM~LE/LEPM Relationship
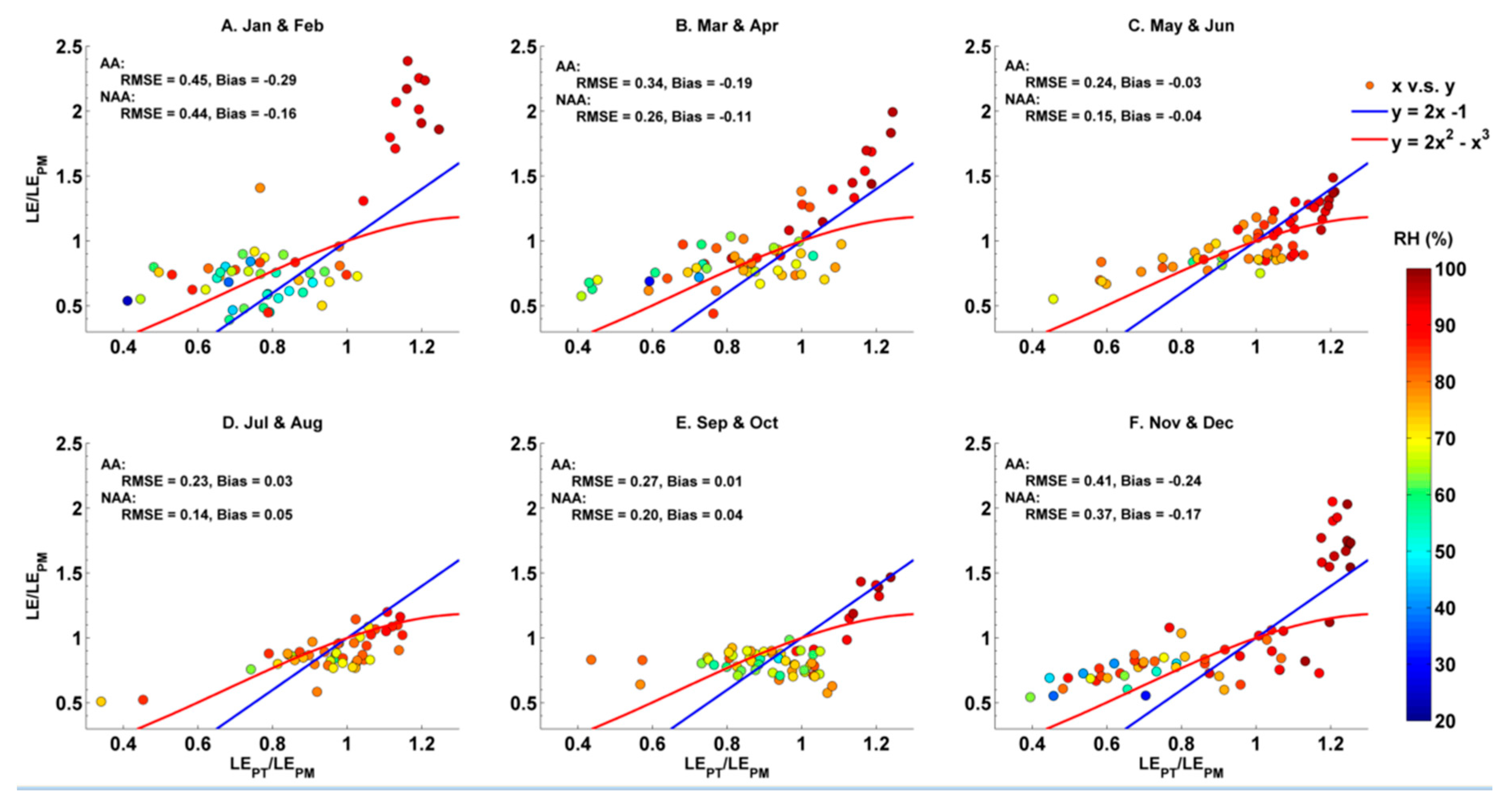
Let x = LEPT/LEPM and y = LE/LEPM; then, we can rewrite LEPM − LEPT = B (LEPT − LEa) as . As shown in Section 2, the AA model assumes that B equals 1, i.e., y = 2x − 1. In contrast, the NAA model obtained a nonlinear formulation from a more general perspective (B is not a fixed value), i.e., y = 2x2 − x3. The performances of the AA and the NAA models in simulating the LEPT/LEPM~LE/LEPM relationships are shown in Figure 5.
Figure 5.
Performances of the advection-aridity (AA) and nonlinear version of the AA model (NAA) models in simulating the relationships between LEPT/LEPM and LE/LEPM. (A), Jan and Feb; (B), Mar and Apr; (C), May and Jun; (D), Jul and Aug; (E), Sep and Oct; (F), Nov and Dec.
The results showed that the nonlinear formulation generally performed better than the AA model. For example, the Root mean square error (RMSE) of the AA and NAA models were 0.24 and 0.15, respectively, during May and June. The RMSE of the two models were close to each other during January and February; however, the absolute bias of the NAA model was smaller than that of the AA model. Moreover, the model performances were found to be related to humidity conditions. For example, both the AA and the NAA models performed better during the periods with the highest water level (Figure 5C,D) than during the low-water periods. Large negative (<−0.10) biases were found during the low-water periods (Figure 5A,B,F) for both the AA and the NAA models. One main reason for such large negative biases is the underestimation of the models when the air is near saturated, i.e., RH > 85% (Figure 5A,B,F).
More detailed examinations show that the linear formulation y = 2x − 1 performed reasonably well for the data points that satisfied the inequality LE ≤ LEPT ≤ LEPM (category 1) (Figure 6). However, for category 2, y = 2x − 1 underestimates LE/LEPM at most of the points, especially when LEPT/LEPM was smaller than 1. In contrast, the nonlinear x-y formulation (y = 2x2 − x3) performed better than the linear formulation for the data in category 2. However, the nonlinear formulation performed worse than the linear formulation for the data points in category 3. The nonlinear formulation greatly underestimated LE/LEPM at high humidity conditions because y = 2x2 − x3 increases much more slowly at high humidity conditions.
Figure 6.
Performances of the AA and NAA models in simulating the relationships between x and y in three data categories, where x = LEPT/LEPM, and y = LE/LEPM. (A), Jan and Feb; (B), Mar and Apr; (C), May and Jun; (D), Jul and Aug; (E), Sep and Oct; (F), Nov and Dec.
4.4. AA and NAA Model Performances in Estimating LE
Performances of the AA and the NAA models in estimating LE are analyzed in this section. Overall, the AA model had a 35.6 W/m2 RMSE and a −8.8 W/m2 mean bias, whereas the NAA model had comparable accuracy, i.e., a 36.9 W/m2 RMSE and a −6.4 W/m2 mean bias. Both the AA and the NAA models produced similar trends compared to the measured LE time series (Figure 7). However, the AA model performed worse with larger negative biases than the NAA model when LE was relatively small (<150 W/m2), as shown in Figure 7. In contrast, the NAA model resulted in larger negative biases than the AA model when the LE was larger than 200 W/m2 (Figure 7).
Figure 7.
Comparisons between the time series of the measured latent heat flux (LE) and the modeled LE using the AA and NAA models.
The distribution of measured LE under various water level conditions is shown in Figure 8. LE was generally higher in the high-water periods. In addition, LE generally increased with LEPT/LEPM (Figure 8). Worth noting, LE in category 1 was not significantly different from that in category 2, whereas most of the highest LE values are for data in category 3. The AA model performed reasonably well in simulating LE in category 1 (Figure 9). Prediction biases were confined within ±50 W/m2 and their averages were close to 0 for different water-level conditions. Prediction biases showed no significant trend with respect to atmospheric humidity (RH). Such a result indicates that the AA model is robust in estimating LE across different surface/atmospheric humidity conditions, if the inequality LE ≤ LEPT ≤ LEPM is met. In contrast, the prediction biases (absolute values) in category 2 decreased as RH increased in relatively low-water level periods (Figure 9A,B,F). The model simulations in category 2 were better during the relatively high-water periods (Figure 10C,D,E). Overall, model performances improved under humid surface/atmospheric conditions for the data points in category 2. In contrast, large negative biases resulted from the AA model simulation in category 3. However, for category 3, the model performances were also better during the high-water periods (Figure 10C,D,E) than during the relatively low-water period (Figure 10A,B,F). Compared to the AA modeling biases, the NAA model biases exhibited similar distributions under different water level and atmospheric humidity conditions (Figure 10). However, the NAA model outperformed the AA model for the data points in category 2 and performed worse for the category 3 data.
Figure 8.
Distribution of LE with respect to the x-y plane under various water level conditions, where x = LEPT/LEPM, and y = LE/LEPM. (A), Jan and Feb; (B), Mar and Apr; (C), May and Jun; (D), Jul and Aug; (E), Sep and Oct; (F), Nov and Dec.
Figure 9.
LE biases from the AA model under various water level and atmospheric humidity conditions. (A), Jan and Feb; (B), Mar and Apr; (C), May and Jun; (D), Jul and Aug; (E), Sep and Oct; (F), Nov and Dec.
Figure 10.
LE biases from the NAA model under various water level and atmospheric humidity conditions. (A), Jan and Feb; (B), Mar and Apr; (C), May and Jun; (D), Jul and Aug; (E), Sep and Oct; (F), Nov and Dec.
5. Discussion
By definition, the actual ET should be smaller than both the potential and the apparent potential ET, and the apparent potential ET should be the upper-most ET rate because it represents the evaporative demand of the air. Note that if LEpo and LEpa are estimated using the PT and the PM equations, respectively, the inequality LE ≤ LEPT is generally met in arid environments because of the limited water supply. The inequality LEPT ≤ LEPM is also easily met because the atmospheric evaporative demand is usually quite large (due to the hot dry/air in arid environments) compared to the available energy of the land surface in arid environments. Therefore, LE ≤ LEPT ≤ LEPM is usually met in arid environments. However, in a humid climate environment such as in our study area, because the water supply for evaporation is usually adequate, LE/LEPT may increase to be larger than 1 as LEPM/LEPT increases with the atmospheric evaporative demand. Examples of such cases can be found in the eclipse area in Figure 3A, where LE/LEPT > 1. In addition, in high RH conditions (RH ≥ 85%), the LEPM that is estimated using the Penman equation can be relatively small due to the relatively small VPD; thus LE/LEPM can be larger than 1 as LE/LEPT increases.
One way to avoid the violation of the inequality LE ≤ LEPT ≤ LEPM is to adjust the parameter α in the LEPT estimation. Numerous studies have shown that α can vary around its recommended value (1.26) for land surfaces [44,45,46,47]. Furthermore, α varies even under water body conditions [48,49]. However, no consistent parameterization of α has been established. A prior α is often used in CR applications. Therefore, violations of the inequality LE ≤ LEPT ≤ LEPM are usually inevitable.
Our results indicated that the relationships between x and y differ significantly depending on the magnitude order in LE, LEPT and LEPM. For example, for LE ≤ LEPT ≤ LEPM cases (category 1), the average values of parameter B vary around 1.1~2.1 with different WL conditions (Figure 4A–F). A linear equation y = 1.625x − 0.63 results if B is taken as the median value, 1.6, indicating that the AA model (y = 2x − 1) is quite accurate for the data points that satisfy the inequality LE ≤ LEPT ≤ LEPM. The AA model predicts that LE will be 0 when LEPT equals half of LEPM, i.e., y = 0 when x = 0.5. The tendency of the data points in category 1 seems to satisfy this character. However, our data show that in category 2, y is still positive when x is smaller than 0.5 (Figure 6). The intercepts of the linear regressions of the data in category 2 seem to be positive instead of negative as in the AA model. The average values of the parameter B vary around −3.0~−1.9 for category 2. A linear equation y = 0.6x + 0.4 results if B is taken as −2.5. Therefore, in terms of ET, ETa = 0.6ETPT + 0.4ETPM. Such a result indicates that the actual ET increases instead of decreasing with increasing ETpa. Note that the increase in the actual ET with ETPM is not contradictory to the CR [50], and there are also many studies that have reported that y is still positive when x is smaller than 0.5, even in arid and semi-arid environments [20,31]. Nevertheless, the slope and intercept of the linear equation y = 0.6x + 0.4 is significantly different from that in the AA model.
From a modeling perspective, LE is not known a priori; therefore, the magnitude order in LE, LEPT and LEPM is not known. Whether a data point belongs to category 1 or category 2 cannot easily be determined in advance for humid environments. Higher-order polynomial equations such as the nonlinear AA model may be more useful than linear equations. We further fitted the x-y relationships using quadratic polynomial equations (Figure 11). The mean biases are close to 0, which are much smaller than those from the AA and the NAA models. RMSE values from the quadratic functions are approximately half of the values from the AA and the NAA models.
Figure 11.
Quadratic fitting of x-y relationships under various water level conditions, where x = LEPT/LEPM, and y = LE/LEPM. (A), Jan and Feb; (B), Mar and Apr; (C), May and Jun; (D), Jul and Aug; (E), Sep and Oct; (F), Nov and Dec. Red line represents fitted line and black circle represents the original data.
The magnitude order of LEPT and LEPM can be determined before the actual LE is estimated. Therefore, we further evaluated the performances of the AA and the NAA models under the LEPT ≤ LEPM and the LEPT > LEPM conditions. When LEPT ≤ LEPM, both the AA and the NAA models performed better during the high-water periods. However, the NAA model outperformed the AA model, with much smaller RMSE and absolute biases during all periods (Figure 12). The biases of the NAA model were even close to 0 during some of the periods. In contrast, the NAA model was comparable or slightly worse than the AA model under the LEPT > LEPM condition.
Figure 12.
Performances of the AA and the NAA models under the LEPT ≤ LEPM. (A) and (B) and the LEPT > LEPM (C) and (D) conditions.
6. Conclusions
The CR models have been widely used due to their simple formulation and relatively few input requirements. However, although CR depicts the ET process as the land surface changes from completely wet to completely dry, few studies have compared the utility of CR models in different surface/atmosphere humidity conditions. In this study, we conducted a comparative study between the AA and the NAA models over a periodically inundated area of the Poyang Lake.
The results show that both the AA and the NAA models generally performed better under higher water level conditions. In addition, CR and the applicability of the CR models varied across different data categories. The value of B was typically 1.1 ± 1.4 when LE ≤ LEPT ≤ LEPM, and the AA model performed reasonably well in these cases. However, the value of B was generally negative in category 2 and the AA model had large negative biases in these cases. Under near-saturated air conditions, both the AA and the NAA models had negative biases.
Although different linear equations can separately fit the data points (x, y) in different categories, we were not able to classify the data points into different categories before ET was known. Compared to the AA model, the NAA model showed a more robust performance when LE < LEPM. In humid climate areas, actual ET can be negatively or positively related to the evaporative demand of the air; our study shows that a higher-order CR model may provide more robust predictions in such conditions. New theoretical considerations of the boundary conditions by which the x-y relationship is established may be needed in future studies. Moreover, more data from humid climate regions are needed to study variations in the LEPT/LEPM ~ LE/LEPM relationships.
Author Contributions
Conceptualization, G.G. and Y.L.; methodology, G.G.; software, G.G.; validation, G.G., X.P. and X.Z.; formal analysis, G.G.; investigation, X.Z., M.L., and S.W.; resources, Y.L., M.L., and S.W.; data curation, X.Z., M.L., and S.W.; writing—original draft preparation, G.G.; writing—review and editing, G.G. and Y.L.; visualization, G.G. ; supervision, Y.L.; project administration, Y.L.; funding acquisition, G.G. and Y.L.
Funding
Our research is jointly funded by the National Natural Science Foundation of China (41601033), the National Natural Science Foundation of China (51879255), the State Key Program of National Natural Science of China (41430855), and the Key Project of Water Resources Department of Jiangxi Province, China (KT201506).
Acknowledgments
We thank Guiping Wu for providing the figure of the study area in this paper.
Conflicts of Interest
The authors declare no conflict of interest.
References
- Tegos, A.; Malamos, N.; Efstratiadis, A.; Tsoukalas, I.; Karanasios, A.; Koutsoyiannis, D. Parametric modelling of potential evapotranspiration: A global survey. Water 2017, 9, 795. [Google Scholar] [CrossRef]
- Law, B.E.; Falge, E.; Gu, L.; Baldocchi, D.D.; Bakwin, P.; Berbigier, P.; Davis, K.; Dolman, A.J.; Falk, M.; Fuentes, J.D.; et al. Environmental controls over carbon dioxide and water vapor exchange of terrestrial vegetation. Agric. For. Meteorol. 2002, 113, 97–120. [Google Scholar] [CrossRef]
- Scott, R.L.; Huxman, T.E.; Cable, W.L.; Emmerich, W.E. Partitioning of evapotranspiration and its relation to carbon dioxide exchange in a chihuahuan desert shrubland. Hydrol. Process. 2006, 20, 3227–3243. [Google Scholar] [CrossRef]
- Trenberth, K.E.; Smith, L.; Qian, T.T.; Dai, A.; Fasullo, J. Estimates of the global water budget and its annual cycle using observational and model data. J. Hydrometeorol. 2007, 8, 758–769. [Google Scholar] [CrossRef]
- Li, Z.L.; Tang, R.L.; Wan, Z.M.; Bi, Y.Y.; Zhou, C.H.; Tang, B.H.; Yan, G.J.; Zhang, X.Y. A review of current methodologies for regional evapotranspiration estimation from remotely sensed data. Sensors 2009, 9, 3801–3853. [Google Scholar] [CrossRef] [PubMed]
- Kalma, J.D.; McVicar, T.R.; McCabe, M.F. Estimating land surface evaporation: A review of methods using remotely sensed surface temperature data. Surv. Geophys. 2008, 29, 421–469. [Google Scholar] [CrossRef]
- Wang, K.C.; Dickinson, R.E. A review of global terrestrial evapotranspiration: Observation, modeling, climatology, and climatic variability. Rev. Geophys. 2012, 50, 50. [Google Scholar] [CrossRef]
- Jaksa, W.T.; Sridhar, V.; Huntington, J.L.; Khanal, M. Evaluation of the complementary relationship using noah land surface model and north american regional reanalysis (narr) data to estimate evapotranspiration in semiarid ecosystems. J. Hydrometeorol. 2013, 14, 345–359. [Google Scholar] [CrossRef]
- Ramirez, J.A.; Hobbins, M.T.; Brown, T.C. Observational evidence of the complementary relationship in regional evaporation lends strong support for bouchet’s hypothesis. Geophys. Res. Lett 2005, 32. [Google Scholar] [CrossRef]
- Fisher, J.B.; Tu, K.P.; Baldocchi, D.D. Global estimates of the land-atmosphere water flux based on monthly avhrr and islscp-ii data, validated at 16 fluxnet sites. Remote Sens. Environ. 2008, 112, 901–919. [Google Scholar] [CrossRef]
- Gao, Y.C.; Gan, G.J.; Liu, M.F.; Wang, J.F. Evaluating soil evaporation parameterizations at near-instantaneous scales using surface dryness indices. J. Hydrol. 2016, 541, 1199–1211. [Google Scholar] [CrossRef]
- Gan, G.; Kang, T.; Yang, S.; Bu, J.; Feng, Z.; Gao, Y. An optimized two source energy balance model based on complementary concept and canopy conductance. Remote Sens. Environ. 2019, 223, 243–256. [Google Scholar] [CrossRef]
- Brutsaert, W. Indications of increasing land surface evaporation during the second half of the 20th century. Geophys. Res. Lett. 2006, 33. [Google Scholar] [CrossRef]
- Brutsaert, W.; Parlange, M.B. Hydrologic cycle explains the evaporation paradox. Nature 1998, 396, 30. [Google Scholar] [CrossRef]
- Bouchet, R. Evapotranspiration reelle et potentielle, significantion climatique. IAHS Publ. 1963, 62, 134–142. [Google Scholar]
- Brutsaert, W.; Stricker, H. Advection-aridity approach to estimate actual regional evapotranspiration. Water Resour. Res. 1979, 15, 443–450. [Google Scholar] [CrossRef]
- Morton, F.I. Operational estimates of areal evapo-transpiration and their significance to the science and practice of hydrology. J. Hydrol. 1983, 66, 1–76. [Google Scholar] [CrossRef]
- Granger, R.J. A complementary relationship approach for evaporation from nonsaturated surfaces. J. Hydrol. 1989, 111, 31–38. [Google Scholar] [CrossRef]
- Granger, R.J. An examination of the concept of potential evaporation. J. Hydrol. 1989, 111, 9–19. [Google Scholar] [CrossRef]
- Han, S.J.; Hu, H.P.; Yang, D.W.; Tian, F.Q. A complementary relationship evaporation model referring to the granger model and the advection-aridity model. Hydrol. Process. 2011, 25, 2094–2101. [Google Scholar] [CrossRef]
- Brutsaert, W. A generalized complementary principle with physical constraints for land-surface evaporation. Water Resour. Res. 2015, 51, 8087–8093. [Google Scholar] [CrossRef]
- Aminzadeh, M.; Roderick, M.L.; Or, D. A generalized complementary relationship between actual and potential evaporation defined by a reference surface temperature. Water Resour. Res. 2016, 52, 385–406. [Google Scholar] [CrossRef]
- Szilagyi, J.; Jozsa, J. New findings about the complementary relationship-based evaporation estimation methods. J. Hydrol. 2008, 354, 171–186. [Google Scholar] [CrossRef]
- Liu, S.M.; Sun, R.; Sun, Z.P.; Li, X.O.; Liu, C.M. Evaluation of three complementary relationship approaches for evapotranspiration over the yellow river basin. Hydrol. Process. 2006, 20, 2347–2361. [Google Scholar] [CrossRef]
- Yu, J.; Zhang, Y.; Liu, C. Validity of the bouchet’s complementary relationship at 102 observatories across china. Sci. China Ser. D 2009, 52, 708–713. [Google Scholar] [CrossRef]
- Kahler, D.M.; Brutsaert, W. Complementary relationship between daily evaporation in the environment and pan evaporation. Water Resour. Res. 2006, 42. [Google Scholar] [CrossRef]
- Crago, R.; Crowley, R. Complementary relationships for near-instantaneous evaporation. J. Hydrol. 2005, 300, 199–211. [Google Scholar] [CrossRef]
- Szilagyi, J. On bouchet’s complementary hypothesis. J. Hydrol. 2001, 246, 155–158. [Google Scholar] [CrossRef]
- Szilagyi, J. On the inherent asymmetric nature of the complementary relationship of evaporation. Geophys. Res. Lett. 2007, 34. [Google Scholar] [CrossRef]
- Brutsaert, W.; Li, W.; Takahashi, A.; Hiyama, T.; Zhang, L.; Liu, W.Z. Nonlinear advection-aridity method for landscape evaporation and its application during the growing season in the southern loess plateau of the yellow river basin. Water Resour. Res. 2017, 53, 270–282. [Google Scholar] [CrossRef]
- Zhang, L.; Cheng, L.; Brutsaert, W. Estimation of land surface evaporation using a generalized nonlinear complementary relationship. J. Geophys. Res. Atmos. 2017, 122, 1475–1487. [Google Scholar] [CrossRef]
- Liu, X.M.; Liu, C.M.; Brutsaert, W. Regional evaporation estimates in the eastern monsoon region of china: Assessment of a nonlinear formulation of the complementary principle. Water Resour. Res. 2016, 52, 9511–9521. [Google Scholar] [CrossRef]
- Szilagyi, J.; Crago, R.; Qualls, R.J. Testing the generalized complementary relationship of evaporation with continental-scale long-term water-balance data. J. Hydrol. 2016, 540, 914–922. [Google Scholar] [CrossRef]
- Priestley, C.H.B.; Taylor, R.J. Assessment of surface heat-flux and evaporation using large-scale parameters. Mon. Weather Rev. 1972, 100, 81–92. [Google Scholar] [CrossRef]
- Penman, H.L. Natural evaporation from open water, bare soil and grass. Proc. R. Soc. Lon. Ser. A 1948, 193, 120–145. [Google Scholar]
- Shuttleworth, W.J. Evaporation. In Hand Book of Hydrology; Maidment, D.R., Ed.; McGraw-Hill: New York, NY, USA, 1993. [Google Scholar]
- Brutsaert, W. Hydrology: An Introduction; Cambridge University Press: New York, NY, USA, 2005. [Google Scholar]
- Ye, X.C.; Zhang, Q.; Liu, J.; Li, X.H.; Xu, C.Y. Distinguishing the relative impacts of climate change and human activities on variation of streamflow in the poyang lake catchment, china. J. Hydrol. 2013, 494, 83–95. [Google Scholar] [CrossRef]
- Wu, G.P.; Liu, Y.B. Capturing variations in inundation with satellite remote sensing in a morphologically complex, large lake. J. Hydrol. 2015, 523, 14–23. [Google Scholar] [CrossRef]
- Wu, G.P.; Liu, Y.B. Combining multispectral imagery with in situ topographic data reveals complex water level variation in china’s largest freshwater lake. Remote Sens. 2015, 7, 13466–13484. [Google Scholar] [CrossRef]
- Liu, Y.B.; Wu, G.P.; Zhao, X.S. Recent declines in china’s largest freshwater lake: Trend or regime shift? Environ. Res. Lett. 2013, 8, 014010. [Google Scholar] [CrossRef]
- Liu, Y.; Wu, G. Hydroclimatological influences on recently increased droughts in china’s largest freshwater lake. Hydrol. Earth Syst. Sci. 2016, 20, 93–107. [Google Scholar] [CrossRef]
- Zhao, X.S.; Liu, Y.B. Phase transition of surface energy exchange in china’s largest freshwater lake. Agric. For. Meteorol. 2017, 244, 98–110. [Google Scholar] [CrossRef]
- Xu, C.Y.; Singh, V.P. Evaluation of three complementary relationship evapotranspiration models by water balance approach to estimate actual regional evapotranspiration in different climatic regions. J. Hydrol. 2005, 308, 105–121. [Google Scholar] [CrossRef]
- Hobbins, M.T.; Ramirez, J.A.; Brown, T.C. The complementary relationship in estimation of regional evapotranspiration: An enhanced advection-aridity model. Water Resour. Res. 2001, 37, 1389–1403. [Google Scholar] [CrossRef]
- Pettijohn, J.C.; Salvucci, G.D. Impact of an unstressed canopy conductance on the bouchet-morton complementary relationship. Water Resour. Res. 2006, 42. [Google Scholar] [CrossRef]
- Yang, H.B.; Yang, D.W.; Lei, Z.D. Seasonal variability of the complementary relationship in the asian monsoon region. Hydrol. Process. 2013, 27, 2736–2741. [Google Scholar] [CrossRef]
- Guo, X.F.; Liu, H.P.; Yang, K. On the application of the priestley-taylor relation on sub-daily time scales. Bound. Lay Meteorol. 2015, 156, 489–499. [Google Scholar] [CrossRef]
- Assouline, S.; Li, D.; Tyler, S.; Tanny, J.; Cohen, S.; Bou-Zeid, E.; Parlange, M.; Katul, G.G. On the variability of the priestley-taylor coefficient over water bodies. Water Resour. Res. 2016, 52, 150–163. [Google Scholar] [CrossRef]
- Han, S.J.; Tian, F.Q.; Hu, H.P. Positive or negative correlation between actual and potential evaporation? Evaluating using a nonlinear complementary relationship model. Water Resour. Res. 2014, 50, 1322–1336. [Google Scholar] [CrossRef]
© 2019 by the authors. Licensee MDPI, Basel, Switzerland. This article is an open access article distributed under the terms and conditions of the Creative Commons Attribution (CC BY) license (http://creativecommons.org/licenses/by/4.0/).











