Next Article in Journal
Driving Factors and Dynamics of Phytoplankton Community and Functional Groups in an Estuary Reservoir in the Yangtze River, China
Next Article in Special Issue
Treatment of High-Strength Animal Industrial Wastewater Using Photo-Assisted Fenton Oxidation Coupled to Photocatalytic Technology
Previous Article in Journal
Water Table Trend—A Sustainability Status of Groundwater Development in North-West Bangladesh
Previous Article in Special Issue
Effect of Different Radiation Sources and Noble Metal Doped onto TiO2 for Contaminants of Emerging Concern Removal
 
 
Font Type:
Arial Georgia Verdana
Font Size:
Aa Aa Aa
Line Spacing:
Column Width:
Background:
Article

Catalytic Efficiency of Red Mud for the Degradation of Olive Mill Wastewater through Heterogeneous Fenton’s Process

1
CIEPQPF–Chemical Engineering Processes and Forest Products Research Center, Department of Chemical Engineering, Faculty of Sciences and Technology, University of Coimbra, RuaSílvio Lima, 3030-790 Coimbra, Portugal
2
CICECO–Aveiro Institute of Materials, Department of Materials and Ceramic Engineering, University of Aveiro, 3810-193 Aveiro, Portugal
*
Author to whom correspondence should be addressed.
Water 2019, 11(6), 1183; https://doi.org/10.3390/w11061183
Submission received: 17 May 2019 / Revised: 31 May 2019 / Accepted: 3 June 2019 / Published: 6 June 2019
(This article belongs to the Special Issue Advanced Oxidation Technologies in Industrial Wastewater Treatment)

Abstract

Olive mill wastewater is a challenging effluent, especially due to its toxicity related to the presence of phenolic compounds. Fenton’s process was analysed on the abatement of phenolic acids typically found in this kind of effluents. To overcome the main drawback of Fenton’s process, a waste from the aluminium industry commonly called red mud was used as a heterogeneous source of iron. The adsorption of simulated effluent on the red mud was negligible. Therefore, the degradation of phenolic acids during Fenton’s process was due to oxidation by hydroxyl radicals. The amount of red mud and hydrogen peroxide were optimized regarding phenolic acids degradation. The optimal conditions leading to the highest removal of contaminants (100% of phenolic acids degradation and 25% of mineralization after 60 min of reaction) were 1 g/L of catalyst and 100 mg/L of hydrogen peroxide. The possibility of recovering treated water for agricultural purposes was evaluated by assessing the toxic impact over a wide range of species. The toxicity observed for the treated samples was mainly related to the residual hydrogen peroxide remaining after treatment.

1. Introduction

Agro-industries, such as olive mills, are a relevant economic sector in the Mediterranean Sea area. This region has an important role in the production of olive oil as it accounts for almost 95% of the worldwide production [1]. These countries suffer from severe drought periods and water shortening, and olive oil production plants are high water demand. Moreover, during their operation high amounts of polluted streams are generated. Olive mill wastewater (OMW) is an effluent resulting from the production of olive oil. Fresh OMW is considered phytotoxic mainly because it contains phenolic compounds [2]. These substances are prejudicial for biological processes resulting in an antimicrobial activity in OMW treatment. OMW can be characterized by high pollutant load (g L−1): chemical oxygen demand(COD) 45–180, biochemical oxygen demand (BOD5) 25–100, total solids 24–120, mineral solids 5–15, total phenolics 2–15, fat 0.5–1.0 and pH 4.0–5.2 [3]. The treatment of those effluents is a priority to environmental preservation and water recovery [4]. The most common treatments are based on biological reactors, but they are not efficient when applied to OMW due to the presence of toxic compounds [5,6]. The high organic load makes these streams hard to manage, as well as the fulfillment of the legal thresholds for their discharge to the environment [7]. A method widely used to manage OMW is the disposal in artificial evaporating ponds. This method is environmentally risky for aquifers besides promoting bad odors, and therefore, should not be used near housing areas [8]. The traditional physical-chemical treatments, namely flocculation, coagulation, filtration, only solve part of the problem since the contaminants are not destroyed but rather phase changed. Oxidation (chemical or biological) treatment is necessary to complete the treatment of the effluent. They are usually applied as a combination of processes [4,9]. It is documented that the advanced oxidation processes show potential to treat this type of effluents. Among them, Fenton´s reagent is usually identified as promising for industrial applications [10,11,12].
Fenton’s process is based on the generation of very reactive free radicals, specifically hydroxyl radicals. It has a high capability of mineralizing almost every organic compound. Fenton´s technology is easy to handle and the chemicals used (iron and hydrogen peroxide) are commonly available and safe. The optimal conditions for treating OMW occurs in acidic medium at pH values between 2.5 and 4.5 [13]. The main disadvantage of this process is sludge formation [14,15]. In fact, the use of a homogeneous catalyst (iron salts) implies its removal from solution at the end of the treatment. Typically, this is achieved by increasing pH of the treated effluent to promote iron hydroxides precipitation. To overcome this issue, research is being focused on the development of suitable solid catalysts that can be easily removed from the liquid bulk and reused [16,17,18]. Another important disadvantage of this process is related to the formation of a high concentration of ions in the treated wastewater, which could interfere on the reaction efficiency and increase conductivity [19]. Moreover, the process is highly dependent upon H2O2 concentration and is only efficient at low pH-levels [20].
The use of iron-rich residues as catalysts in this process can be an interesting environmental approach [21]. In this work, a low-cost catalyst, red mud, was innovatively applied in the Fenton process with the objective of reducing the operation costs and reusing a waste that is currently produced in large quantities. Red mud is the iron-rich waste formed during aluminum oxide production by the bauxite leaching process (Bayer process). The production of this waste is about 1 to 1.5 tons per ton of alumina which globally rises to 66 million tons of annual production [22]. Though the main constituents of red mud are non-hazardous iron and aluminium oxides or oxy-hydroxides, red mud is characterized by high alkalinity and also contains traces of potentially pollutant components. Since the most common destination of this waste is landfilling, which requires large areas, this management approach may be an environmental problem to soils and groundwater due to the leaching of hazardous components.
Additional motivation for this work was the intended valorization of red mud, bearing in mind the need of following a path towards a circular economy of industrial wastes. Thus, red mud should be envisaged as raw material, based on the potential applicability of the main iron and aluminium-based constituents, and also significant fractions of other valuable components such as rare earth oxides. Therefore, the applicability of this waste as a catalyst in Fenton or other oxidation processes can contribute to a sustainable future [23,24].
The advanced oxidation processes such as Fenton process normally can be a suitable methodology for the abatement of chemical pollutants, such as phenolic acids. However, the presence of reactive oxidative species can promote the degradation of the initial pollutants through partial oxidation instead towards total mineralization pathways. Therefore, to consider wastewater reclamation, the treated solutions should be evaluated in terms of toxicity regarding aquatic species. In fact, Gomes et al. [25] verified that parabens degradation through catalytic ozonation promotes the production of by-products slightly more toxic than the corresponding dilution of parabens mixture. In this way, the treated solution at the optimal dose of red mud and hydrogen peroxide was evaluated regarding toxicity. This result was compared with the one obtained for the samples coming from Fenton’s process using different red mud loads since the heavy metals leaching from the waste can contribute to the treated wastewater toxicity. The toxicity tests performed cover different trophic levels and thus, a bacterium, Aliivibrio fischeri, a clam, Corbicula fluminea and a plant Lepidium sativum were selected as non-target species.
In this context, the aim of the present research was to analyze the efficiency of red mud as a solid low-cost catalyst in Fenton’s process for OMW treatment. A simulated solution containing phenolic acids typically found in actual OMW was selected as model effluent. The effect of the operating conditions was evaluated and the impact of the treatment over the ecotoxic characteristics of the wastewater was assessed considering a wide range of species. Dias et al. [23] used red mud as a support for a carbon coating and then as a catalyst for the photo-Fenton degradation of Reactive black 5. The activity of red mud reduced with H2 at high temperatures was verified on the oxidation of methylene blue dye using heterogeneous Fenton with interesting results [24]. To the best of the authors’ knowledge, the direct application of red mud as a catalyst in heterogeneous Fenton’s process was never optimized. Moreover, in this work, a complex mixture of pollutants mimicking the phenolic character of OMW was tested which is not usual in the literature.

2. Materials and Methods

2.1. Reagents and Simulated OMW Preparation

The simulated OMW was prepared by dissolving 100 mg/L of each of the following phenolic acids in ultrapure water: Trans-cinnamic, 3,4-dimethoxybenzoic, 4-hydroxybenzoic, 3,4,5-trimethoxybenzoic and 3,4-dihydroxybenzoic acid. All phenolic acids were purchased from Sigma-Aldrich. This mixture mimics the phenolic fraction of real OMW. The solution was used straight after preparation.
Methanol and orthophosphoric acid (sigma-aldrich) were used for HPLC analysis. Sodium thiosulphate and tert-butanol (sigma-aldrich) were employed to quench hydrogen peroxide and hydroxyl radicals, respectively.

2.2. Red Mud Characterization

The red mud (RM) was kindly supplied by a Greek aluminium producer. It was grounded to powder after drying at 105 °C for 24 h. The red mud was characterized morphologically by scanning electron microscopy (SEM) with a Hitachi SU-70 microscope. Particle size distribution was performed with a Coulter LS 230 (0.040–2000 μm). The specific surface area by the Brunauer-Emmett-Teller (BET) method was studied with a Micromeritics Germini 2380. X-ray diffraction was used to ascertain the crystallography of the powder with a PANalyticalXPert PRO diffractometer (2θ = 10–80°, CuKα radiation), where a PanalyticalHighScorePlus 4.1 (PDF-4) was used for phase identification. The determination of RM pH of zero point charge (pHzpc) was performed according to the method described by Rivera-Ultrilla et al. [26].

2.3. Fenton Experiments

Fenton’s experiments were carried out in a glass spherical reactor (500 mL stirred with magnetic agitation at 300 rpm). The volume of 500 mL of the synthetic OMW was initially loaded. pH was previously corrected to 3 using H2SO4. The required amount of dried red mud is added, and the reaction started when hydrogen peroxide (33% w/V, Panreac) was introduced. Aluminum foil was used to cover the reactor and avoid light interference. Samples taken periodically were filtered using 1 μm glass fiber membranes to remove the catalyst particles and then a few drops of Na2S2O3 (0.1 N) were added to remove the remaining hydrogen peroxide and stop the reaction. For the samples used for toxicity assessment, hydrogen peroxide was quenched by increasing pH after filtration [27]. To test if the degradation reaction involved the production of hydroxyl radicals, some spiked experiments with tert-butanol (a hydroxyl radical scavenger) were performed.

2.4. Analytical Techniques

The concentration of the individual phenolic acids was obtained by HPLC (Shimadzu) analysis using a C18 (SiliaChrom) column at 40 °C. The mobile phase (0.5 mL/min) consists of a 50:50 mixture of methanol and acidified water (0.1% orthophosphoric acid). The determination occurred at 255 nm. Total organic carbon (TOC) was measured at the beginning and end of each experiment using a TOC analyzer (TOC-V-CPN model, Shimadzu).
Iron dissolved at the end of the reaction was evaluated by atomic absorption (Perkin-Elmer 3300) to assess the leaching of the catalyst throughout the process. Hydrogen peroxide concentration along the reaction was followed spectrophotometrically (PG Instruments T60 spectrophotometer) using the potassium titanium (IV) method as described elsewhere [28].

2.5. Toxicity Assessment

The toxicity of the initial phenolic mixture was compared with the one of the treated samples after Fenton’s process. To minimize the impact of pH on the toxicity evaluation, since the Fenton’s process works at acidic conditions, it was necessary to correct the sample pH to values within the range of 6.5–7.5. This correction was performed by adding drops of a solution of either sodium hydroxide or sulfuric acid.
To evaluate the toxicity of the samples towards a sensitive species, A. fischeri bacteria, was used. The luminescence inhibition of treated solutions was performed in comparison with a blank, where bacteria were placed in a 2% NaCl solution, which is the ideal media. The inhibition of luminescence due to treated and untreated samples was measured after 15 and 30 min of incubation (15 °C) using a LUMIStox 300 apparatus (Dr. Lange).
Asian clams, C. fluminea were collected from a well-established population place from a canal in Mira, Portugal (N40°25′06.90′′/W8°44′13.18′′). Clams were collected from the canal by a sieving sediment bag (5-mm mesh). Clams with the shell length in the range of 15–30 mm were selected, placed in field water and transported to the laboratory, where they were gradually acclimated to the test conditions. After two weeks of acclimation with dechlorinated tap water in laboratory bottles, 10 clams were placed in contact with 500 mL of liquid to perform toxicity tests. Two replicates of treated solutions for each condition were used along with two blank controls (10 clams in contact with dechlorinated water). The test vessels were kept under 16 hLight; 8 hDark photoperiod cycle at constant temperature 20 ± 2 °C and air stream for continuous aeration to minimize the impact of dissolved oxygen [29]. The clams’ mortality was assessed every 24 h during 72 h based on the evidence of animal’s siphoning activity and/or their resistance to valve opening when gently forced with a blunt dissection needle [30].
The phytotoxicity test with L. sativum allows the determination of germination index (GI) which will then be classified according to Trautmann et al. [31] criteria. GI is the product of relative radicle growth (RRG) by the relative seed germination (RSG) as in Equations (1)–(3). In this test, the volume of treated and untreated samples was 5 mL to wet a filter paper in a Petri dish. -Following this, 10 seeds of cress were evenly spread above the wet filter paper. As a blank, 5 mL of ultrapure water was used instead of the samples. Then the Petri dishes were placed in the oven for 48 h at a constant temperature of 27 °C and at dark conditions. The number of germinated seeds and the radicle growth length were recorded. These experiments were performed in duplicate.
G I ( % ) =     RRG   ( % )   ×   RSG   ( % ) 100
RRG   ( % )   = L R , T L R , B ×   100
RSG   ( % )   =   N SG , T N SG , B ×   100
where LR,T and LR,B correspond to the average radicle length for each sample and blank, respectively; NSG,T and NSG,B are the arithmetic means of the number of seeds germinated for each sample and blank with ultrapure water, respectively.

3. Results and Discussion

3.1. Red Mud Characterization

SEM images of RM are shown in Figure 1a,b, with individual particles extending from the nanometer to sub-micrometer range, and tending to form agglomerates with sizes in the range 1–10 μm. Elemental analysis provided by SEM-EDS (Figure 1c) showed that Fe, Al, Ca, Ti, Si and Na are present in the waste. The agglomerates found in SEM are confirmed by the volumetric particle size distribution (Figure 1d) which shows a median size (D50) of 0.58 µm. Note also that 10% of particles have particle diameter below 0.17 µm (D10) and 90% of particles show a diameter lower than 2.86 µm (D90).
The BET specific surface area was S = 0.6 m2/g and pore volume 0.02 cm3/g. These results confirm agglomeration by estimating an average particle size down to d = 6/(Sρ) ≈ 0.14 μm, based on the actual results of specific surface area and a typical density of about 4 g/cm3, in the expected range of prevailing phases, such as hematite (5.26 g/cm3) and boehmite (3.06 g/cm3). Thus, a significant fraction of particles in the nanometric range (<100 nm) is expected, probably resulting from the highly alkaline leaching conditions of the Bayer process [32].
XRD studies (Figure 1e) shows that the prevailing phases in the red mud waste are hematite (Fe2O3) and boehmite (AlOOH), combined with significant fractions of silicate or aluminosilicate phases, calcite and other (not shown) minor phases such as SiO2, TiO2, and Al(OH)3).
The material pHzpc was of 13.0 ± 0.1. This characterization of the red mud used in the present study is, in general, in agreement with the literature [32], except for expected differences related to the starting raw material (bauxite) and operating conditions of the Bayer process.

3.2. Fenton’s Process

Initially, the capacity of RM to adsorb the contaminants on its surface was evaluated (Figure 2). The phenolic acids were contacted with 1 g/L RM during 1 h at pH 3.4 (natural pH of the phenolic mixture prepared). According to Figure 2, it is shown that RM has a negligible ability to adsorb phenolic acids. In fact, only 3,4-dihydroxybenzoic acid was partially adsorbed (less than 10% of its initial concentration). In this sense, it is concluded that the adsorption of contaminants on the surface of the solid catalyst will not be the primary mechanism for their degradation. This low adsorption capacity can be related, not only with the small BET surface and low pore volume as above mentioned, but also the low affinity of the adsorbent to the phenolic acids in the conditions of the test. Moreover, the RM zero point charge pH is 13, thus at the reaction conditions, it should be positively charged. This can explain the low phenolic acids adsorption at its surface as observed in Figure 2.
In order to evaluate the ability of the catalyst RM to produce hydroxyl radicals by decomposing hydrogen peroxide (Fenton-like reactions), experiments using 50 mg/L of hydrogen peroxide and 1 g/L of RM were performed. Figure 3 shows the normalized concentration of each phenolic acid along the experimental time. As shown above, the adsorption on red mud alone was not capable to promote significant phenolic acids degradation. Therefore, the decline of the contaminants that can occur in the presence of hydrogen peroxide should be related to the hydroxyl radicals production due to Fenton’s reaction. In fact, when tert-butanol was used, an efficiency reduction was observed (data not shown), proving the relevance of HO on the process.
Under the mentioned conditions, the rate of degradation of the phenolic acids was initially high and reached a maximum of 30% in the case of the cinnamic and 3,4-dihydroxybenzoic acids. The cinnamic acid has an unsaturated bond outside the benzene ring, which makes it highly reactive. On the other hand, 3,4-dihydroxybenzoic acid has two hydroxide groups which unprotect the benzene ring making it readily reactive with hydroxyl radicals. In fact, at the beginning of the reaction, a high amount of hydrogen peroxide and iron (II) should be available to react and produce hydroxyl radical, according to Equation (4) [4].
Fe2+ + H2O2→Fe3+ + HO + HO
Furthermore, the hydrogen peroxide can be in excess and react with the hydroxyl radicals produced to further production of water Equation (5) or decompose Equation (6). The hydroperoxyl radical produced according to Equation (5) can present a synergetic effect for phenolic acids degradation due to the presence of the saturated bonds such as benzenic rings [33]. However, this radical presents lower oxidant power when compared with the hydroxyl radical.
H2O2 + HO→ H2O + HO2
2 H2O2 → 2 H2O + O2

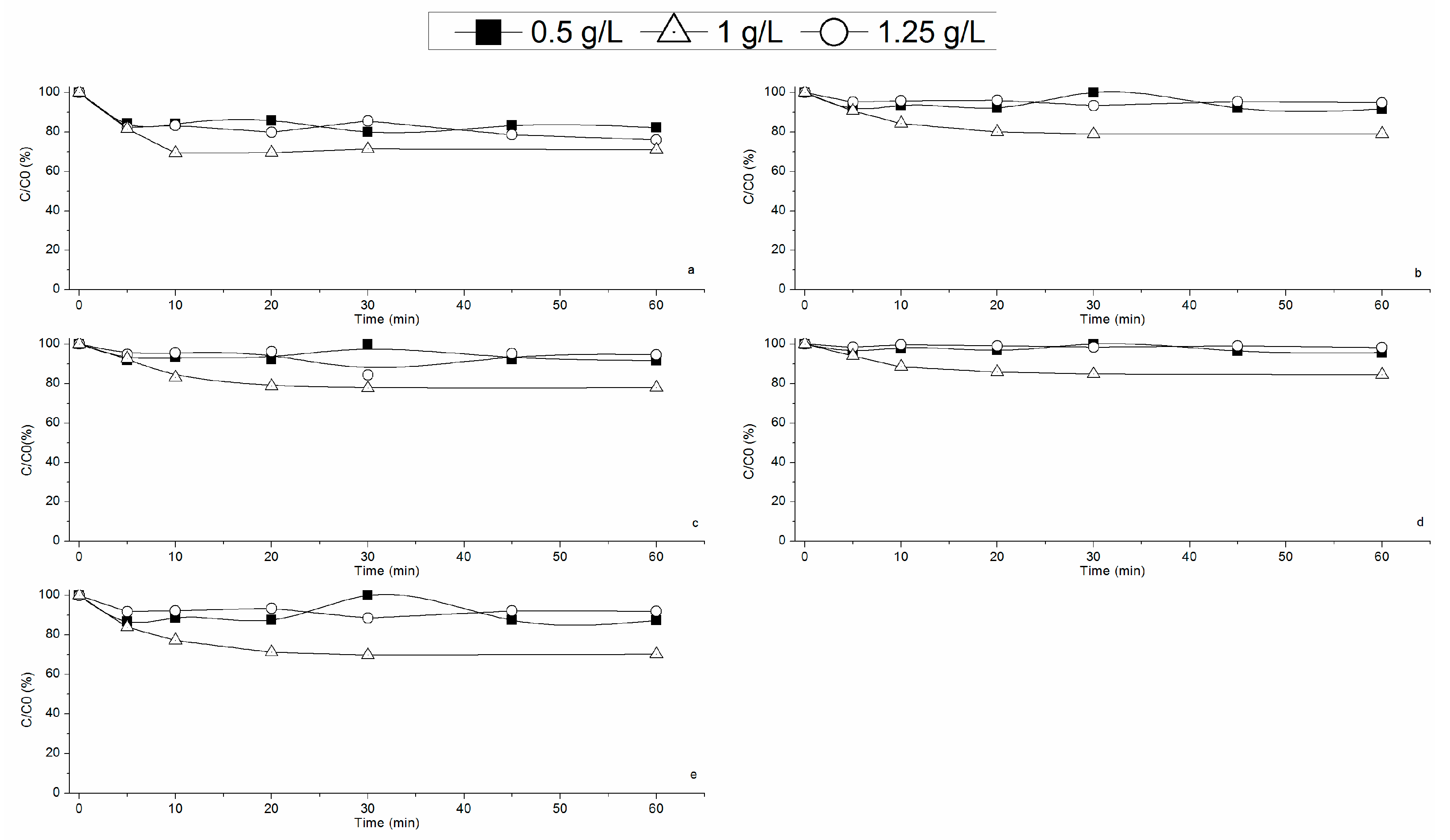
3.2.1. Effect of RM Loading on Fenton’s Reaction

The catalyst load is a key parameter in the optimization of the treatment process, especially regarding Fenton’s reaction. In fact, the increase of the catalyst amount leads to a higher number of active sites for the reaction which will favor the production of hydroxyl radical able to decompose pollutants. However, when the catalyst load exceeds the optimal value, it can act as radical scavenger, reducing the production of reactive oxidant species and leading to the decrease of the effluent decontamination efficiency.
Figure 4 shows the effect of the catalyst loading on the degradation of each phenolic acid studied for 60 min at the pH of the phenolic acid mixture (about 3.4). Initial hydrogen peroxide concentration of 50 mg/L was used and the RM load within the range of 0.5–1.25 g/L was evaluated.
Increasing the catalyst load from 0.5 to 1 g/L improved the efficiency of the process. This effect is due to the presence of more active sites to promote the production of hydroxyl radical. However, above this value (1.25 g/L), the degree of degradation decreases, reaching the same level as the one obtained with 0.5 g/L of RM. Thus, above 1 g/L of catalyst load, the scavenger effect prevails. Therefore, the next tests were carried out using 1 g/L of RM.

3.2.2. Effect of Hydrogen Peroxide Concentration on Fenton’s Reaction

Hydrogen peroxide is a key parameter in the efficiency of Fenton´s peroxidation. On the other hand, it can constitute a large part of the operational costs of the process. In this sense, the optimization of the quantity used must be carefully carried out. Above the optimum concentration, hydrogen peroxide can scavenge hydroxyl radicals leading to the reduction of the process efficiency [4].
The concentration of H2O2 was evaluated within the range of 25–125 mg/L, pH 3.4, and using 1 g/L of RM (selected in the previous section). Figure 5 shows the normalized concentration of each phenolic acid for 60 min of the reaction, at different concentrations of hydrogen peroxide.
For all the phenolic acids, it was found that increasing the concentration of hydrogen peroxide from 25 mg/L until 100 mg/L improves their degradation rate. The increase in efficiency is less evident for cinnamic acid. Indeed, the unsaturated bond outside the benzenic ring makes this acid a very reactive species, whatever the conditions of heterogeneous Fenton’s process operation. Approximately 25 mg/L of H2O2 seems to be a low concentration for the degradation of phenolic acids. The increase to 50 mg/L enhances significantly the degradation rate of phenolic acids. Nevertheless, a load of 125 mg/L leads to the scavenger effect due to the hydrogen peroxide excess according to the reaction in Equation (6). The literature refers that the excessive amount of H2O2 in Fenton’s process promotes its auto decomposition to produce water and oxygen [34]. According to Equation (5), H2O2 may react with hydroxyl radicals leading to hydroxyperoxyl radicals, which have a lower oxidation capacity than the former, leading to lower degradation rates.

3.3. Mineralization Achieved by Heterogeneous Fenton’s Process

Besides the degradation of phenolic acids during Fenton’s process, the degree of mineralization achieved by this treatment process was also evaluated through TOC analysis. In fact, the complete degradation of the initial phenolic compounds does not necessarily mean that the production of carbon dioxide and water (mineralization) occurs. Instead, partial oxidation may happen. Therefore, TOC analysis allows understanding if the reaction of degradation occurs mainly towards partial oxidation or mineralization pathway. TOC removal was analyzed for the same conditions of the previous section, which means using different amounts of hydrogen peroxide and 1 g/L of red mud. As can be seen in Figure 5, with the exception of the case where 25 mg/L of H2O2 were applied, high degradation of almost all phenolic acids was achieved. However, TOC removal indicates that the preferential way was partial oxidation since the mineralization level achieved is low. In terms of TOC reduction, the efficiency as a function of H2O2 load followed this order (efficiency between brackets): 25 mg/L and 125 mg/L (5.1%) < 50 mg/L (10%) < 100 mg/L (25%). Accordingly, it is possible to conclude the best condition applied on the Fenton’s process was 1 g/L of red mud and 100 mg/L of H2O2. The lowest hydrogen peroxide load (25 mg/L) presents a low reduction of phenolic acids concentration and a small TOC reduction. On the other hand, the highest load (125 mg/L) was able to remove almost all phenolic acids which were not mineralized, but in turn, produced several by-products through partial oxidation. Thus, for this excess level of H2O2, the radical scavenger effect was more evident regarding mineralization.

3.4. Toxicity Assessment

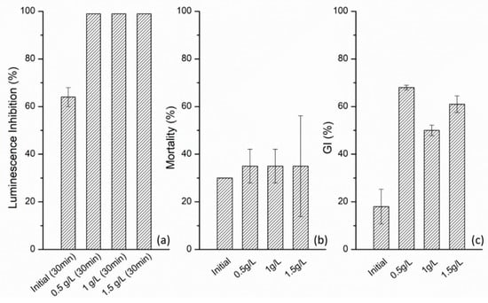
Since total mineralization of the wastewater was not achieved, it is necessary to demonstrate if the by-products resulting from phenolic acids partial degradation are more or less toxic than those from the initial mixture. Moreover, while Fenton’s process usually applies hydrogen peroxide in excess and at the end of the reaction, it can still be present in solution and can affect toxicity. Therefore, the use of a wide range of species for the toxicity assessment will allow the assessment of the impact of the raw and treated sample over different trophic levels. In this way, the toxicity tests selected a bacteria (A. fischeri), a clam (C. fluminea) and a plant (L. sativum). A. fischeri was included since the literature indicates this species as the most commonly used for preliminary toxicity tests [35]. The Asian clam is an invasive species with high dispersal capacity due to its high resistance to adverse conditions [36]. These characteristics turn this species into an important indicator in terms of toxicity for aquatic species. Finally, the L. sativum (garden cress) was selected due to its resistance capacity, and as an indicator of the potential impact if water recovery is aimed for agriculture purposes. According to the oxidation experiments, the best conditions for the phenolic acids degradation through Fenton’s process are 1 g/L of red mud coupled with 100 mg/L of hydrogen peroxide. The toxicity was evaluated to the sample obtained after 60 min of heterogeneous Fenton at those conditions and compared with the initial mixture of phenolic acids. Moreover, to attest the effect of red mud amount applied as a catalyst over toxicity, two different loads (0.5 g/L and 1.5 g/L) were considered. In fact, the leaching of metals from red mud can be problematic in terms of toxicity for aquatic species [25]. For these two concentrations of red mud, the same amount of hydrogen peroxide (100 mg/L) was used. Figure 6 presents the luminescence inhibition of bacteria after 30 min of exposure (a), the mortality of clams (b), and germination index of cress (c) for the different samples.
Figure 6a shows that the luminescence inhibition of A. fischeri after 30 min of exposure to treated solutions was approximately 100%. These results reveal no difference independently of the amount of RM applied during Fenton’s process, whereas the initial mixture of phenolic acids induces a lower luminescence inhibition of about 64%. As previously mentioned, the presence of H2O2 in excess can be the reason for this behaviour. In fact, the hydrogen peroxide concentration is high after 60 min of Fenton’s process. For the 0.5 g/L, 1 g/L and 1.5 g/L at the end of reaction, the hydrogen peroxide concentration was 120 mg/L, 60 mg/L and 80 mg/L, respectively. The luminescence inhibition of 100 mg/L of hydrogen peroxide without red mud was measured for comparative purposes. This concentration promotes 100% of luminescence inhibition. Therefore, the toxicity of the treated solutions over A. fischeri should be highly related to H2O2 residual concentration.
C. fluminea mortality seems to present the same behaviour than bacteria. The treated solutions after 72 h of contact revealed to be more toxic than the initial mixture of phenolic compounds. However, the difference was not so high. The initial mixture of phenolic acids leads to 30% of mortality while treated solutions promoted 35% of mortality. This can be due to the clams higher resistance when compared to bacteria. This low difference seems to indicate that H2O2 does not have a significant impact over C. fluminea. Moreover, the amount of RM applied also does not affect the toxicity of the treated samples over clams. Therefore, the small increase of treated samples toxicity towards C. fluminea can be due to the by-products formed in the oxidation process. In fact, Gomes et al. [25] verified for parabens degradation when the 4-hydroxybenzoic acid (by-product from parabens oxidation) concentration decreases, it promotes the formation of hydroquinone, which is more toxic than the 4-hydroxybenzoic acid. In this way, the formation of these by-products can be more toxic than the initial mixture, even if a very low concentration is produced.
L. sativum seems to be the most sensitive species tested to the initial phenolic mixture since the germination index for the raw effluent was about 19%. According to the Trautmann and Krasny [31] criteria, this value should be considered as severe toxicity. This shows that the direct application of OMW in agricultural fields should be monitored to avoid negative impact over plants. On the other hand, the GI increased for the treated solutions reaching the classification of moderate toxicity. L. sativum has been used in traditional medicine for diseases treatment due to its capacity to work as an antioxidant [37]. In turn, hydrogen peroxide is seen as an oxidative stress agent resulting in dead cells [38]. Al-Shedi et al. [39] verified that the L. sativum seed extract has a protective effect over human liver cells at the presence of hydrogen peroxide. Compared to our study, the presence of more hydrogen peroxide results in a higher germination index. In fact, the use of 0.5 g/L of red mud in Fenton’s process results in a final H2O2 concentration of 120 mg/L and the GI was about 68%. The highest RM dose leads to a final concentration of H2O2 of 80 mg/L and the GI was 61%. Therefore, it is possible to conclude that the GI is highly related to the residual hydrogen peroxide concentration. Nevertheless, increasing pH of the final treated water may be a suitable methodology to overcome this issue since H2O2 decomposition is promoted in these conditions. Thus, Fenton’s process using RM can be a suitable solution for OMW depollution.

4. Conclusions

A simulated olive mill wastewater was treated by a heterogeneous Fenton’s process. An industrial waste from the alumina industry (red mud-RM) was used as a heterogeneous source of iron. The effect of hydrogen peroxide and the RM load on the process efficiency were evaluated. The excessive amount of RM on the Fenton’s process seems to inhibit the degradation rate. Similarly, high amounts of H2O2 enable the degradation of phenolic acids mixture until a certain point above which it shows a radical scavenger effect. The best operating conditions were 1 g/L of RM and 100 mg/L of hydrogen peroxide which led to 100% of phenolic acids removal and 25% of mineralization in 60 min. The toxicity assessment reveals that bacteria are very sensitive to the resulting solution mainly due to the presence of high concentrations of residual H2O2. However, this effect may be overcome with a suitable hydrogen peroxide removal process. On the other hand, for clams and garden cress, the treated solutions do not present high toxicity when compared with the raw phenolic mixture. Therefore, the application of red mud (a waste) as a heterogeneous source on the Fenton´s process seems to be a suitable option working towards a circular economy.

Author Contributions

Conceptualization, E.D., J.G. and N.A.; writing (original draft preparation), E.D. and J.G.; red mud analysis and characterization, D.V.L. and J.R.F.; writing (review and editing), D.V.L., J.R.F.; M.J.Q.; R.M.Q.-F., and R.C.M.; supervision, M.J.Q., R.M.Q.-F., and R.C.M.; project administration, R.C.M.; funding acquisition, R.C.M. and R.M.Q.-F.

Funding

This research was funded by the European Union through the European Fund for Regional Development(FEDER) within the framework COMPETE2020 by the financial support of the project POCI-01-0247-FEDER-033193 (SERENA—Development of a sludge free Fenton-integrated treatment methodology for olive mill wastewaters: a water recovery). Daniela V. Lopes acknowledges FCT grant PD/BD/114106/2015.

Conflicts of Interest

The authors declare no conflict of interest.

References

  1. Eroglu, E.; Eroglu, I.; Gündüz, U.; Türker, L.; Yücel, M. Biological hydrogen production from olive mill wastewater with two-stage processes. Int. J. Hydr. Energy 2006, 31, 1527–1535. [Google Scholar] [CrossRef]
  2. Pinho, I.A.; Lopes, D.V.; Martins, R.C.; Quina, M.J. Phytotoxicity assessment of olive mill solid wastes and the influence of phenolic compounds. Chemosphere 2017, 185, 258–267. [Google Scholar] [CrossRef] [PubMed]
  3. Vlyssides, A.G.; Loukakis, H.N.; Karlis, P.K.; Barampouti, E.M.P.; Mai, S.T. Olive mill wastewater detoxification by applying pH related Fenton oxidation process. Fresenius Environ. Bull. 2004, 13, 501–504. [Google Scholar]
  4. Domingues, E.; Gomes, J.; Quina, M.J.; Quinta-Ferreira, R.M.; Martins, R.C. Detoxification of Olive Mill Wastewaters by Fenton’s Process. Catalysts 2018, 8, 662. [Google Scholar] [CrossRef]
  5. Guido Greco, J.; Colarieti, M.L.; Toscano, G.; Iamarino, G.; Rao, M.A.; Gianfreda, L. Mitigation of Olive Mill Wastewater Toxicity. J. Agric. Food Chem. 2006, 54, 6776–6782. [Google Scholar] [CrossRef]
  6. Saadi, I.; Laor, Y.; Raviv, M.; Medina, S. Land spreading of olive mill wastewater: Effects on soil microbial activity and potential phytotoxicity. Chemosphere 2007, 66, 75–83. [Google Scholar] [CrossRef] [PubMed]
  7. Azbar, N.; Bayram, A.; Filibeli, A.; Muezzinoglu, A.; Sengul, F.; Ozer, A. A Review of Waste Management Options in Olive Oil Production. Crit. Rev. Environ. Sci. Technol. 2004, 34, 209–247. [Google Scholar] [CrossRef]
  8. Saez, L.; Perez, J.; Martinez, J. Low molecular weight phenolics attenuation during simulated treatment of wastewaters from olive mills in evaporating ponds. Water Res. 1992, 26, 1261–1266. [Google Scholar] [CrossRef]
  9. Beltran, F.J.; Garcia Araya, J.F.; Frades, J.; Alvarez, P.; Gimeno, O. Effects of single and combined ozonation with hydrogen peroxide or UV radiation on the chemical degradation and biodegradability of debittering table olive industrial watewater. Water Res. 1999, 33, 723–732. [Google Scholar] [CrossRef]
  10. Cañizares, P.; Lobato, J.; Paz, R.; Rodrigo, M.A.; Sáez, C. Advanced oxidation processes for the treatment of olive-oil mills wastewater. Chemosphere 2007, 67, 832–838. [Google Scholar] [CrossRef]
  11. Amaral-Silva, N.; Martins, R.C.; Nunes, P.; Castro-Silva, S.; Quinta-Ferreira, R.M. From a lab test to industrial application: Scale-up of Fenton process for real olive mill wastewater treatment. J. Chem. Technol. Biotechnol. 2017, 92, 1336–1344. [Google Scholar] [CrossRef]
  12. Amaral-Silva, N.; Martins, R.C.; Castro-Silva, S.; Quinta-Ferreira, R.M. Integration of traditional systems and advanced oxidation process technologies for the industrial treatment of olive mill wastewaters. Environ. Technol. (UK) 2016, 37, 2524–2535. [Google Scholar] [CrossRef] [PubMed]
  13. Peres, J.A.; Carvalho, L.M.; Boaventura, R.; Costa, C. Characteristics of p-hydroxybenzoic acid oxidation using Fenton’s reagent. J. Environ. Sci. Health Part A 2004, 39, 2897–2913. [Google Scholar] [CrossRef]
  14. Reis, P.; Marques, P.; Martins, R.C.; Gando-Ferreira, L.; Quinta-Ferreira, R.M. Integrating Fenton’s process and Ion-Exchange for Olive Mill Wastewater Treatment and Iron Recovery. Environ. Technol. 2018, 39, 308–316. [Google Scholar] [CrossRef] [PubMed]
  15. Martins, P.; Reis, P.; Martins, R.C.; Gando-Ferreira, L.; Quinta-Ferreira, R.M. Iron recovery from the Fenton’s treatment of winery effluent using na ion-exchange resin. J. Mol. Liq. 2017, 242, 505–511. [Google Scholar] [CrossRef]
  16. Rossi, A.; Martins, R.C.; Quinta-Ferreira, R.M. Heterogeneous Fenton using ceria based catalysts: Effects of the calcination temperature in the process efficiency. Appl. Catal. B Environ. 2012, 111, 254–263. [Google Scholar] [CrossRef]
  17. Martins, R.C.; Henriques, L.R.; Quinta-Ferreira, R.M. Catalytic Activity of Low Cost Materials for Pollutants Abatement by Fenton’s Process. Chem. Eng. Sci. 2013, 100, 225–233. [Google Scholar] [CrossRef]
  18. Shi, X.; Tian, A.; You, J.; Yang, H.; Wang, Y.; Xue, X. Degradation of organic dyes by a new heterogeneous Fenton reagent—Fe2GeS4 nanoparticle. J. Hazard. Mater. 2018, 353, 182–189. [Google Scholar] [CrossRef]
  19. Qiang, Z.; Chang, J.; Huang, C. Electrochemical regeneration of Fe2+ in Fenton oxidation processes. Water Res. 2003, 37, 1308–1319. [Google Scholar] [CrossRef]
  20. Neyens, E.; Baeyens, J. A review of classic Fenton’s peroxidation as an advanced oxidation technique. J. Hazard. Mater. 2003, 98, 33–50. [Google Scholar] [CrossRef]
  21. Martins, R.C.; Rossi, A.; Quinta-Ferreira, R.M. Fenton’s oxidation process for phenolic wastewater remediation and biodegradability enhancement. J. Hazard. Mater. 2010, 180, 716–721. [Google Scholar] [CrossRef] [PubMed]
  22. Oliveira, A.A.S.; Tristão, J.C.; Ardisson, J.D.; Dias, A.; Lago, R.M. Production of nanostructured magnetic composites based on Fe0 nuclei coated with carbon nanofibers and nanotubes from red mud waste and ethanol. Appl. Catal. B 2011, 105, 163–170. [Google Scholar] [CrossRef]
  23. Dias, F.; Oliveira, A.; Arcanjo, A.; Moura, F.; Pacheco, J. Residue-based iron catalyst for the degradation of textile dye via heterogeneous photo-Fenton. Appl. Catal. B 2016, 186, 136–142. [Google Scholar] [CrossRef]
  24. Costa, R.; Moura, F.; Oliveira, P.; Magalhães, F.; Ardisson, J.; Lago, R. Controlled reduction of red mud waste to produce active systems for environmental applications: Heterogeneous Fenton reaction and reduction of Cr(VI). Chemosphere 2010, 78, 1116–1120. [Google Scholar] [CrossRef]
  25. Gomes, J.; Frasson, D.; Pereira, J.L.; Gonçalves, F.J.M.; Castro, L.M.; Quinta-Ferreira, R.M.; Martins, R.C. Ecotoxicity variation through parabens degradation by single and catalytic ozonation using volcanic rock. Chem. Eng. J. 2019, 360, 30–37. [Google Scholar] [CrossRef]
  26. Rivera-Ultrilla, J.; Bautista-Toledo, I.; Ferro-García, M.; Moreno-Castilla, C. Activated carbon surface modifications by adsorption of bacteria and their effect on aqueous lead adsorption. J. Chem. Technol. Biotechnol. 2001, 76, 1209–1215. [Google Scholar] [CrossRef]
  27. Ltaïef, A.H.; Pastrana-Martínez, L.M.; Ammar, S.; Gadri, A.; Faria, J.L.; Silva, A.M. Mined pyrite and chalcopyrite as catalysts for spontaneous acidic pH adjustment in Fenton and LED photo-Fenton-like processes. J. Chem. Technol. Biotechnol. 2018, 93, 1137–1146. [Google Scholar] [CrossRef]
  28. Seller, R. Spectrophotometric determination of hydrogen peroxide using potassium titanium (IV) oxalate. Analyst 1980, 105, 950–954. [Google Scholar] [CrossRef]
  29. Rosa, I.C.; Garrido, R.; Ré, A.; Gomes, J.; Pereira, J.L.; Gonçalves, F.; Costa, R. Sensitivity of the invasive bivalve Corbicula fluminea to candidate control chemicals: The role of dissolved oxygen conditions. Sci. Tot. Environ. 2015, 536, 825–830. [Google Scholar] [CrossRef]
  30. Gomes, J.; Pereira, J.L.; Rosa, I.C.; Saraiva, P.M.; Gonçalves, F.; Costa, R. Evaluation of candidate biocides to control the biofouling Asian clam in the drinking water treatment industry: An environmentally friendly approach. J. Great Lakes Res. 2014, 40, 421–428. [Google Scholar] [CrossRef]
  31. Trautmann, N.M.; Krasny, M.E. Composting in the classroom. In Nature Science Foundation; Cornell Waste Management Institute and Cornell Center for the Environment: New York, NY, USA, 1997. [Google Scholar]
  32. Khairul, M.A.; Zanganeh, J.; Moghtaderi, B. The composition, recycling andutilisation of Bayer red mud. Resour. Conserv. Recycl. 2019, 141, 483–498. [Google Scholar] [CrossRef]
  33. Gomes, J.; Leal, I.; Bednarczyk, K.; Gmurek, M.; Stelmachowski, M.; Diak, M.; Quinta-Ferreira, M.E.; Costa, R.; Quinta-Ferreira, R.M.; Martins, R.C. Photocatalytic Ozonation using doped TiO2 Catalysts for the Removal of Parabens in Water. Sci. Total Environ. 2017, 609, 329–340. [Google Scholar] [CrossRef] [PubMed]
  34. Ramirez, J.H.; Costa, C.A.; Madeira, L.M.; Mata, G.; Vicente, M.A.; Rojas-Cervantes, M.L. Fenton-like oxidation of Orange II solutions using heterogeneous catalysts based on saponite clay. Appl. Catal. B 2007, 71, 44–56. [Google Scholar] [CrossRef]
  35. Miralles-Cuevas, S.; Oller, I.; Agüera, A.; Sánchez Pérez, J.A.; Malato, S. Strategies for reducing cost by using solar photo-Fenton treatment combined with nanofiltration to remove microcontaminants in real municipal effluents: Toxicity and economic assessment. Chem. Eng. J. 2017, 318, 161–170. [Google Scholar] [CrossRef]
  36. Rosa, I.C.; Pereira, J.L.; Costa, R.; Gomes, J.; Pereira, M.L.; Gonçalves, F. Dispersal of Corbicula fluminea: Factors influencing the invasive clam’s drifting behaviour. Annal. Limnol. Int. J. Limnol. 2014, 50, 37–47. [Google Scholar] [CrossRef]
  37. Yadav, Y.C.; Srivastav, D.N.; Seth, A.K.; Saini, V.; Balaraman, R.; Ghelani, T.K. In Vivo antioxidantpotential of Lepidium sativum L. seeds in albino rats using cisplatininduced nephrotoxicity. Interact. J. Phytomed. 2010, 2, 292–298. [Google Scholar]
  38. Hwang, S.L.; Yen, G.C. Neuroprotective effects of the citrusflavanones against H2O2-induced cytotoxicity in PC12 cells. J. Agric. Food Chem. 2008, 56, 859–864. [Google Scholar] [CrossRef] [PubMed]
  39. Al-Sheddi, E.S.; Farshori, N.N.; Al-Oqail, M.M.; Musarrat, J.; Al-Khedhairy, A.A.; Siddiqui, M.A. Protective effect of Lepidium sativum seed extract against hydrogenperoxide-induced cytotoxicity and oxidative stress in human liver cells(HepG2). Pharm. Biol. 2016, 54, 314–321. [Google Scholar] [CrossRef] [PubMed]
Figure 1. (a,b) Scanning electron microscopy (SEM) of the red mud powder; (c) EDS spectrograph; (d) Cumulative volume (%) of red mud particles; (e) XRD pattern of red mud.
Figure 1. (a,b) Scanning electron microscopy (SEM) of the red mud powder; (c) EDS spectrograph; (d) Cumulative volume (%) of red mud particles; (e) XRD pattern of red mud.
Water 11 01183 g001
Figure 2. Study of the adsorption capacity of red mud (RM) (pH = 3.4; RM = 1 g/L).
Figure 2. Study of the adsorption capacity of red mud (RM) (pH = 3.4; RM = 1 g/L).
Water 11 01183 g002
Figure 3. Normalized concentration of phenolic acids throughout the process of Fenton (H2O2) = 50 mg/L; RM = 1 g/L; pH = 3.4).
Figure 3. Normalized concentration of phenolic acids throughout the process of Fenton (H2O2) = 50 mg/L; RM = 1 g/L; pH = 3.4).
Water 11 01183 g003
Figure 4. Effect of the catalyst load on the acid degradation (a) 3,4-dihydroxybenzoic acid, (b) 4-hydroxybenzoic acid, (c) 3,4-dimethoxybenzoic acid, (d) 3,4,5-trimethoxybenzoic acid and (e) cinnamic acid. (H2O2 = 50 mg/L; pH = 3.4).
Figure 4. Effect of the catalyst load on the acid degradation (a) 3,4-dihydroxybenzoic acid, (b) 4-hydroxybenzoic acid, (c) 3,4-dimethoxybenzoic acid, (d) 3,4,5-trimethoxybenzoic acid and (e) cinnamic acid. (H2O2 = 50 mg/L; pH = 3.4).
Water 11 01183 g004
Figure 5. Effect of the concentration of hydrogen peroxide on the degradation of (a) 3,4-dihydroxybenzoic acids, (b) 4-hydroxybenzoic acid, (c) 3,4-dimethoxybenzoic acid, (d) 3,4,5-trimethoxybenzoic acid and (e) cinnamic acid. (RM = 1 g/L; pH = 3.4).
Figure 5. Effect of the concentration of hydrogen peroxide on the degradation of (a) 3,4-dihydroxybenzoic acids, (b) 4-hydroxybenzoic acid, (c) 3,4-dimethoxybenzoic acid, (d) 3,4,5-trimethoxybenzoic acid and (e) cinnamic acid. (RM = 1 g/L; pH = 3.4).
Water 11 01183 g005
Figure 6. Luminescence inhibition of A. fischeri (a), mortality of C. fluminea (b) and germination index of L. sativum (c) for the initial phenolic acids mixture and different RM concentration (0.5, 1 and 1.5 g/L) (pH 3.4; concentration of H2O2 = 100 mg/L).
Figure 6. Luminescence inhibition of A. fischeri (a), mortality of C. fluminea (b) and germination index of L. sativum (c) for the initial phenolic acids mixture and different RM concentration (0.5, 1 and 1.5 g/L) (pH 3.4; concentration of H2O2 = 100 mg/L).
Water 11 01183 g006

Share and Cite

MDPI and ACS Style

Domingues, E.; Assunção, N.; Gomes, J.; Lopes, D.V.; Frade, J.R.; Quina, M.J.; Quinta-Ferreira, R.M.; Martins, R.C. Catalytic Efficiency of Red Mud for the Degradation of Olive Mill Wastewater through Heterogeneous Fenton’s Process. Water 2019, 11, 1183. https://doi.org/10.3390/w11061183

AMA Style

Domingues E, Assunção N, Gomes J, Lopes DV, Frade JR, Quina MJ, Quinta-Ferreira RM, Martins RC. Catalytic Efficiency of Red Mud for the Degradation of Olive Mill Wastewater through Heterogeneous Fenton’s Process. Water. 2019; 11(6):1183. https://doi.org/10.3390/w11061183

Chicago/Turabian Style

Domingues, Eva, Nelson Assunção, João Gomes, Daniela V. Lopes, Jorge R. Frade, Margarida J. Quina, Rosa M. Quinta-Ferreira, and Rui C. Martins. 2019. "Catalytic Efficiency of Red Mud for the Degradation of Olive Mill Wastewater through Heterogeneous Fenton’s Process" Water 11, no. 6: 1183. https://doi.org/10.3390/w11061183

APA Style

Domingues, E., Assunção, N., Gomes, J., Lopes, D. V., Frade, J. R., Quina, M. J., Quinta-Ferreira, R. M., & Martins, R. C. (2019). Catalytic Efficiency of Red Mud for the Degradation of Olive Mill Wastewater through Heterogeneous Fenton’s Process. Water, 11(6), 1183. https://doi.org/10.3390/w11061183

Note that from the first issue of 2016, this journal uses article numbers instead of page numbers. See further details here.

Article Metrics

Back to TopTop